The Long-Term Application of Controlled-Release Nitrogen Fertilizer Maintains a More Stable Bacterial Community and Nitrogen Cycling Functions Than Common Urea in Fluvo-Aquic Soil
Abstract
:1. Introduction
2. Materials and Methods
2.1. Site Description and Sampling
2.2. Soil Chemical and Biological Analyses
2.3. Soil DNA Extraction and High-Throughput Sequencing Analysis
2.4. Statistical Analysis
3. Results
3.1. Soil Physiochemical Properties
3.2. Soil Bacterial Community
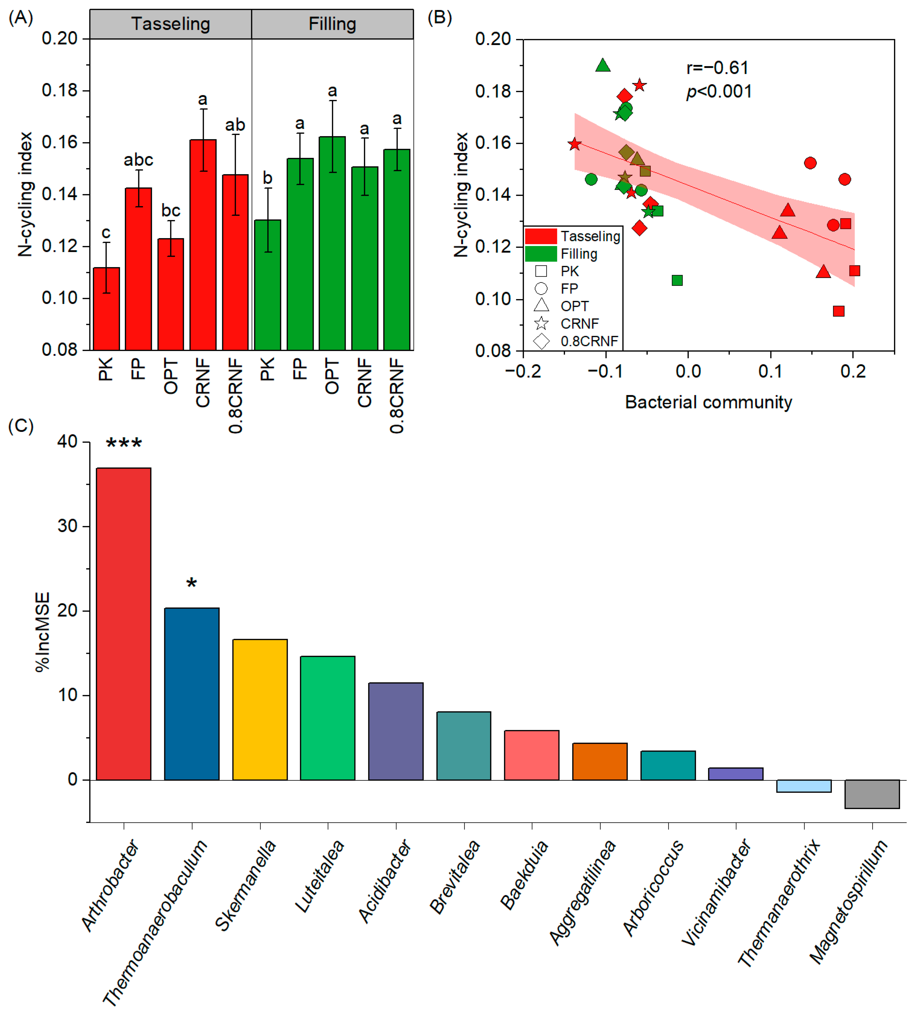
3.3. Nitrogen Function
4. Discussion
4.1. Effects of CRNF on Soil Nitrogen Content
4.2. Effects of CRNF on the Bacterial Community
4.3. Effects of CRNF on Nitrogen Cycling Functions
5. Conclusions
Author Contributions
Funding
Data Availability Statement
Conflicts of Interest
References
- Zhang, X. A plan for efficient use of nitrogen fertilizers. Nature 2017, 543, 322–323. [Google Scholar] [CrossRef] [PubMed]
- Mueller, N.D.; Lassaletta, L.; Runck, B.C.; Billen, G.; Garnier, J.; Gerber, J.S. Declining spatial efficiency of global cropland nitrogen allocation. Glob. Biogeochem. Cycles 2017, 31, 245–257. [Google Scholar] [CrossRef]
- Dimkpa, C.O.; Fugice, J.; Singh, U.; Lewis, T.D. Development of fertilizers for enhanced nitrogen use efficiency—Trends and perspectives. Sci. Total Environ. 2020, 731. [Google Scholar] [CrossRef] [PubMed]
- Vitousek, P.M.; Naylor, R.; Crews, T.; David, M.B.; Drinkwater, L.E.; Holland, E.; Johnes, P.J.; Katzenberger, J.; Martinelli, L.A.; Matson, P.A.; et al. Nutrient Imbalances in Agricultural Development. Science 2009, 324, 1519–1520. [Google Scholar] [CrossRef] [PubMed]
- Aula, L.; Macnack, N.; Omara, P.; Mullock, J.; Raun, W. Effect of Fertilizer Nitrogen (N) on Soil Organic Carbon, Total N, and Soil pH in Long-Term Continuous Winter Wheat (Triticum Aestivum L.). Commun. Soil Sci. Plant Anal. 2016, 47, 863–874. [Google Scholar] [CrossRef]
- Rahman, M.H.; Haque, K.M.S.; Khan, M.Z.H. A review on application of controlled released fertilizers influencing the sustainable agricultural production: A Cleaner production process. Environ. Technol. Innov. 2021, 23, 101697. [Google Scholar] [CrossRef]
- Vejan, P.; Khadiran, T.; Abdullah, R.; Ahmad, N. Controlled release fertilizer: A review on developments, applications and potential in agriculture. J. Control. Release 2021, 339, 321–334. [Google Scholar] [CrossRef]
- Shaviv, A. Advances in Controlled-Release Fertilizers. In Advances in Agronomy; Sparks, D.L., Ed.; Elsevier: Amsterdam, The Netherlands, 2001; Volume 71, pp. 1–49. [Google Scholar]
