Water Footprint Assessment of Agricultural Crop Productions in the Dry Farming Region, Shanxi Province, Northern China
Abstract
1. Introduction
2. Materials and Methods
2.1. Study Area
2.2. Crop Water Footprint Calculation
2.2.1. Crop Evapotranspiration (ETc)
2.2.2. Crop Water Footprint
2.2.3. Integrated Crop Production Water Footprint (IWFP)
2.3. Factors Influencing the Water Footprint of Crop Production
2.3.1. Evaluation Indexes Selection
2.3.2. Backpropagation Neural Network (BPNN)
2.3.3. BPNN Model Performance
2.4. Data Source and Analysis
3. Results
3.1. Spatial and Temporal Variability in Crop Production in Taiyuan City
3.1.1. Characteristics of Crop Sown Area and Yield
3.1.2. Characteristics of Crop Sown Area in Different Districts of Taiyuan City
3.1.3. Characteristics of Crop Yield Changes in Different Districts of Taiyuan City
3.2. Spatial and Temporal Characteristics of the Water Footprint of Crop Production
3.2.1. The Characteristics of Blue and Green Water Footprint
3.2.2. Spatial and Temporal Characteristics of Integrated Crop Production Water Footprint (IWFP)
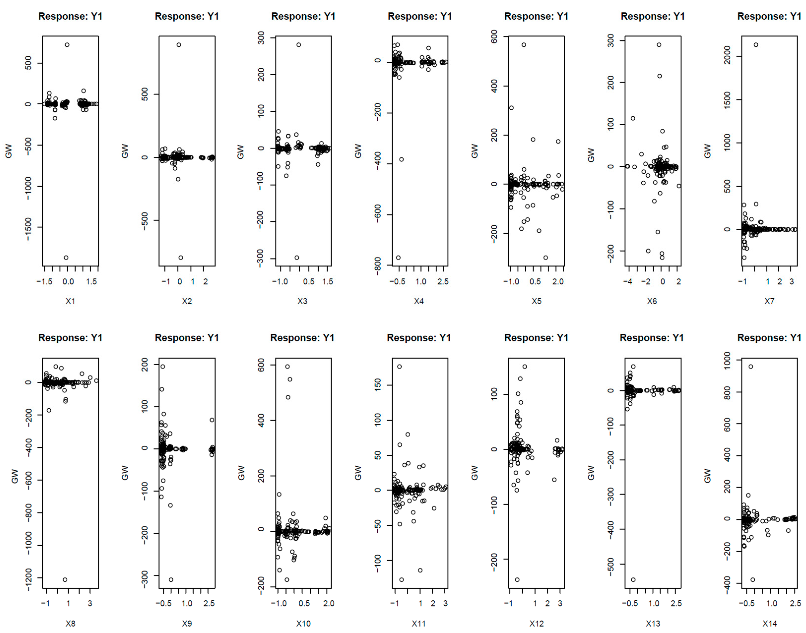
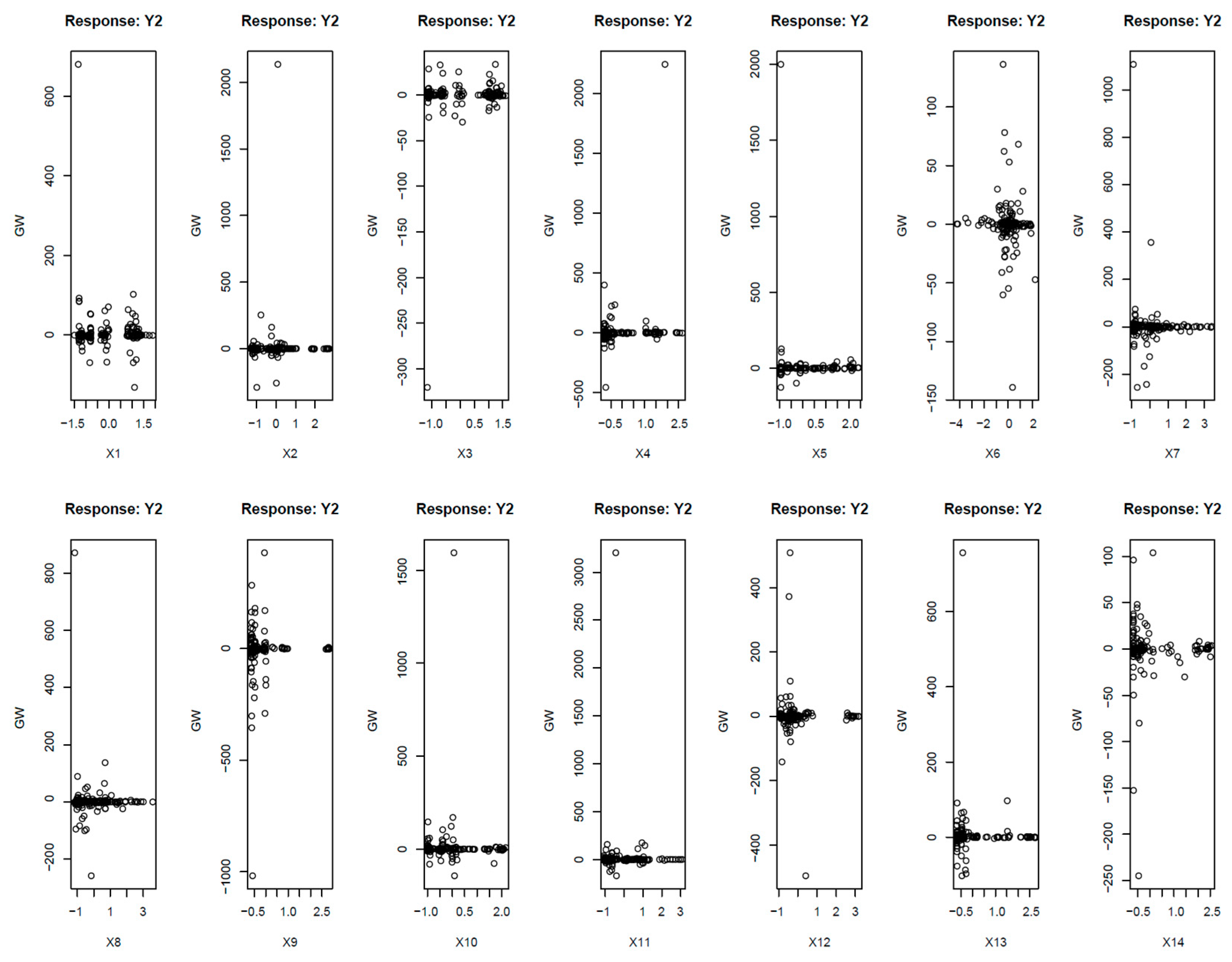
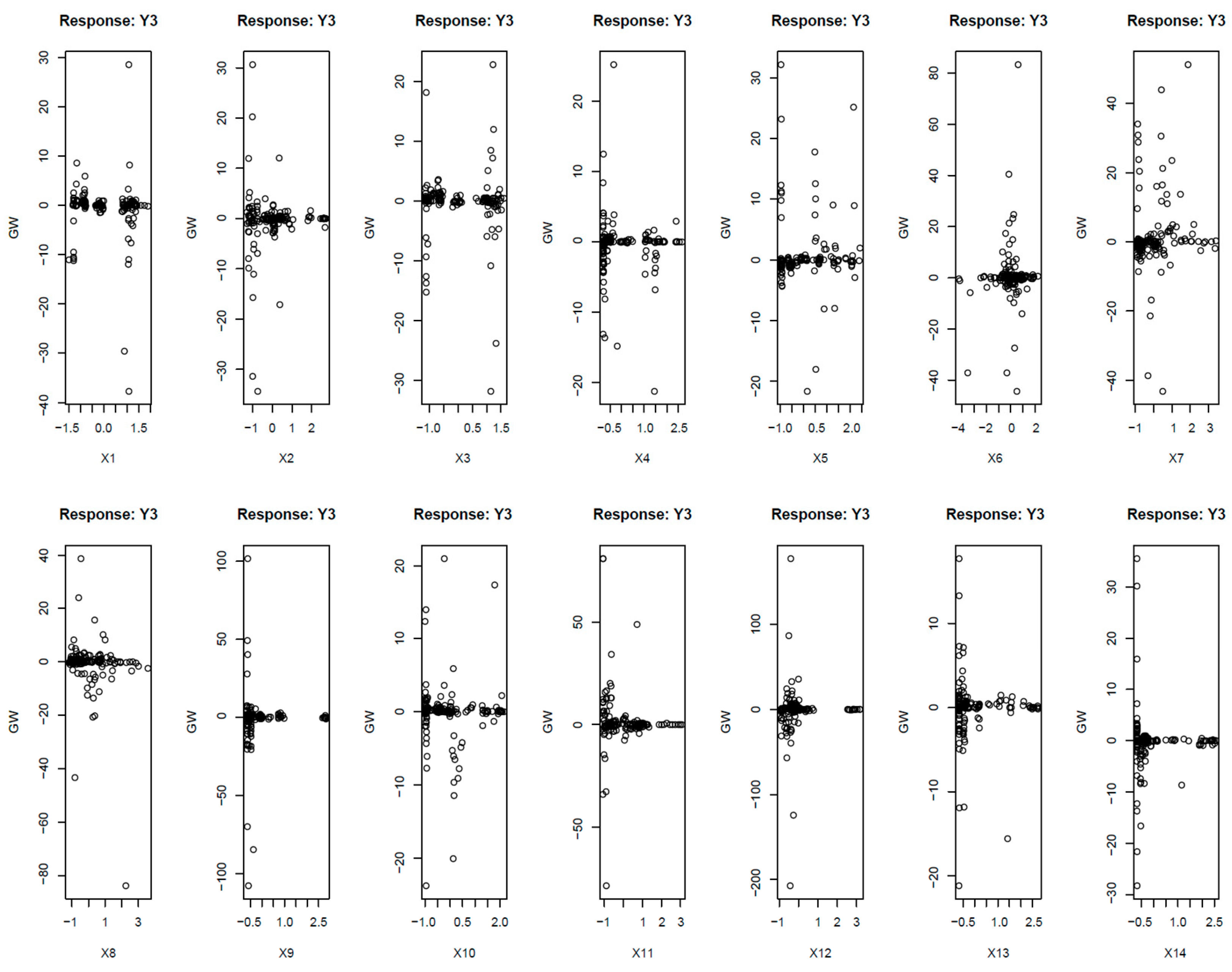
