Abstract
Soil contamination by cadmium (Cd) has presented a major challenge in China. The objective of the field experiments in this study was to examine the influence of nitrogen fertilizer application at the full heading and milky stages on minimizing the absorption of Cd in rice. This was achieved by affecting the distribution of Cd in root plaques and subcellular compartments of the root and flag leaf. The hydroponic culture experiments aimed to examine the effect of nitrogen and Cd interaction or deficiency on Cd accumulation in rice during the late growth stage. The findings revealed that adequate nitrogen supply during the early growth stage, coupled with nitrogen application during the full heading and milky stages, led to a notable increase in Fe concentration in the root plaques during the milk and mature stages. Furthermore, it elevated the Cd proportion in the soluble fraction of the flag leaves at the milky stage. Conversely, nitrogen deficiency during the early growth stage resulted in a significant increase in Fe concentration in the root plaques, along with a decrease in Cd concentration. Additionally, the proportion of Cd in the flag leaf cell walls increased significantly, while the proportion in the soluble fraction decreased notably. Irrespective of nitrogen supply during the early growth stage, applying nitrogen at the full heading stage significantly reduced Cd transport from shoots to brown rice, leading to a considerable reduction in the Cd concentration in brown rice. Under hydroponic culture conditions, combined Cd exposure with nitrogen supply significantly increased the Cd concentration in brown rice. Nitrogen supply had no impact on the Cd concentration in brown rice in the absence of Cd. The study showed that applying nitrogen fertilizer at the full heading stage effectively decreased the brown rice Cd concentration. This was achieved by elevating the concentration of Fe in the root plaque, thereby influencing the adsorption of Cd by the roots. Additionally, nitrogen application at the full heading stage can influence the distribution of Cd in flag leaf cells during the filling stage. Ensuring ample nitrogen supply in the early stage of rice growth is crucial, and nitrogen application at the full heading stage can effectively reduce the Cd concentration in brown rice.
1. Introduction
Rice (Oryza sativa L.) is the primary cereal crop in Asia and Southeast Asia, serving as the staple food for half of the world’s population [1,2,3,4]. It is worth mentioning that rice is more susceptible to Cd absorption than other crops; this leads to an increased dietary intake of Cd for populations with a diet primarily based on rice, as a result of the food chain [5]. The problem of Cd-contaminated soils in China is especially severe in the acidic paddy fields of Southern China. Soil acidification exacerbates the mobility and availability of Cd in the soil, leading to a more significant rice Cd pollution compared to other regions in China [6]. Long-term rice consumption with excess Cd harms human health; thus, it is imperative to develop viable strategies to urgently reduce the risk of Cd in rice. Several strategies have been utilized, involving soil remediation, water management, nutrient management, and utilizing and cultivating plant varieties with low Cd accumulation to reduce the uptake of Cd in rice cultivation [7,8,9]. Fertilizers are crucial for stimulating regular development in rice farming, and the use of fertilizers has also been investigated as a method to reduce plants’ metal intake [10,11,12]. Nitrogen management is typically seen as the most affordable, convenient, and effective process for minimizing Cd deposition in crops [13].
Nitrogen fertilizer is the most widely used fertilizer in agricultural production, and nitrogen plays a crucial role in the growth and development of plants. As a result, sufficient nitrogen fertilizers have been utilized globally to guarantee crop yields [14]. However, nitrogen has been proven to be the most effective element involved in regulating the absorption and transport of Cd. After nitrogen application, the soil electrical conductivity increases, and the soil components of Cd are replaced by cations such as Fe2+, Ca2+, Zn2+, and so on, thus increasing the soluble Cd2+ in the soil [13,15]. Jalloh [16] found that there is a synergistic interaction between NO3− and Cd, whereas there is an antagonistic interaction between NH4+ and Cd. Hassan [17] further confirmed that rice grains treated with NO3− had a 35.7% higher Cd content compared to rice grains treated with NH4+. Wu’s [18] studies have indicated that elevated levels of ammonium nutrition lead to the suppression of Cd uptake, xylem transport, and subsequent accumulation in rice, while not affecting the transport of Cd from roots to shoots. Multiple research efforts have explored the impact of urea on Cd accumulation in rice. Certain findings have demonstrated that the application of urea notably reduces the accumulation of Cd in rice grains [19]. Deng [20] reported that the use of urea instead of compound fertilizer has clearly resulted in a decrease in brown rice Cd concentration, and applying Mn fertilizer as a topdressing has further reduced rice grain Cd accumulation. Previous research has demonstrated that the uptake and buildup of Cd in rice is strongly linked to nitrogen fertilizer dosage. The upsurge in NH4+ ratios, as opposed to NO3−, exhibits a stronger capacity to suppress the gene expression associated with Cd transportation by the roots [18]. Another study also discovered that high levels of NO3− increased the absorption of C by up-regulating the gene expression of OsIRT1 and OsNramp1 in rice under Cd stress. N regulates the absorption and transportation of Cd by controlling the non-specific gene expression of Cd and divalent cation transporters in plants. In addition, the use of nitrogen fertilizers improves the antioxidant enzyme systems in rice and raises the levels of pectin and hemicellulose in the cell walls. This process restricts the movement of Cd and assists in controlling the levels of brown rice [21].
