Effect of Tomato Grafting onto Novel and Commercial Rootstocks on Improved Salinity Tolerance and Enhanced Growth, Physiology, and Yield in Soilless Culture
Abstract
1. Introduction
2. Materials and Methods
2.1. The Location of the Experiments
2.2. Experimental Design and Treatment Distribution
- Factor 1: Irrigation Water SalinityTwo salinity levels are used
- EC2 (2 dS m−1, non-saline): achieved with a standard nutrient solution and desalinated water, considered ideal for tomato growth [32].
- EC4 (4 dS m−1, saline): obtained by adding NaCl to the standard solution, inducing salt stress in tomatoes [33].Treatments are applied weekly after transplanting to the greenhouse.
- Factor 2: Growth MediaVolcanic rock and sand are used as the growing substrate. These materials are chosen for their cost-effectiveness and availability in Saudi Arabia.
- Factor 3: Grafting TreatmentsInvolves six grafting treatments, including the commercial tomato variety Tone Guitar F1 (Seminis company—St. Louis, MI, USA) as the scion. This variety is commonly cultivated in greenhouses in Saudi Arabia (KSA). Tone Guitar F1 was subjected to grafting into four different rootstocks, including the local variety Alawamiya365, sourced from the Seed Centre and the Plant Genetic Assets Bank of the Ministry of Environment, Water, and Agriculture in Saudi Arabia. Additionally, X-218 and X-238 were obtained from the King Abdullah University of Science and Technology in Saudi Arabia and are interspecific hybrids between Solanum lycopersicum and S. pimpinellifolium, along with the commercial variety Maxifort F1 (De Ruiter—Bleiswijk, The Netherlands). Furthermore, Tone Guitar F1 was self-grafted, while a control group consisted of non-grafted plants.
2.3. Plant Grafting
2.4. Plant Transplanting and Experimental Site Preparation
2.5. Irrigation Water and Nutrient Solutions
2.6. The Vegetative Characteristics
2.6.1. Determination of Growth and Physiological Parameters
Growth Parameters
Physiological Parameters
- Leaf gas exchange: In each treatment, three plants were randomly selected from each replication. From each plant, a single upper leaf was chosen for gas exchange measurements (photosynthesis, stomatal conductance, and transpiration rate) between 9:00 a.m. and 11:00 a.m. using a portable photosynthesis system (LI-COR 6400, Lincoln, NE, USA) equipped with a reading arm.
- Proline: For the exact number of plants and leaves in each treatment and from each replication, we determined the proline content using the ninhydrin acid method according to Clausen [41].
- Leaf relative water content: Portions of plant leaves were collected to assess leaf relative water content (LRWC). The procedure involved taking fresh weight measurements of leaf samples and immersing them in distilled water for 4 h to obtain the turgid weight. Subsequently, the samples were dried in an oven at approximately 85 degrees Celsius until a stable weight was achieved. Leaf relative water content was computed using the formula specified in [42].
