Effects of Nutrient Deficiency on Crop Yield and Soil Nutrients Under Winter Wheat–Summer Maize Rotation System in the North China Plain
Abstract
1. Introduction
2. Materials and Methods
2.1. Experimental Site and Design
2.2. Sampling and Measurements
2.2.1. Yield
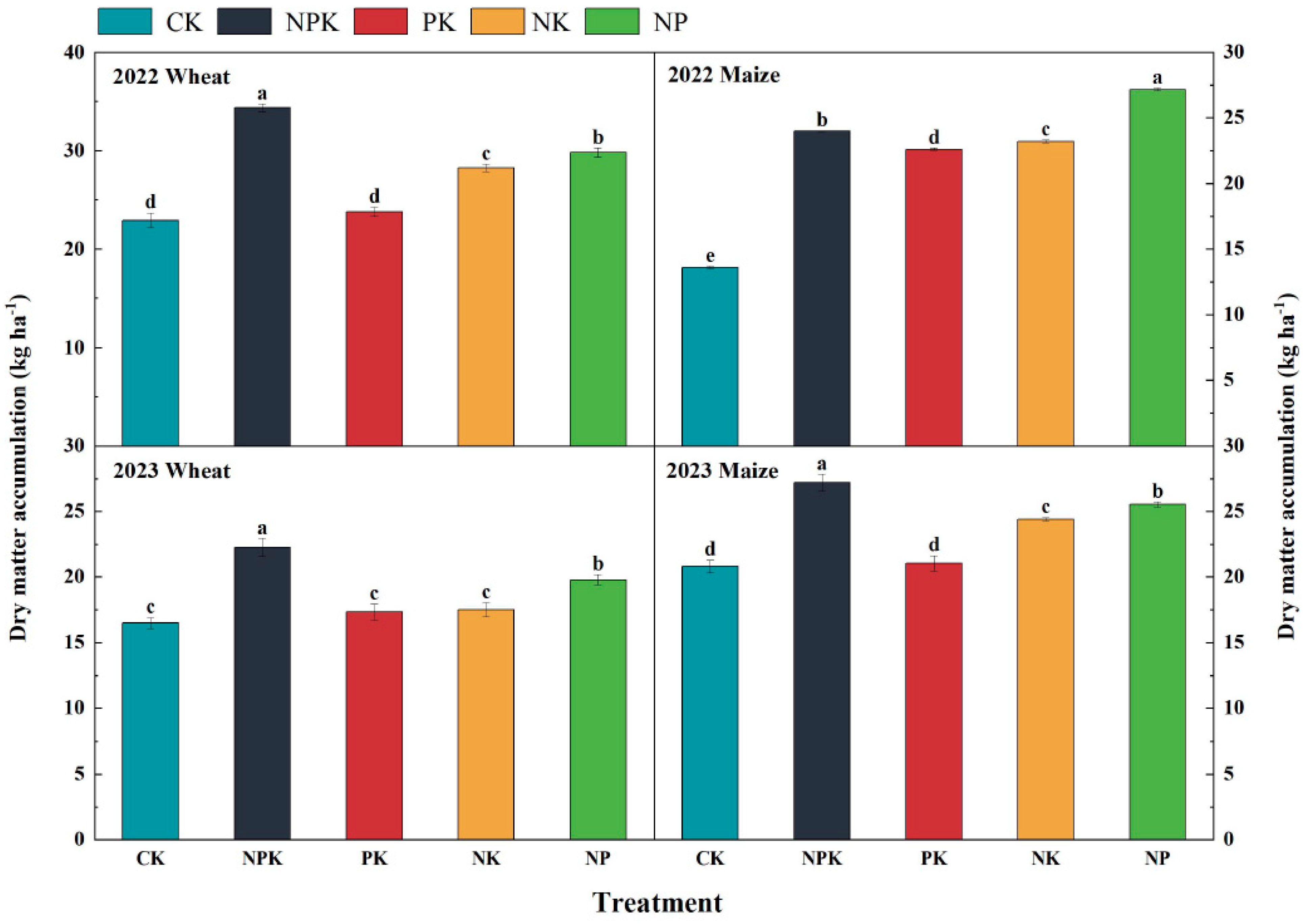
2.2.2. The Accumulation of Dry Matter
2.2.3. Plant Nitrogen Accumulation and Nitrogen Use Efficiency Index
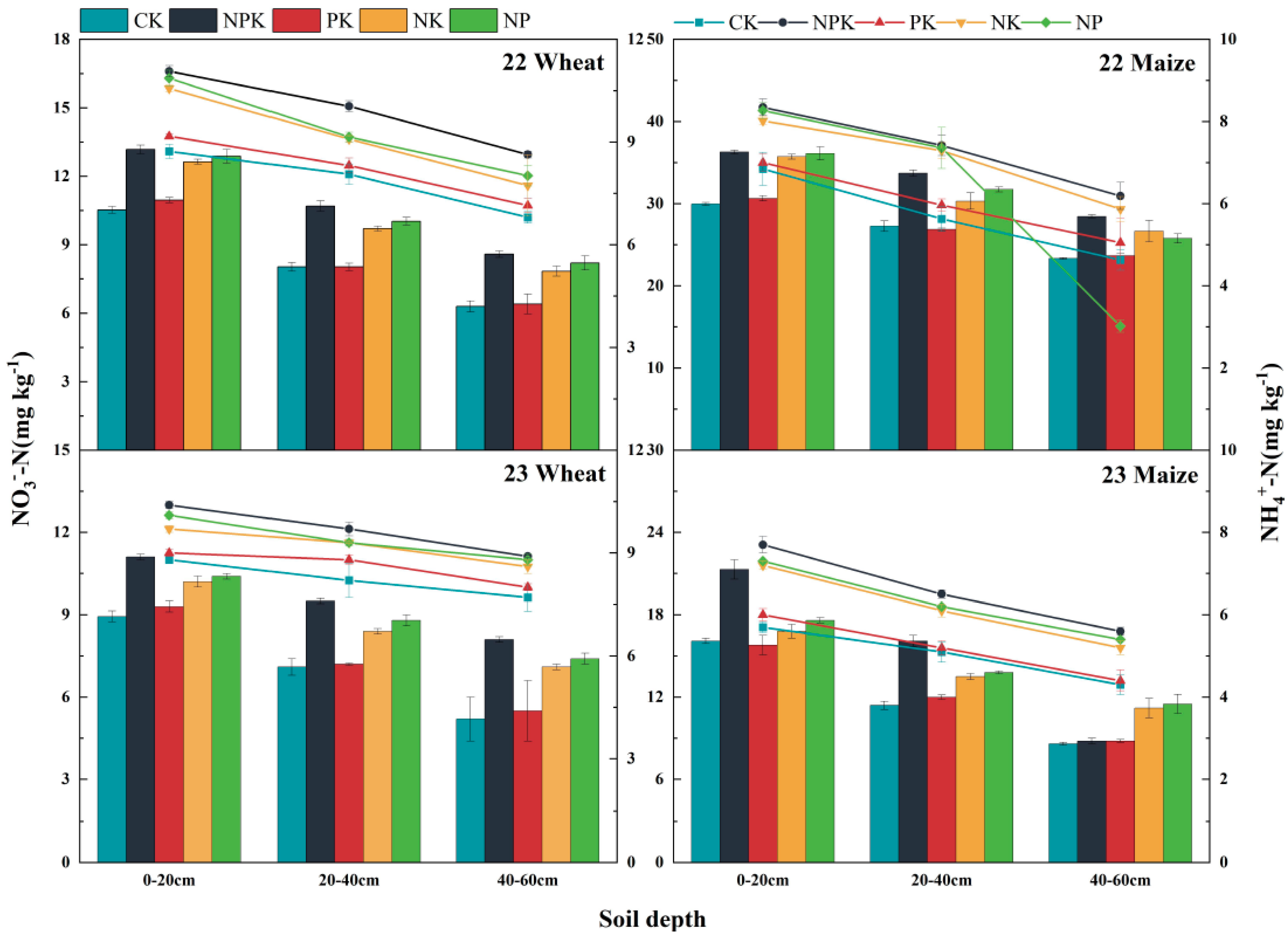
2.2.4. NO3−-N and NH4+-N Content
2.3. Statistical Analysis
3. Results
3.1. Grain Yield
3.2. Dry Matter Accumulation
3.3. Nitrogen Use Efficiency
3.4. Plant Nitrogen Accumulation
3.5. Soil Inorganic Nitrogen Content
3.6. Correlation Analysis
4. Discussion
5. Conclusions
Author Contributions
Funding
Data Availability Statement
Acknowledgments
Conflicts of Interest
References
- Singh, G.; Gupta, M.K.; Chaurasiya, S.; Sharma, V.S.; Pimenov, D.Y. Rice straw burning: A review on its global prevalence and the sustainable alternatives for its effective mitigation. Environ. Sci. Pollut. Res. 2021, 28, 32125–32155. [Google Scholar] [CrossRef] [PubMed]
- Lu, Y.Y.; Silveira, M.L.; O’Connor, G.A.; Vendramini, J.M.B.; Erickson, J.E.; Li, Y. Assessing the impacts of biochar and fertilizer management strategies on N and P balances in subtropical pastures. Geoderma 2021, 394, 115038. [Google Scholar] [CrossRef]
- Li, Q.; Liu, Y.; Luo, L.Y.; Wang, Y.; Wang, Q.; Ma, M.H. Spatiotemporal drought characteristics during growing seasons of the winter wheat and summer maize in the North China Plain. Front. Earth Sci. 2024, 11, 1358987. [Google Scholar] [CrossRef]
- Bhuvaneshwari, S.; Hettiarachchi, H.; Meegoda, J.N. Crop Residue Burning in India: Policy Challenges and Potential Solutions. Int. J. Environ. Res. Public Health 2019, 16, 832. [Google Scholar] [CrossRef]
- Lenka, N.K.; Lal, R. Soil aggregation and greenhouse gas flux after 15 years of wheat straw and fertilizer management in a no-till system. Soil Tillage Res. 2013, 126, 78–89. [Google Scholar] [CrossRef]
