Quality Production of Sainfoin Swards Challenged by Global Change in Mountain Areas in the Western Mediterranean
Abstract
:1. Introduction
2. Materials and Methods
2.1. Experimental Set-Up to Investigate Sainfoin Yield under Extreme Climate
2.2. Survey to Investigate Sainfoin Quality under Different Management
2.3. Determination of Herbage Quality
2.4. Data Analysis
3. Results
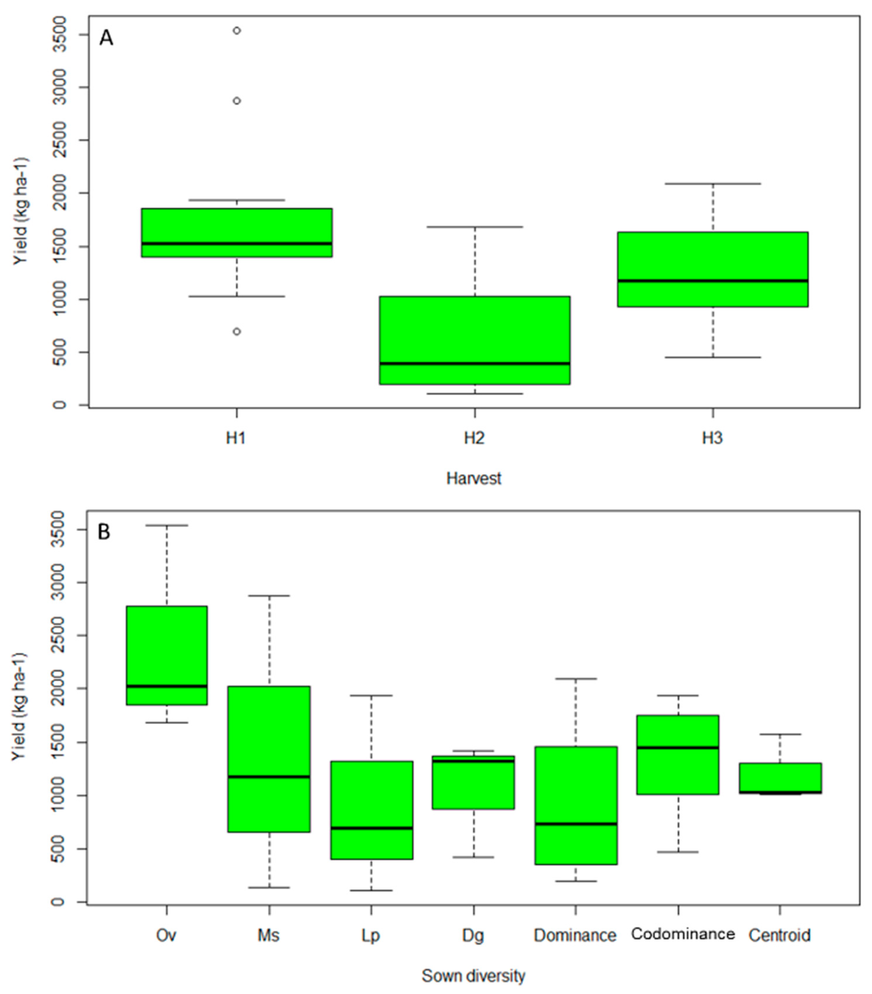
3.1. Sainfoin Yield Response to Extreme Climate
3.2. Sainfoin Quality Response to Management
4. Discussion
5. Conclusions
Author Contributions
Funding
Data Availability Statement
Acknowledgments
Conflicts of Interest
References
- Stinner, D.H. Forage Legumes and Cultural Sustainability: Lessons from History. Agric. Ecosyst. Environ. 1992, 40, 233–248. [Google Scholar] [CrossRef]
- Lüscher, A.; Mueller-Harvey, I.; Soussana, J.F.; Rees, R.M.; Peyraud, J.L. Potential of Legume-Based Grassland–Livestock Systems in Europe: A Review. Grass Forage Sci. 2014, 69, 206–228. [Google Scholar] [CrossRef] [PubMed]
- Rochon, J.J.; Doyle, C.J.; Greef, J.M.; Hopkins, A.; Molle, G.; Sitzia, M.; Scholefield, D.; Smith, C.J. Grazing Legumes in Europe: A Review of Their Status, Management, Benefits, Research Needs and Future Prospects. Grass Forage Sci. 2004, 59, 197–214. [Google Scholar] [CrossRef]
- Aponte, A.; Samarappuli, D.; Berti, M.T. Alfalfa–Grass Mixtures in Comparison to Grass and Alfalfa Monocultures. Agron. J. 2019, 111, 628–638. [Google Scholar] [CrossRef]
- Mariotti, A.; Pan, Y.; Zeng, N.; Alessandri, A. Long-Term Climate Change in the Mediterranean Region in the Midst of Decadal Variability. Clim. Dyn. 2015, 44, 1437–1456. [Google Scholar] [CrossRef]