2.6.2. Determination of Yield and Photosynthetic Pigments
2.7. Statistical Analysis
3. Results
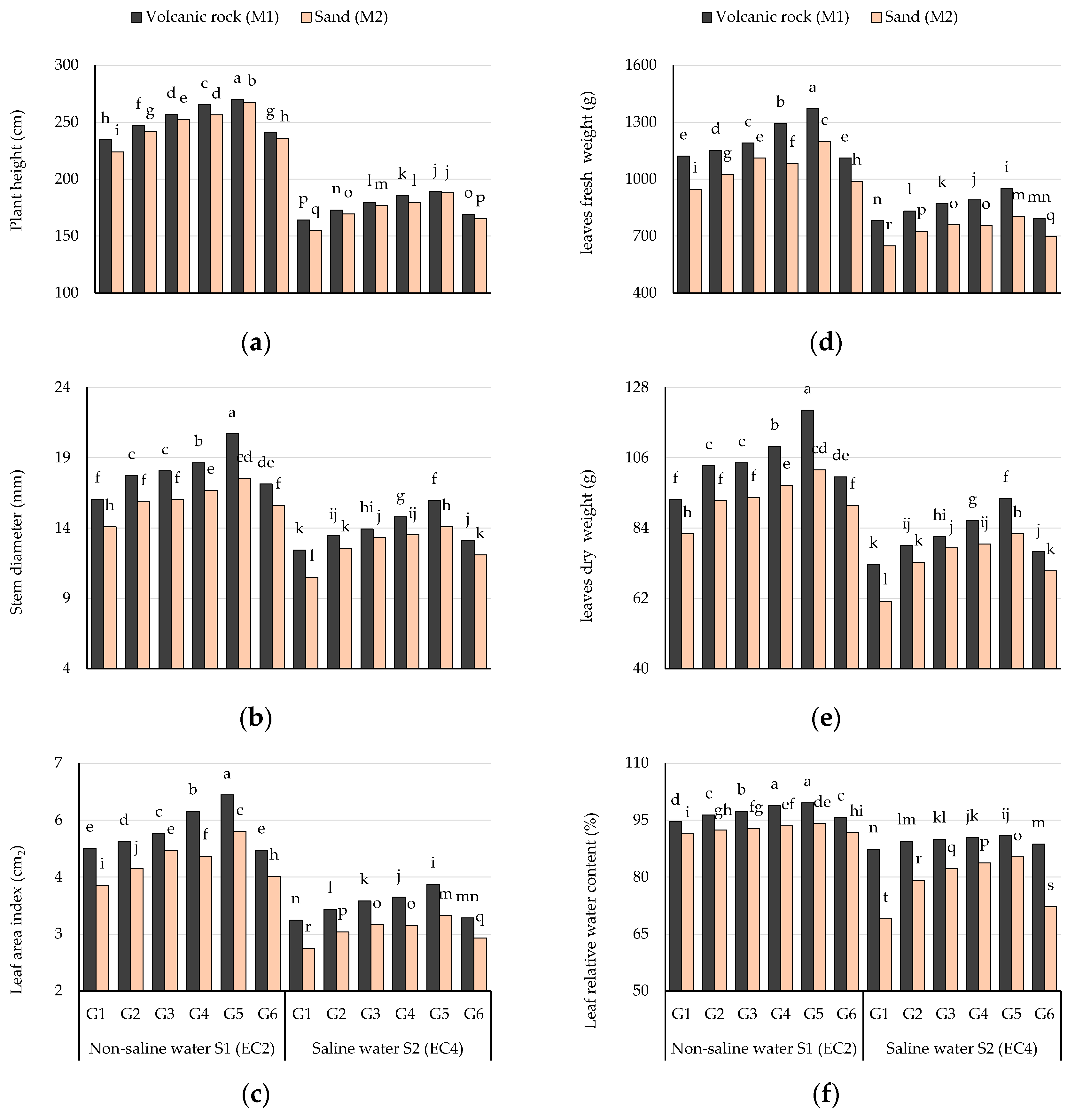
3.1. Growth Media and Rootstock Type Influence Vegetative Growth of Tomato Plants
3.2. Growth Media and Rootstock Type Influence Physiological Processes of Tomato Plants
3.3. Growth Media and Rootstock Type Influence the Photosynthetic Pigment Production in Tomato Plants
3.4. Growth Media and Rootstock Type Influence Yield Characters in Tomato Plants
3.5. Heatmap Analysis for the Different Measurements, and the Interaction between Growth Media and Grafting for Tomatoes
4. Discussion
5. Conclusions
Author Contributions
Funding
Data Availability Statement
Acknowledgments
Conflicts of Interest
References
- Sholi, N.J. Effect of salt stress on seed germination, plant growth, photosynthesis and ion accumulation of four tomato cultivars. Am. J. Plant Physiol. 2012, 7, 269–275. [Google Scholar] [CrossRef]
- Ali, M.; Kamran, M.; Abbasi, G.H.; Saleem, M.H.; Ahmad, S.; Parveen, A.; Malik, Z.; Afzal, S.; Ahmar, S.; Dawar, K.M. Melatonin-induced salinity tolerance by ameliorating osmotic and oxidative stress in the seedlings of two tomato (Solanum lycopersicum L.) cultivars. J. Plant Growth Regul. 2021, 40, 2236–2248. [Google Scholar] [CrossRef]
- FAOSTAT. FAOSTAT Statistics Database. Available online: https://www.fao.org/faostat/en/#home (accessed on 3 May 2024).