Iron (Fe) plaques is abundant on the surface of rice roots has been confirmed in previous research reports [22]. These Fe plaques utilize functional groups to adsorb or co-precipitate heavy metals, and play a crucial role in the transportation of heavy metals from soil to plant roots [22]. Studies have revealed a substantial positive correlation between the concentration of Fe and Cd in root plaque and various rice tissues [8,9]. Additionally, it has been discovered that Fe in root plaque enhances the adsorption of arsenic (As) by root plaques and hinders the transportation of As to the shoot; a significant negative correlation has also been observed among the concentration of Fe, As in root plaque, and that of As in brown rice [23]. The formation of Fe plaque is influenced by the abundance of nutrient elements, including phosphorus [9,11], Fe [24], silicon [23], and other types of fertilizers [10]. However, the effects of nitrogen fertilizer on the development of iron films and the adsorption of Cd remain poorly understood. Thus, it is essential to investigate the influence of nitrogen fertilizer on the formation of Fe plaques on rice root surfaces and its adsorption properties.
N regulates the isolation and chelating ability of cell walls physiologically, thus regulating the adaptation of plants to Cd [13]. The initial interaction and retention of Cd by plant roots is primarily facilitated by the isolation of cell walls. Rice cell wall adsorption and vacuole interception has significant effects on grain Cd content. Due to the partition of the cell walls and vacuole, the retention of Cd in plant roots potentially restricts the movement of Cd through the xylem to the shoots. The partition of the plant cell walls and vacuole could reduce the quantity of Cd entering organelles and reduce the damage of Cd to organelles and membrane structure, thus alleviating the toxicity of Cd to normal cell metabolism [25]. According to a recent study, low Cd conditions facilitate the transfer of Cd from root cell walls to cells, accompanied by an increase in the pectin and protein binding forms of intracellular Cd, due to the supply of NH4+. However, at higher Cd levels, NH4+ promotes Cd deposition in root cell walls and accumulation in the root [26].
The late growth stage of rice represents a critical period for Cd accumulation in grains, as the Cd absorbed by roots can rapidly be transferred to the grains. Moreover, Cd accumulated in the vegetative organs during the early growth stage is also transported to the grains following grain filling, concurrent with the movement of photosynthetic matter. It was found that taking appropriate measures during the critical period of Cd accumulation in rice grains could effectively reduce the rice grains’ Cd accumulation [27,28,29]. Keeping a certain nitrogen level in the later growth stage of rice can maintain a high level of photosynthetic capacity of leaves, prolong grain filling time, delay leaf senescence, and inhibit the redistribution of elements in old leaves [30]. However, the effect of nitrogen application during the late growth stage on Cd accumulation in rice grains is still not clear. This research employs urea as a nitrogen supply to investigate the impacts of nitrogen application at the full heading and milky stages on iron and Cd concentrations in root plaques, subcellular Cd distribution in roots and flag leaves, and Cd accumulation in rice grains. In addition, the study examines the interactions or deficiencies of nitrogen and Cd on rice grain Cd accumulation post-full heading, as well as the correlation between mineral element accumulation in plants and Cd accumulation in grains under hydroponic culture. Additionally, the underlying mechanisms were elucidated by investigating the impact of nitrogen fertilizer application on Cd accumulation during the latter growth stage of rice.
2. Materials and Methods
2.1. Field Experimental Site and Soils
The research was conducted in the paddy field of Liuyang Village (28°18′ N, 113°49′ E), Hunan Province, China, which falls under a subtropical monsoon humid climate zone. The area experiences an average annual precipitation of 1400 mm and a mean temperature range of 16.8–17.2 °C. The dominant soil type in this region is loam soil. The study performed field experiments in the same area in both 2018 and 2019. The basic physicochemical properties of the paddy soils were analyzed in 2018, yielding the following results: organic matter (OM) 33.17 g kg−1; pH (H2O) 5.22; cation exchange capacity (CEC) 11.98 cmol kg−1; total N 1.91 g kg−1; total P 0.64 g kg−1; total K 7.26 g kg−1; total Cd 0.72 mg kg−1; CaCl2-extracted Cd 0.34 mg kg−1.
2.2. Fertilizers and Rice Materials
The main fertilizers used in this experiment were urea (total nitrogen content ≥ 46%), calcium superphosphate (P2O5 content ≥ 12%), and potassium chloride (KCl content ≥ 60%), obtained from a local agricultural retailer in Liuyang, China. The experiment involved the utilization of Yuzhenxiang, a conventional rice variety extensively cultivated in Hunan Province, China.
2.3. Experimental Design
2.3.1. Experiment 1
The study involved applying various treatments with three replications to the field in 2018 and 2019. Nitrogen fertilization details can be found in Table 1. Base fertilizers were applied to the plough horizon of the soil (0–20 cm) about two days before transplanting rice. As per local fertilizer practices, each plot received 750 kg ha−1 calcium superphosphate and 120 kg ha−1 potassium chloride as a base fertilizer, with an additional 120 kg ha−1 potassium chloride as a panicle fertilizer. Each experimental plot measured 42 m2 with 50 cm paths between them, and individual irrigation was implemented to prevent cross-contamination. Healthy and uniformly grown seedlings were transplanted to the plots on 18 July 2018 and 20 July 2019, 25 days after germination in a 20 cm by 20 cm configuration. Harvesting took place on 30 October 2018 and 30 October 2019, respectively. The plots were flooded from the full heading stage until seven days before maturity, with all crop management procedures addressing pest and disease infestations in real time.
Table 1.
Schedule of nitrogen fertilization for each treatment.
