Evaluating Tomato Performance: A Novel Approach of Combining Full and Deficit Irrigation with Saline Water
Abstract
1. Introduction
2. Materials and Methods
2.1. Experimental Site
2.2. Experiment and Treatment Setup
2.3. Crop Water Requirement Calculation
2.4. Growth and Physiological Parameters
2.5. Total Yield and Water Use Efficiency
2.6. Statistical Analysis
3. Results
3.1. Photosynthetic Rate, Stomatal Conductance, Transpiration Rate, and Chlorophyll Index
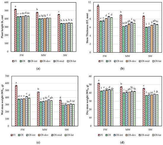
3.2. Plant Height, Wet Stem Weight, Dry Stem Weight, Stem Thickness, and Leaf Area
3.3. Crop Yield and Water Management Indicators
3.4. Yield—Applied Irrigation Water Functions
3.5. Citric Acid, Vitamin C, and Total Soluble Solids
4. Discussion
5. Conclusions
Author Contributions
Funding
Data Availability Statement
Acknowledgments
Conflicts of Interest
References
- Obadi, A.; Alharbi, A.; Alomran, A.; Alghamdi, A.G.; Louki, I.; Alkhasha, A. Effect of Biochar Application on Morpho-Physiological Traits, Yield, and Water Use Efficiency of Tomato Crop under Water Quality and Drought Stress. Plants 2023, 12, 2355. [Google Scholar] [CrossRef]
- Kolekar, S.; Sankapal, P.; Khare, K.; Chinnasamy, P. Assessment of recycled treated wastewater for sustainable tomato crop production: A comprehensive review. Environ. Chall. 2023, 13, 100791. [Google Scholar] [CrossRef]
- Mir, A.M.; Ashraf, W.M. The challenges and potential strategies of Saudi Arabia’s water Resources: A review in analytical way. Environ. Nanotechnol. Monit. Manag. 2023, 20, 100855. [Google Scholar] [CrossRef]
- Samad, N.; Bruno, V. The urgency of preserving water resources. Environ. News 2013, 21, 3–6. [Google Scholar]
- Al-Omran, A.M.; Aly, A.A.; Al-Wabel, M.I.; Sallam, A.S.; Al-Shayaa, M.S. Hydrochemical characterization of groundwater under agricultural land in arid environment: A case study of Al-Kharj, Saudi Arabia. Arab. J. Geosci. 2016, 9, 68. [Google Scholar] [CrossRef]
- Alharbi, T.; El-Sorogy, A.S. Risk Assessment of Potentially Toxic Elements in Agricultural Soils of Al-Ahsa Oasis, Saudi Arabia. Sustainability 2022, 15, 659. [Google Scholar] [CrossRef]
- Abderrahman, W.A.; Rasheeduddin, M.; Al-Harazin, I.M.; Esuflebbe, M.; Eqnaibi, B.S. Impacts of management practices on groundwater conditions in the eastern province, Saudi Arabia. Hydrogeol. J. 1995, 3, 32–41. [Google Scholar] [CrossRef]
- Mallick, J.; Singh, C.K.; AlMesfer, M.K.; Singh, V.P.; Alsubih, M. Groundwater Quality Studies in the Kingdom of Saudi Arabia: Prevalent Research and Management Dimensions. Water 2021, 13, 1266. [Google Scholar] [CrossRef]
- Baig, M.B.; Alotibi, Y.; Straquadine, G.S.; Alataway, A. Water Resources in the Kingdom of Saudi Arabia: Challenges and Strategies for Improvement. In Water Policies in MENA Countries; Zekri, S., Ed.; Springer International Publishing: Cham, Switzerland, 2020; pp. 135–160. [Google Scholar]
- Khapte, P.S.; Kumar, P.; Burman, U.; Kumar, P. Deficit irrigation in tomato: Agronomical and physio-biochemical implications. Sci. Hortic. 2019, 248, 256–264. [Google Scholar] [CrossRef]
- FAOSTAT. Food and Agriculture Data: Production, Crops and Livestock Products. Available online: https://www.fao.org/faostat/en/#data/QCL (accessed on 10 February 2024).