- Venkatesh, M.S.; Hazra, K.K.; Ghosh, P.K.; Khuswah, B.L.; Ganeshamurthy, A.N.; Ali, M.; Singh, J.; Mathur, R.S. Long–term effect of crop rotation and nutrient management on soil–plant nutrient cycling and nutrient budgeting in Indo–Gangetic plains of India. Arch. Agron. Soil Sci. 2017, 63, 2007–2022. [Google Scholar] [CrossRef]
- Li, S.L.; Wang, S.; Shangguan, Z.P. Combined biochar and nitrogen fertilization at appropriate rates could balance the leaching and availability of soil inorganic nitrogen. Agric. Ecosyst. Environ. 2019, 276, 21–30. [Google Scholar] [CrossRef]
- Ordóñez, R.A.; Pico LB, O.; Dohleman, F.G.; Fernández-Juricic, E.; Verhagen, G.S.; Vyn, T.J. Short-statured maize achieved similar growth and nitrogen uptake but greater nitrogen efficiencies than conventional tall maize. Crop Sci. 2024, 1–19. [Google Scholar] [CrossRef]
- Thuynsma, R.; Valentine, A.; Kleinert, A. Phosphorus deficiency affects the allocation of below-ground resources to combined cluster roots and nodules in Lupinus albus. J. Plant Physiol. 2014, 171, 285–291. [Google Scholar] [CrossRef]
- Njoroge, R.; Otinga, A.N.; Okalebo, J.R.; Pepela, M.; Merckx, R. Occurrence of poorly responsive soils in western Kenya and associated nutrient imbalances in maize (Zea mays L.). Field Crops Res. 2017, 210, 162–174. [Google Scholar] [CrossRef]
- Usandivaras, L.M.A.; Gutiérrez-Boem, F.H.; Salvagiotti, F. Contrasting Effects of Phosphorus and Potassium Deficiencies on Leaf Area Development in Maize. Crop Sci. 2018, 58, 2099–2109. [Google Scholar] [CrossRef]
- Sitko, K.; Gieroń, Ż.; Szopiński, M.; Zieleźnik-Rusinowska, P.; Rusinowski, S.; Pogrzeba, M.; Daszkowska-Golec, A.; Kalaji, H.M.; Małkowski, E. Influence of short-term macronutrient deprivation in maize on photosynthetic characteristics, transpiration and pigment content. Sci. Rep. 2019, 9, 14181. [Google Scholar] [CrossRef] [PubMed]
- FAO. World Soil Resources Report 60: FAO-UNESCO Soil Map of the World Revised Legend; UN Food and Agriculture Organization: Rome, Italy, 1988. [Google Scholar]
- Wang, C.Y.; Ma, Y.H.; Zhao, R.; Sun, Z.; Wang, X.F.; Gao, F. The Effect of Nutrient Deficiencies on the Annual Yield and Root Growth of Summer Corn in a Double-Cropping System. Plants 2024, 13, 682. [Google Scholar] [CrossRef] [PubMed]
