Influence of Soil Colloids on the Transport of Cd2+ and Pb2+ under Different pH and Ionic Strength Conditions
Abstract
1. Introduction
2. Materials and Methods
2.1. Soil Colloids Preparation and Analysis
2.2. Asymmetric Flow Field-Flow Fractionation
2.3. Column Experiment
2.4. Hydrus-1D Model
3. Results and Discussion
3.1. AF4 and Elemental Analysis of Different Soil Colloids
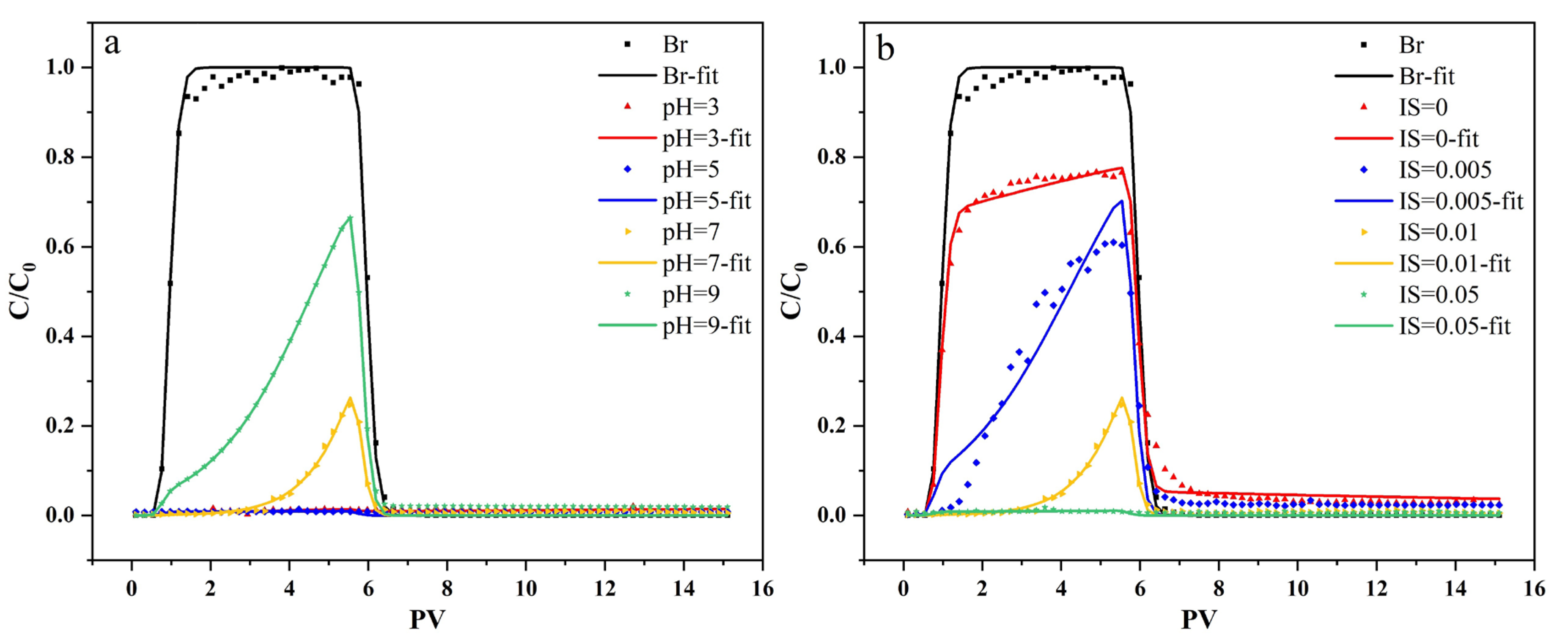
3.2. Transport of Soil Colloids under Different pH and Ionic Strength Conditions
3.3. Transport of Cd2+ and Pb2+ under Different pH and Ionic Strength Conditions
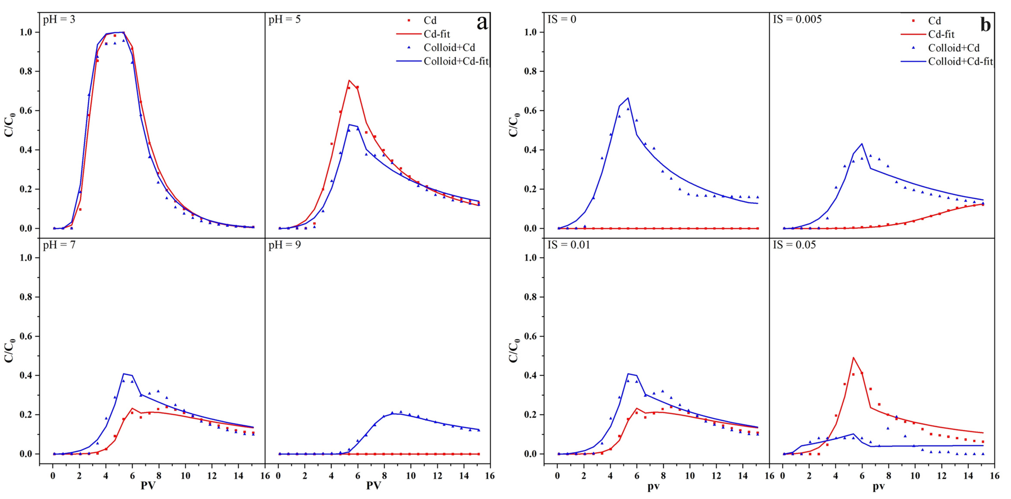
3.4. Transport of Cd2+ and Pb2+ with Soil Colloids under Different pH and Ionic Strength Conditions
4. Conclusions
Supplementary Materials
Author Contributions
Funding
Data Availability Statement
Acknowledgments
Conflicts of Interest
References
- Bradl, H.B. Adsorption of heavy metal ions on soils and soils constituents. J. Colloid Interface Sci. 2004, 277, 1–18. [Google Scholar] [CrossRef]
- He, S.; Lu, Q.; Li, W.; Ren, Z.; Zhou, Z.; Feng, X.; Zhang, Y.; Li, Y. Factors controlling cadmium and lead activities in different parent material-derived soils from the Pearl River Basin. Chemosphere 2017, 182, 509–516. [Google Scholar] [CrossRef]
- Hu, B.; Shao, S.; Ni, H.; Fu, Z.; Hu, L.; Zhou, Y.; Min, X.; She, S.; Chen, S.; Huang, M.; et al. Current status, spatial features, health risks, and potential driving factors of soil heavy metal pollution in China at province level. Environ. Pollut. 2020, 266, 114961. [Google Scholar] [CrossRef]
- de Jonge, L.W.; Kjaergaard, C.; Moldrup, P. Colloids and colloid-facilitated transport of contaminants in soils: An introduction. Vadose Zone J. 2004, 3, 321–325. [Google Scholar] [CrossRef]
- Shaheen, S.M.; Tsadilas, C.D.; Rinklebe, J. A review of the distribution coefficients of trace elements in soils: Influence of sorption system, element characteristics, and soil colloidal properties. Adv. Colloid Interface Sci. 2013, 201, 43–56. [Google Scholar] [CrossRef] [PubMed]
- Xu, G.; Chen, C.; Shen, C.; Zhou, H.; Wang, X.; Cheng, T.; Shang, J. Hydrogen peroxide and high-temperature heating differently alter the stability and aggregation of black soil colloids. Chemosphere 2022, 287, 132018. [Google Scholar] [CrossRef] [PubMed]
