Enhanced Nitrification Potential Soil from a Warm-Temperate Shrub Tussock Ecosystem Under Nitrogen Deposition and Warming Is Driven by Increased Nitrosospira Abundance
Abstract
1. Introduction
2. Materials and Methods
2.1. Experimental Site, Soil Sampling, and Initial Processing
2.2. Experimental Design and Plant Growth
2.3. Soil Sampling and Physicochemical Analysis
2.4. DNA Extraction, PCR Amplification, and Sequencing
2.5. Bioinformatic and Statistical Analysis
2.6. Nitrification Potential Assay
3. Results
3.1. Responses of Ammonia-Oxidizing Microorganisms to N Addition and Warming
3.1.1. Species Composition of Ammonia-Oxidizing Microorganisms
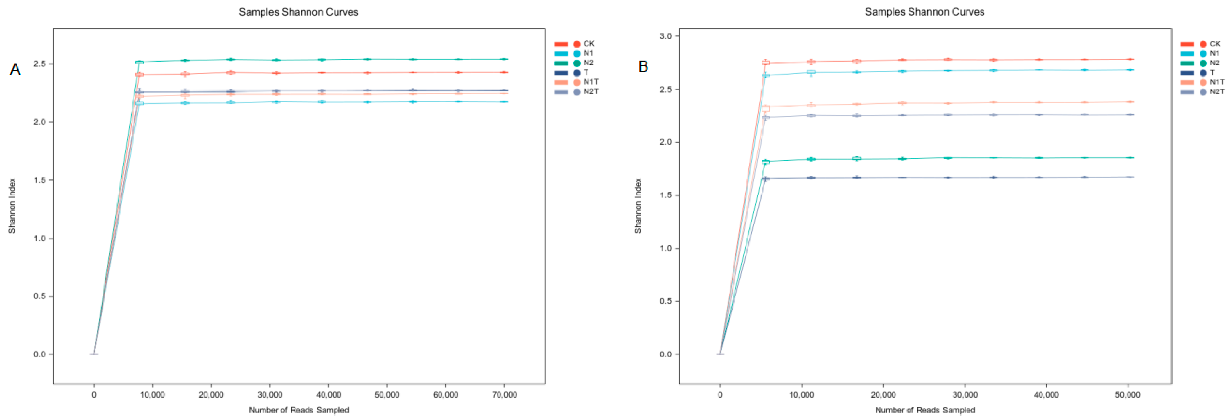
3.1.2. Diversity of Ammonia-Oxidizing Microorganisms
3.2. Changes in Soil Properties and Nitrogen Forms
3.3. Nitrification Potential and Its Relationship with Microbial Communities
4. Discussion
4.1. Ecosystem-Level Implications of Enhanced Nitrification
4.2. Comparative Analysis with Other Ecosystems and the AOA/AOB Paradox
4.3. Discrepancy Between Microbial Abundance and Function
4.4. Methodological Considerations and Future Directions
5. Conclusions
Author Contributions
Funding
Data Availability Statement
Acknowledgments
Conflicts of Interest
Appendix A
| pH | Organic Matter (g·kg−1) | Total Nitrogen (g·kg−1) | Total Phosphorus (g·kg−1) | NH4+-N (mg·kg−1) | NO3−-N (mg·kg−1) | Available Phosphorus (mg·kg−1) |
|---|---|---|---|---|---|---|
| 6.57 ± 0.05 | 13.75 ± 0.12 | 2.26 ± 0.01 | 0.20 ± 0.02 | 1.43 ± 0.02 | 7.71 ± 0.05 | 1.38 ± 0.04 |
| Program | Temperature | Time | Cycles |
|---|---|---|---|
| Pre-denaturation | 95 °C | 2 min | 1 |
| Denaturation | 95 °C | 30 s | 25 |
| 55 °C | 30 s | ||
| 72 °C | 30 s | ||
| Extension | 72 °C | 5 min | 1 |
| Name | Forward Sequence (5′-3′) | Reverse Sequence (5′-3′) |
|---|---|---|
| AOA | GACTACATMTTCTAYACWGAYTGGGC | GGKGTCATRTATGGWGGYAAYGTTGG |
| AOB | GGGGTTTCTACTGGTGGT | CCCCTCKGSAAAGCCTTCTTC |




References
- Könneke, M.; Bernhard, A.E.; de la Torre, J.R.; Walker, C.B.; Waterbury, J.B.; Stahl, D.A. Isolation of an autotrophic ammonia-oxidizing marine archaeon. Nature 2005, 437, 543–546. [Google Scholar] [CrossRef]
- Prosser, J.I.; Nicol, G.W. Archaeal and bacterial ammonia-oxidisers in soil: The quest for niche specialisation and differentiation. Trends Microbiol. 2012, 20, 523–531. [Google Scholar] [CrossRef]
- Xiao, R.; Ran, W.; Hu, S.; Guo, H. The response of ammonia oxidizing archaea and bacteria in relation to heterotrophs under different carbon and nitrogen amendments in two agricultural soils. Appl. Soil Ecol. 2021, 158, 103812. [Google Scholar] [CrossRef]
- Ying, J.; Li, X.; Wang, N.; Lan, Z.; He, J.; Bai, Y. Contrasting effects of nitrogen forms and soil pH on ammonia oxidizing microorganisms and their responses to long-term nitrogen fertilization in a typical steppe ecosystem. Soil Biol. Biochem. 2017, 107, 10–18. [Google Scholar] [CrossRef]
- Wang, F.; Li, Z.; Wei, Y.; Su, F.; Guo, H.; Guo, J.; Wang, Y.; Zhang, Y.; Hu, S. Responses of soil ammonia-oxidizing bacteria and archaea to short-term warming and nitrogen input in a semi-arid grassland on the Loess Plateau. Eur. J. Soil Biol. 2021, 102, 103267. [Google Scholar] [CrossRef]