- Bremner, J.M. Determination of nitrogen in soil by the Kjeldahl method. J. Agric. Sci. 1960, 55, 11–33. [Google Scholar] [CrossRef]
- Rubin, J.C.; Struffert, A.M.; Fernández, F.G.; Lamb, J.A. Maize Yield and Nitrogen Use Efficiency in Upper Midwest Irrigated Sandy Soils. Agron. J. 2016, 108, 1681–1691. [Google Scholar] [CrossRef]
- Habbib, H.; Verzeaux, J.; Nivelle, E.; Roger, D.; Lacoux, J.; Catterou, M.; Hirel, B.; Dubois, F.; Tétu, T. Conversion to No-Till Improves Maize Nitrogen Use Efficiency in a Continuous Cover Cropping System. PLoS ONE 2016, 11, e0164234. [Google Scholar] [CrossRef] [PubMed]
- Gao, F.; Li, B.; Ren, B.Z.; Zhao, B.; Liu, P.; Zhang, J.W. Effects of residue management strategies on greenhouse gases and yield under double cropping of winter wheat and summer maize. Sci. Total Environ. 2019, 6870, 1138–1146. [Google Scholar] [CrossRef]
- Dai, X.; Ouyang, Z.; Li, Y.; Wang, H. Variation in Yield Gap Induced by Nitrogen, Phosphorus and Potassium Fertilizer in North China Plain. PLoS ONE 2013, 8, e82147. [Google Scholar] [CrossRef]
- Hou, Y.P.; Kong, L.L.; Li, Q.; Yin, C.X.; Qin, Y.B.; Yang, J.; Yu, L.; Zhang, L.; Xie, J.G. Effect of Different Nitrogen Rates on Nitrogen Absorption, Translocation and Yield of Spring Maize. J. Maize Sci. 2015, 23, 136–142. [Google Scholar] [CrossRef]
- Rufty, T.W.; Huber, S.C.; Volk, R.J. Alterations in Leaf Carbohydrate Metabolism in Response to Nitrogen Stress. Plant Physiol. 1988, 88, 725–730. [Google Scholar] [CrossRef]
- Szulc, P.; Ambroży-Deręgowska, K.; Waligóra, H.; Mejza, I.; Grześ, S.; Zielewicz, W.; Wróbel, B. Dry Matter Yield of Maize (Zea mays L.) as an Indicator of Mineral Fertilizer Efficiency. Plants 2021, 10, 535. [Google Scholar] [CrossRef] [PubMed]
- Sharifi, S.; Shi, S.M.; Obaid, H.; Dong, X.S.; He, X.H. Differential Effects of Nitrogen and Phosphorus Fertilization Rates and Fertilizer Placement Methods on P Accumulations in Maize. Plants 2024, 13, 1778. [Google Scholar] [CrossRef]