- Sen, T.K.; Khilar, K.C. Review on subsurface colloids and colloid-associated contaminant transport in saturated porous media. Adv. Colloid Interface Sci. 2006, 119, 71–96. [Google Scholar] [CrossRef]
- Li, Z.; Zhou, L. Cadmium transport mediated by soil colloid and dissolved organic matter: A field study. J. Environ. Sci. 2010, 22, 106–115. [Google Scholar] [CrossRef] [PubMed]
- Mo, X.; Siebecker, M.G.; Gou, W.; Li, L.; Li, W. A review of cadmium sorption mechanisms on soil mineral surfaces revealed from synchrotron-based X-ray absorption fine structure spectroscopy: Implications for soil remediation. Pedosphere 2021, 31, 11–27. [Google Scholar] [CrossRef]
- Liu, G.; Xue, W.; Wang, J.; Liu, X. Transport behavior of variable charge soil particle size fractions and their influence on cadmium transport in saturated porous media. Geoderma 2019, 337, 945–955. [Google Scholar] [CrossRef]
- Zhou, D.; Wang, D.; Cang, L.; Hao, X.; Chu, L. Transport and re-entrainment of soil colloids in saturated packed column: Effects of pH and ionic strength. J. Soils Sediments 2011, 11, 491–503. [Google Scholar] [CrossRef]
- Crancon, P.; Pili, E.; Charlet, L. Uranium facilitated transport by water-dispersible colloids in field and soil columns. Sci. Total Environ. 2010, 408, 2118–2128. [Google Scholar] [CrossRef]
- Won, J.; Wirth, X.; Burns, S.E. An experimental study of cotransport of heavy metals with kaolinite colloids. J. Hazard. Mater. 2019, 373, 476–482. [Google Scholar] [CrossRef]
- Zhang, W.; Jiang, F.; Sun, W. Investigating colloid-associated transport of cadmium and lead in a clayey soil under preferential flow conditions. Water Sci. Technol. 2021, 84, 2486–2498. [Google Scholar] [CrossRef] [PubMed]
- Ma, J.; Guo, H.; Lei, M.; Wan, X.; Zhang, H.; Feng, X.; Wei, R.; Tian, L.; Han, X. Blocking effect of colloids on arsenate adsorption during co-transport through saturated sand columns. Environ. Pollut. 2016, 213, 638–647. [Google Scholar] [CrossRef]
- Wei, Z.; Zhu, Y.; Wang, Y.; Song, Z.; Wu, Y.; Ma, W.; Hou, Y.; Zhang, W.; Yang, Y. Influence of Soil Colloids on Ni Adsorption and Transport in the Saturated Porous Media: Effects of pH, Ionic Strength, and Humic Acid. Appl. Sci. 2022, 12, 6591. [Google Scholar] [CrossRef]
- Wang, Z.; Zhang, Y.; Flury, M.; Zou, H. Freeze-thaw cycles lead to enhanced colloid-facilitated Pb transport in a Chernozem soil. J. Contam. Hydrol. 2022, 251, 104093. [Google Scholar] [CrossRef] [PubMed]