- Ministry of Environment, Water and Agriculture (MEWA). Census Book; Ministry of Environment, Water and Agriculture: Riyadh, Saudi Arabia, 2022.
- Al-Harbi, A.; Hejazi, A.; Al-Omran, A. Responses of grafted tomato (Solanum lycopersiocon L.) to abiotic stresses in Saudi Arabia. Saudi J. Biol. Sci. 2017, 24, 1274–1280. [Google Scholar] [CrossRef] [PubMed]
- Keatinge, J.; Lin, L.-J.; Ebert, A.; Chen, W.; Hughes, J.A.; Luther, G.; Wang, J.-F.; Ravishankar, M. Overcoming biotic and abiotic stresses in the Solanaceae through grafting: Current status and future perspectives. Biol. Agric. Hortic. 2014, 30, 272–287. [Google Scholar] [CrossRef]
- Foolad, M. Recent advances in genetics of salt tolerance in tomato. Plant Cell Tiss. Org. Cult. 2004, 76, 101–119. [Google Scholar] [CrossRef]
- Zheng, Q.; Liu, J.; Liu, R.; Wu, H.; Jiang, C.; Wang, C.; Guan, Y. Temporal and spatial distributions of sodium and polyamines regulated by brassinosteroids in enhancing tomato salt resistance. Plant Soil. 2016, 400, 147–164. [Google Scholar] [CrossRef]
- Rao, E.S.; Kadirvel, P.; Symonds, R.C.; Ebert, A.W. Relationship between survival and yield related traits in Solanum pimpinellifolium under salt stress. Euphytica 2013, 190, 215–228. [Google Scholar] [CrossRef]
- Afzal, M.; Hindawi, S.E.S.; Alghamdi, S.S.; Migdadi, H.H.; Khan, M.A.; Hasnain, M.U.; Arslan, M.; Habib ur Rahman, M.; Sohaib, M. Potential breeding strategies for improving salt tolerance in crop plants. J. Plant Growth Regul. 2023, 42, 3365–3387. [Google Scholar] [CrossRef]
- Colla, G.; Rouphael, Y.; Leonardi, C.; Bie, Z. Role of grafting in vegetable crops grown under saline conditions. Sci. Hortic. 2010, 127, 147–155. [Google Scholar] [CrossRef]
- Morton, M.J.; Awlia, M.; Al-Tamimi, N.; Saade, S.; Pailles, Y.; Negrão, S.; Tester, M. Salt stress under the scalpel–dissecting the genetics of salt tolerance. Plant J. 2019, 97, 148–163. [Google Scholar] [CrossRef]
- Dasgan, H.Y.; Aktas, H.; Abak, K.; Cakmak, I. Determination of screening techniques to salinity tolerance in tomatoes and investigation of genotype responses. Plant Sci. 2002, 163, 695–703. [Google Scholar] [CrossRef]
- Gruda, N.S. Increasing sustainability of growing media constituents and stand-alone substrates in soilless culture systems. Agronomy 2019, 9, 298. [Google Scholar] [CrossRef]
- Gharib, M.H.; Palm-Forster, L.H.; Lybbert, T.J.; Messer, K.D. Fear of fraud and willingness to pay for hybrid maize seed in Kenya. Food Policy 2021, 102, 102040. [Google Scholar] [CrossRef]
- Latifah, E.; Krismawati, A.; Saeri, M.; Arifin, Z.; Warsiati, B.; Setyorini, D.; Prahardini, P.E.R.; Soebagyo, H.; Sihombing, D.; Antarlina, S.S. Analysis of plant growth and yield in varieties of tomato (Solanum lycopersicum L.) grafted onto different eggplant rootstocks. Int. J. Agron. 2021, 2021, 6630382. [Google Scholar] [CrossRef]
- Singh, H.; Kumar, P.; Kumar, A.; Kyriacou, M.C.; Colla, G.; Rouphael, Y. Grafting tomato as a tool to improve salt tolerance. Agronomy 2020, 10, 263. [Google Scholar] [CrossRef]