3.3. Analysis of the Influencing Factors Driving the Changes in Crop Production Water Footprint
4. Discussion
4.1. Crop Production
4.2. Crop Production Water Footprint
5. Conclusions
Author Contributions
Funding
Data Availability Statement
Conflicts of Interest
References
- Peng, T.; Jin, Z.Y.; Xiao, L.J. Assessing carrying capacity of regional water resources in karst areas, southwest China: A case study. Environ. Dev. Sustain. 2022, 25, 15139–15162. [Google Scholar] [CrossRef]
- Luo, X.P.; Liu, X.J. Regional Differences on Typical Crop Water Requirement and Water Footprint in China from A Production Perspective. Water Sav. Irrig. 2020, 88–93. (In Chinese) [Google Scholar] [CrossRef]
- Wang, C.H.; Gong, W.F.; Zhao, M.Z.; Zhou, Y.; Zhao, Y. Spatio-temporal evolution characteristics of eco-efficiency in the Yellow River Basin of China based on the super-efficient SBM model. Environ. Sci. Pollut. Res. 2023, 30, 72236–72247. [Google Scholar] [CrossRef] [PubMed]
- Sun, X.R.; Zhou, Z.X.; Wang, Y. Water resource carrying capacity and obstacle factors in the Yellow River basin based on the RBF neural network model. Environ. Sci. Pollut. Res. 2023, 30, 22743–22759. [Google Scholar] [CrossRef] [PubMed]