- Lawrencia, D.; Wong, S.K.; Low, D.Y.S.; Goh, B.H.; Goh, J.K.; Ruktanonchai, U.R.; Soottitantawat, A.; Lee, L.H.; Tang, S.Y. Controlled Release Fertilizers: A Review on Coating Materials and Mechanism of Release. Plants 2021, 10, 238. [Google Scholar] [CrossRef]
- Zhang, W.; Liang, Z.; He, X.; Wang, X.; Shi, X.; Zou, C.; Chen, X. The effects of controlled release urea on maize productivity and reactive nitrogen losses: A meta-analysis. Environ. Pollut. 2019, 246, 559–565. [Google Scholar] [CrossRef]
- Sun, M.; Li, J.; Zhang, L.; Su, X.; Liu, N.; Han, X.; Wu, S.; Sun, Z.; Yang, X. Application of controlled release urea increased maize N uptake, environmental benefits and economic returns via optimizing the temporal and spatial distribution of soil mineral N. Pedosphere 2023. [Google Scholar] [CrossRef]
- Sarmah, D.; Karak, N. Biodegradable superabsorbent hydrogel for water holding in soil and controlled-release fertilizer. J. Appl. Polym. Sci. 2020, 137, 48495. [Google Scholar] [CrossRef]
- Geng, J.; Sun, Y.; Zhang, M.; Li, C.; Yang, Y.; Liu, Z.; Li, S. Long-term effects of controlled release urea application on crop yields and soil fertility under rice-oilseed rape rotation system. Field Crops Res. 2015, 184, 65–73. [Google Scholar] [CrossRef]
- Gao, Y.; Song, X.; Liu, K.; Li, T.; Zheng, W.; Wang, Y.; Liu, Z.; Zhang, M.; Chen, Q.; Li, Z.; et al. Mixture of controlled-release and conventional urea fertilizer application changed soil aggregate stability, humic acid molecular composition, and maize nitrogen uptake. Sci. Total Environ. 2021, 789, 147778. [Google Scholar] [CrossRef] [PubMed]
- Ma, Q.; Wang, M.; Zheng, G.; Yao, Y.; Tao, R.; Zhu, M.; Ding, J.; Li, C.; Guo, W.; Zhu, X. Twice-split application of controlled-release nitrogen fertilizer met the nitrogen demand of winter wheat. Field Crops Res. 2021, 267, 108163. [Google Scholar] [CrossRef]
- Sun, H.; Zhou, S.; Zhang, J.; Zhang, X.; Wang, C. Effects of controlled-release fertilizer on rice grain yield, nitrogen use efficiency, and greenhouse gas emissions in a paddy field with straw incorporation. Field Crops Res. 2020, 253, 107814. [Google Scholar] [CrossRef]
- Bahram, M.; Hildebrand, F.; Forslund, S.K.; Anderson, J.L.; Soudzilovskaia, N.A.; Bodegom, P.M.; Bengtsson-Palme, J.; Anslan, S.; Coelho, L.P.; Harend, H.; et al. Structure and function of the global topsoil microbiome. Nature 2018, 560, 233–237. [Google Scholar] [CrossRef]
- Zhang, C.; Song, Z.; Zhuang, D.; Wang, J.; Xie, S.; Liu, G. Urea fertilization decreases soil bacterial diversity, but improves microbial biomass, respiration, and N-cycling potential in a semiarid grassland. Biol. Fertil. Soils 2019, 55, 229–242. [Google Scholar] [CrossRef]