- MEWA. Statistical Yearbook 2021: The Ministry of Environment, Water, and Agriculture’s Achievements; Ministry of Environment, Water and Agriculture: Riyadh, Saudi Arabia, 2021. [Google Scholar]
- Abdul-Hammed, M.; Bolarinwa, I.F.; Adebayo, L.O.; Akindele, S.L. Kinetics of the degradation of carotenoid antioxidants in tomato paste. Adv. J. Food Sci. Technol. 2016, 11, 734–741. [Google Scholar] [CrossRef]
- Beckles, D.M. Factors affecting the postharvest soluble solids and sugar content of tomato (Solanum lycopersicum L.) fruit. Postharvest. Biol. Tec. 2012, 63, 129–140. [Google Scholar] [CrossRef]
- Johnstone, P.R.; Hartz, T.K.; LeStrange, M.; Nunez, J.J.; Miyao, E.M. Managing Fruit Soluble Solids with Late-season Deficit Irrigation in Drip-irrigated Processing Tomato Production. Hortscience 2005, 40, 1857–1861. [Google Scholar] [CrossRef]
- Mahajan, G.; Singh, K.G. Response of Greenhouse tomato to irrigation and fertigation. Agric. Water Manag. 2006, 84, 202–206. [Google Scholar] [CrossRef]
- Nangare, D.; Singh, Y.; Kumar, P.S.; Minhas, P. Growth, fruit yield and quality of tomato (Lycopersicon esculentum Mill.) as affected by deficit irrigation regulated on phenological basis. Agric. Water Manag. 2016, 171, 73–79. [Google Scholar] [CrossRef]
- Ripoll, J.; Urban, L.; Brunel, B.; Bertin, N. Water deficit effects on tomato quality depend on fruit developmental stage and genotype. J. Plant. Physiol. 2016, 190, 26–35. [Google Scholar] [CrossRef]
- Lu, J.; Shao, G.C.; Cui, J.T.; Wang, X.J.; Keabetswe, L. Yield, fruit quality and water use efficiency of tomato for processing under regulated deficit irrigation: A meta-analysis. Agric. Water Manag. 2019, 222, 301–312. [Google Scholar] [CrossRef]
- Agbna, G.H.D.; Dongli, S.; Zhipeng, L.; Elshaikh, N.A.; Guangcheng, S.; Timm, L.C. Effects of deficit irrigation and biochar addition on the growth, yield, and quality of tomato. Sci. Hortic. 2017, 222, 90–101. [Google Scholar] [CrossRef]
- Chai, Q.; Gan, Y.; Zhao, C.; Xu, H.-L.; Waskom, R.M.; Niu, Y.; Siddique, K.H. Regulated deficit irrigation for crop production under drought stress. A review. Agron. Sustain. Dev. 2016, 36, 3. [Google Scholar] [CrossRef]
- Chand, J.; Hewa, G.; Hassanli, A.; Myers, B. Evaluation of Deficit Irrigation and Water Quality on Production and Water Productivity of Tomato in Greenhouse. Agriculture 2020, 10, 297. [Google Scholar] [CrossRef]
- Chen, J.; Kang, S.; Du, T.; Qiu, R.; Guo, P.; Chen, R. Quantitative response of greenhouse tomato yield and quality to water deficit at different growth stages. Agric. Water Manag. 2013, 129, 152–162. [Google Scholar] [CrossRef]
- Kuşçu, H.; Turhan, A.; Demir, A.O. The response of processing tomato to deficit irrigation at various phenological stages in a sub-humid environment. Agric. Water Manag. 2014, 133, 92–103. [Google Scholar] [CrossRef]
- Patanè, C.; Tringali, S.; Sortino, O. Effects of deficit irrigation on biomass, yield, water productivity and fruit quality of processing tomato under semi-arid Mediterranean climate conditions. Sci. Hortic. 2011, 129, 590–596. [Google Scholar] [CrossRef]
- Ouda, O.K.M. Water demand versus supply in Saudi Arabia: Current and future challenges. Int. J. Water Resour. Dev. 2014, 30, 335–344. [Google Scholar] [CrossRef]
- Tarawneh, Q.Y.; Chowdhury, S. Trends of Climate Change in Saudi Arabia: Implications on Water Resources. Climate 2018, 6, 8. [Google Scholar] [CrossRef]
- Cui, J.; Shao, G.; Lu, J.; Keabetswe, L.; Hoogenboom, G. Yield, quality and drought sensitivity of tomato to water deficit during different growth stages. Sci. Agric. 2020, 77, e20180390. [Google Scholar] [CrossRef]
- Nuruddin, M.M.; Madramootoo, C.A.; Dodds, G.T. Effects of Water Stress at Different Growth Stages on Greenhouse Tomato Yield and Quality. Hortscience 2003, 38, 1389–1393. [Google Scholar] [CrossRef]
- Patanè, C.; Corinzia, S.A.; Testa, G.; Scordia, D.; Cosentino, S.L. Physiological and Agronomic Responses of Processing Tomatoes to Deficit Irrigation at Critical Stages in a Semi-Arid Environment. Agronomy 2020, 10, 800. [Google Scholar] [CrossRef]
- Alshami, A.K.; El-Shafei, A.; Al-Omran, A.M.; Alghamdi, A.G.; Louki, I.; Alkhasha, A. Responses of Tomato Crop and Water Productivity to Deficit Irrigation Strategies and Salinity Stress in Greenhouse. Agronomy 2023, 13, 3016. [Google Scholar] [CrossRef]
- Al-Omran, A.; Al-Harbi, A.; Wahab-Allah, M.; Nadeem, M.; El-Eter, A. Impact of saline water rates under surface and subsurface drip irrigation system on tomato production. Turk. J. Agric. 2010, 33, 1–15. [Google Scholar]
- De Pascale, S.; Orsini, F.; Pardossi, A. Irrigation water quality for greenhouse horticulture. In Good Agricultural Practices for Greenhouse Vegetable Crops: Principles for Mediterranean Climate Areas; Wilfried, B., Womdim, R.N., Nebambi, L., Alison, H., Nicolás, C., Cherubino, L., De Pascale, S., Muien, Q., Eds.; Food and Agriculture Organization of the United Nations: Rome, Italy, 2013; Volume 217, pp. 169–204. [Google Scholar]
- Allen, R.G.; Pereira, L.S.; Raes, D.; Smith, M. Crop Evapotranspiration—Guidelines for Computing Crop Water Requirements—FAO Irrigation And Drainage Paper 56; FAO: Rome, Italy, 1998. [Google Scholar]
- ImageJ. Image Processing and Analysis in Java, v1.51j8; National Institutes of Health and the Laboratory for Optical and Computational Instrumentation LOCI: Madison, WI, USA, 2018.