2.3.2. Experiment 2
Seedlings at the age of 25 days were moved to a field contaminated with Cd on 23 July 2021. When the rice plants reached the full heading stage on 23 September 2021, healthy and growing ones were carefully selected and taken back to Hunan Agricultural University’s rice research institute. The soil around the rice roots was meticulously cleaned and then soaked in deionized water for 12 h. Following this, the plants were divided into four groups and transplanted into individual tall pots (28.1 cm high, 22 cm wide) with a five-liter hydroponic solution. The initial composition of chemicals for preparing nutrient solutions was based on the Formula of Rice Nutrition Solution provided by the International Rice Research Institute. Two distinct groups of rice plants were placed in nutrient solutions, with one group receiving nitrogen (+N) and the other group receiving no nitrogen (–N). The plants were then further divided into two subgroups based on their nitrogen treatment and subjected to a 30-day growth period in corresponding nutrient solutions containing 50 × 10−2 mM Cd L−1 (CdCl2·5H2O) and devoid of Cd, respectively, for each group. There were four treatments: (+N&+Cd, treatment A), (–N&+Cd, treatment B), (+N&–Cd, treatment C), and (–N&–Cd, treatment D), and all experimental conditions were duplicated in six separate containers, resulting in a total of 24 experimental units, with a single plant allocated to each container. At maturity, two plants from each treatment were used as one sample, resulting in a total of 12 plant samples collected for laboratory examination. The nutrient solution was completely renewed once every five days, and deionized water was added every two days to the five-liter solution to compensate for the loss of rice transpiration. The pH value of the solution was adjusted to 5.5 by incorporating 0.1 M HCl or NaOH into the medium. The entire experimental period took place in the same rain-proof steel greenhouse, with the growing environmental conditions of all treatments standardized.
2.4. Rice and Soil Sampling
In Experiment 1, rice plants were collected at both the milky stage and mature stage. The plant samples underwent rinsing with deionized water, followed by separation into roots, shoots, panicles (milky stage), and brown rice. For further analysis, fresh roots and flag leaves were chosen at the milky stage in 2019. These specimens were gathered and stored in a −80 °C freezer upon return to the laboratory. Soil samples were collected using the “five-points” sampling method at 0, 3, 7, 10, and 15 days following nitrogen fertilizer application, as well as at maturity in 2019. All soil samples underwent air drying, grinding, and passage through 2.00 mm and 0.15 mm nylon sieves. The rice yield of each plot was determined after threshing and sun drying the seed.
In Experiment 2, hydroponic samples of rice plants were collected at their mature stage, subsequent to which the plants were systematically dissected into sixteen distinct portions from the top to the bottom: brown rice (BR), husks (H), rachises (R), flag leaf (FL), internode 1 (INI), sheath 1 (SI), node 1 (NI), leaf 2 (LII), internode 2 (INII), sheath 2 (SII), node 2 (NII), leaf 3 (LIII), internode 3 (INIII), sheath 3 (SIII), node 3 (NIII), and old tissues (OT). This comprehensive array of plant components was subsequently employed in the hydroponic experiment, ensuring a thorough examination of the plant’s various aspects.
The samples were subjected to drying at 105 °C for a duration of 30 min, followed by a subsequent conditioning at 70 °C to achieve a constant weight. Thereafter, the dried matter was weighed and processed through a 0.15 mm sieve for subsequent chemical analysis.
2.5. Chemical Analysis of Samples
The Fe and Cd concentrations in the root plaques were measured using the DCB method as detailed by Zhou [31]. The plant tissues were digested in a solution of HNO3 and HClO4. The pH of the soil was assessed using a soil-to-water ratio of 1:2.5, and the soil’s available Cd concentrations were extracted using a 0.01 M CaCl2 solution at pH 7.3 [32]. The extracted samples were analyzed via ICP-MS within a two-day timeframe. The Cd concentration in all samples was determined using ICP-MS (Agilent, Santa Clara, CA, USA). Certified reference materials and sample blanks were used to ensure accuracy.
The subcellular distribution of Cd in roots and flag leaves was studied using a differential centrifugation technique. This involved the use of a chilled extraction buffer (1 mM DTT, 250 mM sucrose, and 50 mM Tris-HCl, pH 7.5) to homogenize frozen root and flag leaf samples. The homogenized sample was then centrifuged at 3000 rpm for 15 min, resulting in a precipitate primarily composed of cell wall components and debris. The precipitate was filtered through an 80 μm nylon fabric and then further centrifuged at 12,000 rpm for 30 min at 4 °C. The resulting supernatant and residue were designated as the soluble fraction and cell organelle fraction, respectively.
2.6. Data and Statistical Analyses
The translocation factor (TF) is employed to assess the transport capacity of each plant tissue, with the calculation conducted through the following equations:
TFR-S = Cd concentrations of roots/Cd concentrations of shoots.
TFS-BR = Cd concentrations of shoots/Cd concentrations of brown rice.
All results were subjected to one-way ANOVA followed by Duncan’s New Multiple Range Test to identify significant differences between treatments (p < 0.05). Correlation analysis was carried out using Pearson’s correlation test, with a significance level of p < 0.05 (two tailed). All statistical computations were performed utilizing SPSS 24.0 (International Business Machines Corporation, Nes York, NY, USA), while all graphs were generated utilizing Origin 2021 software (Origin Lab Corporation, Northampton, MA, USA).