- Wang, C.; Liu, D.; Bai, E. Decreasing soil microbial diversity is associated with decreasing microbial biomass under nitrogen addition. Soil Biol. Biochem. 2018, 120, 126–133. [Google Scholar] [CrossRef]
- Ma, Q.; Qian, Y.; Yu, Q.; Cao, Y.; Tao, R.; Zhu, M.; Ding, J.; Li, C.; Guo, W.; Zhu, X. Controlled-release nitrogen fertilizer application mitigated N losses and modified microbial community while improving wheat yield and N use efficiency. Agric. Ecosyst. Environ. 2023, 349, 108445. [Google Scholar] [CrossRef]
- Gao, Y.; Song, X.; Zheng, W.; Wu, L.; Chen, Q.; Yu, X.; Li, Z.; Li, R.; Gao, F.; Tian, H.; et al. The controlled-release nitrogen fertilizer driving the symbiosis of microbial communities to improve wheat productivity and soil fertility. Field Crops Res. 2022, 289, 108712. [Google Scholar] [CrossRef]
- Sun, Y.; Wang, J.; Mi, W.; Mu, W.; Tao, W.; Chen, C.; Mi, W.; Su, L. Effects of slow- and controlled-release nitrogen fertilizers on bacterial and fungal community composition in a double-cropping rice system. Soil Tillage Res. 2023, 230, 105714. [Google Scholar] [CrossRef]
- Gao, F.; Li, Z.; Gao, Y.; Gaoyang, E.; Li, M.; Li, C.; Cheng, Y.; Zhang, T.; Wang, S.; Wu, L. The effect of long-term controlled-release urea application on the relative abundances of plant growth-promoting microorganisms. Eur. J. Agron. 2023, 151, 126971. [Google Scholar] [CrossRef]
- Batjes, N. A world dataset of derived soil properties by FAO–UNESCO soil unit for global modelling. Soil Use Manag. 1997, 13, 9–16. [Google Scholar] [CrossRef]
- Rukun, L. Soil Agricultural Chemical Analysis Method; China Agricultural Science and Technology Press: Beijing, China, 2000. [Google Scholar]
- Kandeler, E.; Gerber, H. Short-term assay of soil urease activity using colorimetric determination of ammonium. Biol. Fertil. Soils 1988, 6, 68–72. [Google Scholar] [CrossRef]
- Schinner, F.; Öhlinger, R.; Kandeler, E.; Margesin, R. Methods in Soil Biology; Springer Science & Business Media: Berlin/Heidelberg, Germany, 2012. [Google Scholar]
- Biddle, J.F.; Fitz-Gibbon, S.; Schuster, S.C.; Brenchley, J.E.; House, C.H. Metagenomic signatures of the Peru Margin subseafloor biosphere show a genetically distinct environment. Proc. Natl. Acad. Sci. USA 2008, 105, 10583–10588. [Google Scholar] [CrossRef] [PubMed]
- Edgar, R.C. UPARSE: Highly accurate OTU sequences from microbial amplicon reads. Nat. Methods 2013, 10, 996–998. [Google Scholar] [CrossRef] [PubMed]
- Douglas, G.M.; Maffei, V.J.; Zaneveld, J.R.; Yurgel, S.N.; Brown, J.R.; Taylor, C.M.; Huttenhower, C.; Langille, M.G.I. PICRUSt2 for prediction of metagenome functions. Nat. Biotechnol. 2020, 38, 685–688. [Google Scholar] [CrossRef]