- Lana, A.; Bell, T.G.; Simó, R.; Vallina, S.M.; Ballabrera-Poy, J.; Kettle, A.J.; Dachs, J.; Bopp, L.; Saltzman, E.S.; Stefels, J.; et al. An Updated Climatology of Surface Dimethlysulfide Concentrations and Emission Fluxes in the Global Ocean. Glob. Biogeochem. Cycles 2011, 25, 6. [Google Scholar] [CrossRef]
- Sebastia, M.-T.; Llurba, R.; Plaixats, J.; Domínguez, G.; Lloveras, J. 16. Agricultura, Ramaderia i Silvicultura. In Segon Informe Sobre el Canvi Climàtic a Catalunya; CADS (Centre for Climate Change): Catalonia, Spain, 2015; pp. 678–760. [Google Scholar]
- Ibañez, M.; Sebastià, M.T. Net Ecosystem CO2 Exchange in Mountain Grasslands Is Seriously Endangered by the Temperature Increase in the Eastern Pyrenees. Atmosphere 2022, 13, 1980. [Google Scholar] [CrossRef]
- Sebastià, M.-T.; Palero, N.; de Bello, F. Changes in Management Modify Agro-Diversity in Sainfoin Swards in the Eastern Pyrenees. Agron. Sustain. Dev. 2011, 31, 533–540. [Google Scholar] [CrossRef]
- Ibañez, M.; Altimir, N.; Ribas, À.; Eugster, W.; Sebastià, M.-T. Cereal-Legume Mixtures Increase Net CO2 Uptake in a Forage Crop System in the Eastern Pyrenees. Field Crops Res. 2021, 272, 108262. [Google Scholar] [CrossRef]
- Probo, M.; Massolo, A.; Lonati, M.; Bailey, D.W.; Gorlier, A.; Maurino, L.; Lombardi, G. Use of Mineral Mix Supplements to Modify the Grazing Patterns by Cattle for the Restoration of Sub-Alpine and Alpine Shrub-Encroached Grasslands. Rangel. J. 2013, 35, 85. [Google Scholar] [CrossRef]
- Porqueddu, C.; Melis, R.a.M.; Franca, A.; Sanna, F.; Hadjigeorgiou, I.; Casasús Pueyo, I. The Role of Grasslands in the Less Favoured Areas of Mediterranean Europe. 2017. Available online: https://citarea.cita-aragon.es/citarea/handle/10532/3679 (accessed on 4 November 2023).