- Zhang, W.; Liang, Y.; Sun, H.; Wang, X.; Zhou, Q.; Tang, X. Initial soil moisture conditions affect the responses of colloid mobilisation and associated cadmium transport in opposite directions. J. Hazard. Mater. 2023, 448, 130850. [Google Scholar] [CrossRef] [PubMed]
- Lee, S.; Ko, I.; Yoon, I.; Kim, D.; Kim, K. Colloid mobilization and heavy metal transport in the sampling of soil solution from Duckum soil in South Korea. Environ. Geochem. Health 2019, 41, 469–480. [Google Scholar] [CrossRef] [PubMed]
- Hu, P.; Zhang, Y.; Wang, J.; Du, Y.; Wang, Z.; Guo, Q.; Pan, Z.; Ma, X.; Planer-Friedrich, B.; Luo, Y.; et al. Mobilization of Colloid- and Nanoparticle-Bound Arsenic in Contaminated Paddy Soils during Reduction and Reoxidation. Environ. Sci. Technol. 2023, 57, 9843–9853. [Google Scholar] [CrossRef] [PubMed]
- Vega, F.A.; Weng, L. Speciation of heavy metals in River Rhine. Water Res. 2013, 47, 363–372. [Google Scholar] [CrossRef] [PubMed]
- Bergen, B.; Moens, C.; De Winter, A.; Ricou, F.; Smolders, E. Colloids facilitate cadmium and uranium transport in an undisturbed soil: A comparison of soil solution isolation methods. Sci. Total Environ. 2023, 890, 164419. [Google Scholar] [CrossRef] [PubMed]
- Du, L.; Cuss, C.W.; Dyck, M.F.; Noernberg, T.; Shotyk, W. Size-resolved analysis of trace elements in the dissolved fraction (<0.45 μm) of soil solutions using a novel lysimeter and asymmetrical flow field-flow fractionation coupled to ultraviolet absorbance and inductively coupled plasma mass spectrometry. Can. J. Soil Sci. 2020, 100, 381–392. [Google Scholar] [CrossRef]
- Regelink, I.C.; Weng, L.; Koopmans, G.F.; van Riemsdijk, W.H. Asymmetric flow field-flow fractionation as a new approach to analyse iron-(hydr)oxide nanoparticles in soil extracts. Geoderma 2013, 202–203, 134–141. [Google Scholar] [CrossRef]
- Chotpantarat, S.; Kiatvarangkul, N. Facilitated transport of cadmium with montmorillonite KSF colloids under different pH conditions in water-saturated sand columns: Experiment and transport modeling. Water Res. 2018, 146, 216–231. [Google Scholar] [CrossRef]
- Wikiniyadhanee, R.; Chotpantarat, S.; Ong, S.K. Effects of kaolinite colloids on Cd2+ transport through saturated sand under varying ionic strength conditions: Column experiments and modeling approaches. J. Contam. Hydrol. 2015, 182, 146–156. [Google Scholar] [CrossRef]