- Rahman, K.M.A.; Zhang, D. Effects of Fertilizer Broadcasting on the Excessive Use of Inorganic Fertilizers and Environmental Sustainability. Sustainability 2018, 10, 759. [Google Scholar] [CrossRef]
- Qiong, W.U.; Wang, Y.H.; Ding, Y.F.; Tao, W.K.; Shen, G.A.O.; Li, Q.X.; Li, W.W.; Liu, Z.H.; Li, G.H. Effects of different types of slow-and controlled-release fertilizers on rice yield. J. Integr. Agric. 2021, 20, 1503–1514. [Google Scholar]
- Geng, J.; Ma, Q.; Zhang, M.; Li, C.; Liu, Z.; Lyu, X.; Zheng, W. Synchronized relationships between nitrogen release of controlled release nitrogen fertilizers and nitrogen requirements of cotton. Field Crops Res. 2015, 184, 9–16. [Google Scholar] [CrossRef]
- Zheng, Y.; Ji, J.; Liu, S. Effect of topdressing time on spring maize yield and nitrogen utilization in black soil of northeast China. Sci. Rep. 2023, 13, 11841. [Google Scholar] [CrossRef] [PubMed]
- Hu, H.; Ning, T.; Li, Z.; Han, H.; Zhang, Z.; Qin, S.; Zheng, Y. Coupling effects of urea types and subsoiling on nitrogen-water use and yield of different varieties of maize in northern China. Field Crops Res. 2013, 142, 85–94. [Google Scholar] [CrossRef]
- Garbeva, P.; van Veen, J.A.; van Elsas, J.D. Microbial diversity in soil: Selection of microbial populations by plant and soil type and implications for disease suppressiveness. Annu. Rev. Phytopathol. 2004, 42, 243–270. [Google Scholar] [CrossRef] [PubMed]
- Wang, X.; Feng, J.; Ao, G.; Qin, W.; Han, M.; Shen, Y.; Liu, M.; Chen, Y.; Zhu, B. Globally nitrogen addition alters soil microbial community structure, but has minor effects on soil microbial diversity and richness. Soil Biol. Biochem. 2023, 179, 108982. [Google Scholar] [CrossRef]
- Zhalnina, K.; Dias, R.; de Quadros, P.D.; Davis-Richardson, A.; Camargo, F.A.O.; Clark, I.M.; McGrath, S.P.; Hirsch, P.R.; Triplett, E.W. Soil pH Determines Microbial Diversity and Composition in the Park Grass Experiment. Microb. Ecol. 2015, 69, 395–406. [Google Scholar] [CrossRef]
- Yang, Y.; Cheng, H.; Gao, H.; An, S. Response and driving factors of soil microbial diversity related to global nitrogen addition. Land Degrad. Dev. 2020, 31, 190–204. [Google Scholar] [CrossRef]
- Li, R.; Gao, Y.; Chen, Q.; Li, Z.; Gao, F.; Meng, Q.; Li, T.; Liu, A.; Wang, Q.; Wu, L.; et al. Blended controlled-release nitrogen fertilizer with straw returning improved soil nitrogen availability, soil microbial community, and root morphology of wheat. Soil Tillage Res. 2021, 212, 105045. [Google Scholar] [CrossRef]
- Geisseler, D.; Scow, K.M. Long-term effects of mineral fertilizers on soil microorganisms—A review. Soil Biol. Biochem. 2014, 75, 54–63. [Google Scholar] [CrossRef]
