Variation in Soil Hydrothermal after 29-Year Straw Return in Northeast China during the Freeze–Thaw Process
Abstract
1. Introduction
2. Materials and Methods
2.1. Study Area
2.2. Methods
2.3. Data Analysis
- (1)
- The water freezes at 0 °C, and the latent heat is 333.6 kJ kg−1.
- (2)
- Neither surface water infiltration nor transport between soil layers is considered after soil freezing. The unfrozen water content and vertical migration rates are extremely low [24].
- (3)
- The heat of the freezing phase transition is equal to the heat of the thawing phase transition (i.e., the freezing moisture melts completely into liquid moisture during the thawing period).where L represents the latent heat consumed during the phase transition from water to ice (J m−2), Q is the latent heat of the freezing (333.6 kJ kg−1), ρw is the density of moisture (1000 kg m−3), n represents the number of soil layers, i is the ith soil depth, θ is unfrozen water content (cm3 cm−3), and z is the soil layer thickness (m).
3. Results
3.1. Variation Characteristics of the ST during the Freeze–Thaw Period
3.1.1. Characteristics of the Freeze–Thaw Processes
3.1.2. Variation Process of the ST
3.1.3. Relationship between ST and Air Temperature
3.2. Soil Moisture Transport during the Freeze–Thaw Period
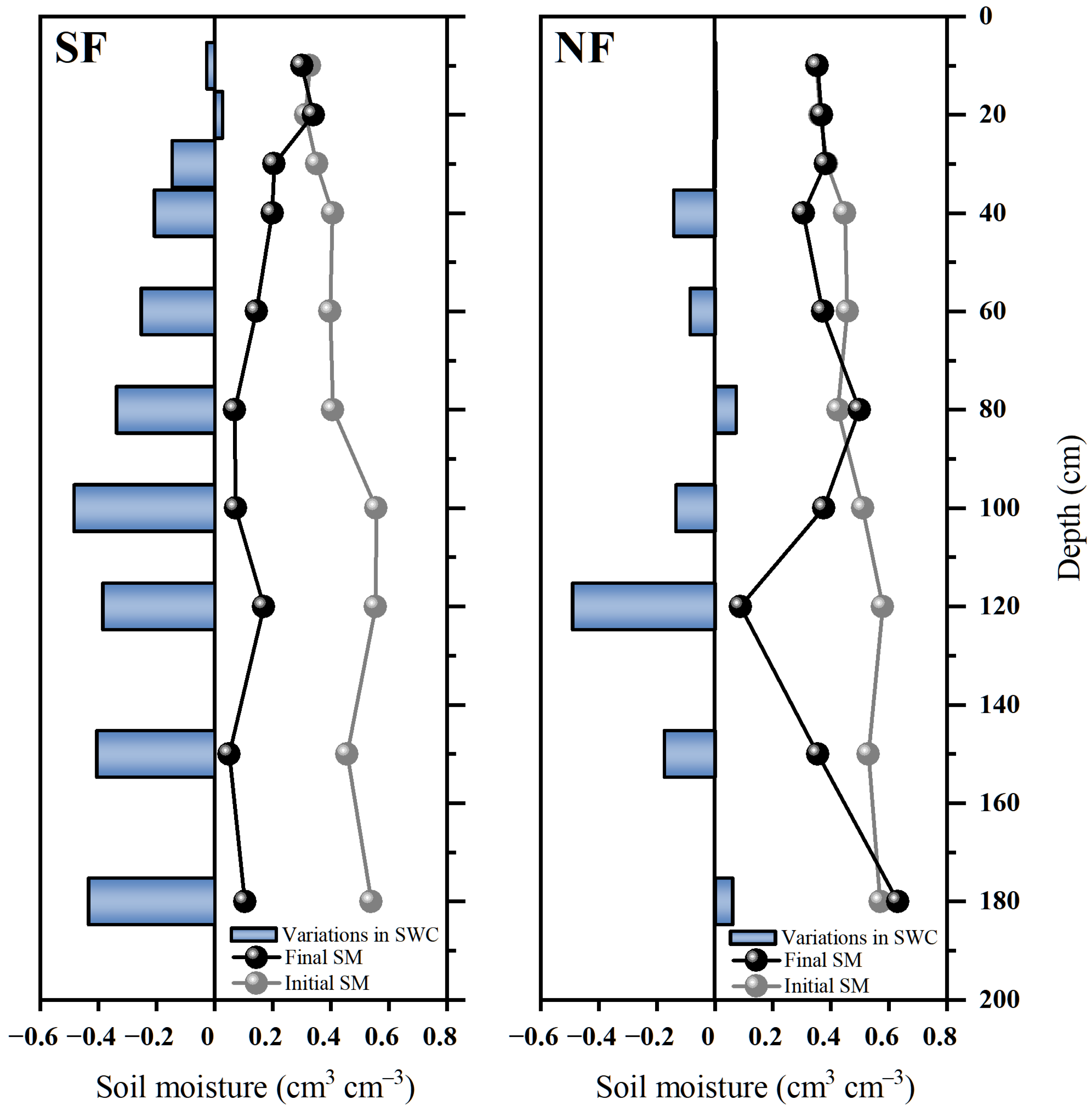
3.2.1. Variation Process of the SM
3.2.2. Movement of SM
3.3. Soil Water–Heat Coupling Process Characteristics during the Freeze–Thaw Period
3.3.1. SM and ST during the Freezing Period
3.3.2. Energy from Phase Transitions during the Freezing Stages
4. Discussion
4.1. Soil Temperature Characteristics Response to Long-Term Straw Return during the Freeze–Thaw Process
4.2. Impact of Freeze–Thaw Process on the Movement of Moisture
4.3. Hydrothermal Coupling during the Freeze–Thaw Process
4.4. Implication to the Effects of Long-Term Straw Return on the Freeze–Thaw Process
5. Conclusions
Supplementary Materials
Author Contributions
Funding
Data Availability Statement
Acknowledgments
Conflicts of Interest
References
- Meng, F.X.; Hou, R.J.; Li, T.X.; Fu, Q. Variability of soil water heat and energy transfer under different cover conditions in a seasonally frozen soil area. Sustainability 2020, 12, 1782. [Google Scholar] [CrossRef]
- Wang, T.; Li, P.; Li, Z.B.; Hou, J.M.; Xiao, L.; Ren, Z.P.; Xu, G.C.; Yu, K.X.; Su, Y.Y. The effects of freeze-thaw process on soil water migration in dam and slope farmland on the Loess Plateau, China. Sci. Total Environ. 2019, 666, 721–730. [Google Scholar] [CrossRef] [PubMed]
- Sun, L.B.; Chang, X.M.; Yu, X.X.; Jia, G.D.; Chen, L.H.; Wang, Y.S.; Liu, Z.Q. Effect of freeze-thaw processes on soil water transport of farmland in a semi-arid area. Agric. Water Manag. 2021, 252, 106876. [Google Scholar] [CrossRef]
- Yang, K.; Wang, C.H. Water storage effect of soil freeze-thaw process and its impacts on soil hydro-thermal regime variations. Agric. For. Meteorol. 2019, 265, 280–294. [Google Scholar] [CrossRef]