- Molle, G.; Decandia, M.; Sölter, U.; Greef, J.M.; Rochon, J.J.; Sitzia, M.; Hopkins, A.; Rook, A.J. The Effect of Different Legume-Based Swards on Intake and Performance of Grazing Ruminants under Mediterranean and Cool Temperate Conditions. Grass Forage Sci. 2008, 63, 513–530. [Google Scholar] [CrossRef]
- Re, G.A.; Piluzza, G.; Sulas, L.; Franca, A.; Porqueddu, C.; Sanna, F.; Bullitta, S. Condensed Tannin Accumulation and Nitrogen Fixation Potential of Onobrychis viciifolia Scop. Grown in a Mediterranean Environment. J. Sci. Food Agric. 2014, 94, 639–645. [Google Scholar] [CrossRef] [PubMed]
- Mowrey, D.P.; Volesky, J.D. Feasibility of Grazing Sainfoin on the Southern Great Plains. J. Range Manag. 1993, 46, 539–542. [Google Scholar] [CrossRef]
- Khalilvandi, H.; Dehghan, M.; Rezayazdi, K. Palatability, In Situ and In Vitro Nutritive Value of Dried Sainfoin (Onobrychis viciifolia). J. Agric. Sci. 2010, 148, 723–733. [Google Scholar] [CrossRef]
- Franco, J.G.; Berti, M.T.; Grabber, J.H.; Hendrickson, J.R.; Nieman, C.C.; Pinto, P.; Van Tassel, D.; Picasso, V.D. Ecological Intensification of Food Production by Integrating Forages. Agronomy 2021, 11, 2580. [Google Scholar] [CrossRef]
- Karnezos, T.P.; Matches, A.G. Lamb Production on Wheatgrasses and Wheatgrass/Sainfoin Mixtures. Agron. J. 1990, 83, 278–286. [Google Scholar] [CrossRef]
- Delgado, I.; Andres, C.; Sin, E.; Ochoa, M.J. Current State of Sainfoin (Onobrychis viciifolia Scop.) in Spain. Agric. Rev. Agropecu. 2005, 74, 146–149. [Google Scholar]
- Mowrey, D.P.; Matches, A.G.; Preston, R.L. Technical Note: Utilization of Sainfoin by Grazing Steers and a Method for Predicting Daily Gain from Small-Plot Grazing Data. J. Anim. Sci. 1992, 70, 2262–2266. [Google Scholar] [CrossRef]
- Sölter, U.; Hopkins, A.; Sitzia, M.; Goby, J.P.; Greef, J.M. Seasonal Changes in Herbage Mass and Nutritive Value of a Range of Grazed Legume Swards under Mediterranean and Cool Temperate Conditions. Grass Forage Sci. 2007, 62, 372–388. [Google Scholar] [CrossRef]
- Sakiroglu, M. Population Genomics of Perennial Temperate Forage Legumes. In Population Genomics; Springer: Cham, Switzerland, 2021; pp. 1–39. [Google Scholar] [CrossRef]
- Karabulut, E.; Erkoç, K.; Acı, M.; Aydın, M.; Barriball, S.; Braley, J.; Cassetta, E.; Craine, E.B.; Diaz-Garcia, L.; Hershberger, J.; et al. Sainfoin (Onobrychis spp.) Crop Ontology: Supporting Germplasm Characterization and International Research Collaborations. Front. Plant Sci. 2023, 14, 1177406. [Google Scholar] [CrossRef]
- Malisch, C.S.; Suter, D.; Studer, B.; Lüscher, A. Multifunctional Benefits of Sainfoin Mixtures: Effects of Partner Species, Sowing Density and Cutting Regime. Grass Forage Sci. 2017, 72, 794–805. [Google Scholar] [CrossRef]
- Sheppard, S.C.; Cattani, D.J.; Ominski, K.H.; Biligetu, B.; Bittman, S.; McGeough, E.J. Sainfoin Production in Western Canada: A Review of Agronomic Potential and Environmental Benefits. Grass Forage Sci. 2019, 74, 6–18. [Google Scholar] [CrossRef]
- Kirwan, L.; Connolly, J.; Brophy, C.; Baadshaug, O.; Belanger, G.; Black, A.; Carnus, T.; Collins, R.; Čop, J.; Delgado, I.; et al. The Agrodiversity Experiment: Three Years of Data from a Multisite Study in Intensively Managed Grasslands. Ecology 2014, 95, 2680. [Google Scholar] [CrossRef]
- Ribas, À.; Llovet, A.; Llurba, R.; Connolly, J.; Sebastià, M.-T. Sown Diversity Effects on Yield and Resistance to Weed Invasion: Clues to Improve Mixture Design under Climatic Change in the Mediterranean. Agric. Ecosyst. Environ. 2023, 356, 108601. [Google Scholar] [CrossRef]
- Vasileva, V.; Mitova, T.; Athar, M. Enhancement of Biomass Production of Birdsfoot Trefoil, Sainfoin and Subterranean Clover by Mixed Cropping with Perennial Ryegrass. Pak. J. Bot. 2017, 49, 115–118. [Google Scholar]