- Albacete, A.; Martínez-Andújar, C.; Martínez-Pérez, A.; Thompson, A.J.; Dodd, I.C.; Pérez-Alfocea, F. Unravelling rootstock× scion interactions to improve food security. J. Exp. Bot. 2015, 66, 2211–2226. [Google Scholar] [CrossRef] [PubMed]
- Xu, H.; Gauthier, L.; Gosselin, A. Photosynthetic responses of greenhouse tomato plants to high solution electrical conductivity and low soil water content. J. Hortic. Sci. 1994, 69, 821–832. [Google Scholar] [CrossRef]
- Voutsela, S.; Yarsi, G.; Petropoulos, S.A.; Khan, E.M. The effect of grafting of five different rootstocks on plant growth and yield of tomato plants cultivated outdoors and indoors under salinity stress. Afr. J. Agric. Res. 2012, 7, 5553–5557. [Google Scholar]
- Melino, V.; Tester, M. Salt-tolerant crops: Time to deliver. Annu. Rev. Plant Biol. 2023, 74, 671–696. [Google Scholar] [CrossRef]
- Turhan, A.; Ozmen, N.; Serbeci, M.; Seniz, V. Effects of grafting on different rootstocks on tomato fruit yield and quality. Hortic. Sci. 2011, 38, 142–149. [Google Scholar] [CrossRef]
- Öztekin, G.; Tüzel, Y.; Gül, A.; Tüzel, I. Effects of grafting in saline conditions. In Proceedings of the XXVII International Horticultural Congress-IHC2006: International Symposium on Advances in Environmental Control, Automation 761, Seoul, Republic of Korea, 13–19 August 2006; pp. 349–355. [Google Scholar]
- Hashem, A.; Bayoumi, Y.; El-Zawily, A.E.-S.; Tester, M.; Rakha, M. Interspecific Hybrid Rootstocks Improve Productivity of Tomato Grown under High-temperature Stress. HortScience 2024, 59, 129–137. [Google Scholar] [CrossRef]
- Domis, M.; Papadopoulos, A.; Gosselin, A. Greenhouse tomato fruit quality. Horticult. Rev. 2002, 26, 239–349. [Google Scholar]
- Schmilewski, G. Growing medium constituents used in the EU. In Proceedings of the International Symposium on Growing Media 2007 819, Nottingham, UK, 2–8 September 2007; pp. 33–46. [Google Scholar]
- Barrett, G.; Alexander, P.; Robinson, J.; Bragg, N. Achieving environmentally sustainable growing media for soilless plant cultivation systems—A review. Sci. Hortic. 2016, 212, 220–234. [Google Scholar] [CrossRef]
- Bilderback, T.E.; Warren, S.L.; Owen, J.S.; Albano, J.P. Healthy substrates need physicals too! HortTechnology 2005, 15, 747–751. [Google Scholar] [CrossRef]
- Mastouri, F.; Hassandokht, M.; Dehkaei, M.P. The effect of application of agricultural waste compost on growing media and greenhouse lettuce yield. Acta Hortic. 2005, 697, 153. [Google Scholar] [CrossRef]
- Arumugam, T.; Sandeep, G.; Maheswari, M.U. Soilless farming of vegetable crops: An overview. Pharma Innov. J. 2021, 10, 773–785. [Google Scholar]
- Swain, A.; Chatterjee, S.; Vishwanath, M. Hydroponics in vegetable crops: A review. J. Pharm. Innov. 2021, 10, 629–634. [Google Scholar]
- Yang, H.; Shukla, M.K.; Du, T. Assessment of plant mineral nutrition concentrations of tomato irrigated with brackish water and RO concentrate. J. Plant Nutr. 2023, 46, 4639–4656. [Google Scholar] [CrossRef]
- Suhandy, D. The effect of EC levels of nutrient solution on the growth, yield, and quality of tomatoes (Solanum lycopersicum) under the hydroponic system. J. Agric. Eng. Biotechnol. JAEB 2014, 2, 7–12. [Google Scholar]