3. Results
3.1. Rice Yields
T1 and T2 treatments led to a reduction in the yield from 6.82% to 11.93% compared to T0 in 2018. The T2 treatment produced the lowest grain, and a significant difference was observed with T0 (Figure 1). Compared with the F0, the rice yields were boosted after a topdressing of urea at the full heading and the milky stage, increasing 26.26% and 19.20%, respectively, as shown in Figure 1 in 2019.
Figure 1.
Effect of nitrogen application period on rice yield. In the figure, 2018, 2019 represent 2018 and 2019, respectively. Values are means ± standard deviation (SD). Different letters indicate significant differences between treatments (p > 0.05).
3.2. Cd Concentrations in Rice Different Parts
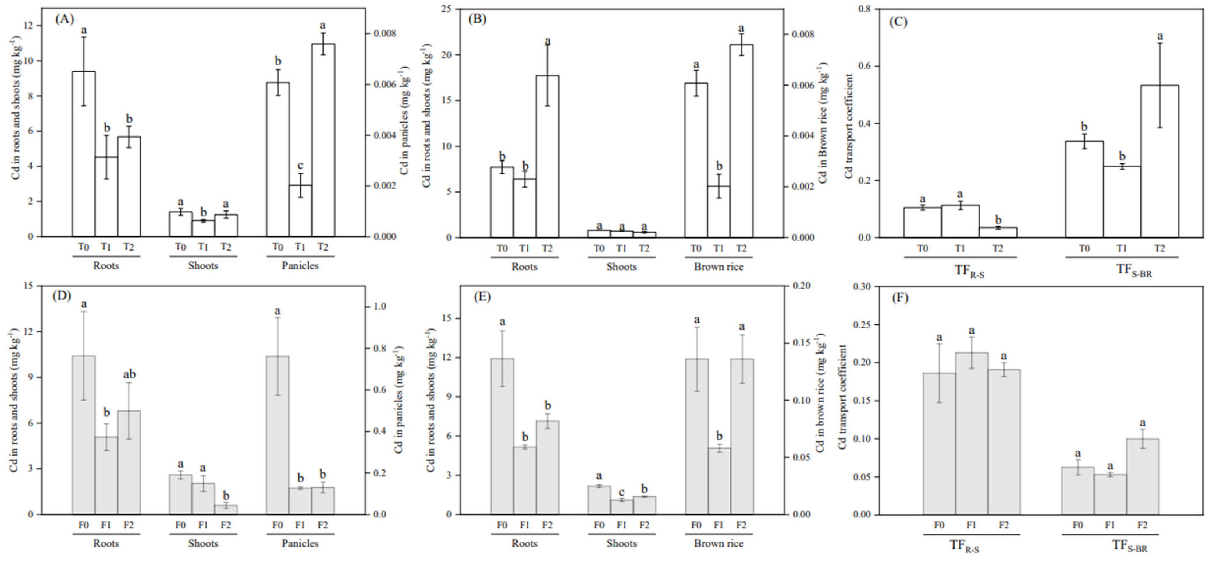
The levels of Cd in the roots and panicles during the milky stage were significantly affected by the application of nitrogen fertilizer at the full heading or milky stage in 2018 (Figure 2A). The T1 and T2 treatments resulted in a significant reduction in Cd concentrations in roots by 39.65–51.95% compared to T0, with the T1 treatment causing a 66.68% decrease in Cd concentrations in panicles, and the T2 treatment resulting in a 25.06% increase in Cd concentrations in panicles. At the mature stage, the T1 treatment led to a notable 35.11% decline in Cd concentrations in brown rice, while the T2 treatment induced a substantial 129.69% increase in Cd concentrations in roots compared to T0 (Figure 2B). Furthermore, compared to T0, the T2 treatment notably decreased the TFR-S by 67.33%, while the T1 treatment significantly increased the TFS-BR by 57.88% (Figure 2C).
Figure 2.
Effects of nitrogen application period on Cd concentration in different parts of rice at the milky stage and mature stage, and Cd transport factors at maturity in 2018 and 2019. Values are means ± standard deviation (SD). Different letters indicate significant differences between treatments (p > 0.05). (A) Cd concentration in different parts of rice at the milky stage in 2018; (B) Cd concentration in different parts of rice at the mature stage in 2018; (C) Cd transport coefficient at the mature stage in 2018; (D) Cd concentration in different parts of rice at the milky stage in 2019; (E) Cd concentration in different parts of rice at the mature stage in 2019; (F) Cd transport coefficient at the mature stage in 2019.
The F1 treatment resulted in a significant 51.27% decrease in Cd concentrations in root tissues compared to the F0 treatment. Similarly, the F2 treatment led to a 77.54% reduction in Cd concentrations in shoots. Furthermore, both the F1 and F2 treatments significantly lowered the Cd concentrations in panicles by 82.94–83.31% (Figure 2D). At the mature stage, both the F1 and F2 treatments caused a significant decrease in Cd concentrations in roots and shoots by 40.10–56.69% and 37.21–49.16%, respectively. Moreover, there was a notable 57.25% reduction in the Cd concentration of brown rice under the F1 treatment (Figure 2E). It is important to note that neither the F1 treatment nor the F2 treatment had a significant effect on TFR-S and TFS-BR (Figure 2F).