- Jiang, Z.; Nie, K.; Arinzechi, C.; Li, J.; Liao, Q.; Si, M.; Yang, Z.; Li, Q.; Yang, W. Cooperative effect of slow-release ferrous and phosphate for simultaneous stabilization of As, Cd and Pb in soil. J. Hazard. Mater. 2023, 452, 131232. [Google Scholar] [CrossRef]
- Neubauer, E.; Kammer, F.V.D.; Hofmann, T. Using FLOWFFF and HPSEC to determine trace metal colloid associations in wetland runoff. Water Res. 2013, 47, 2757–2769. [Google Scholar] [CrossRef]
- Regelink, I.C.; Voegelin, A.; Weng, L.; Koopmans, G.F.; Comans, R.N.J. Characterization of Colloidal Fe from Soils Using Field-Flow Fractionation and Fe K-Edge X-ray Absorption Spectroscopy. Environ. Sci. Technol. 2014, 48, 4307–4316. [Google Scholar] [CrossRef]
- Li, X.; Cao, Z.; Du, Y.; Zhang, Y.; Wang, J.; Ma, X.; Hu, P.; Luo, Y.; Wu, L. Multi-metal contaminant mobilizations by natural colloids and nanoparticles in paddy soils during reduction and reoxidation. J. Hazard. Mater. 2024, 461, 132684. [Google Scholar] [CrossRef] [PubMed]
- Hu, J.; Zevi, Y.; Kou, X.; Xiao, J.; Wang, X.; Jin, Y. Effect of dissolved organic matter on the stability of magnetite nanoparticles under different pH and ionic strength conditions. Sci. Total Environ. 2010, 408, 3477–3489. [Google Scholar] [CrossRef]
- Kubier, A.; Wilkin, R.T.; Pichler, T. Cadmium in soils and groundwater: A review. Appl. Geochem. 2019, 108, 104388. [Google Scholar] [CrossRef]
- Wang, Y.; Frutschi, M.; Suvorova, E.; Phrommavanh, V.; Descostes, M.; Osman, A.A.A.; Geipel, G.; Bernier-Latmani, R. Mobile uranium (IV)-bearing colloids in a mining-impacted wetland. Nat. Commun. 2013, 4, 2942. [Google Scholar] [CrossRef] [PubMed]
- Wang, D.; Jiang, X.; Rao, W.; He, J. Kinetics of soil cadmium desorption under simulated acid rain. Ecol. Complex. 2009, 6, 432–437. [Google Scholar] [CrossRef]
- Liu, F.; Xu, B.; He, Y.; Brookes, P.C.; Tang, C.; Xu, J. Differences in transport behavior of natural soil colloids of contrasting sizes from nanometer to micron and the environmental implications. Sci. Total Environ. 2018, 634, 802–810. [Google Scholar] [CrossRef] [PubMed]
- Bradford, S.A.; Morales, V.L.; Zhang, W.; Harvey, R.W.; Packman, A.I.; Mohanram, A.; Welty, C. Transport and Fate of Microbial Pathogens in Agricultural Settings. Crit. Rev. Environ. Sci. Technol. 2013, 43, 775–893. [Google Scholar] [CrossRef]