- Al-Harbi, A.; Al-Omran, A.; Alqardaeai, T.; Abdel-Rassak, H.; Alharbi, K.; Obadi, A.; Saad, M. Grafting affects tomato growth, productivity, and water use efficiency under different water regimes. J. Agric. Sci. Technol. 2018, 20, 1227–1241. [Google Scholar]
- Djidonou, D.; Zhao, X.; Simonne, E.H.; Koch, K.E.; Erickson, J.E. Yield, water-, and nitrogen-use efficiency in field-grown, grafted tomatoes. HortScience 2013, 48, 485–492. [Google Scholar] [CrossRef]
- Lee, J.-M.; Kubota, C.; Tsao, S.; Bie, Z.; Echevarria, P.H.; Morra, L.; Oda, M. Current status of vegetable grafting: Diffusion, grafting techniques, automation. Sci. Hortic. 2010, 127, 93–105. [Google Scholar] [CrossRef]
- Bie, B.Z.; Nawaz, M.A.; Huang Yuan, H.Y.; Lee JungMyung, L.J.; Colla, G. Introduction to Vegetable Grafting. In Vegetable Grafting: Principles and Practices; CABI: Wallingford, UK, 2017; pp. 216–244. [Google Scholar]
- Khah, E.; Kakava, E.; Mavromatis, A.; Chachalis, D.; Goulas, C. Effect of grafting on growth and yield of tomato (Lycopersicon esculentum Mill.) in greenhouse and open-field. J. Appl. Hortic. 2006, 8, 3–7. [Google Scholar] [CrossRef]
- Vu, N.-T.; Xu, Z.-H.; Kim, Y.-S.; Kang, H.-M.; Kim, I.-S. Effect of nursery environmental condition and different cultivars on survival rate of grafted tomato seedling. Acta Hort. 2014, 1037, 765–770. [Google Scholar]
- Shah, A.H.; Shah, S.H.; Muneer, S.; Rehman, M. Comparison of two nutrient solution recipes for growing spinach crop in a non-circulating hydroponic system. Sarhad J. Agric. 2009, 25, 405–418. [Google Scholar]
- Claussen, W. Proline as a measure of stress in tomato plants. Plant Sci. 2005, 168, 241–248. [Google Scholar] [CrossRef]
- Smart, R.E.; Bingham, G.E. Rapid estimates of relative water content. Plant Physiol. 1974, 53, 258–260. [Google Scholar] [CrossRef] [PubMed]
- Arnon, D.I. Copper enzymes in isolated chloroplasts. Polyphenoloxidase in Beta vulgaris. Plant Physiol. 1949, 24, 1. [Google Scholar] [CrossRef] [PubMed]
- Steel, R.; Torrie, J. Principles and Procedures of Statistics, a Biometrical Approach; McGraw-Hill Kogakusha Ltd.: New York, NY, USA, 1980. [Google Scholar]
- Chinnusamy, V.; Jagendorf, A.; Zhu, J.K. Understanding and improving salt tolerance in plants. Crop Sci. 2005, 45, 437–448. [Google Scholar] [CrossRef]
- Roșca, M.; Mihalache, G.; Stoleru, V. Tomato responses to salinity stress: From morphological traits to genetic changes. Front. Plant Sci. 2023, 14, 1118383. [Google Scholar] [CrossRef]
- Mohammed, S.; Humidan, M.; Boras, M.; Abdalla, O. Effect of grafting tomato on different rootstocks on growth and productivity under glasshouse conditions. Asian J. Agric. Res. 2009, 3, 47–54. [Google Scholar] [CrossRef]
- Razali, R.; Bougouffa, S.; Morton, M.J.; Lightfoot, D.J.; Alam, I.; Essack, M.; Arold, S.T.; Kamau, A.A.; Schmöckel, S.M.; Pailles, Y. The genome sequence of the wild tomato Solanum pimpinellifolium provides insights into salinity tolerance. Front. Plant Sci. 2018, 9, 390082. [Google Scholar] [CrossRef] [PubMed]