- Maurer, G.E.; Bowling, D.R. Seasonal snowpack characteristics influence soil temperature and water content at multiple scales in interior western U.S. mountain ecosystems. Water Reour. Res. 2014, 50, 5216–5234. [Google Scholar] [CrossRef]
- Fu, Q.; Hou, R.J.; Li, T.J.; Jiang, R.Q.; Yan, P.R.; Ma, Z.A.; Zhou, Z.Q. Effects of soil water and heat relationship under various snow cover during freezing-thawing periods in Songnen Plain, China. Sci. Rep. 2018, 8, 1325. [Google Scholar] [CrossRef] [PubMed]
- Yi, J.; Zhao, Y.; Shao, M.A.; Zhang, J.G.; Cui, L.L.; Si, B.C. Soil freezing and thawing processes affected by the different landscapes in the middle reaches of Heihe River Basin, Gansu, China. J. Hydrol. 2014, 519, 1328–1338. [Google Scholar] [CrossRef]
- Ala, M.; Liu, Y.; Wang, A.Z.; Niu, C.Y. Characteristics of soil freeze–thaw cycles and their effects on water enrichment in the rhizosphere. Geoderma 2016, 264, 132–139. [Google Scholar] [CrossRef]
- Chen, S.Y.; Ouyang, W.; Hao, F.H.; Zhao, X.C. Combined impacts of freeze–thaw processes on paddy land and dry land in Northeast China. Sci. Total Environ. 2013, 456–457, 24–33. [Google Scholar] [CrossRef]
- Chen, J.F.; Wang, E.Q.; Xue, J.; Cui, L.H.; Zheng, X.Q.; Du, Q. Effects of soil particle size and gradation on the transformation between shallow phreatic water and soil water under laboratory freezing-thawing action. J. Hydrol. 2023, 619, 129323. [Google Scholar] [CrossRef]
- Wang, W.N.; Wang, W.S.; Wang, P.; Wang, X.H.; Wang, L.W.; Wang, C.Z.; Zhang, C.L.; Huo, Z.L. Impact of straw return on soil temperature and water during the freeze-thaw period. Agric. Water Manag. 2023, 282, 108292. [Google Scholar] [CrossRef]
- Bristow, K. The role of mulch and its architecture in modifying soil temperature. Soil Res. 1988, 26, 269–280. [Google Scholar] [CrossRef]
- Fu, Q.; Yan, P.R.; Li, T.X.; Cui, S.; Peng, L. Effects of straw mulching on soil evaporation during the soil thawing period in a cold region in northeastern China. J. Earth Syst. Sci. 2018, 127, 33. [Google Scholar] [CrossRef]
- Song, X.L.; Sun, R.J.; Chen, W.F.; Wang, M.H. Effects of surface straw mulching and buried straw layer on soil water content and salinity dynamics in saline soils. Can. J. Soil Sci. 2019, 100, 58–68. [Google Scholar] [CrossRef]
- Cui, S.Y.; Cao, G.Q.; Zhu, X.K. Evaluation of ecosystem service of straw return to soil in a wheat field of China. Int. J. Agric. Biol. Eng. 2021, 14, 192–198. [Google Scholar] [CrossRef]
- Liu, S.C.; Zhang, H.; Lyu, J.L.; Wang, Y.Y.; Guo, W.L. A preliminary study on soil water transport and thermodynamics in a Loess soil with straw returning for long time. J. Agro-Environ. Sci. 2012, 31, 1791–1798. (In Chinese) [Google Scholar] [CrossRef]