- Helrich, K. Official Methods of Analysis of the Association of Official Analytical Chemists, 15th ed.; Association of Official Analytical Chemists: Arlington, VA, USA, 1990. [Google Scholar]
- Caruso, G.; Conti, S.; Villari, G.; Borrelli, C.; Melchionna, G.; Minutolo, M.; Russo, G.; Amalfitano, C. Effects of transplanting time and plant density on yield, quality and antioxidant content of onion (Allium cepa L.) in southern Italy. Sci. Hortic. 2014, 166, 111–120. [Google Scholar] [CrossRef]
- Ahmed, A.F.; Yu, H.; Yang, X.; Jiang, W. Deficit Irrigation Affects Growth, Yield, Vitamin C Content, and Irrigation Water Use Efficiency of Hot Pepper Grown in Soilless Culture. HortScience Horts 2014, 49, 722–728. [Google Scholar] [CrossRef]
- CoHort Software. Costat Statistical Package, Version 6.45; CoHort Software: Monterey, CA, USA, 2020.
- Malash, N.; Flowers, T.J.; Ragab, R. Effect of irrigation systems and water management practices using saline and non-saline water on tomato production. Agric. Water Manag. 2005, 78, 25–38. [Google Scholar] [CrossRef]
- Ors, S.; Ekinci, M.; Yildirim, E.; Sahin, U.; Turan, M.; Dursun, A. Interactive effects of salinity and drought stress on photosynthetic characteristics and physiology of tomato (Lycopersicon esculentum L.) seedlings. S. Afr. J. Bot. 2021, 137, 335–339. [Google Scholar] [CrossRef]
- Ashraf, M. Some important physiological selection criteria for salt tolerance in plants. Flora Morphol. Distrib. Funct. Ecol. Plants 2004, 199, 361–376. [Google Scholar] [CrossRef]
- Raghavendra, A.S.; Gonugunta, V.K.; Christmann, A.; Grill, E. ABA perception and signalling. Trends Plant Sci. 2010, 15, 395–401. [Google Scholar] [CrossRef] [PubMed]
- Sperry, J.S.; Alder, N.N.; Eastlack, S.E. The effect of reduced hydraulic conductance on stomatal conductance and xylem cavitation. J. Exp. Bot. 1993, 44, 1075–1082. [Google Scholar] [CrossRef]
- Liu, F.; Jensen, C.R.; Andersen, M.N. Hydraulic and chemical signals in the control of leaf expansion and stomatal conductance in soybean exposed to drought stress. Funct. Plant Biol. 2003, 30, 65–73. [Google Scholar] [CrossRef] [PubMed]
- Parkash, V.; Singh, S. A Review on Potential Plant-Based Water Stress Indicators for Vegetable Crops. Sustainability 2020, 12, 3945. [Google Scholar] [CrossRef]
- Farooq, M.; Wahid, A.; Kobayashi, N.; Fujita, D.; Basra, S. Plant drought stress: Effects, mechanisms and management. Agron. Sustain. Dev. 2009, 29, 185–212. [Google Scholar] [CrossRef]
- Tang, X.; Mu, X.; Shao, H.; Wang, H.; Brestic, M. Global plant-responding mechanisms to salt stress: Physiological and molecular levels and implications in biotechnology. Crit. Rev. Biotechnol. 2015, 35, 425–437. [Google Scholar] [CrossRef]
- Kazerooni, E.A.; Maharachchikumbura, S.S.N.; Al-Sadi, A.M.; Rashid, U.; Kang, S.M.; Lee, I.J. Actinomucor elegans and Podospora bulbillosa Positively Improves Endurance to Water Deficit and Salinity Stresses in Tomato Plants. J. Fungi 2022, 8, 785. [Google Scholar] [CrossRef] [PubMed]
- Alordzinu, K.; Jiuhao, L.; Appiah, S.; Aasmi, A.; Blege, P.; Afful, E. Water stress affects the physio-morphological development of tomato growth. Afr. J. Agric. Res. 2021, 17, 733–742. [Google Scholar] [CrossRef]
- Liang, G.; Liu, J.; Zhang, J.; Guo, J. Effects of Drought Stress on Photosynthetic and Physiological Parameters of Tomato. J. Amer. Soc. Hort. Sci. 2020, 145, 12–17. [Google Scholar] [CrossRef]
- Liu, J.; Zhang, R.; Zhang, G.; Guo, J.; Dong, Z. Effects of soil drought on photosynthetic traits and antioxidant enzyme activities in Hippophae rhamnoides seedlings. J. For. Res. 2017, 28, 255–263. [Google Scholar] [CrossRef]