- Timlin, D.J.; Naidu, T.C.M.; Fleisher, D.H.; Reddy, V.R. Quantitative Effects of Phosphorus on Maize Canopy Photosynthesis and Biomass. Crop Sci. 2017, 57, 3156–3169. [Google Scholar] [CrossRef]
- Momen, A.; Koocheki, A.; Mahallati, M.N. Analysis of the variations in dry matter yield and resource use efficiency of maize under different rates of nitrogen, phosphorous and water supply. J. Plant Nutr. 2020, 43, 1306–1319. [Google Scholar] [CrossRef]
- Li, J.Y.; Niu, L.A.; Zhang, Q.C.; Di, H.; Hao, J.M. Impacts of long-term lack of potassium fertilization on different forms of soil potassium and crop yields on the North China Plains. J. Soil Sediments 2017, 17, 1607–1617. [Google Scholar] [CrossRef]
- Zhang, Q.J.; Li, G.H.; Lu, W.P.; Lu, D.L. Interactive Effects of Nitrogen and Potassium on Grain Yield and Quality of Waxy Maize. Plants 2022, 11, 2528. [Google Scholar] [CrossRef]
- Yin, M.Q.; Li, Y.F.; Hu, Q.L.; Yu, X.J.; Huang, M.J.; Zhao, J.; Dong, S.Q.; Yuan, X.Y.; Wen, Y.Y. Potassium Increases Nitrogen and Potassium Utilization Efficiency and Yield in Foxtail Millet. Agronomy 2023, 13, 2200. [Google Scholar] [CrossRef]
- Wang, X.K.; Li, Z.B.; Xing, Y.Y. Effects of mulching and fertilization on soil temperature, water content, nitrate-N content and maize yield in the Loess Plateau of China. Agric. Water Mang. 2015, 161, 53–64. [Google Scholar] [CrossRef]
- Ma, L. Dynamic Changes of Corn Nitrogen Application and Soil Nitrate Nitrogen and Ammonium Nitrogen. Master’s Thesis, Northeast Agricultural University, Heilongjiang, China, 2015. [Google Scholar] [CrossRef]
- Wang, X.Y.; Fan, X.K. Effect of nitrogen application time on the distribution of soil nitrogen under drip fertigation. Agric. Res. Arid Areas 2017, 35, 182–189. [Google Scholar] [CrossRef]
- Li, Y.; Liu, H.J.; Huang, G.H.; Zhang, R.H.; Yang, H.Y. Nitrate nitrogen accumulation and leaching pattern at a winter wheat: Summer maize cropping field in the North China Plain. Environ. Earth Sci. 2016, 75, 118. [Google Scholar] [CrossRef]
- Fierer, N.; Lauber, C.L.; Ramirez, K.S.; Zaneveld, J.; Bradford, M.A.; Knight, R. Comparative metagenomic, phylogenetic and physiological analyses of soil microbial communities across nitrogen gradients. ISME J. 2012, 6, 1007–1017. [Google Scholar] [CrossRef] [PubMed]