- Benko, B.; Uher, S.F.; Radman, S.; Opačić, N. Hydroponic Production Systems in Greenhouses; IntechOpen: London, UK, 2023. [Google Scholar]
- Vaca, L.E.M.; Torres, O.G.V.; Lugo, S.L.; Cortes, M.A.; Ruiz, N.L.; Patiño, M.L.D. New Materials Optimization Process in Tomato. MRS Online Proc. Libr. OPL 2015, 1767, 127–132. [Google Scholar] [CrossRef]
- Ekinci, M.; Ors, S.; Yildirim, E.; Turan, M.; Sahin, U.; Dursun, A.; Kul, R. Determination of physiological indices and some antioxidant enzymes of chard exposed to nitric oxide under drought stress. Russ. J. Plant Physiol. 2020, 67, 740–749. [Google Scholar] [CrossRef]
- Sanwal, S.K.; Mann, A.; Kumar, A.; Kesh, H.; Kaur, G.; Rai, A.K.; Kumar, R.; Sharma, P.C.; Kumar, A.; Bahadur, A. Salt tolerant eggplant rootstocks modulate sodium partitioning in tomato scion and improve performance under saline conditions. Agriculture 2022, 12, 183. [Google Scholar] [CrossRef]
- Feng, X.; Guo, K.; Yang, C.; Li, J.; Chen, H.; Liu, X. Growth and fruit production of tomato grafted onto wolfberry (Lycium chinense) rootstock in saline soil. Sci. Hortic. 2019, 255, 298–305. [Google Scholar]
- Shin, Y.K.; Bhandari, S.R.; Cho, M.C.; Lee, J.G. Evaluation of chlorophyll fluorescence parameters and proline content in tomato seedlings grown under different salt stress conditions. Hortic. Environ. Biotechnol. 2020, 61, 433–443. [Google Scholar] [CrossRef]
- Gharsallah, C.; Fakhfakh, H.; Grubb, D.; Gorsane, F. Effect of salt stress on ion concentration, proline content, antioxidant enzyme activities and gene expression in tomato cultivars. AoB Plants 2016, 8, plw055. [Google Scholar] [CrossRef]
- Ashraf, M.; Foolad, M.R. Roles of glycine betaine and proline in improving plant abiotic stress resistance. Environ. Exp. Bot. 2007, 59, 206–216. [Google Scholar] [CrossRef]
- Abdelaziz, M.; Abdeldaym, E. Effect of grafting and different EC levels of saline irrigation water on growth, yield and fruit quality of tomato (Lycopersicon esculentum) in greenhouse. Plant Arch. 2019, 19, 3021–3027. [Google Scholar]
- Alzahib, R.H.; Migdadi, H.M.; Al Ghamdi, A.A.; Alwahibi, M.S.; Ibrahim, A.A.; Al-Selwey, W.A. Assessment of morpho-physiological, biochemical and antioxidant responses of tomato landraces to salinity stress. Plants 2021, 10, 696. [Google Scholar] [CrossRef] [PubMed]
- Kazerooni, E.A.; Maharachchikumbura, S.S.; Al-Sadi, A.M.; Rashid, U.; Kang, S.-M.; Lee, I.-J. Actinomucor elegans and podospora bulbillosa positively improves endurance to water deficit and Salinity Stresses in tomato plants. J. Fungi 2022, 8, 785. [Google Scholar] [CrossRef] [PubMed]
- Kul, R.; Arjumend, T.; Ekinci, M.; Yildirim, E.; Turan, M.; Argin, S. Biochar as an organic soil conditioner for mitigating salinity stress in tomato. Soil. Sci. Plant Nutr. 2021, 67, 693–706. [Google Scholar] [CrossRef]
- Tang, X.; Mu, X.; Shao, H.; Wang, H.; Brestic, M. Global plant-responding mechanisms to salt stress: Physiological and molecular levels and implications in biotechnology. Crit. Rev. Biotechnol. 2015, 35, 425–437. [Google Scholar] [CrossRef] [PubMed]