- Liu, Z.; Baines, R.N.; Lane, G.P.F.; Davies, W.P. Survival of Plants of Common Sainfoin (Onobrychis viciifolia Scop.) in Competition with Two Companion Grass Species. Grass Forage Sci. 2010, 65, 11–14. [Google Scholar] [CrossRef]
- Kirwan, L.; Lüscher, A.; Sebastià, M.T.; Finn, J.A.; Collins, R.P.; Porqueddu, C.; Helgadottir, A.; Baadshaug, O.H.; Brophy, C.; Coran, C.; et al. Evenness Drives Consistent Diversity Effects in Intensive Grassland Systems across 28 European Sites. J. Ecol. 2007, 95, 530–539. [Google Scholar] [CrossRef]
- Connolly, J.; Sebastià, M.-T.; Kirwan, L.; Finn, J.A.; Llurba, R.; Suter, M.; Collins, R.P.; Porqueddu, C.; Helgadóttir, Á.; Baadshaug, O.H.; et al. Weed Suppression Greatly Increased by Plant Diversity in Intensively Managed Grasslands: A Continental-Scale Experiment. J. Appl. Ecol. 2018, 55, 852–862. [Google Scholar] [CrossRef]
- Jenkins, P.D. Agricultural Plants. Second Edition. By R. H. M. Langer and G. D. Hill. Cambridge: Cambridge University Press (1991), Pp. 387, Paperback £17.95, US$29.95. ISBN 0-521-40563-7. Exp. Agric. 1992, 28, 387. [Google Scholar] [CrossRef]
- Theodoridou, K.; Aufrère, J.; Andueza, D.; Le Morvan, A.; Picard, F.; Stringano, E.; Pourrat, J.; Mueller-Harvey, I.; Baumont, R. Effect of Plant Development during First and Second Growth Cycle on Chemical Composition, Condensed Tannins and Nutritive Value of Three Sainfoin (Onobrychis viciifolia) Varieties and Lucerne. Grass Forage Sci. 2011, 66, 402–414. [Google Scholar] [CrossRef]
- MacAdam, J.; Villalba, J. Beneficial Effects of Temperate Forage Legumes That Contain Condensed Tannins. Agriculture 2015, 5, 475–491. [Google Scholar] [CrossRef]
- Bouchard, K.; Wittenberg, K.M.; Legesse, G.; Krause, D.O.; Khafipour, E.; Buckley, K.E.; Ominski, K.H. Comparison of Feed Intake, Body Weight Gain, Enteric Methane Emission and Relative Abundance of Rumen Microbes in Steers Fed Sainfoin and Lucerne Silages under Western Canadian Conditions. Grass Forage Sci. 2015, 70, 116–129. [Google Scholar] [CrossRef]
- Hycka Maruniak, M. La Esparcet. 1968. Available online: https://digital.csic.es/handle/10261/124784 (accessed on 4 November 2023).
- Michelena Bárcena, A. Variabilidad En Las Poblaciones de Onobrychis Sativa, Escuela Técnica Superior de Ingenieros Agrónomos, Lérida. 1983. Available online: http://hdl.handle.net/10261/122462 (accessed on 4 November 2023).
- Chassagne, J.; Chambon, J. Le sainfoin : Une légumineuse pour les sols de Causses. Application à la région agricole de Gramat et de Limogne. Assoc. Francoph. Pour Prairies Fourrag. 1993, 134, 177–181. [Google Scholar]
- Butinya, L.; Velazco, J. Determinants of on-farm diversification: The case of farmers in Catalonia. Rev. Esp. Estud. Agrosociales Pesq. 2014, 238, 37–64. [Google Scholar] [CrossRef]
- Kirwan, L.; Connolly, J.; Finn, J.A.; Brophy, C.; Lüscher, A.; Nyfeler, D.; Sebastià, M.-T. Diversity–Interaction Modeling: Estimating Contributions of Species Identities and Interactions to Ecosystem Function. Ecology 2009, 90, 2032–2038. [Google Scholar] [CrossRef] [PubMed]
- Sebastià, M.-T.; de Bello, F.; Puig, L.; Taull, M. Grazing as a Factor Structuring Grasslands in the Pyrenees. Appl. Veg. Sci. 2008, 11, 215–222. [Google Scholar] [CrossRef]
- Cunniff, P. Official Methods of Analysis of AOAC International, 16th ed.; Association of Official Analytical Chemists: Washington, DC, USA, 1995; ISBN 978-0-935584-54-7. [Google Scholar]
- Goering, H.K.; Van Soest, P.J. Forage Fiber Analyses (Apparatus, Reagents, Procedures, and Some Applications)-Baylor University Libraries; Agriculture Handbook (United States Department of Agriculture) No. 379; Agricultural Research Service, U.S. Department of Agriculture: Washington, DC, USA, 1970.