- Wong, S.; Cowan, I.; Farquhar, G. Stomatal conductance correlates with photosynthetic capacity. Nature 1979, 282, 424–426. [Google Scholar] [CrossRef]
- Tuzet, A.; Perrier, A.; Leuning, R. A coupled model of stomatal conductance, photosynthesis and transpiration. Plant Cell Environ. 2003, 26, 1097–1116. [Google Scholar] [CrossRef]
- Hao, S.; Cao, H.; Wang, H.; Pan, X. The physiological responses of tomato to water stress and re-water in different growth periods. Sci. Hortic. 2019, 249, 143–154. [Google Scholar] [CrossRef]
- Hörtensteiner, S.; Kräutler, B. Chlorophyll breakdown in higher plants. Biochim. Biophys. Acta BBA Bioenerg. 2011, 1807, 977–988. [Google Scholar] [CrossRef] [PubMed]
- Gabhi, R.; Basile, L.; Kirk, D.W.; Giorcelli, M.; Tagliaferro, A.; Jia, C.Q. Electrical conductivity of wood biochar monoliths and its dependence on pyrolysis temperature. Biochar 2020, 2, 369–378. [Google Scholar] [CrossRef]
- Al-Harbi, A.R.; Al-Omran, A.M.; Alenazi, M.M.; Wahb-Allah, M.A. Salinity and Deficit Irrigation Influence Tomato Growth, Yield and Water Use Efficiency at Different Developmental Stages. Int. J. Agric. Biol. 2015, 17, 241–250. [Google Scholar]
- Naeem, M.; Waseem, M.; Zhu, Z.; Zhang, L. Downregulation of SlGRAS15 manipulates plant architecture in tomato (Solanum lycopersicum). Dev. Genes Evol. 2020, 230, 1–12. [Google Scholar] [CrossRef]
- Romero-Aranda, R.; Soria, T.; Cuartero, J. Tomato plant-water uptake and plant-water relationships under saline growth conditions. Plant Sci. 2001, 160, 265–272. [Google Scholar] [CrossRef]
- Ghannem, A.; Ben Aissa, I.; Majdoub, R. Effects of regulated deficit irrigation applied at different growth stages of greenhouse grown tomato on substrate moisture, yield, fruit quality, and physiological traits. Environ. Sci. Pollut. Res. 2021, 28, 46553–46564. [Google Scholar] [CrossRef]
- Naeem, M.; Zhao, W.; Ahmad, N.; Zhao, L. Beyond green and red: Unlocking the genetic orchestration of tomato fruit color and pigmentation. Funct. Integr. Genom. 2023, 23, 243. [Google Scholar] [CrossRef]
- Colimba-Limaico, J.E.; Zubelzu-Minguez, S.; Rodríguez-Sinobas, L. Optimal Irrigation Scheduling for Greenhouse Tomato Crop (Solanum lycopersicum L.) in Ecuador. Agronomy 2022, 12, 1020. [Google Scholar] [CrossRef]
- Wu, Y.; Yan, S.; Fan, J.; Zhang, F.; Xiang, Y.; Zheng, J.; Guo, J. Responses of growth, fruit yield, quality and water productivity of greenhouse tomato to deficit drip irrigation. Sci. Hortic. 2021, 275, 109710. [Google Scholar] [CrossRef]
- Al-Harbi, A.; Wahb-Allah, M.; Al-Omran, A. Effects of salinity and irrigation management on growth and yield of tomato grown under greenhouse conditions. In Proceedings of International Symposium on Strategies Towards Sustainability of Protected Cultivation in Mild Winter Climate 807, Antalya, Turkey, 6–11 April 2008; pp. 201–206. [Google Scholar]
- Gao, Y.; Shao, G.; Lu, J.; Wang, Y.; Cui, J. Changes in yield of tomato irrigated with salty water varied by soil properties and irrigation practices: A meta-analysis. Arch. Agron. Soil Sci. 2023, 69, 2300–2313. [Google Scholar] [CrossRef]
- Yang, H.; Du, T.; Mao, X.; Ding, R.; Shukla, M.K. A comprehensive method of evaluating the impact of drought and salt stress on tomato growth and fruit quality based on EPIC growth model. Agric. Water Manag. 2019, 213, 116–127. [Google Scholar] [CrossRef]
- Tura, L.E.; Tolossa, T.T. Systematic review: Effect of irrigation water quality and deficit irrigation on crop yield and water use efficiency. Turk. J. Agric.-Food Sci. Technol. 2020, 8, 1201–1210. [Google Scholar] [CrossRef]
- Chand, J.B.; Hewa, G.; Hassanli, A.; Myers, B. Deficit irrigation on tomato production in a greenhouse environment: A review. J. Irrig. Drain. Eng. 2021, 147, 04020041. [Google Scholar] [CrossRef]