- Madugundu, R.; Al-Gaadi, K.A.; Tola, E.; Patil, V.C.; Sigrimis, N. The Impact of Salinity and Nutrient Regimes on the Agro-Morphological Traits and Water Use Efficiency of Tomato under Hydroponic Conditions. Appl. Sci. 2023, 13, 9564. [Google Scholar] [CrossRef]
- Gaion, L.A.; Braz, L.T.; Carvalho, R.F. Grafting in vegetable crops: A great technique for agriculture. Int. J. Veg. Sci. 2018, 24, 85–102. [Google Scholar] [CrossRef]
- Shivani, T.; Agnibha, S.; Vikram, S.; Avnee. Impact of Saline Irrigation Water on Yield and Quality of Tomato (Solanum lycopersicum L.). Chem. Sci. Rev. Lett. 2022, 41, 83–86. [Google Scholar]
- Ortega Martínez, L.D.; Martínez Valenzuela, C.; Ocampo Mendoza, J.; Sandoval Castro, E.; Pérez Armendáriz, B. Efficiency of substrates in soil and hydroponic system for greenhouse tomato production. Rev. Mex. Cienc. Agric. 2016, 7, 643–653. [Google Scholar]








Disclaimer/Publisher’s Note: The statements, opinions and data contained in all publications are solely those of the individual author(s) and contributor(s) and not of MDPI and/or the editor(s). MDPI and/or the editor(s) disclaim responsibility for any injury to people or property resulting from any ideas, methods, instructions or products referred to in the content. |
© 2024 by the authors. Licensee MDPI, Basel, Switzerland. This article is an open access article distributed under the terms and conditions of the Creative Commons Attribution (CC BY) license (https://creativecommons.org/licenses/by/4.0/).
Share and Cite
Alqardaeai, T.; Alharbi, A.; Alenazi, M.; Alomran, A.; Elfeky, A.; Osman, M.; Obadi, A.; Aldubai, A.; Ortiz, N.R.; Melino, V.; et al. Effect of Tomato Grafting onto Novel and Commercial Rootstocks on Improved Salinity Tolerance and Enhanced Growth, Physiology, and Yield in Soilless Culture. Agronomy 2024, 14, 1526. https://doi.org/10.3390/agronomy14071526
Alqardaeai T, Alharbi A, Alenazi M, Alomran A, Elfeky A, Osman M, Obadi A, Aldubai A, Ortiz NR, Melino V, et al. Effect of Tomato Grafting onto Novel and Commercial Rootstocks on Improved Salinity Tolerance and Enhanced Growth, Physiology, and Yield in Soilless Culture. Agronomy. 2024; 14(7):1526. https://doi.org/10.3390/agronomy14071526
Chicago/Turabian StyleAlqardaeai, Thabit, Abdulaziz Alharbi, Mekhled Alenazi, Abdulrasoul Alomran, Ahmed Elfeky, Mohamed Osman, Abdullah Obadi, Abdulhakim Aldubai, Nathaly Rodriguez Ortiz, Vanessa Melino, and et al. 2024. "Effect of Tomato Grafting onto Novel and Commercial Rootstocks on Improved Salinity Tolerance and Enhanced Growth, Physiology, and Yield in Soilless Culture" Agronomy 14, no. 7: 1526. https://doi.org/10.3390/agronomy14071526
APA StyleAlqardaeai, T., Alharbi, A., Alenazi, M., Alomran, A., Elfeky, A., Osman, M., Obadi, A., Aldubai, A., Ortiz, N. R., Melino, V., Tester, M., & Pailles, Y. (2024). Effect of Tomato Grafting onto Novel and Commercial Rootstocks on Improved Salinity Tolerance and Enhanced Growth, Physiology, and Yield in Soilless Culture. Agronomy, 14(7), 1526. https://doi.org/10.3390/agronomy14071526