- Liu, D.; Qi, X.C.; Fu, Q.; Li, M.; Zhu, W.; Zhang, L.; Faiz, M.A.; Khan, M.I.; Li, T.; Cui, S. A resilience evaluation method for a combined regional agricultural water and soil resource system based on Weighted Mahalanobis distance and a Gray-TOPSIS model. J. Clean. Prod. 2019, 229, 667–679. [Google Scholar] [CrossRef]
- Wang, L.H.; Li, J. Strategies of Water Resources Management for Response to Climate Change in Pollution Induced Water Shortage Areas. In Proceedings of the 5th International Yellow River Forum on Ensuring Water Right of the River’s Demand and Healthy River Basin maintenance, Minist Water Resources, Yellow River Conservancy Commiss, Zhengzhou, China, 24–28 September 2012. [Google Scholar]
- Zhang, Y.; Tan, Q.; Zhang, T.Y.; Zhang, S. Sustainable agricultural water management incorporating inexact programming and salinization-related grey water footprint. J. Contam. Hydrol. 2022, 247, 103961. [Google Scholar] [CrossRef] [PubMed]
- Allan, J.A. ‘Virtual Water’: A Long-Term Solution for Water-Short Middle Eastern Economies? Water Issues Group, School of Oriental and African Studies. University of London: London, UK. Available online: http://www.soas.ac.uk/faculties/lawsocialsciences.cfm?navid=2811 (accessed on 6 February 2024).