- Xu, A.; Li, L.; Xie, J.; Gopalakrishnan, S.; Zhang, R.; Luo, Z.; Cai, L.; Liu, C.; Wang, L.; Anwar, S.; et al. Changes in ammonia-oxidizing archaea and bacterial communities and soil nitrogen dynamics in response to long-term nitrogen fertilization. Int. J. Environ. Res. Public Health 2022, 19, 2732. [Google Scholar] [CrossRef]
- Frey, B.; Moser, B.; Tytgat, B.; Zimmermann, S.; Alberti, J.; Biederman, L.A.; Borer, E.T.; Broadbent, A.A.D.; Caldeira, M.C.; Davies, K.F.; et al. Long-term N-addition alters the community structure of functionally important N-cycling soil microorganisms across global grasslands. Soil Biol. Biochem. 2023, 176, 108887. [Google Scholar] [CrossRef]
- Li, H.; Zhang, J.; Tian, D.; Liu, Y.; Dong, J. Nitrogen significantly affected N cycling functional gene abundances compared with phosphorus and drought in an alpine meadow. Agronomy 2023, 13, 1041. [Google Scholar] [CrossRef]
- Xiang, X.; He, D.; He, J.-S.; Myrold, D.D.; Chu, H. Ammonia-oxidizing bacteria rather than archaea respond to short-term urea amendment in an alpine grassland. Soil Biol. Biochem. 2017, 107, 218–225. [Google Scholar] [CrossRef]
- Sun, Y.-F.; Shen, J.-P.; Zhang, C.-J.; Zhang, L.-M.; Bai, W.-M.; Fang, Y.; He, J.-Z. Responses of soil microbial community to nitrogen fertilizer and precipitation regimes in a semi-arid steppe. J. Soils Sediments 2018, 18, 762–774. [Google Scholar] [CrossRef]
- Liao, G.F.; Jia, Y.L. Grassland Resources in China; China Science and Technology Press: Beijing, China, 1996; pp. 405–421. (In Chinese) [Google Scholar]
- Huang, S.; Wang, F.; Elliott, E.M.; Zhu, F.; Zhu, W.; Koba, K.; Yu, Z.; Hobbie, E.A.; Michalski, G.; Kang, R.; et al. Multiyear measurements on Δ17O of stream nitrate indicate high nitrate production in a temperate forest. Environ. Sci. Technol. 2020, 54, 4231–4239. [Google Scholar] [CrossRef]
- Song, L.; Niu, S. Increased soil microbial AOB amoA and narG abundances sustain long-term positive responses of nitrification and denitrification to N deposition. Soil Biol. Biochem. 2022, 166, 108539. [Google Scholar] [CrossRef]
- Du, J.; Meng, L.; Qiu, M.; Chen, S.; Zhang, B.; Song, W.; Cong, P.; Zheng, X. Ammonia-oxidizing archaea and ammonia-oxidizing bacteria communities respond differently in oxy-gen-limited habitats. Front. Environ. Sci. 2022, 10, 976618. [Google Scholar] [CrossRef]
- Borowik, A.; Wyszkowska, J. Impact of temperature on the biological properties of soil. Int. Agrophys. 2016, 30, 1–8. [Google Scholar] [CrossRef]
- Xu, M.; Li, T.; Liu, W.; Ding, J.; Gao, L.; Han, X.; Zhang, X. Sensitivity of soil nitrifying and denitrifying microorganisms to nitrogen deposition on the Qinghai–Tibetan plateau. Ann. Microbiol. 2021, 71, 6. [Google Scholar] [CrossRef]
- Yan, G.; Xing, Y.; Han, S.; Zhang, J.; Mu, C. Long-time precipitation reduction and nitrogen deposition increase alter soil nitrogen dynamic by influencing soil bacterial communities and functional groups. Pedosphere 2020, 30, 363–377. [Google Scholar] [CrossRef]