- Kirda, C.; Çetin, M.; Dasgan, Y.; Topçu, S.; Kaman, H.; Ekici, B.; Derici, M.R.; Ozguven, A. Yield response of greenhouse grown tomato to partial root drying and conventional deficit irrigation. Agric. Water Manag. 2004, 69, 191–201. [Google Scholar] [CrossRef]
- Wang, C.X.; Gu, F.; Chen, J.L.; Yang, H.; Jiang, J.J.; Du, T.S.; Zhang, J.H. Assessing the response of yield and comprehensive fruit quality of tomato grown in greenhouse to deficit irrigation and nitrogen application strategies. Agric. Water Manag. 2015, 161, 9–19. [Google Scholar] [CrossRef]
- Yang, H.; Du, T.; Qiu, R.; Chen, J.; Wang, F.; Li, Y.; Wang, C.; Gao, L.; Kang, S. Improved water use efficiency and fruit quality of greenhouse crops under regulated deficit irrigation in northwest China. Agric. Water Manag. 2017, 179, 193–204. [Google Scholar] [CrossRef]
- Yang, H.; Du, T.; Mao, X.; Shukla, M.K. Modeling tomato evapotranspiration and yield responses to salinity using different macroscopic reduction functions. Vadose Zone J. 2020, 19, e20074. [Google Scholar] [CrossRef]
- Malash, N.; Flowers, T.; Ragab, R. Effect of irrigation methods, management and salinity of irrigation water on tomato yield, soil moisture and salinity distribution. Irrig. Sci. 2008, 26, 313–323. [Google Scholar] [CrossRef]
- Agius, C.; von Tucher, S.; Rozhon, W. The Effect of Salinity on Fruit Quality and Yield of Cherry Tomatoes. Horticulturae 2022, 8, 59. [Google Scholar] [CrossRef]
- Lipan, L.; Issa-Issa, H.; Moriana, A.; Zurita, N.M.; Galindo, A.; Martín-Palomo, M.J.; Andreu, L.; Carbonell-Barrachina, A.A.; Hernández, F.; Corell, M. Scheduling Regulated Deficit Irrigation with Leaf Water Potential of Cherry Tomato in Greenhouse and its Effect on Fruit Quality. Agriculture 2021, 11, 669. [Google Scholar] [CrossRef]
- Liu, H.; Li, H.H.; Ning, H.F.; Zhang, X.X.; Li, S.; Pang, J.; Wang, G.S.; Sun, J.S. Optimizing irrigation frequency and amount to balance yield, fruit quality and water use efficiency of greenhouse tomato. Agric. Water Manag. 2019, 226, 105787. [Google Scholar] [CrossRef]
- Mitchell, J.; Shennan, C.; Grattan, S.; May, D. Tomato fruit yields and quality under water deficit and salinity. J. Am. Soc. Hortic. Sci. 1991, 116, 215–221. [Google Scholar] [CrossRef]
- Guichard, S.; Bertin, N.; Leonardi, C.; Gary, C. Tomato fruit quality in relation to water and carbon fluxes. Agronomie 2001, 21, 385–392. [Google Scholar] [CrossRef]
- Wang, F.; Kang, S.; Du, T.; Li, F.; Qiu, R. Determination of comprehensive quality index for tomato and its response to different irrigation treatments. Agric. Water Manag. 2011, 98, 1228–1238. [Google Scholar] [CrossRef]
- Chen, J.L.; Kang, S.Z.; Du, T.S.; Guo, P.; Qiu, R.J.; Chen, R.Q.; Gu, F. Modeling relations of tomato yield and fruit quality with water deficit at different growth stages under greenhouse condition. Agric. Water Manag. 2014, 146, 131–148. [Google Scholar] [CrossRef]
- Wu, Z.; Fan, Y.; Qiu, Y.; Hao, X.; Li, S.; Kang, S. Response of yield and quality of greenhouse tomatoes to water and salt stresses and biochar addition in Northwest China. Agric. Water Manag. 2022, 270, 107736. [Google Scholar] [CrossRef]








| Soil Physical Properties | ||||||||||
|---|---|---|---|---|---|---|---|---|---|---|
| Soil Depth (cm) | Bulk Density (g cm3) | CaCO3 (%) | Organic Matter (%) | Mechanical Analysis (%) | Saturation % | Field Capacity % | Wilting Point % | |||
| Sand | Silt | Clay | Soil Texture | |||||||
| 0–25 | 1.59 | 15.9 | 0.5 | 89 | 4.5 | 6.5 | Loamy sand | 25.4 | 18.1 | 8.5 |
| 25–50 | 1.57 | 23.2 | 1.0 | 77.9 | 11.5 | 10.6 | Sandy loam | 26.1 | 18.9 | 11.2 |
| Chemical analysis | ||||||||||