- Bradford, S.A.; Torkzaban, S.; Walker, S.L. Coupling of physical and chemical mechanisms of colloid straining in saturated porous media. Water Res. 2007, 41, 3012–3024. [Google Scholar] [CrossRef] [PubMed]
- Won, J.; Burns, S.E. Role of Immobile Kaolinite Colloids in the Transport of Heavy Metals. Environ. Sci. Technol. 2018, 52, 2735–2741. [Google Scholar] [CrossRef] [PubMed]
- Liu, G.; Wang, J.; Xue, W.; Zhao, J.; Wang, J.; Liu, X. Effect of the size of variable charge soil particles on cadmium accumulation and adsorption. J. Soils Sediments 2017, 17, 2810–2821. [Google Scholar] [CrossRef]
- Egwu, G.N.; Agbenin, J.O. Lead enrichment, adsorption and speciation in urban garden soils under long-term wastewater irrigation in northern Nigeria. Environ. Earth Sci. 2013, 69, 1861–1870. [Google Scholar] [CrossRef]





| Solution | pH | IS | Pore | Zeta (mV) | Particle (nm) | Recoveries | R2 |
|---|---|---|---|---|---|---|---|
| 100 mg·L−1 soil colloids | 3.0 | 0.01 | 0.46 | −19.5 ± 0.2 | 1223 ± 29 | NA 1 | |
| 5.0 | 0.01 | 0.46 | −33.7 ± 0.3 | 468 ± 15 | NA 1 | ||
| 7.0 | 0.01 | 0.46 | −34.6 ± 0.3 | 450 ± 11 | 7.0% | 0.9943 | |
| 9.0 | 0.01 | 0.46 | −35.9 ± 0.5 | 401 ± 10 | 32.5% | 0.9820 | |
| 7.0 | 0 | 0.46 | −36.2 ± 0.4 | 400 ± 10 | 81.6% | 0.9950 | |
| 7.0 | 0.005 | 0.46 | −35.8 ± 0.3 | 413 ± 12 | 39.2% | 0.9657 | |
| 7.0 | 0.05 | 0.46 | −25.2 ± 0.4 | 616 ± 19 | NA 1 | ||
| Solution | pH | IS | Dispersion | Pore | Recoveries | R2 |
|---|---|---|---|---|---|---|
| 10 mg·L−1 Cd2+ | 3.0 | 0.01 | 0.2518 | 0.46 | 99.7% | 0.9981 |
| 5.0 | 0.01 | 0.2518 | 0.46 | 82.2% | 0.9840 | |
| 7.0 | 0.01 | 0.2518 | 0.46 | 38.6% | 0.9620 | |
| 9.0 | 0.01 | 0.2518 | 0.46 | NA 1 | ||
| 7.0 | 0 | 0.2518 | 0.46 | NA 1 | ||
| 7.0 | 0.005 | 0.2518 | 0.46 | 10.7% | 0.9958 | |
| 7.0 | 0.05 | 0.2518 | 0.46 | 47.7% | 0.9046 | |
| 10 mg·L−1 Pb2+ | 3.0 | 0.01 | 0.2518 | 0.46 | 86.3% | 0.9926 |
| 5.0 | 0.01 | 0.2518 | 0.46 | NA 1 | ||
| 7.0 | 0.01 | 0.2518 | 0.46 | NA 1 | ||
| 9.0 | 0.01 | 0.2518 | 0.46 | NA 1 | ||
| 5.0 | 0 | 0.2518 | 0.46 | NA 1 | ||
| 5.0 | 0.005 | 0.2518 | 0.46 | NA 1 | ||
| 5.0 | 0.05 | 0.2518 | 0.46 | 21.0% | 0.9055 | |
| Solution | pH | IS | Dispersion | Pore | Recoveries | R2 |
|---|---|---|---|---|---|---|
| 100 mg·L−1 Colloid + 10 mg·L−1 Cd2+ | 3.0 | 0.01 | 0.2518 | 0.46 | 99.6% | 0.9978 |