- Zhou, Z.; Wang, C.; Zheng, M.; Jiang, L.; Luo, Y. Patterns and mechanisms of responses by soil microbial communities to nitrogen addition. Soil Biol. Biochem. 2017, 115, 433–441. [Google Scholar] [CrossRef]
- Kennedy, A.C.; Smith, K.L. Soil microbial diversity and the sustainability of agricultural soils. Plant Soil 1995, 170, 75–86. [Google Scholar] [CrossRef]
- Treseder, K.K. Nitrogen additions and microbial biomass: A meta-analysis of ecosystem studies. Ecol. Lett. 2008, 11, 1111–1120. [Google Scholar] [CrossRef] [PubMed]
- Li, Z.; Zhang, K.; Qiu, L.; Ding, S.; Wang, H.; Liu, Z.; Zhang, M.; Wei, Z. Soil Microbial Co-Occurrence Patterns under Controlled-Release Urea and Fulvic Acid Applications. Microorganisms 2022, 10, 1823. [Google Scholar] [CrossRef] [PubMed]
- Zeng, W.; Wang, Z.; Chen, X.; Yao, X.; Wang, W. Increased nitrogen availability alters soil carbon quality by regulating microbial growth strategy, metabolic efficiency, and biomass in degraded temperate grasslands. Land Degrad. Dev. 2021, 32, 3550–3560. [Google Scholar] [CrossRef]
- Zhang, K.; Ni, Y.; Liu, X.; Chu, H. Microbes changed their carbon use strategy to regulate the priming effect in an 11-year nitrogen addition experiment in grassland. Sci. Total Environ. 2020, 727, 138645. [Google Scholar] [CrossRef] [PubMed]
- Gregoire, P.; Fardeau, M.-L.; Joseph, M.; Guasco, S.; Hamaide, F.; Biasutti, S.; Michotey, V.; Bonin, P.; Ollivier, B. Isolation and characterization of Thermanaerothrix daxensis gen. nov., sp nov., a thermophilic anaerobic bacterium pertaining to the phylum “Chloroflexi”, isolated from a deep hot aquifer in the Aquitaine Basin. Syst. Appl. Microbiol. 2011, 34, 494–497. [Google Scholar] [CrossRef] [PubMed]
- Ivanova, A.A.; Zhelezova, A.D.; Chernov, T.I.; Dedysh, S.N. Linking ecology and systematics of acidobacteria: Distinct habitat preferences of the Acidobacteriia and Blastocatellia in tundra soils. PLoS ONE 2020, 15, e0230157. [Google Scholar] [CrossRef] [PubMed]
- Kim, N.; Riggins, C.W.; Zabaloy, M.C.; Allegrini, M.; Rodriguez-Zas, S.L.; Villamil, M.B. High-Resolution Indicators of Soil Microbial Responses to N Fertilization and Cover Cropping in Corn Monocultures. Agronomy 2022, 12, 954. [Google Scholar] [CrossRef]
- Wu, Q.; Ma, Y.; Wang, X.; Yu, S.; Zhao, X.; Yan, X.; Zhang, X. Functional players involved in the distinct nitrogen metabolism in two geographically different paddy soils. Biol. Fertil. Soils 2023. [Google Scholar] [CrossRef]
- Verstraete, W.; Alexander, M. Heterotrophic nitrification by Arthrobacter sp. J. Bacteriol. 1972, 110, 955–961. [Google Scholar] [CrossRef]