- Hoekstra, A.Y.; Hung, P.Q. Virtual water trade. In Proceedings of the International Expert Meeting on Virtual Water Trade; IHE: Delft, The Netherlands, 2003. [Google Scholar]
- Hoekstra, A.Y.; Hung, P.Q. Virtual water trade a quantification of virtual water flows between nations in relation to international crop trade. In Ethical Consumption; Routledge: London, UK, 2002. [Google Scholar] [CrossRef]
- Zhang, J.N.; Duan, Y.Q.; Zhou, S.B.; Huang, Y. Evaluation of the Effectiveness of Water Ecological Restoration Based on the Relationship between the Supply and Demand of Ecological Products—A Case Study of the Yellow River Delta. Land 2023, 12, 2093. [Google Scholar] [CrossRef]
- Hoekstra, A.Y. The Water Footprint Assessment Manual: Setting the Global Standard; Routledge: London, UK, 2011. [Google Scholar]
- Wang, Y.J.; Liu, J.G.; Zhao, D.D. Assessing Water Resources Based on Theory of Water Footprint-A Case Study in Xuanhua District, Zhangjiakou City, Hebei Province. Bull. Soil Water Conserv. 2018, 38, 213–219. (In Chinese) [Google Scholar] [CrossRef]
- Gerbens-Leenes, P.; Xu, L.; De Vries, G.; Hoekstra, A.Y. The blue water footprint and land use of biofuels from algae. Water Resour. Res. 2014, 50, 8549–8563. [Google Scholar] [CrossRef]
- Hoekstra, A.Y.; Chapagain, A.K. The Water Footprints of Morocco and the Netherlands; Wiley: Hoboken, NJ, USA, 2006. [Google Scholar] [CrossRef]
- Kampman, D.A.; Hoekstra, A.Y.; Krol, M.S. The water footprint of India. Value Water Res. Rep. Ser. 2008, 32, 1–152. [Google Scholar]
- Van Oel, P.; Krol, M.S.; Hoekstra, A.Y. A river basin as a common-pool resource: A case study for the Jaguaribe basin in Brasil. Int. J. River Basin Manag. 2009, 7, 345–353. [Google Scholar] [CrossRef]
- Bulsink, F.; Hoekstra, A.Y.; Booij, M.J. The water footprint of Indonesian provinces related to the consumption of crop products. Hydrol. Earth Syst. Sci. 2010, 14, 119–128. [Google Scholar] [CrossRef]
- Liu, J.G.; Williams, J.R.; Zehnder, A.J.; Yang, H. GEPIC–modelling wheat yield and crop water productivity with high resolution on a global scale. Agric. Syst. 2007, 94, 478–493. [Google Scholar] [CrossRef]
- Mekonnen, M.M.; Hoekstra, A.Y. A global and high-resolution assessment of the green, blue and grey water footprint of wheat. Hydrol. Earth Syst. Sci. 2010, 14, 1259–1276. [Google Scholar] [CrossRef]
- Sun, S.K.; Wu, P.T.; Wang, Y.B.; Zhao, X.N. Impacts of climate change on water footprint of spring wheat production: The case of an irrigation district in China. Span. J. Agric. Res. 2012, 10, 1176–1187. [Google Scholar] [CrossRef]
- Bazrafshan, O.; Vafaei, K.; Etedali, H.R.; Zamani, H.; Hashemi, M. Economic analysis of water footprint for water management of rain-fed and irrigated almonds in Iran. Irrig. Sci. 2024, 42, 115–133. [Google Scholar] [CrossRef]
- Zhang, L.Y.; Yu, Y.; Malik, I.; Wistuba, M.; Sun, L.; Yang, M.; Wang, Q.; Yu, R. Water Resources Evaluation in Arid Areas Based on Agricultural Water Footprint-A Case Study on the Edge of the Taklimakan Desert. Atmosphere 2023, 14, 67. [Google Scholar] [CrossRef]
- Elbeltagi, A.; Deng, J.; Wang, K.; Hong, Y. Crop Water footprint estimation and modeling using an artificial neural network approach in the Nile Delta, Egypt. Agric. Water Manag. 2020, 235, 106080. [Google Scholar] [CrossRef]