| Soil depth (cm) | pH | EC (dS·m−1) | Cations (meq L−1) | Anions (meq L−1) | SAR | |||||
| Ca2+ | Mg2+ | Na+ | K+ | SO42− | HCO3− | Cl− | ||||
| 0–25 | 7.45 | 3.91 | 8.17 | 2.26 | 18.4 | 14 | 25.38 | 12 | 25.83 | 2.03 |
| 25–50 | 7.39 | 3.77 | 14.17 | 1.31 | 13.6 | 9.9 | 11.08 | 24 | 11.08 | 4.14 |
| Water sample | pH | EC (dS·m−1) | Cations (meq L−1) | Anions (meq L−1) | SAR | |||||
| Ca2+ | Mg2+ | Na+ | K+ | CO32− | HCO3− | Cl− | ||||
| Freshwater | 7.1 | 0.9 | 4.2 | 2.4 | 7.3 | 0.13 | 0 | 2 | 7.2 | 4.02 |
| Saline water | 7.52 | 3.6 | 2.8 | 2.2 | 32.04 | 0.29 | 0 | 2.87 | 31.29 | 20.26 |
| Treatment | Description | Conductivity (dS·m−1) | |
|---|---|---|---|
| Irrigation Quality | |||
| FW | Fresh water (FW) | 0.9 | |
| SW | Saline water (SW) | 3.6 | |
| MW | 1:1 mixture of fresh and saline water (MW) | 2.25 | |
| Irrigation amount | ![]() | (mm) | % ETc |
| * FI | ![]() | 744.64 | 100 |
| ** DI | ![]() | 446.79 | 60.0 |
| DI-int | ![]() | 472.19 | 63.4 |
| DI-dev | ![]() | 488.17 | 65.6 |
| DI-mid | ![]() | 617.13 | 82.9 |
| DI-lat | ![]() | 507.51 | 68.2 |
| Irrigation Quality | Pn (μmol CO2 m−2 s−1) | Tr (mmol H2O m−2 s−1) | gs (mmol H2O m−2 s−1) | Chl-I (SPAD) |
|---|---|---|---|---|
| FW | 15.59 a | 1.14 a | 3.58 a | 42.15 a |
| MW | 13.75 b | 0.95 b | 3.06 b | 36.27 b |
| SW | 12.55 c | 0.91 c | 2.76 c | 34.01 c |
| p-value | 0.000 | 0.000 | 0.000 | 0.000 |
| LSD | 0.060 | 0.032 | 0.039 | 0.378 |
| Variance | 0.004 | 0.001 | 0.002 | 0.167 |
| Irrigation amount | ||||
| FI | 15.64 a | 1.18 a | 3.84 a | 41.93 a |
| DI | 12.99 f | 0.93 d | 2.86 d | 34.94 f |
| DI-int | 13.28 e | 0.94 d | 2.96 c | 35.56 e |
| DI-dev | 13.43 d | 0.95 cd | 2.96 c | 36.7 d |
| DI-mid | 14.42 b | 1.02 b | 3.12 b | 38.28 b |
| DI-lat | 14.04 c | 0.98 bc | 3.08 b | 37.45 c |
| p-value | 0.000 | 0.000 | 0.000 | 0.000 |
| LSD | 0.078 | 0.041 | 0.089 | 0.395 |
| Variance | 0.007 | 0.002 | 0.009 | 0.168 |
| Interaction of irrigation quality and amount | ||||
| p-value | 0.000 | 0.76 | 0.08 | 0.000 |
| LSD | 0.136 | 0.070 | 0.155 | 0.683 |
| Variance | 0.007 | 0.002 | 0.009 | 0.168 |
| Fresh Water | ||||||||||||||
| Yield | WUE | gs | Pn | Tr | Chl-I | ST | h | LA | WSw | WSd | CA | TSS | VC | |
| yield | ||||||||||||||
| WUE | −0.72 *** | |||||||||||||
| gs | 0.90 **** | −0.69 ** | ||||||||||||
| Pn | 0.74 *** | −0.94 **** | 0.70 ** | |||||||||||
| Tr | 0.94 **** | −0.81 **** | 0.86 **** | 0.85 **** | ||||||||||
| Chl-I | 0.88 **** | −0.89 **** | 0.83 **** | 0.93 **** | 0.95 **** | |||||||||
| ST | 0.94 **** | −0.84 **** | 0.91 **** | 0.85 **** | 0.97 **** | 0.95 **** | ||||||||
| h | 0.97 **** | −0.74 *** | 0.91 **** | 0.74 *** | 0.94 **** | 0.88 **** | 0.96 **** | |||||||
| LA | 0.87 **** | −0.92 **** | 0.80 **** | 0.88 **** | 0.90 **** | 0.92 **** | 0.93 **** | 0.91 **** | ||||||
| WSw | 0.97 **** | −0.79 **** | 0.89 **** | 0.78 *** | 0.96 **** | 0.90 **** | 0.97 **** | 0.99 **** | 0.94 **** | |||||
| WSd | 0.97 **** | −0.77 *** | 0.93 **** | 0.77 *** | 0.95 **** | 0.90 **** | 0.97 **** | 0.98 **** | 0.91 **** | 0.99 **** | ||||
| CA | −0.96 **** | 0.63 ** | −0.86 **** | −0.63 ** | −0.89 **** | −0.79 **** | −0.90 **** | −0.97 **** | −0.82 **** | −0.95 **** | −0.95 **** | |||
| TSS | −0.95 **** | 0.62 ** | −0.88 **** | −0.62 ** | −0.90 **** | −0.79 **** | −0.92 **** | −0.96 **** | −0.81 **** | −0.95 **** | −0.96 **** | 0.96 **** | ||
| VC | −0.92 **** | 0.54 * | −0.84 **** | −0.55 * | −0.87 **** | −0.73 *** | −0.87 **** | −0.95 **** | −0.77 *** | −0.93 **** | −0.93 **** | 0.97 **** | 0.97 **** | |
| Saline Water | ||||||||||||||
| yield | WUE | gs | Pn | Tr | Chl-I | ST | h | LA | WSw | WSd | CA | TSS | VC | |
| yield | ||||||||||||||
| WUE | −0.91 **** | |||||||||||||
| gs | 0.88 **** | −0.85 **** | ||||||||||||