- Villamil, M.B.; Kim, N.; Riggins, C.W.; Zabaloy, M.C.; Allegrini, M.; Rodriguez-Zas, S.L. Microbial Signatures in Fertile Soils Under Long-Term N Management. Front. Soil Sci. 2021, 1, 765901. [Google Scholar] [CrossRef]
- Hao, C.; Dungait, J.A.J.; Wei, X.; Ge, T.; Kuzyakov, Y.; Cui, Z.; Tian, J.; Zhang, F. Maize root exudate composition alters rhizosphere bacterial community to control hotspots of hydrolase activity in response to nitrogen supply. Soil Biol. Biochem. 2022, 170, 108717. [Google Scholar] [CrossRef]
- Hao, J.; Zhang, F.; Liu, Z.; Yu, Q.; Yang, G.; Ren, G.; Han, X.; Wang, X.; Ren, C.; Feng, Y. Dynamic variability of soil diazotrophs in bulk-rhizosphere and phenological stages under long-term mulching in an eroded area in the Loess Plateau. Land Degrad. Dev. 2021, 32, 5468–5481. [Google Scholar] [CrossRef]
- Gao, S.; Li, Z.; Hou, Y.; Wang, A.; Liu, Q.; Huang, C. Effects of different carbon sources on the efficiency of sulfur-oxidizing denitrifying microorganisms. Environ. Res. 2022, 204, 111946. [Google Scholar] [CrossRef] [PubMed]
- Alkorta, I.; Aizpurua, A.; Riga, P.; Albizu, I.; Amezaga, I.; Garbisu, C. Soil enzyme activities as biological indicators of soil health. Rev. Environ. Health 2003, 18, 65–73. [Google Scholar] [CrossRef] [PubMed]
- Chaparro, J.M.; Sheflin, A.M.; Manter, D.K.; Vivanco, J.M. Manipulating the soil microbiome to increase soil health and plant fertility. Biol. Fertil. Soils 2012, 48, 489–499. [Google Scholar] [CrossRef]
- McCarty, G.W.; Shogren, D.R.; Bremner, J.M. Regulation of urease production in soil by microbial assimilation of nitrogen. Biol. Fertil. Soils 1992, 12, 261–264. [Google Scholar] [CrossRef]
- Chen, H.; Li, D.; Zhao, J.; Xiao, K.; Wang, K. Effects of nitrogen addition on activities of soil nitrogen acquisition enzymes: A meta-analysis. Agric. Ecosyst. Environ. 2018, 252, 126–131. [Google Scholar] [CrossRef]
- Gorfer, M.; Blumhoff, M.; Klaubauf, S.; Urban, A.; Inselsbacher, E.; Bandian, D.; Mitter, B.; Sessitsch, A.; Wanek, W.; Strauss, J. Community profiling and gene expression of fungal assimilatory nitrate reductases in agricultural soil. Isme J. 2011, 5, 1771–1783. [Google Scholar] [CrossRef]
- Shen, W.; Lin, X.; Shi, W.; Min, J.; Gao, N.; Zhang, H.; Yin, R.; He, X. Higher rates of nitrogen fertilization decrease soil enzyme activities, microbial functional diversity and nitrification capacity in a Chinese polytunnel greenhouse vegetable land. Plant Soil 2010, 337, 137–150. [Google Scholar] [CrossRef]
- Kuypers, M.M.M.; Marchant, H.K.; Kartal, B. The microbial nitrogen-cycling network. Nat. Rev. Microbiol. 2018, 16, 263–276. [Google Scholar] [CrossRef]