- Wang, X.; Li, X.B.; Fischer, G.; Sun, L.; Tan, M.; Xin, L.; Liang, Z. Impact of the changing area sown to winter wheat on crop water footprint in the North China Plain. Ecol. Indic. 2015, 57, 100–109. [Google Scholar] [CrossRef]
- Zhao, C.F.; Chen, B. Driving force analysis of the agricultural water footprint in China based on the LMDI method. Environ. Sci. Technol. 2014, 48, 12723–12731. [Google Scholar] [CrossRef]
- Li, Z.B.; Wang, W.; Ji, X.X.; Wu, P.; Zhuo, L. Machine learning modeling of water footprint in crop production distinguishing water supply and irrigation method scenarios. J. Hydrol. 2023, 625, 130171. [Google Scholar] [CrossRef]
- Li, L.; Lei, Y.L.; Wu, S.M.; He, C.; Yan, D. Study on the coordinated development of economy, environment and resource in coal-based areas in Shanxi Province in China: Based on the multi-objective optimization model. Resour. Policy 2018, 55, 80–86. [Google Scholar] [CrossRef]
- Wu, J.H.; Wang, Z.C.; Dong, L.Y.P. Prediction and analysis of water resources demand in Taiyuan City based on principal component analysis and BP neural network. Aqua-Water Infrastruct. Ecosyst. Soc. 2021, 70, 1272–1286. [Google Scholar] [CrossRef]
- Li, J.L.; Zhang, C.X.; Wang, Y.X.; Liao, X.-P.; Yao, L.-L.; Liu, M.; Xu, L. Pollution Characteristics and Distribution of Polycyclic Aromatic Hydrocarbons and Organochlorine Pesticides in Groundwater at Xiaodian Sewage Irrigation Area, Taiyuan City. Environ. Sci. 2015, 36, 172–178. (In Chinese) [Google Scholar] [CrossRef]
- Zhuo, L.; Mekonnen, M.M.; Hoekstra, A.Y.; Wada, Y. Inter-and intra-annual variation of water footprint of crops and blue water scarcity in the Yellow River basin (1961–2009). Adv. Water Resour. 2016, 87, 29–41. [Google Scholar] [CrossRef]
- Shi, L.J.; Wu, P.T.; Wang, Y.B.; Sun, S.K.; Liu, J. Assessment of water stress in Shaanxi Province based on crop water footprint. Chin. J. Eco-Agric. 2015, 23, 650–658. [Google Scholar] [CrossRef]
- Ma, X.H.; Su, Y.H.; Lin, F.; Dai, C.Y. Land use/cover change and its driving factors in Taiyuan city. Ecol. Sci. 2021, 40, 201–210. (In Chinese) [Google Scholar] [CrossRef]
- Zheng, P.X.; Deng, F.; Li, Z.Y.; Zhao, E.L.; Feng, Q.; Han, Y. Remote Sensing Study on the Evolution of Heat Island in Taiyuan Urban Agglomeration in Recent 20 Years. J. Shanxi Univ. 2023, 1–12. (In Chinese) [Google Scholar] [CrossRef]
- Xiong, J.R.; Liang, F.T.; Yang, X.L.; Du, T.; Pacenka, S.; Steenhuis, T.S.; Siddique, K.H.M. Water Footprint Assessment of Green and Traditional Cultivation of Crops in the Huang-Huai-Hai Farming Region. Agronomy 2022, 12, 2494. [Google Scholar] [CrossRef]
- Mcclelland, J.L.; Rumelhart, D.E. Distributed memory and the representation of general and specific information. J. Exp. Psychol. Gen. 1985, 114, 159. [Google Scholar] [CrossRef]
- Li, X.N.; Cheng, X.; Wu, W.J.; Wang, Q.; Tong, Z.; Zhang, X.; Deng, D.; Li, Y. Forecasting of bioaerosol concentration by a Back Propagation neural network model. Sci. Total Environ. 2020, 698, 134315. [Google Scholar] [CrossRef]
- Sun, W.; Huang, C.C. A carbon price prediction model based on secondary decomposition algorithm and optimized back propagation neural network. J. Clean. Prod. 2020, 243, 118671. [Google Scholar] [CrossRef]
- Sheela, K.G.; Deepa, S.N. Review on methods to fix number of hidden neurons in neural networks. Math. Probl. Eng. 2013, 2013, 425740. [Google Scholar] [CrossRef]