3.3. Soil pH Values and CaCl2-Cd Concentrations in Soil
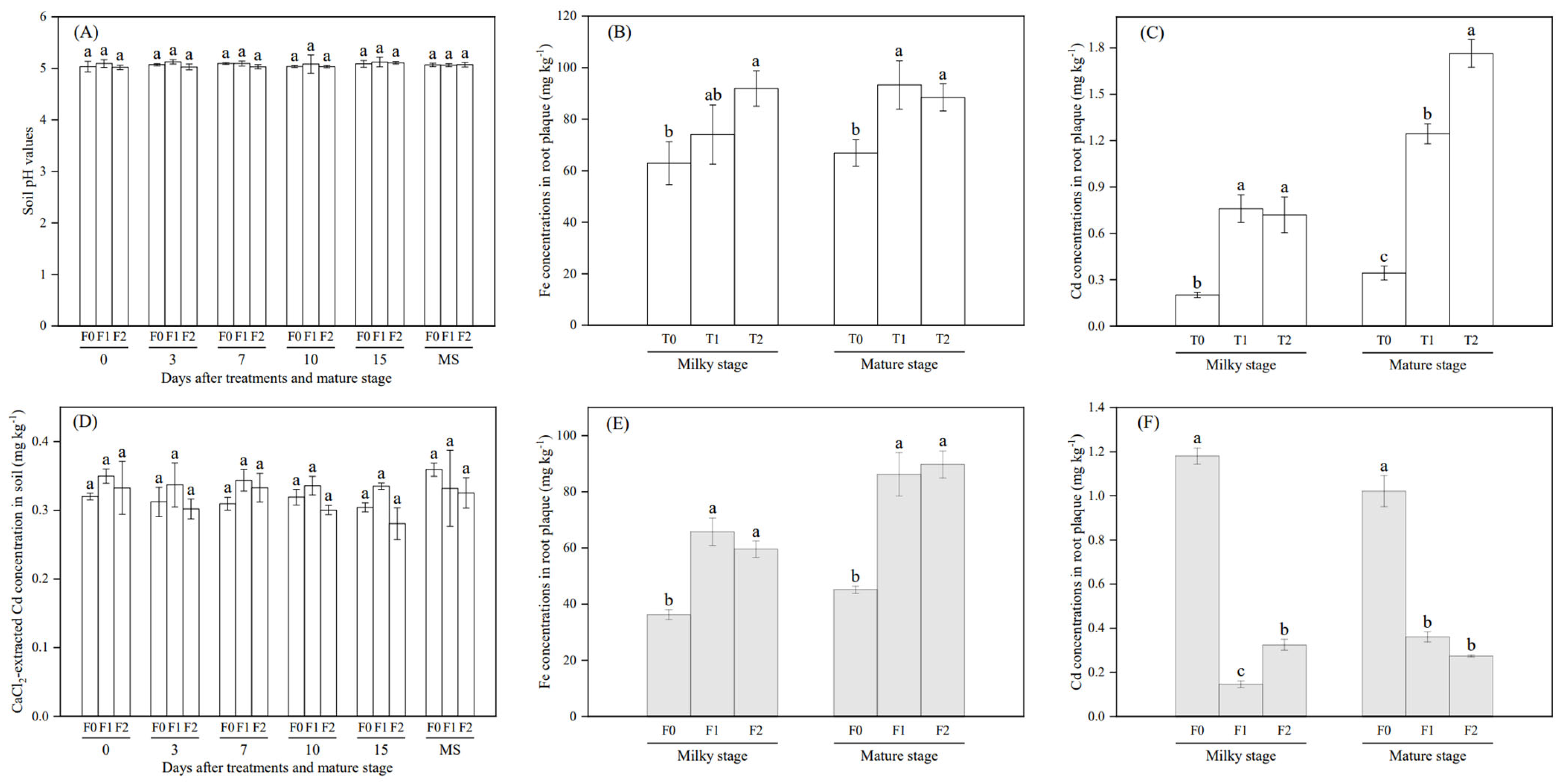
As illustrated in Figure 3A,D, the pH values of soil and CaCl2-extracted Cd concentrations in the soil at various time points after treatment and at the mature stage were not significantly impacted by the F1 and F2 treatments.
Figure 3.
Effects of nitrogen application period on soil pH, CaCl2-extracted Cd, and Fe, Cd concentrations in root plaque. Values are means ± standard deviation (SD). Different letters indicate significant differences between treatments (p > 0.05). (A) soil pH values in 2019; (B) Fe concentrations in root plaque in 2018; (C) Cd concentrations in roots plaque in 2018; (D) CaCl2-extractable Cd concentrations in soil in 2019; (E) Fe concentrations in root plaque in 2019; (F) Cd concentrations in roots plaque in 2019. In the figure, 0, 3, 7, 10, 15, and MS represent the days after treatment and mature stage in 2019, respectively.
3.4. Concentrations of Fe and Cd in Roots Plaque
The concentrations of iron (Fe) in the root plaque showed a significant increase at both the milky and mature stages under all nitrogen treatments compared to T0 and F0, except for the Fe concentrations in the root plaque of the T1 treatment at the milky stage (Figure 3B,E). The Fe concentrations in the root plaque were higher at the mature stage than at the milky stage, indicating a cumulative buildup of Fe in the root plaque as the growth stage progressed. Additionally, the application of nitrogen fertilizer during the late growth stage of rice enhanced the accumulation of Fe in the root plaque. In 2018, the concentrations of Cd in the root plaque at the milky and mature stages exhibited a significant increase under all nitrogen treatments, whereas in 2019, a contrasting trend was observed (Figure 3C,F). This difference may be attributed to the lack of nitrogen supply during the early growth stage, while showing sensitivity to nitrogen during the late growth stage. During this period, the nitrogen supply heightened the physiological activities of the roots, stimulated the release of small molecular substances like organic acids, and facilitated the desorption of Cd that was adsorbed in the root plaque. Additionally, a significant negative and positive correlation was observed between the Fe and Cd concentrations in the root plaque in 2018 and 2019, respectively (Figure 4C,D).