- Ma, Y.Z.; Zhang, Y.S.; Zubrzycki, S.; Guo, Y.H.; Farhan, S.B. Hillslope-scale variability in seasonal frost depth and soil water content investigated by GPR on the southern margin of the sporadic permafrost zone on the Tibetan Plateau. Permafrost Periglac. Process. 2015, 26, 321–334. [Google Scholar] [CrossRef]
- Liu, X.B.; Burras, C.L.; Kravchenko, Y.S.; Duran, A.; Huffman, T.; Morras, H.; Studdert, G.; Zhang, X.Y.; Cruse, R.M.; Yuan, X.H. Overview of Mollisols in the world: Distribution, land use and management. Can. J. Soil Sci. 2012, 92, 383–402. [Google Scholar] [CrossRef]
- Li, T.X.; Yu, P.F.; Liu, D.; Fu, Q.; Hou, R.J.; Zhao, H.; Xu, S.; Zuo, Y.T.; Xue, P. Effects of biochar on sediment transport and rill erosion after two consecutive years of seasonal freezing and thawing. Sustainability 2021, 13, 6984. [Google Scholar] [CrossRef]
- Tian, P.; Lian, H.L.; Wang, Z.Y.; Jiang, Y.; Li, C.F.; Sui, P.X.; Qi, H. Effects of deep and shallow tillage with straw incorporation on soil organic carbon, total nitrogen and enzyme activities in Northeast China. Sustainability 2020, 12, 8679. [Google Scholar] [CrossRef]
- Zhang, J.; Hang, X.N.; Lamine, S.M.; Jiang, Y.; Afreh, D.; Qian, H.Y.; Feng, X.M.; Zheng, C.Y.; Deng, A.X.; Song, Z.W.; et al. Interactive effects of straw incorporation and tillage on crop yield and greenhouse gas emissions in double rice cropping system. Agric. Ecosyst. Environ. 2017, 250, 37–43. [Google Scholar] [CrossRef]
- Anderson, D.M.; Tice, A.R. Physical aspects of soil water and salts in ecosystems. In The Unfrozen Interfacial Phase in Frozen Soil Water Systems; Springer: Berlin/Heidelberg, Germany, 1973; pp. 107–124. [Google Scholar]
- Hu, G.J.; Zhao, L.; Wu, X.D.; Li, R.; Wu, T.H.; Xie, C.W.; Pang, Q.Q.; Xiao, Y.; Li, W.P.; Qiao, Y.P.; et al. Modeling permafrost properties in the Qinghai-Xizang (Tibet) Plateau. Sci. China Earth Sci. 2015, 58, 2309–2326. [Google Scholar] [CrossRef]
- Tian, H.H.; Wei, C.F.; Wei, H.Z.; Zhou, J.Z. Freezing and thawing characteristics of frozen soils: Bound water content and hysteresis phenomenon. Cold Reg. Sci. Technol. 2014, 103, 74–81. [Google Scholar] [CrossRef]
- Wang, G.P.; Ke, Q.H.; Zhang, K.L.; Li, Y.T.; Liu, H.Y.; Yu, Y.; Ma, Q.H. Responses of freeze-thaw process and hydrothermal variations within soil profiles to the cultivation of forest and grassland in Northeast China. Soil Tillage Res. 2023, 228, 105653. [Google Scholar] [CrossRef]
- Zhao, L.; Hu, G.J.; Wu, X.D.; Wu, T.H.; Li, R.; Pang, Q.Q.; Zou, D.E.; Du, E.J.; Zhu, X.F. Dynamics and characteristics of soil temperature and moisture of active layer in the central Tibetan Plateau. Geoderma 2021, 400, 115083. [Google Scholar] [CrossRef]
- Mu, Y.T.; Liu, Z.Q.; Li, Y.; Zhu, D.Y. Characteristics of soil temperature variation in karst area and its relationship with environmental factors. Acta Ecol. Sin. 2021, 41, 2738–2749. (In Chinese) [Google Scholar] [CrossRef]