- Duan, A.W. Irrigation Water Quotas for Major Crops in Northern Areas; China Agricultural Science and Technology Press: Beijing, China, 2004. [Google Scholar]
- Liu, Y.; Huang, X.J.; Yang, H.; Zhong, T. Environmental effects of land-use/cover change caused by urbanization and policies in Southwest China Karst area–A case study of Guiyang. Habitat Int. 2014, 44, 339–348. [Google Scholar] [CrossRef]
- Cai, J.P.; Xie, R.; Wang, S.J.; Deng, Y.; Sun, D. Patterns and driving forces of the agricultural water footprint of Chinese cities. Sci. Total Environ. 2022, 843, 156725. [Google Scholar] [CrossRef]
- Xue, J.Q.; Zhang, R.H.; Li, F.Y.; Zhang, X.H. Current status, problem and strategy of maize breeding in Shannxi Province. J. Maize Sci. 2008, 139–141. (In Chinese) [Google Scholar]
- Wang, J.Q.; Qin, L.J.; Li, B.; Dang, Y. Assessing the hotspots of crop water footprint in Jilin Province of China. Environ. Sci. Pollut. Res. 2022, 29, 50010–50024. [Google Scholar] [CrossRef]
- Huang, X.; Xing, R.P.; Wu, Z.; Ding, J. Analysis of the Current Situation and Countermeasures for the Development of Corn Seed Industry in Shanxi. Agric. Technol. 2015, 35, 232+55. (In Chinese) [Google Scholar] [CrossRef]
- Nguyen, H.T.; Leipner, J.; Stamp, P.; Guerra-Peraza, O. Low temperature stress in maize (Zea mays L.) induces genes involved in photosynthesis and signal transduction as studied by suppression subtractive hybridization. Plant Physiol. Biochem. 2009, 47, 116–122. [Google Scholar] [CrossRef]
- Ren, C.Q. Corn growth habit and fertilizer demand characteristics. Friends Farmers’ Wealth 2016, 11, 160. (In Chinese) [Google Scholar]
- El-Marsafawy, S.M.; Mohamed, A.I. Water footprint of Egyptian crops and its economics. Alex. Eng. J. 2021, 60, 4711–4721. [Google Scholar] [CrossRef]
- Govere, S.; Nyamangara, J.; Nyakatawa, E.Z. Climate change signals in the historical water footprint of wheat production in Zimbabwe. Sci. Total Environ. 2020, 742, 140473. [Google Scholar] [CrossRef] [PubMed]
- Zhao, Y.; Ding, D.Y.; Si, B.C.; Zhang, Z.; Hu, W.; Schoenau, J. Temporal variability of water footprint for cereal production and its controls in Saskatchewan, Canada. Sci. Total Environ. 2019, 660, 1306–1316. [Google Scholar] [CrossRef]
- Fang, H.; Wu, N.; Adamowski, J.; Wu, M.; Cao, X. Crop water footprints and their driving mechanisms show regional differences. Sci. Total Environ. 2023, 904, 167549. [Google Scholar] [CrossRef] [PubMed]
- Ma, X.L.; Jiao, S.X. Comprehensive analysis of water resources from the perspective of water footprint and water ecological footprint: A case study from Anyang City, China. Environ. Sci. Pollut. Res. 2023, 30, 2086–2102. [Google Scholar] [CrossRef] [PubMed]
- Long, A.H.; Zhang, P.; Hai, Y.; Deng, X.; Li, J.; Wang, J. Spatio-temporal variations of crop water footprint and its influencing factors in Xinjiang, China during 1988–2017. Sustainability 2020, 12, 9678. [Google Scholar] [CrossRef]
- Ye, Q.L.; Li, Y.; Zhang, W.L.; Cai, W. Influential factors on water footprint: A focus on wheat production and consumption in virtual water import and export regions. Ecol. Indic. 2019, 102, 309–315. [Google Scholar] [CrossRef]
- Wang, Q.; Huang, K.; Liu, H.; Yu, Y. Factors affecting crop production water footprint: A review and meta-analysis. Sustain. Prod. Consum. 2023, 36, 207–216. [Google Scholar] [CrossRef]