| Pn | 0.98 **** | −0.88 **** | 0.89 **** | |||||||||||
| Tr | 0.92 **** | −0.83 **** | 0.85 **** | 0.95 **** | ||||||||||
| Chl-I | 0.97 **** | −0.91 **** | 0.91 **** | 0.98 **** | 0.91 **** | |||||||||
| ST | 0.97 **** | −0.87 **** | 0.87 **** | 0.99 **** | 0.94 **** | 0.98 **** | ||||||||
| h | 0.91 **** | −0.76 *** | 0.81 **** | 0.96 **** | 0.95 **** | 0.91 **** | 0.95 **** | |||||||
| LA | 0.97 **** | −0.87 **** | 0.84 **** | 0.96 **** | 0.94 **** | 0.96 **** | 0.97 **** | 0.92 **** | ||||||
| WSw | 0.96 **** | −0.85 **** | 0.87 **** | 0.99 **** | 0.97 **** | 0.96 **** | 0.98 **** | 0.97 **** | 0.97 **** | |||||
| WSd | 0.95 **** | −0.81 **** | 0.85 **** | 0.98 **** | 0.96 **** | 0.95 **** | 0.97 **** | 0.98 **** | 0.97 **** | 0.99 **** | ||||
| CA | −0.76 *** | 0.58 * | −0.61 ** | −0.82 **** | −0.83 **** | −0.77 *** | −0.81 **** | −0.92 **** | −0.79 **** | −0.86 **** | −0.88 **** | |||
| TSS | −0.82 **** | 0.62 ** | −0.71 *** | −0.89 **** | −0.88 **** | −0.81 **** | −0.87 **** | −0.97 **** | −0.83 **** | −0.90 **** | −0.93 **** | 0.94 **** | ||
| VC | −0.86 **** | 0.66 ** | −0.73 *** | −0.91 **** | −0.91 **** | −0.85 **** | −0.90 **** | −0.97 **** | −0.89 **** | −0.93 **** | −0.96 **** | 0.93 **** | 0.97 **** | |
| Mixed water | ||||||||||||||
| yield | WUE | gs | Pn | Tr | Chl-I | ST | h | LA | WSw | WSd | CA | TSS | VC | |
| yield | ||||||||||||||
| WUE | −0.86 **** | |||||||||||||
| gs | 0.86 **** | −0.88 **** | ||||||||||||
| Pn | 0.87 **** | −0.97 **** | 0.92 **** | |||||||||||
| Tr | 0.80 **** | −0.89 **** | 0.89 **** | 0.95 **** | ||||||||||
| Chl-I | 0.84 **** | −0.96 **** | 0.91 **** | 0.98 **** | 0.94 **** | |||||||||
| ST | 0.85 **** | −0.93 **** | 0.94 **** | 0.98 **** | 0.95 **** | 0.98 **** | ||||||||
| h | 0.73 *** | −0.85 **** | 0.89 **** | 0.92 **** | 0.95 **** | 0.92 **** | 0.95 **** | |||||||
| LA | 0.88 **** | −0.93 **** | 0.91 **** | 0.97 **** | 0.96 **** | 0.95 **** | 0.97 **** | 0.93 **** | ||||||
| WSw | 0.82 **** | −0.90 **** | 0.91 **** | 0.96 **** | 0.97 **** | 0.95 **** | 0.97 **** | 0.98 **** | 0.96 **** | |||||
| WSd | 0.73 *** | −0.88 **** | 0.88 **** | 0.94 **** | 0.94 **** | 0.95 **** | 0.96 **** | 0.98 **** | 0.92 **** | 0.96 **** | ||||
| CA | −0.62 ** | 0.71 *** | −0.77 *** | −0.80 **** | −0.90 **** | −0.79 *** | −0.84 **** | −0.93 **** | −0.83 **** | −0.91 **** | −0.87 **** | |||
| TSS | −0.66 ** | 0.69 ** | −0.81 **** | −0.80 **** | −0.90 **** | −0.78 *** | −0.85 **** | −0.95 **** | −0.84 **** | −0.93 **** | −0.88 **** | 0.95 **** | ||
| VC | −0.63 ** | 0.66 ** | −0.78 *** | −0.77 *** | −0.86 **** | −0.77 *** | −0.84 **** | −0.94 **** | −0.80 **** | −0.90 **** | −0.89 **** | 0.91 **** | 0.98 **** | |
| Irrigation Quality | h (cm) | WSw (g) | WSd (g) | ST (mm) | LA (cm2) |
|---|---|---|---|---|---|
| FW | 445.71 a | 419.51 a | 44.68 a | 8.54 a | 1208.14 a |
| MW | 417.99 b | 374.87 b | 42.17 b | 7.11 b | 1193.48 a |
| SW | 364.52 c | 312.07 c | 39.04 c | 6.83 c | 1162.12 b |
| p-value | 0.00 | 0.00 | 0.00 | 0.00 | 0.01 |
| LSD | 4.384 | 3.736 | 0.425 | 0.153 | 22.333 |
| Variance | 22.443 | 16.293 | 0.211 | 0.027 | 582.322 |
| Irrigation amount | |||||
| FI | 482.61 a | 469.58 a | 48.11 a | 9.59 a | 1431.01 a |
| DI | 390.58 d | 336.88 e | 39.83 e | 6.60 e | 1074.84 e |
| DI-int | 392.18 d | 341.93 d | 40.49 d | 6.71 e | 1102.74 de |
| DI-dev | 394.47 cd | 346.36 d | 40.69 cd | 7.16 d | 1133.63 cd |
| DI-mid | 399.89 b | 366.34 b | 41.52 b | 7.58 b | 1223.5 b |
| DI-lat | 396.73 bc | 351.79 c | 41.13 bc | 7.34 c | 1161.74 c |
| p-value | 0.00 | 0.00 | 0.00 | 0.00 | 0.00 |
| LSD | 4.245 | 4.716 | 0.484 | 0.139 | 32.508 |
| Variance | 19.443 | 23.997 | 0.253 | 0.021 | 1140.154 |