- Liu, S.; Huang, Q.Z.; Ren, D.Y.; Xu, X.; Xiong, Y.W.; Huang, G.H. Soil evaporation and its impact on salt accumulation in different landscapes under freeze–thaw conditions in an arid seasonal frozen region. Vadose Zone J. 2021, 20, e20098. [Google Scholar] [CrossRef]
- Li, X.; Jin, R.; Pan, X.D.; Zhang, T.J.; Guo, J.W. Changes in the near-surface soil freeze-thaw cycle on the Qinghai-Tibetan Plateau. Int. J. Appl. Earth Obs. Geoinf. 2012, 17, 33–42. [Google Scholar] [CrossRef]
- Fu, Q.; Wang, X.H.; Liu, D.; Li, T.X. Thermal condition of snow and its response to meteorological factors at field scale. Trans. ASABE 2016, 59, 903–912. [Google Scholar] [CrossRef]
- Nagare, R.M.; Schincariol, R.A.; Quinton, W.L.; Hayashi, M. Effects of freezing on soil temperature, freezing front propagation and moisture redistribution in peat: Laboratory investigations. Hydrol. Earth Syst. Sci. 2012, 16, 501–515. [Google Scholar] [CrossRef]
- Hinkel, K.M.; Outcalt, S.I.; Nelson, F.E. Temperature variation and apparent thermal diffusivity in the refreezing active layer, Toolik Lake, Alaska. Permafrost Periglac. Process. 1990, 1, 265–274. [Google Scholar] [CrossRef]
- Hu, G.J.; Zhao, L.; Zhu, X.F.; Wu, X.D.; Wu, T.H.; Li, R.; Xie, C.W.; Hao, J.M. Review of algorithms and parameterizations to determine unfrozen water content in frozen soil. Geoderma 2020, 368, 114277. [Google Scholar] [CrossRef]
- Zhang, Y.S.; Wang, S.S.; Barr, A.G.; Black, T.A. Impact of snow cover on soil temperature and its simulation in a boreal aspen forest. Cold Reg. Sci. Technol. 2008, 52, 355–370. [Google Scholar] [CrossRef]
- Yuan, L.M.; Zhao, L.; Li, R.; Hu, G.J.; Du, E.J.; Qiao, Y.P.; Ma, L. Spatiotemporal characteristics of hydrothermal processes of the active layer on the central and northern Qinghai–Tibet plateau. Sci. Total Environ. 2020, 712, 136392. [Google Scholar] [CrossRef]
- He, Z.; Hou, R.J.; Fu, Q.; Li, T.X.; Zhang, S.J.; Su, A.S. Evolution mechanism of soil hydrothermal parameters under freeze–thaw cycles: Regulatory significance of straw and biochar. J. Clean. Prod. 2023, 385, 135787. [Google Scholar] [CrossRef]
- Fu, Q.; Li, T.N.; Li, T.X.; Cui, H. Influence of straw mulching on soil moisture characteristics during seasonal freeze-thaw period. Trans. Chin. Soc. Agric. Mach. 2015, 46, 141–146. (In Chinese) [Google Scholar] [CrossRef]
- Yin, W.; Chai, Q.; Guo, Y.; Fan, Z.L.; Hu, F.L.; Fan, H.; Zhao, C.; Yu, A.Z.; Coulter, J.A. Straw and plastic management regulate air-soil temperature amplitude and wetting-drying alternation in soil to promote intercrop productivity in arid regions. Field Crops Res. 2020, 249, 107758. [Google Scholar] [CrossRef]











| Depth (cm) | SF | NF | ||
|---|---|---|---|---|
| Freezing Rate (cm d−1) | Thawing Rate (cm d−1) | Freezing Rate (cm d−1) | Thawing Rate (cm d−1) | |
| 10–20 | 2.5 | 0.83 | 3.33 | 1.67 |
| 20–30 | 0.56 | 2.5 | 1.43 | 1 |
| 30–40 | 2 | 1 | 0.91 | 3.33 |