- Demarquilly, C.; Andrieu, J.; Wegat-Litre, E. Prévision de la Valeur Nutritive des Aliments des Ruminants; INRA: Versailles, France, 1981; ISBN 978-2-85340-375-7. [Google Scholar]
- Moral, R.A.; Vishwakarma, R.; Connolly, J.; Byrne, L.; Hurley, C.; Finn, J.A.; Brophy, C. Going beyond Richness: Modelling the BEF Relationship Using Species Identity, Evenness, Richness and Species Interactions via the DImodels R Package. Methods Ecol. Evol. 2023, 14, 2250–2258. [Google Scholar] [CrossRef]
- Pickett, S.T.A. Space-for-Time Substitution as an Alternative to Long-Term Studies. In Long-Term Studies in Ecology: Approaches and Alternatives; Likens, G.E., Ed.; Springer: New York, NY, USA, 1989; pp. 110–135. ISBN 978-1-4615-7358-6. [Google Scholar]
- Braak, C.; Šmilauer, P. CANOCO Reference Manual and User’s Guide: Software for Ordination (Version 5.0); Microcomputer Power: Ithaca, NY, USA, 2012. [Google Scholar]
- R Development Core Team. R: A Language and Computing, Statistical Computing. 2008. Available online: https://www.r-project.org/ (accessed on 4 November 2023).
- Gardhouse, K.A. Effect of Sainfoin (Onobrychis viciifolia Scop.) Variety and Harvest Maturity on Quality, Yield, and Condensed Tannin Content. Master’s Thesis, Montana State University-Bozeman, College of Agriculture, Bozeman, MT, USA, 2020. [Google Scholar]
- Ignatiev, A.; Regidin, A.A. The Estimation of Productivity and Quality of Sainfoin Forage. Grain Econ. Russ. 2020, 3, 12–15. [Google Scholar] [CrossRef]
- Biligetu, B.; Jefferson, P.G.; Lardner, H.A.; Acharya, S.N. Evaluation of Sainfoin (Onobrychis viciifolia) for Forage Yield and Persistence in Sainfoin–Alfalfa (Medicago sativa) Mixtures and under Different Harvest Frequencies. Can. J. Plant Sci. 2021, 101, 525–535. [Google Scholar] [CrossRef]
- Niderkorn, V.; Pellikaan, W.F.; Dohme-Meier, F.; Bee, G. Why Feed Sainfoin to Ruminants? A Forage of a Good Feeding Value; Cots wold Grass Seeds: London, UK, 2016; ISBN 978-0-9934533-0-4. [Google Scholar]
- Griggs, T.C.; Matches, A.G. Productivity and Consumption of Wheatgrasses and Wheatgrass-Sainfoin Mixtures Grazed by Sheep. Crop Sci. 1991, 31, 1267–1273. [Google Scholar] [CrossRef]
- Maughan, B.; Provenza, F.; Tansawat, R.; Maughan, C.; Martini, S.; Ward, R.; Clemensen, A.; Song, X.; Cornforth, D.; Villalba, J. Importance of Grass-Legume Choices on Cattle Grazing Behavior, Performance, and Meat Characteristics. J. Anim. Sci. 2014, 92, 2309–2324. [Google Scholar] [CrossRef] [PubMed]
- Mikhailova, E.A.; Bryant, R.B.; Cherney, D.J.R.; Post, C.J.; Vassenev, I.I. Botanical Composition, Soil and Forage Quality under Different Management Regimes in Russian Grasslands. Agric. Ecosyst. Environ. 2000, 80, 213–226. [Google Scholar] [CrossRef]
- Matthew, C.; Techio Pereira, L.E. Forage Plant Ecophysiology: A Discipline Come of Age. Agriculture 2017, 7, 63. [Google Scholar] [CrossRef]
- Finn, J.A.; Kirwan, L.; Connolly, J.; Sebastià, M.T.; Helgadottir, A.; Baadshaug, O.H.; Bélanger, G.; Black, A.; Brophy, C.; Collins, R.P.; et al. Ecosystem Function Enhanced by Combining Four Functional Types of Plant Species in Intensively Managed Grassland Mixtures: A 3-Year Continental-Scale Field Experiment. J. Appl. Ecol. 2013, 50, 365–375. [Google Scholar] [CrossRef]