| 5.0 | 0.01 | 0.2518 | 0.46 | 66.2% | 0.9768 | |
| 7.0 | 0.01 | 0.2518 | 0.46 | 54.3% | 0.9421 | |
| 9.0 | 0.01 | 0.2518 | 0.46 | 29.6% | 0.9938 | |
| 7.0 | 0 | 0.2518 | 0.46 | 77.7% | 0.9467 | |
| 7.0 | 0.005 | 0.2518 | 0.46 | 56.5% | 0.9024 | |
| 7.0 | 0.05 | 0.2518 | 0.46 | 14.6% | 0.1546 | |
| 100 mg·L−1 Colloid + 10 mg·L−1 Pb2+ | 3.0 | 0.01 | 0.2518 | 0.46 | 81.4% | 0.9962 |
| 5.0 | 0.01 | 0.2518 | 0.46 | NA 1 | ||
| 7.0 | 0.01 | 0.2518 | 0.46 | 1.3% | 0.9920 | |
| 9.0 | 0.01 | 0.2518 | 0.46 | 6.4% | 0.9968 | |
| 5.0 | 0 | 0.2518 | 0.46 | 46.2% | 0.9154 | |
| 5.0 | 0.005 | 0.2518 | 0.46 | NA 1 | ||
| 5.0 | 0.05 | 0.2518 | 0.46 | NA 1 | ||
Disclaimer/Publisher’s Note: The statements, opinions and data contained in all publications are solely those of the individual author(s) and contributor(s) and not of MDPI and/or the editor(s). MDPI and/or the editor(s) disclaim responsibility for any injury to people or property resulting from any ideas, methods, instructions or products referred to in the content. |
© 2024 by the authors. Licensee MDPI, Basel, Switzerland. This article is an open access article distributed under the terms and conditions of the Creative Commons Attribution (CC BY) license (https://creativecommons.org/licenses/by/4.0/).
Share and Cite
Ye, Z.; Xu, D.; Zhong, J.; Gao, S.; Wang, J.; Zhang, Y.; Xu, H.; Li, Y.; Li, W. Influence of Soil Colloids on the Transport of Cd2+ and Pb2+ under Different pH and Ionic Strength Conditions. Agronomy 2024, 14, 352. https://doi.org/10.3390/agronomy14020352
Ye Z, Xu D, Zhong J, Gao S, Wang J, Zhang Y, Xu H, Li Y, Li W. Influence of Soil Colloids on the Transport of Cd2+ and Pb2+ under Different pH and Ionic Strength Conditions. Agronomy. 2024; 14(2):352. https://doi.org/10.3390/agronomy14020352
Chicago/Turabian StyleYe, Zihao, Dihao Xu, Jiawen Zhong, Shuang Gao, Jinjin Wang, Yulong Zhang, Huijuan Xu, Yongtao Li, and Wenyan Li. 2024. "Influence of Soil Colloids on the Transport of Cd2+ and Pb2+ under Different pH and Ionic Strength Conditions" Agronomy 14, no. 2: 352. https://doi.org/10.3390/agronomy14020352
APA StyleYe, Z., Xu, D., Zhong, J., Gao, S., Wang, J., Zhang, Y., Xu, H., Li, Y., & Li, W. (2024). Influence of Soil Colloids on the Transport of Cd2+ and Pb2+ under Different pH and Ionic Strength Conditions. Agronomy, 14(2), 352. https://doi.org/10.3390/agronomy14020352