- Rao, I.M.; Miles, J.W.; Beebe, S.E.; Horst, W.J. Root adaptations to soils with low fertility and aluminium toxicity. Ann. Bot. 2016, 118, 593–605. [Google Scholar] [CrossRef] [PubMed]





| Year | pH | SOM (g/kg) | TN (g/kg) | TP (g/kg) | TK (g/kg) | AP (g/kg) | AK (g/kg) | HN (g/kg) |
|---|---|---|---|---|---|---|---|---|
| 2021 | 8.57 | 12.94 | 0.96 | 0.86 | 15.74 | 11.3 | 113 | 54.2 |
| 2022 | 8.49 | 13.06 | 0.93 | 0.75 | 16.08 | 10.9 | 109 | 63.5 |
| 2023 | 8.41 | 13.18 | 0.90 | 0.70 | 16.42 | 10.5 | 105 | 66.2 |
| Treatment | NP | NK | PK | NPK | CK | ||||||
|---|---|---|---|---|---|---|---|---|---|---|---|
| Wheat | Maize | Wheat | Maize | Wheat | Maize | Wheat | Maize | Wheat | Maize | ||
| Tillage method | Straw removal, manual rotary tillage | ||||||||||
| Seeding rate (×104 seeds ha−1) | 300 | 6.75 | 300 | 6.75 | 300 | 6.75 | 300 | 6.75 | 300 | 6.75 | |
| Fertilizer application rates (kg ha−1) | N | 276 | 276 | 276 | 276 | 0 | 0 | 276 | 276 | 0 | 0 |
| P | 67.5 | 67.5 | 0 | 0 | 67.5 | 67.5 | 67.5 | 67.5 | 0 | 0 | |
| K | 0 | 0 | 150 | 150 | 150 | 150 | 150 | 150 | 0 | 0 | |
| Year | Treatment | Winter Wheat | Summer Maize | Annual Yield (kg·ha−1) | ||||||
|---|---|---|---|---|---|---|---|---|---|---|
| EN (106 Ears·ha−1) | KN | TKW (g) | Yield (kg·ha−1) | EN (104 Ears·ha−1) | KN | TKW (g) | Yield (kg·ha−1) | |||
| 2022 | CK | 7.47 ab | 35.08 d | 45.02 b | 11,799 c | 4.30 b | 614.10 b | 287.40 b | 7653 c | 19,452 d |
| NPK | 7.66 a | 40.91 a | 42.56 d | 13,329 b | 5.11 a | 618.40 ab | 323.40 a | 10,202 a | 23,531 a | |
| PK | 7.56 ab | 39.46 b | 43.41 c | 12,936 b | 4.47 ab | 598.00 b | 267.50 b | 7221 c | 20,157 c | |
| NK | 7.45 b | 40.96 a | 45.43 b | 13,798 a | 4.77 ab | 649.40 a | 319.60 a | 9925 ab | 23,723 a | |
| NP | 6.86 c | 37.73 c | 46.64 a | 12,079 c | 4.80 ab | 578.20 c | 316.00 a | 8957 b | 21,036 b | |
| 2023 | CK | 7.64 a | 31.70 c | 46.87 a | 11,346 c | 44,200 b | 599.77 ab | 320.61 b | 8492 b | 19,839 c |
| NPK | 7.50 b | 38.55 b | 47.41 a | 13,727 a | 48,100 a | 623.53 ab | 343.87 a | 10,309 a | 24,036 a | |