- Zheng, J.Z.; Wang, W.G.; Ding, Y.M.; Liu, G.; Xing, W.; Cao, X.; Chen, D. Assessment of climate change impact on the water footprint in rice production: Historical simulation and future projections at two representative rice cropping sites of China. Sci. Total Environ. 2020, 709, 136190. [Google Scholar] [CrossRef]


















| Category | Influencing Factors | Unit |
|---|---|---|
| Population factors | Total population (X1) | Person |
| Rural population (X2) | Person | |
| Urban population (X3) | Person | |
| Agriculture-to-non-agriculture ratio (X4) | / | |
| Population density (X5) | / | |
| Natural population growth rate (X6) | % | |
| Economic factors | GDP (X7) | CNY million |
| GDP per capita (X8) | ||
| Agricultural production conditions | Effective irrigated area (X9) | Hectares |
| Total sown area of crops (X10) | Hectares | |
| Agricultural mechanization power (X11) | Kilowatt | |
| Rural electricity consumption (X12) | million kWh | |
| Amount of agricultural fertilizer application (X13) | ton | |
| Amount of agricultural land film used (X14) | ton |
| Factors | WFPb | Factors | WFPg | Factors | IWFP |
|---|---|---|---|---|---|
| X7 | 2070.674 | X11 | 3591.756 | X11 | 240.919 |
| X10 | 1047.365 | X4 | 2512.343 | X7 | 212.793 |
| X12 | 313.762 | X5 | 2147.828 | X5 | 101.123 |
| X2 | 4.176 | X10 | 1914.496 | X6 | 71.368 |
| X11 | −33.632 | X2 | 1847.951 | X13 | −15.653 |
| X3 | −133.775 | X1 | 971.494 | X10 | −27.638 |
| X9 | −188.374 | X13 | 824.686 | X3 | −42.596 |
| X14 | −203.179 | X8 | 521.191 | X2 | −61.594 |
| X13 | −310.528 | X7 | 502.410 | X14 | −63.390 |
| X5 | −349.744 | X12 | 223.795 | X4 | −65.848 |
| X6 | −443.786 | X6 | −5.333 | X1 | −83.043 |
| X4 | −975.993 | X14 | −93.555 | X8 | −117.975 |
| X1 | −1121.162 | X3 | −197.029 | X9 | −221.800 |
| X8 | −1265.435 | X9 | −1066.951 | X12 | −222.422 |
Disclaimer/Publisher’s Note: The statements, opinions and data contained in all publications are solely those of the individual author(s) and contributor(s) and not of MDPI and/or the editor(s). MDPI and/or the editor(s) disclaim responsibility for any injury to people or property resulting from any ideas, methods, instructions or products referred to in the content. |
© 2024 by the authors. Licensee MDPI, Basel, Switzerland. This article is an open access article distributed under the terms and conditions of the Creative Commons Attribution (CC BY) license (https://creativecommons.org/licenses/by/4.0/).
Share and Cite
Wang, L.; Yan, C.; Zhang, W.; Zhang, Y. Water Footprint Assessment of Agricultural Crop Productions in the Dry Farming Region, Shanxi Province, Northern China. Agronomy 2024, 14, 546. https://doi.org/10.3390/agronomy14030546
Wang L, Yan C, Zhang W, Zhang Y. Water Footprint Assessment of Agricultural Crop Productions in the Dry Farming Region, Shanxi Province, Northern China. Agronomy. 2024; 14(3):546. https://doi.org/10.3390/agronomy14030546
Chicago/Turabian StyleWang, Lu, Cunjie Yan, Wenqi Zhang, and Yinghu Zhang. 2024. "Water Footprint Assessment of Agricultural Crop Productions in the Dry Farming Region, Shanxi Province, Northern China" Agronomy 14, no. 3: 546. https://doi.org/10.3390/agronomy14030546
APA StyleWang, L., Yan, C., Zhang, W., & Zhang, Y. (2024). Water Footprint Assessment of Agricultural Crop Productions in the Dry Farming Region, Shanxi Province, Northern China. Agronomy, 14(3), 546. https://doi.org/10.3390/agronomy14030546