Figure 4.
Effect of nitrogen application period on the subcellular distribution of Cd in root and flag leaf of rice, and Pearson’s correlation analysis of the relative abundances of Fe and Cd concentration in the root plaque, Cd distribution proportion of subcellular rice root and flag leaf, and brown rice Cd concentration. (A,C) in 2018, (B,D) in 2019. Values are means ± standard deviation (SD). Different letters indicate significant differences between treatments (p > 0.05). Pearson’s correlation analysis of the relative abundances of Fe and Cd concentration in the root plaque, Cd distribution proportion of subcellular rice root and flag leaf, and brown rice Cd concentration. MiSRP-Fe, MiSRP-Cd, MaSRP-Fe, and MaSRP-Cd represent Fe, Cd concentration on root plaque at the milky stage, and Fe, Cd concentration on root plaque at the mature stage, respectively; RCW-CdP, RSF-CdP, and RO-Cd represent Cd distribution proportion in the cell wall, soluble fraction, and organelle of subcellular of root, respectively; FLCW-CdP, FLSF-CdP, and FLO-Cd represent Cd distribution proportion in the cell wall, soluble fraction, and organelle of subcellular of flag leaf, respectively. Blue and red represent negative and positive correlations, respectively, with darker colors representing higher correlation.
3.5. Subcellular Distribution of Cd in the Root and Flag Leaf
In Figure 4A, it is apparent that the proportion of Cd in the root cell wall decreased significantly by 58.19% under T2 treatment compared to T0. Conversely, the proportion of Cd in the soluble fraction increased significantly by 378.41%. Furthermore, the organelle showed a significant increase in Cd distribution by 244.29–329.23% under T1 and T2 treatments. In the control, the subcellular distribution of Cd in the flag leaf was ranked as: cell wall > soluble fraction > organelle. However, under the T1 and T2 treatments, the ranking changed to: soluble fraction > cell wall > organelle. The proportion of Cd in the soluble fraction increased significantly by 194.45–167.83% under T1 and T2 treatments, while the proportion of Cd in the cell wall and organelle decreased significantly by 42.11–59.49% and 35.36–55.08%, respectively (Figure 4A).
The treatment F1 led to a significant decrease in the proportion of Cd in the cell wall of the root, while it resulted in a significant increase in the proportion of Cd in the organelle compared to F0 (Figure 4B). In the subcellular distribution of Cd in the flag leaf, both F1 and F2 treatments caused a significant increase in Cd in the cell wall by 45.13–49.14%. Moreover, the proportion of Cd in the soluble fraction and organelle was significantly reduced by 53.87–59.61% and 72.29–78.66%, respectively (Figure 4B). The proportion of Cd in the cell wall of the root has a significantly positive correlation with brown rice (p < 0.05), whereas the proportion of Cd in the organelle of the root has a significantly negative correlation with brown rice (p < 0.01, Figure 4D).
3.6. Cd Concentrations in the Aerial Parts and Brown Rice in the Hydroponic Culture
The application of treatment A, under the provided Cd condition, resulted in a significant increase in the Cd concentrations of OT, INIII, NI, INI, SI, FL, H, and BR compared to treatment B. Additionally, treatment A led to a significant decrease in the amounts of Cd concentrations in NII, LII, SII (Table 2). Furthermore, there was a notable positive correlation between the Cd concentrations of INIII, NI, INI, SI, H and brown rice Cd concentrations, along with a significantly negative correlation between the Cd concentrations of NII, LII, SII and brown rice Cd concentrations (Table 3). Moreover, compared to treatment B, treatment A was associated with a significant decrease in the concentrations of Cu, Fe, Mn, and Zn in NIII, INII, and Fe, Mn in SII (Table 2). The concentrations of Fe, Mn, and Zn in NIII, and INII and the concentrations of Fe and Mn in SII were significantly negatively correlated with the concentrations of Cd in brown rice (Table 3).
Table 2.
Schedule of Cd, Cu, Fe, Mn, and Zn concentrations in diverse segments of rice for each treatment in the Hydroponic culture (mg kg−1).
Table 3.
Schedule of Pearson’s correlation of Cd, Cu, Fe, Mn, and Zn concentrations in various parts and brown rice Cd concentrations under different treatments.
Compared to treatment D, treatment C resulted in a significant decrease in the concentrations of Cu, Fe, Mn, and Zn in NII, INII, H, and the concentrations of Cu, Fe, Mn in SII, as well as Fe, Mn, and Zn concentrations in LII, FL, and the concentrations of Fe, Mn in R. However, it led to a significant increase in the concentrations of Cu in INIII, LIII, NI, and Fe in NIII, INIII, NI, and Mn in INIII, and Zn in NIII, NI, R (Table 2). There was a significantly positive correlation between the concentrations of Cu, Fe, Mn, and Zn in NII, INII, H, and Cu; Fe, Mn in SII, R; and Fe, Mn in LII, FL with the concentrations of Cd in brown rice. Conversely, there was a significantly negative correlation between the concentrations of Cu, Fe, Mn in INIII; Cu, Mn in LIII; and Cu, Fe, Zn, NI, and Zn in R with the concentrations of Cd in brown rice (Table 3).