- Zheng, J.; Cui, M.; Wang, C.; Wang, J.; Wang, S.; Sun, Z.; Ren, F.; Wan, S.; Han, S. Elevated CO2, warming, N addition, and increased precipitation affect different aspects of the arbuscular mycorrhizal fungal community. Sci. Total Environ. 2022, 806, 150522. [Google Scholar] [CrossRef] [PubMed]
- Taylor, A.E.; Giguere, A.T.; Zoebelein, C.M.; Myrold, D.D.; Bottomley, P.J. Modeling of soil nitrification responses to temperature reveals thermodynamic differences between ammonia-oxidizing activity of archaea and bacteria. ISME J. 2017, 11, 896–908. [Google Scholar] [CrossRef]
- Chen, Q.; Shang, Y.; Zhu, R.; Bao, Q.; Lin, S. Long-term enclosure at heavy grazing grassland affects soil nitrification via ammonia-oxidizing bacteria in Inner Mongolia. Sci. Rep. 2022, 12, 21464. [Google Scholar] [CrossRef]
- Sun, J.; Rengel, Z.; Zhou, Y.; Li, H.; Zhang, A. Ammonia-oxidizing archaea bacteria (AOB) and comammox drive the nitrification in alkaline soil under long-term biochar and N fertilizer applications. Appl. Soil Ecol. 2024, 193, 105124. [Google Scholar] [CrossRef]
- Zhang, Y.; Zhang, N.; Yin, J.; Zhao, Y.; Yang, F.; Jiang, Z.; Tao, J.; Yan, X.; Qiu, Y.; Guo, H.; et al. Simulated warming enhances the responses of microbial N transformations to reactive N input in a Tibetan alpine meadow. Environ. Int. 2020, 141, 105795. [Google Scholar] [CrossRef] [PubMed]
- Li, J.; Wang, K.B.; Shangguan, Z.P.; Deng, L. Coupling and decoupling of soil carbon, nitrogen and phosphorus stocks following grazing exclusion in temperate grasslands. Catena 2022, 211, 106003. [Google Scholar] [CrossRef]
- Godfree, R.; Roberrtson, B.; Bolger, T.; Carnegie, M.; Young, A. An improved hexagon open-top chamber system for stable diurnal and nocturnal warming and atmospheric carbon dioxide enrichment. Glob. Change Biol. 2011, 17, 439–451. [Google Scholar] [CrossRef]
- Chen, C.R.; Xu, Z.H.; Zhang, S.L.; Keay, P. Soluble Organic Nitrogen Pools in Forest soils of Subtropical Australia. Plant Soil 2005, 277, 285–297. [Google Scholar] [CrossRef]
- Francis, C.A.; Roberts, K.J.; Beman, J.M.; Santoro, A.E.; Oakley, B.B. Ubiquity and diversity of ammonia-oxidizing archaea in water columns and sediments of the ocean. Proc. Natl. Acad. Sci. USA 2005, 102, 14683–14688. [Google Scholar] [CrossRef]
- Stephen, J.R.; Chang, Y.-J.; Macnaughton, S.J.; Kowalchuk, G.A.; Leung, K.T.; Flemming, C.A.; White, D.C. Effect of toxic metals on indigenous soil beta-subgroup proteobacterium ammonia oxidizer community structure and protection against toxicity by inoculated metal-resistant bacteria. Appl. Environ. Microbiol. 1999, 65, 95–101. [Google Scholar] [CrossRef]
- Navas-Molina, J.A.; Peralta-Sánchez, J.M.; González, A.; McMurdie, P.J.; Vázquez-Baeza, Y.; Xu, Z.; Ursell, L.K.; Lauber, C.; Zhou, H.; Song, S.J.; et al. Chapter Nineteen—Advancing Our Understanding of the Human Microbiome Using QIIME, Methods in Enzymology; Academic Press: Cambridge, MA, USA, 2013; Volume 531, pp. 371–444. ISBN 9780124078635. [Google Scholar] [CrossRef]