| Interaction of irrigation quality and amount | |||||
| p-value | 0.00 | 0.00 | 0.02 | 0.00 | 0.65 |
| LSD | 7.353 | 8.169 | 0.839 | 0.241 | 56.305 |
| Variance: | 19.443 | 23.997 | 0.253 | 0.021 | 1140.154 |
| Irrigation Quality | Y (t·ha−1) | WUE (kg·m−3) | YR (%) | WUEI (%) |
|---|---|---|---|---|
| FW | 108.55 a | 20.33 a | 0.00 | 0.00 |
| MW | 99.75 b | 18.8 b | 8.11 | −7.53 |
| SW | 76.02 c | 14.16 c | 29.97 | −30.35 |
| p-value | 0.00 | 0.00 | -- | -- |
| LSD | 0.644 | 0.140 | -- | -- |
| Variance | 0.485 | 0.023 | -- | -- |
| Irrigation amount | ||||
| FI | 105.34 a | 14.15 f | 0.00 | 0.00 |
| DI | 90.92 d | 20.35 a | 13.69 | 43.8 |
| DI-int | 91.4 d | 19.36 b | 13.23 | 36.8 |
| DI-dev | 91.98 d | 18.84 c | 12.68 | 33.1 |
| DI-mid | 95.73 b | 15.51 e | 9.12 | 9.6 |
| DI-lat | 93.27 c | 18.38 d | 11.46 | 29.9 |
| p-value | 0.00 | 0.00 | -- | -- |
| LSD | 1.270 | 0.253 | -- | -- |
| Variance | 1.739 | 0.069 | -- | -- |
| Interaction of irrigation quality and amount | ||||
| p-value | 0.00 | 0.00 | -- | -- |
| LSD | 2.199 | 0.438 | -- | -- |
| Variance: | 1.739 | 0.069 | -- | -- |
| Treatments | CA (% Citric Acid) | VC (mg·100·g−1) | TSS (%) |
|---|---|---|---|
| Irrigation quality | |||
| FW | 4.17 c | 31.07 c | 4.38 c |
| MW | 4.28 b | 33.59 b | 4.54 b |
| SW | 4.92 a | 34.26 a | 5.06 a |
| p-value | 0.00 | 0.00 | 0.00 |
| LSD | 0.066 | 0.340 | 0.025 |
| Variance | 0.005 | 0.135 | 0.001 |
| Irrigation amount | |||
| FI | 3.89 b | 29.31 d | 3.85 d |
| DI | 4.54 a | 33.43 c | 4.75 c |
| DI-int | 4.55 a | 33.54 bc | 4.79 bc |
| DI-dev | 4.56 a | 33.64 bc | 4.83 ab |
| DI-mid | 4.61 a | 34.13 a | 4.89 a |
| DI-lat | 4.59 a | 33.79 b | 4.86 a |
| p-value | 0.00 | 0.00 | 0.00 |
| LSD | 0.088 | 0.316 | 0.059 |
| Variance | 0.008 | 0.108 | 0.004 |
| Interaction of irrigation quality and amount | |||
| p-value | 0.00 | 0.94 | 0.01 |
| LSD | 0.152 | 0.548 | 0.102 |
| Variance | 0.008 | 0.108 | 0.004 |
Disclaimer/Publisher’s Note: The statements, opinions and data contained in all publications are solely those of the individual author(s) and contributor(s) and not of MDPI and/or the editor(s). MDPI and/or the editor(s) disclaim responsibility for any injury to people or property resulting from any ideas, methods, instructions or products referred to in the content. |
© 2024 by the authors. Licensee MDPI, Basel, Switzerland. This article is an open access article distributed under the terms and conditions of the Creative Commons Attribution (CC BY) license (https://creativecommons.org/licenses/by/4.0/).
Share and Cite
Alghamdi, A.G.; Alshami, A.K.; El-Shafei, A.; Al-Omran, A.M.; Alkhasha, A.; Aly, A.A.; Alharbi, A.R. Evaluating Tomato Performance: A Novel Approach of Combining Full and Deficit Irrigation with Saline Water. Agronomy 2024, 14, 559. https://doi.org/10.3390/agronomy14030559
Alghamdi AG, Alshami AK, El-Shafei A, Al-Omran AM, Alkhasha A, Aly AA, Alharbi AR. Evaluating Tomato Performance: A Novel Approach of Combining Full and Deficit Irrigation with Saline Water. Agronomy. 2024; 14(3):559. https://doi.org/10.3390/agronomy14030559
Chicago/Turabian StyleAlghamdi, Abdulaziz G., Akram K. Alshami, Ahmed El-Shafei, Abdulrasoul M. Al-Omran, Arafat Alkhasha, Anwar A. Aly, and Abdulaziz R. Alharbi. 2024. "Evaluating Tomato Performance: A Novel Approach of Combining Full and Deficit Irrigation with Saline Water" Agronomy 14, no. 3: 559. https://doi.org/10.3390/agronomy14030559
APA StyleAlghamdi, A. G., Alshami, A. K., El-Shafei, A., Al-Omran, A. M., Alkhasha, A., Aly, A. A., & Alharbi, A. R. (2024). Evaluating Tomato Performance: A Novel Approach of Combining Full and Deficit Irrigation with Saline Water. Agronomy, 14(3), 559. https://doi.org/10.3390/agronomy14030559