4. Discussion
4.1. The Effect of Late Nitrogen Application on Cd of Brown Rice Was Not Caused by Soil
The process of Cd accumulation in brown rice is complex and influenced by various factors such as climate, soil properties, and nutrient distribution within agricultural ecosystems. Soil characteristics, particularly pH, play a significant role in the solubility, mobility, and speciation of Cd in soil, ultimately affecting its accumulation in rice plants [33]. Research has shown that the presence of NO3− in rice plants triggers the release of organic acids into the rhizosphere, leading to increased soil CEC and H+ concentration, thereby enhancing water-soluble Cd concentrations in the soil and the accumulation of Cd in rice crops [17]. Conversely, absorption of NH4+ by plants results in the release of H+ into the soil, leading to soil acidification and increased bioavailability of Cd in the soil [34]. Furthermore, applying urea leads to the production of significant amounts of ammonium, temporarily increasing soil pH, but subsequent nitrification of NH4+, causes a decrease in soil pH [35]. Collectively, regardless of whether it is NO3−, NH4+, or urea, all of these substances pose a potential threat of decreasing soil acidity and enhancing the bioavailability of Cd. According to our study on the impact of nitrogen application at various growth stages, we found that applying nitrogen at the full heading stage resulted in a significant decrease in brown rice Cd concentrations, with reductions of 35.11% in 2018 and 57.25% in 2019 compared to the control groups (T0, F0). This suggests that the application of nitrogen fertilizer at the full heading stage significantly decreases the Cd concentration in brown rice. Interestingly, these alterations were observed to be not primarily attributable to the impact of nitrogen fertilizer on soil pH and the CaCl2-extractable Cd.
The ability of rice vegetative organs to impede the transportation of Cd enables them to accumulate a significant amount of Cd in the cell wall or store it in the vacuole. Deposition of Cd in the cell wall is a crucial mechanism that restricts the accumulation and movement of Cd in plants [36]. According to Deng’s study, pectin, polysaccharide components, hemicellulose 1, and functional groups all play a major role in the deposition of Cd in the cell wall of rice flag leaves [37]. These components also hinder the transfer of Cd into the rice grain and show a strong positive correlation with the Cd concentration in brown rice. Functional groups within the cell walls, such as carboxyl (COO−), hydroxy (−OH), and thiol (−SH), bind 70–90% of Cd and prevent its transport into the cells [25,38]. Our experiment also demonstrated a significant increase in the proportion of Cd in the cell wall of the flag leaf, while the proportion of Cd in the organelles notably decreased after applying nitrogen at the full heading stage and milky stage in 2019 (Figure 4B), similar to previous findings. The proportion of Cd in the cell wall of the flag leaf exhibited a notably strong correlation with the concentration of Cd in brown rice (Figure 4D). Interestingly, under the condition of nitrogen supply in the early stage of rice growth, regardless of whether the nitrogen fertilizer was topdressed at the full heading stage or milky stage, the proportion of Cd in the cell wall and the organelle of the flag leaf decreased significantly (Figure 4A). Surprisingly, the increase in Cd proportion in the soluble fraction was significant as shown in Figure 4A. Recent research suggests that the presence of nitrate ions increases the quantity of functional groups like −OH, C=O, and −COOH in the root cell walls of rice, along with the presence of pectin and hemicellulose. Conversely, the presence of ammonium ions leads to a reduction in the amount of pectin, hemicellulose, and functional groups in the cell walls [39,40].
The process of grain filling in rice heavily depends on the assimilates derived from post-flowering photosynthesis and non-structural carbohydrates (NSC) stored in the leaf sheath and other organs prior to flowering. The contribution of these stored carbohydrates to the grain yield fluctuates from approximately 1/6th to 1/3rd, and their quantity is impacted by growth conditions and the level of nitrogen supply. The stored substances before flowering also play a crucial role in initiating grain filling, with their transport rate and quantity being vital in the early stage of grain filling [41,42]. It is suspected that the lack of nitrogen supply during the initial phase of rice growth leads to increased absorption and transport of nitrogen to compensate for the insufficient photosynthetic products, ultimately influencing the proportion of Cd in the cell walls of the flag leaf. However, when there is nitrogen supply during the early stage, rice plants show decreased sensitivity to nitrogen application at the full heading and milky stages, which is evident from the rice grain yield.
The process of Cd absorption by rice roots and its transportation to the grain during the filling stage is a significant phenomenon. Recent studies have focused on various aspects of Cd transport in rice, including uptake by the root, xylem loading, root-to-shoot translocation, phloem transfer at the stem, and transportation via the phloem to the grain. In our current study, nitrogen supply during the initial growth stage resulted in a notable decrease in TFR-S of the F1 treatment and a significant increase in TFS-BR at the mature stage in 2018 (Figure 2C). Conversely, when there was no nitrogen supply during the early growth stage, there was only a slight impact on TFR-S and TFS-BR at the mature stage in 2019 (Figure 2F). It was observed that low nitrogen levels can enhance the transport of carbon and nitrogen assimilates in stem sheaths, particularly during the heading stage, leading to increased nutrient absorption from the soil by the root system, indicating heightened physiological activity in the leaves during the heading stage. Consequently, this results in a reduction in the entry of Cd into rice grains via nutrient transport pathways. This observation is a possible explanation for the lower Cd concentration in brown rice of T1 and F1 when compared to T0, T2, and F0, F2.