- Callahan, B.; McMurdie, P.; Rosen, M.; Han, A.W.; Johnson, A.J.A.; Holmes, S.P. DADA2: High-resolution sample inference from Illumina amplicon data. Nat. Methods 2016, 13, 581–583. [Google Scholar] [CrossRef]
- Wei, P.; Du, J.; Bahadur, A.; Zhang, H.; Wang, S.; Wu, T.; Chen, S. Soil erosion and risk assessment on the Qinghai-Tibetan Plateau. Commun. Earth Environ. 2025, 6, 365. [Google Scholar] [CrossRef]
- Bai, X.; Zhai, G.; Zhai, Y.; Li, H.; An, S.; Rafiq, A.; Liu, J. Mechanism of microbial necromass formation during decomposition of Stipa bungeana above-ground residues. Catena 2024, 245, 108283. [Google Scholar] [CrossRef]








| Treatments | AOA-amoA Gene (×104) | AOB-amoA Gene (×104) |
|---|---|---|
| CK | 11.34 ± 1.27 ab | 7.64 ± 0.23 |
| N1 | 11.68 ± 0.66 a | 6.49 ± 0.37 |
| N2 | 11.46 ± 0.93 ab | 7.31 ± 0.52 |
| T | 10.46 ± 0.92 ab | 8.03 ± 0.19 |
| N1T | 8.56 ± 0.6 b | 7.11 ± 0.96 |
| N2T | 11.18 ± 0.76 ab | 7.89 ± 0.31 |
| Treatments | Growth Rate of NO3−-N (R) | Nitrification Potential (Np, mg·kg−1·d−1) | Coefficient of Determination (R2) | Standard Error (SE) |
|---|---|---|---|---|
| CK | 0.16 | 38.82 e | 0.95 | 0.18 |
| N1 | 0.18 | 43.07 de | 0.85 | 0.66 |
| N2 | 0.32 | 76.10 b | 0.95 | 1.09 |
| T | 0.46 | 109.75 a | 0.99 | 3.92 |
| N1T | 0.19 | 45.86 d | 0.88 | 0.41 |
| N2T | 0.29 | 69.24 c | 0.84 | 1.69 |
Disclaimer/Publisher’s Note: The statements, opinions and data contained in all publications are solely those of the individual author(s) and contributor(s) and not of MDPI and/or the editor(s). MDPI and/or the editor(s) disclaim responsibility for any injury to people or property resulting from any ideas, methods, instructions or products referred to in the content. |
© 2025 by the authors. Licensee MDPI, Basel, Switzerland. This article is an open access article distributed under the terms and conditions of the Creative Commons Attribution (CC BY) license (https://creativecommons.org/licenses/by/4.0/).
Share and Cite
Ren, B.; Ma, L.; Xu, T.; Li, H.; Li, J.; Yang, J.; Bai, L. Enhanced Nitrification Potential Soil from a Warm-Temperate Shrub Tussock Ecosystem Under Nitrogen Deposition and Warming Is Driven by Increased Nitrosospira Abundance. Agronomy 2025, 15, 2347. https://doi.org/10.3390/agronomy15102347
Ren B, Ma L, Xu T, Li H, Li J, Yang J, Bai L. Enhanced Nitrification Potential Soil from a Warm-Temperate Shrub Tussock Ecosystem Under Nitrogen Deposition and Warming Is Driven by Increased Nitrosospira Abundance. Agronomy. 2025; 15(10):2347. https://doi.org/10.3390/agronomy15102347
Chicago/Turabian StyleRen, Baihui, Longzhen Ma, Tianyue Xu, Haoyan Li, Jiahuan Li, Jiyun Yang, and Long Bai. 2025. "Enhanced Nitrification Potential Soil from a Warm-Temperate Shrub Tussock Ecosystem Under Nitrogen Deposition and Warming Is Driven by Increased Nitrosospira Abundance" Agronomy 15, no. 10: 2347. https://doi.org/10.3390/agronomy15102347
APA StyleRen, B., Ma, L., Xu, T., Li, H., Li, J., Yang, J., & Bai, L. (2025). Enhanced Nitrification Potential Soil from a Warm-Temperate Shrub Tussock Ecosystem Under Nitrogen Deposition and Warming Is Driven by Increased Nitrosospira Abundance. Agronomy, 15(10), 2347. https://doi.org/10.3390/agronomy15102347