- Küchenmeister, K.; Küchenmeister, F.; Kayser, M.; Wrage-Mönnig, N.; Isselstein, J. Influence of Drought Stress on Nutritive Value of Perennial Forage Legumes. Int. J. Plant Prod. 2013, 7, 693–710. [Google Scholar]
- Poudel, H.P.; Acharya, S.N. Compatibility of New Sainfoin Populations as Forage Mixtures with Alfalfa and Orchardgrass in Alberta. Can. J. Plant Sci. 2022, 102, 1185–1195. [Google Scholar] [CrossRef]
- Kölliker, R.; Kempf, K.; Malisch, C.S.; Lüscher, A. Promising Options for Improving Performance and Proanthocyanidins of the Forage Legume Sainfoin (Onobrychis viciifolia Scop.). Euphytica 2017, 213, 179. [Google Scholar] [CrossRef]
- Delgado Enguita, I.; Salvia, J.; Buil, I.; Andrés, C. The Agronomic Variability of a Collection of Sainfoin Accessions. Span. J. Agric. Res. 2008, 6, 401–407. [Google Scholar] [CrossRef]




| Species | Main Effects (β) |
|---|---|
| Lolium perenne | 733.3 * |
| Dactylis glomerata | 871.3 * |
| Medicago sativa | 1348.1 *** |
| Onobrychis viciifolia | 1915.7 *** |
| MM | CP | NDF | ADF | ADL | FUmilk | DOM | |
|---|---|---|---|---|---|---|---|
| Mixture vs. monoculture | - | 0.0005 | 0.0002 | 0.0172 | 0.0237 | - | - |
| Variety | - | - | - | - | 0.0018 | - | - |
| Sowing period | - | - | - | - | <0.0001 | - | - |
| Regime | 0.1724 | <0.0001 | 0.0363 | - | 0.0109 | 0.0572 | 0.0389 |
| Sward age | 0.9767 | 0.1714 | 0.0165 | - | 0.2499 | 0.7873 | 0.8392 |
| Sward age | 0.0003 | <0.0001 | - | - | 0.0225 | 0.0087 | 0.0014 |
| x regime | |||||||
| p-value | <0.0001 | <0.0001 | 0.0001 | 0.0172 | 0.0002 | 0.0148 | 0.0011 |
| R2adj | 0.50 | 0.59 | 0.39 | 0.12 | 0.45 | 0.19 | 0.31 |
Disclaimer/Publisher’s Note: The statements, opinions and data contained in all publications are solely those of the individual author(s) and contributor(s) and not of MDPI and/or the editor(s). MDPI and/or the editor(s) disclaim responsibility for any injury to people or property resulting from any ideas, methods, instructions or products referred to in the content. |
© 2023 by the authors. Licensee MDPI, Basel, Switzerland. This article is an open access article distributed under the terms and conditions of the Creative Commons Attribution (CC BY) license (https://creativecommons.org/licenses/by/4.0/).
Share and Cite
Sebastià, M.-T.; Banagar, F.; Palero, N.; Ibáñez, M.; Plaixats, J. Quality Production of Sainfoin Swards Challenged by Global Change in Mountain Areas in the Western Mediterranean. Agronomy 2024, 14, 6. https://doi.org/10.3390/agronomy14010006
Sebastià M-T, Banagar F, Palero N, Ibáñez M, Plaixats J. Quality Production of Sainfoin Swards Challenged by Global Change in Mountain Areas in the Western Mediterranean. Agronomy. 2024; 14(1):6. https://doi.org/10.3390/agronomy14010006
Chicago/Turabian StyleSebastià, M.-Teresa, Fatemeh Banagar, Noemí Palero, Mercedes Ibáñez, and Josefina Plaixats. 2024. "Quality Production of Sainfoin Swards Challenged by Global Change in Mountain Areas in the Western Mediterranean" Agronomy 14, no. 1: 6. https://doi.org/10.3390/agronomy14010006
APA StyleSebastià, M.-T., Banagar, F., Palero, N., Ibáñez, M., & Plaixats, J. (2024). Quality Production of Sainfoin Swards Challenged by Global Change in Mountain Areas in the Western Mediterranean. Agronomy, 14(1), 6. https://doi.org/10.3390/agronomy14010006