- Ouyang, Y.; Evans, S.E.; Friesen, M.L.; Tiemann, L.K. Effect of nitrogen fertilization on the abundance of nitrogen cycling genes in agricultural soils: A meta-analysis of field studies. Soil Biol. Biochem. 2018, 127, 71–78. [Google Scholar] [CrossRef]
- You, L.; Ros, G.H.; Chen, Y.; Yang, X.; Cui, Z.; Liu, X.; Jiang, R.; Zhang, F.; de Vries, W. Global meta-analysis of terrestrial nitrous oxide emissions and associated functional genes under nitrogen addition. Soil Biol. Biochem. 2022, 165, 108523. [Google Scholar] [CrossRef]
- Li, W.X.; Wang, C.; Zheng, M.M.; Cai, Z.J.; Wang, B.R.; Shen, R.F. Fertilization strategies affect soil properties and abundance of N-cycling functional genes in an acidic agricultural soil. Appl. Soil Ecol. 2020, 156, 103704. [Google Scholar] [CrossRef]
- Biederman, L.A.; Harpole, W.S. Biochar and its effects on plant productivity and nutrient cycling: A meta-analysis. Glob. Change Biol. Bioenergy 2013, 5, 202–214. [Google Scholar] [CrossRef]
- Nelson, M.B.; Martiny, A.C.; Martiny, J.B.H. Global biogeography of microbial nitrogen-cycling traits in soil. Proc. Natl. Acad. Sci. USA 2016, 113, 8033–8040. [Google Scholar] [CrossRef]







| Crop | Treatment | Urea (kg ha−1) | Polymer-Coated Urea (kg ha−1) | Superphosphate (kg ha−1) | Potassium Sulfate (kg ha−1) | |
|---|---|---|---|---|---|---|
| Base | Topdressing | |||||
| Maize | PK | 0 | 0 | 0 | 228 | 270 |
| FP | 235 | 352 | 0 | 98 | 90 | |
| OPT | 174 | 348 | 0 | 228 | 270 | |
| CRNF | 0 | 0 | 545 | 228 | 270 | |
| 0.8CRNF | 0 | 0 | 436 | 228 | 270 | |
| Wheat | PK | 0 | 0 | 0 | 228 | 150 |
| FP | 174 | 348 | 0 | 225 | 225 | |
| OPT | 261 | 261 | 0 | 228 | 150 | |
| CRNF | 0 | 0 | 545 | 228 | 150 | |
| 0.8CRNF | 0 | 0 | 436 | 228 | 150 | |
| Stage | Treatment | pH | Organic Matter (g kg−1) | Total N (g kg−1) | NH4+-N (mg kg−1) | NO3−-N (mg kg−1) | Available N (mg kg−1) | Available P (mg kg−1) | Available K (mg kg−1) |
|---|---|---|---|---|---|---|---|---|---|
| Tasseling | PK | 8.76 ± 0.01 a | 12.93 ± 0.44 b | 0.74 ± 0.03 b | 1.84 ± 0.61 ab | 16.97 ± 0.88 b | 66.73 ± 2.32 b | 35.04 ± 2.12 a | 209.00 ± 16.82 a |
| FP | 8.82 ± 0.04 a | 15.05 ± 0.64 a | 0.94 ± 0.06 a | 1.04 ± 0.43 b | 24.85 ± 1.35 a | 76.22 ± 3.38 a | 12.00 ± 3.09 c | 107.00 ± 6.00 c | |
| OPT | 8.87 ± 0.03 a | 13.95 ± 1.33 ab | 0.88 ± 0.07 a | 0.94 ± 0.15 b | 25.91 ± 2.92 a | 70.66 ± 3.23 b | 14.66 ± 5.33 b | 120.67 ± 19.66 bc | |
| CRNF | 8.76 ± 0.08 a | 13.46 ± 1.00 ab | 0.90 ± 0.09 a | 2.12 ± 0.50 a | 18.55 ± 1.95 b | 80.62 ± 0.14 a | 16.88 ± 1.74 b | 139.33 ± 23.50 bc | |
| 0.8CRNF | 8.74 ± 0.12 a | 14.97 ± 0.70 a | 0.86 ± 0.02 a | 1.17 ± 0.54 b | 16.80 ± 0.69 b | 75.91 ± 3.96 a | 14.48 ± 2.02 bc | 155.67 ± 29.50 b | |