| 40–60 | 0.77 | 1.11 | 1.82 | 2 |
| 60–80 | 2.22 | 2.86 | 1.11 | 1.18 |
| 80–100 | 1.11 | 5 | 1.82 | 2.22 |
| 100–120 | 0.77 | 0.57 | 1.05 | 20 |
| 120–150 | 0.77 | 0.81 | ||
| Site | Soil Depth (cm) | Average Freezing Temperature (°C) | Average Frozen Temperature (°C) | Average Thawing Temperature (°C) | Minimum Temperature (°C) | Date of Minimum Temperature |
|---|---|---|---|---|---|---|
| SF | 10 | −0.46 | −5.49 | 2.02 | −8.96 | 12/27 |
| 20 | −0.22 | −4.61 | 0.22 | −7.43 | 12/27 | |
| 30 | −0.17 | −3.43 | −0.27 | −5.48 | 2/8 | |
| 40 | −0.05 | −2.70 | −0.16 | −4.67 | 2/8 | |
| 60 | −0.02 | −1.38 | −0.04 | −2.70 | 2/9 | |
| 80 | 0.01 | −0.82 | 0.04 | −1.90 | 2/10 | |
| 100 | −0.01 | −0.47 | 0.07 | −1.10 | 2/19 | |
| 120 | −0.01 | −0.18 | 0.04 | −0.30 | 3/15 | |
| NF | 10 | −0.51 | −6.81 | 0.35 | −11.55 | 12/27 |
| 20 | −0.34 | −6.08 | 0.11 | −10.39 | 12/27 | |
| 30 | −0.27 | −4.93 | 0.10 | −8.89 | 1/1 | |
| 40 | −0.21 | −3.81 | 0.01 | −6.67 | 2/8 | |
| 60 | 0.06 | −2.41 | 0.04 | −4.80 | 2/9 | |
| 80 | −0.06 | −1.58 | 0.05 | −3.40 | 2/10 | |
| 100 | −0.04 | −0.99 | 0.04 | −2.20 | 2/10 | |
| 120 | 0.05 | −0.60 | 0.04 | −1.31 | 2/23 | |
| 150 | −0.01 | −0.07 | 0.05 | −0.10 | 3/11 |
| Site | Soil Depth (cm) | Moisture to Ice Phase Variable (m3 m−2) | Moisture to Ice Phase Change Heat (m3 m−2) |
|---|---|---|---|
| SF | 120 | 0.185 | 33.0 |
| NF | 150 | 0.261 | 43.6 |
Disclaimer/Publisher’s Note: The statements, opinions and data contained in all publications are solely those of the individual author(s) and contributor(s) and not of MDPI and/or the editor(s). MDPI and/or the editor(s) disclaim responsibility for any injury to people or property resulting from any ideas, methods, instructions or products referred to in the content. |
© 2024 by the authors. Licensee MDPI, Basel, Switzerland. This article is an open access article distributed under the terms and conditions of the Creative Commons Attribution (CC BY) license (https://creativecommons.org/licenses/by/4.0/).
Share and Cite
Li, H.; Li, M.; Wang, S.; Gao, M. Variation in Soil Hydrothermal after 29-Year Straw Return in Northeast China during the Freeze–Thaw Process. Agronomy 2024, 14, 1525. https://doi.org/10.3390/agronomy14071525
Li H, Li M, Wang S, Gao M. Variation in Soil Hydrothermal after 29-Year Straw Return in Northeast China during the Freeze–Thaw Process. Agronomy. 2024; 14(7):1525. https://doi.org/10.3390/agronomy14071525
Chicago/Turabian StyleLi, Haiyu, Meng Li, Shuli Wang, and Ming Gao. 2024. "Variation in Soil Hydrothermal after 29-Year Straw Return in Northeast China during the Freeze–Thaw Process" Agronomy 14, no. 7: 1525. https://doi.org/10.3390/agronomy14071525
APA StyleLi, H., Li, M., Wang, S., & Gao, M. (2024). Variation in Soil Hydrothermal after 29-Year Straw Return in Northeast China during the Freeze–Thaw Process. Agronomy, 14(7), 1525. https://doi.org/10.3390/agronomy14071525