| PK | 6.89 c | 37.15 c | 39.98 b | 10,230 d | 45,400 ab | 589.70 b | 307.56 b | 8065 b | 18,294 d | |
| NK | 6.49 d | 41.02 a | 46.72 a | 12,448 b | 45,700 ab | 644.70 a | 340.48 a | 10,256 a | 22,704 b | |
| NP | 6.80 c | 38.40 b | 47.15 a | 12,309 b | 46,000 ab | 633.06 ab | 345.14 a | 10,081 a | 22,390 b | |
| Treatment | *** | *** | *** | ** | *** | NS | ** | *** | *** | |
| Year | ** | ** | NS | * | NS | NS | ** | *** | *** | |
| Treatment × Year | * | NS | * | * | NS | NS | NS | *** | *** | |
| Year | Treatment | Winter Wheat | Summer Maize | Annual Dimension | ||||||||||||
|---|---|---|---|---|---|---|---|---|---|---|---|---|---|---|---|---|
| PFPN (kg· kg−1) | AEN (kg· kg−1) | NHI (%) | UPE (%) | NUE (%) | PFPN (kg· kg−1) | AEN (kg· kg−1) | NHI (%) | UPE (%) | NUE (%) | PFPN (kg· kg−1) | AEN (kg· kg−1) | NHI (%) | UPE (%) | NUE (%) | ||
| 2022 | CK | / | / | 51.1 c | 0.6 bc | 70.2 c | / | / | 34.9 d | 0.9 c | 31.1 a | / | / | 86.1 d | 1.5 c | 101.2 c |
| NPK | 48.3 b | 5.6 b | 62.1 a | 0.7 a | 73.9 a | 36.9 a | 9.24 a | 40.5 a | 1.2 a | 30.6 a | 85.3 a | 14.8 a | 102.6 a | 2.0 a | 104.3 a | |
| PK | / | / | 51.9 c | 0.6 c | 73.6 a | / | / | 36.9 c | 0.9 c | 29.2 b | / | / | 88.9 c | 1.5 c | 102.8 b | |
| NK | 49.9 a | 7.2 a | 55.9 b | 0.6 b | 72.4 b | 35.9 a | 8.23 b | 39.9 a | 1.1 b | 31.5 a | 86.0 a | 15.5 a | 95.8 b | 1.8 b | 103.9 ab | |
| NP | 43.8 c | 1.0 c | 48.6 d | 0.7 ab | 64.3 e | 32.5 b | 4.72 c | 38.9 b | 1.2 b | 27.8 c | 76.2 b | 5.7 b | 87.5 cd | 1.8 b | 92.1 d | |
| 2023 | CK | / | / | 54.9 b | 0.7 c | 62.3 a | / | / | 29.3 b | 0.7 c | 43.2 a | / | / | 84.2 b | 1.4 c | 105.5 a |
| NPK | 49.7 a | 8.6 a | 57.9 a | 0.9 a | 52.9 c | 37.4 a | 6.58 a | 38.3 a | 1.1 a | 32.9 d | 87.1 a | 15.2 a | 96.3 a | 2.1 a | 85.7 d | |
| PK | / | / | 20.5 d | 0.7 c | 57.5 b | / | / | 29.6 b | 0.7 c | 40.1 c | / | / | 50.1 c | 1.4 c | 97.6 b | |
| NK | 45.1 b | 3.9 b | 56.7 a | 0.8 b | 56.8 b | 37.2 a | 6.39 a | 26.9 c | 0.9 b | 41.4 b | 82.3 b | 10.4 b | 83.7 b | 1.7 b | 98.1 b | |
| NP | 44.6 b | 3.5 c | 47.3 c | 0.8 b | 52.8 c | 36.5 a | 5.76 b | 38.3 a | 0.9 b | 42.0 ab | 81.1 b | 9.2 c | 85.6 b | 1.7 b | 94.8 c | |