| Filling | PK | 8.74 ± 0.03 a | 14.19 ± 1.20 b | 0.79 ± 0.02 b | 2.82 ± 0.83 a | 7.12 ± 1.06 c | 55.62 ± 0.62 d | 26.56 ± 2.77 a | 179.00 ± 23.58 a |
| FP | 8.66 ± 0.02 a | 17.18 ± 0.28 a | 1.01 ± 0.01 a | 2.58 ± 0.40 a | 9.08 ± 0.42 ab | 69.36 ± 2.08 c | 19.65 ± 2.16 bc | 115.00 ± 7.00 c | |
| OPT | 8.64 ± 0.06 a | 15.93 ± 1.96 ab | 0.92 ± 0.13 a | 2.43 ± 0.39 a | 8.29 ± 0.47 b | 66.77 ± 0.18 c | 23.14 ± 0.33 ab | 154.00 ± 31.51 ab | |
| CRNF | 8.67 ± 0.06 a | 16.53 ± 0.76 a | 0.91 ± 0.07 a | 2.52 ± 0.38 a | 9.45 ± 0.17 a | 73.08 ± 1.86 a | 14.54 ± 3.60 c | 130.00 ± 7.55 bc | |
| 0.8CRNF | 8.67 ± 0.07 a | 16.20 ± 0.56 ab | 0.90 ± 0.02 a | 2.59 ± 0.43 a | 9.33 ± 0.31 ab | 71.82 ± 2.22 ab | 16.67 ± 1.37 c | 152.67 ± 2.52 ab |
Disclaimer/Publisher’s Note: The statements, opinions and data contained in all publications are solely those of the individual author(s) and contributor(s) and not of MDPI and/or the editor(s). MDPI and/or the editor(s) disclaim responsibility for any injury to people or property resulting from any ideas, methods, instructions or products referred to in the content. |
© 2023 by the authors. Licensee MDPI, Basel, Switzerland. This article is an open access article distributed under the terms and conditions of the Creative Commons Attribution (CC BY) license (https://creativecommons.org/licenses/by/4.0/).
Share and Cite
Ma, L.; Li, Y.; Wei, J.; Li, Z.; Li, H.; Li, Y.; Zheng, F.; Liu, Z.; Tan, D. The Long-Term Application of Controlled-Release Nitrogen Fertilizer Maintains a More Stable Bacterial Community and Nitrogen Cycling Functions Than Common Urea in Fluvo-Aquic Soil. Agronomy 2024, 14, 7. https://doi.org/10.3390/agronomy14010007
Ma L, Li Y, Wei J, Li Z, Li H, Li Y, Zheng F, Liu Z, Tan D. The Long-Term Application of Controlled-Release Nitrogen Fertilizer Maintains a More Stable Bacterial Community and Nitrogen Cycling Functions Than Common Urea in Fluvo-Aquic Soil. Agronomy. 2024; 14(1):7. https://doi.org/10.3390/agronomy14010007
Chicago/Turabian StyleMa, Lei, Yan Li, Jianlin Wei, Zishuang Li, Hongjie Li, Yudong Li, Fuli Zheng, Zhaohui Liu, and Deshui Tan. 2024. "The Long-Term Application of Controlled-Release Nitrogen Fertilizer Maintains a More Stable Bacterial Community and Nitrogen Cycling Functions Than Common Urea in Fluvo-Aquic Soil" Agronomy 14, no. 1: 7. https://doi.org/10.3390/agronomy14010007
APA StyleMa, L., Li, Y., Wei, J., Li, Z., Li, H., Li, Y., Zheng, F., Liu, Z., & Tan, D. (2024). The Long-Term Application of Controlled-Release Nitrogen Fertilizer Maintains a More Stable Bacterial Community and Nitrogen Cycling Functions Than Common Urea in Fluvo-Aquic Soil. Agronomy, 14(1), 7. https://doi.org/10.3390/agronomy14010007