| Treatment | *** | *** | *** | *** | * | *** | *** | *** | *** | NS | *** | *** | *** | *** | * | |
| Year | NS | NS | *** | *** | *** | NS | NS | ** | *** | *** | NS | NS | *** | *** | * | |
| Treatment × Year | NS | NS | *** | *** | NS | NS | NS | *** | *** | NS | NS | NS | *** | NS | * | |
Disclaimer/Publisher’s Note: The statements, opinions and data contained in all publications are solely those of the individual author(s) and contributor(s) and not of MDPI and/or the editor(s). MDPI and/or the editor(s) disclaim responsibility for any injury to people or property resulting from any ideas, methods, instructions or products referred to in the content. |
© 2024 by the authors. Licensee MDPI, Basel, Switzerland. This article is an open access article distributed under the terms and conditions of the Creative Commons Attribution (CC BY) license (https://creativecommons.org/licenses/by/4.0/).
Share and Cite
Sun, Z.; Yang, R.; Wang, J.; Zhou, P.; Gong, Y.; Gao, F.; Wang, C. Effects of Nutrient Deficiency on Crop Yield and Soil Nutrients Under Winter Wheat–Summer Maize Rotation System in the North China Plain. Agronomy 2024, 14, 2690. https://doi.org/10.3390/agronomy14112690
Sun Z, Yang R, Wang J, Zhou P, Gong Y, Gao F, Wang C. Effects of Nutrient Deficiency on Crop Yield and Soil Nutrients Under Winter Wheat–Summer Maize Rotation System in the North China Plain. Agronomy. 2024; 14(11):2690. https://doi.org/10.3390/agronomy14112690
Chicago/Turabian StyleSun, Zheng, Rulan Yang, Jie Wang, Peng Zhou, Yu Gong, Fei Gao, and Chuangyun Wang. 2024. "Effects of Nutrient Deficiency on Crop Yield and Soil Nutrients Under Winter Wheat–Summer Maize Rotation System in the North China Plain" Agronomy 14, no. 11: 2690. https://doi.org/10.3390/agronomy14112690
APA StyleSun, Z., Yang, R., Wang, J., Zhou, P., Gong, Y., Gao, F., & Wang, C. (2024). Effects of Nutrient Deficiency on Crop Yield and Soil Nutrients Under Winter Wheat–Summer Maize Rotation System in the North China Plain. Agronomy, 14(11), 2690. https://doi.org/10.3390/agronomy14112690