4.2. Fe and Mn Accumulation in Rice Significantly Affected Cd Accumulation in Brown Rice
The impact of nitrogen supply on Cd accumulation in rice grains during the late growth stage was investigated through a solution culture experiment. The purpose was to eliminate any influence from soil factors. Our findings indicate that the presence of Cd, and N supply resulted in a 57.69% increase in the concentration of Cd in brown rice, compared to N deficiency (Table 2). This outcome aligns with previous research, which has demonstrated that N promotes the accumulation of Cd in brown rice. However, when Cd is not present, the supply of N significantly reduces the Cd content in brown rice. Further analysis found that with the addition of Cd, N supply decreased the contents of Cu, Fe, Mn, and Zn in NII, LII, (except for Cu in LII under C treatment, Table 2). Cd has the capability to enter plant cells by using the same uptake mechanisms as essential mineral elements like Fe2+, Mn2+, and Zn2+ due to their similar physiochemical properties. For example, Cd can compete with Fe for transporters like OsIRT1/2, which are responsible for transporting Fe2+ and are sensitive to Cd. Additionally, Cd can also compete with Mn for transporters like OsNRAMP5, which are involved in the uptake of both Cd and Mn. This competition among Fe, Mn, and Cd for the same uptake pathway in plants contributes to the reduction in Cd uptake in plants [6,21,43]. Our results show that in the presence of Cd, most of these elements in NII, INII, LII, and SII, especially Fe and Mn in INII, LII, and SII, were significantly negatively correlated with Cd content in brown rice (Table 3), while they were positively correlated with brown rice Cd content without the condition of Cd (Table 3). In other words, the application of N can regulate the distribution of Fe, Mn, and other elements in rice plants, and then accumulate Cd in brown rice.
Another factor contributing to the reduction in Cd uptake in plants by Fe, when absorbed into the root tissue, may compete with Cd for adsorption sites. As a result, Cd, which lacks adsorption sites, is excluded from the cell wall of the rice root surface [43]. The formation of iron plaque on the root surfaces of rice can lead to the absorption of Cd, even in the absence of specific adsorption sites on the root surface. This process can significantly influence the chemical behavior and bioavailability of heavy metals in the soil through adsorption and co-precipitation. Furthermore, it plays a crucial role in the absorption of heavy metals by roots and their internal transport within plants [8,10,20]. Zhang’s [24] findings demonstrated that a deficiency or surplus of iron influenced the absorption of Cd in rice roots. The research revealed that low iron levels increased the expression of Cd-transport-related genes, while excess iron boosted Cd accumulation on the root through ion plaque. Additionally, the addition of iron to the soil during the mature stage significantly decreased the concentration of Cd in the grains. Recent research reported that the application of basal alkaline fertilizers [20], microbial organic fertilizer [10], and the application of iron-based fertilizer [44] may enhance the adsorption and immobilization of Cd by the formation of iron plaque, thereby reducing the direct uptake of Cd by rice plants. In the present study, we found that applying nitrogen during the late growth stage significantly increased the Fe content on the root plaque of rice at the milky stage and mature stage (Figure 3B,E), and significantly increased the Cd content on root plaque when N was supplied during the early growth stage (Figure 3C), and decreased significantly under the condition of N deficiency in the early growth stage (Figure 3F). There is a significantly positive correlation between the Fe concentration and Cd concentration on the root plaque in 2018 (Figure 4C), and an opposite relationship in 2019 (Figure 4D). This indicates that the adsorption direction of Cd by root plaque during the later stages of growth is intricately linked to the nitrogen supply level during the early growth stage. In the milky stage of 2018, a significant positive correlation was observed between the concentration of Cd in root plaque and the proportion of Cd in root organelles. Additionally, there was a notable negative correlation between the Cd concentration in root plaque and the Cd proportion in flag leaf organelles (Figure 4C). However, there was a significant positive correlation between the Cd concentration in root plaque and the Cd proportion in root cell wall and leaf organelles at the milky stage in 2019 (Figure 4D). Furthermore, the uptake of Cd by root Fe plaque led to an indirect impact on the distribution of Cd within the subcellular structures of the root and flag leaf.
5. Conclusions
The findings indicate that applying nitrogen at the full heading stage can restrict the transfer of Cd from the shoots to brown rice, leading to reduced Cd concentration in brown rice. This is attributed to the ability of nitrogen application at the full heading stage to enhance Fe concentration in the root plaque, thereby limiting Cd absorption by the roots. Additionally, nitrogen application at the full heading stage can influence the distribution of Cd in flag leaf cells during the filling stage. When there is sufficient nitrogen supply in the early growth stage, the proportion of Cd in the soluble fraction of the flag leaf increases significantly. Conversely, inadequate nitrogen supply during the early growth stage results in an increased Cd proportion in the cell wall of the flag leaf. Ensuring ample nitrogen supply in the early stage of rice growth is crucial, and nitrogen application at the full heading stage can effectively reduce Cd concentration in brown rice.
Author Contributions
Y.Z.: data curation, formal analysis, methodology, visualization, writing—original draft. H.X.: methodology, writing—review and editing. Q.C.: investigation, project administration. Q.J.: investigation, project administration. H.A.: funding acquisition, supervision, writing—review and editing. All authors have read and agreed to the published version of the manuscript.
Funding
This work was financially supported by the Joint Funds of the National Natural Science Foundation of China (32172107), and National Rice Industry Technology System Cultivation and soil Fertilizer Post expert Project of China (CARS-01).
Data Availability Statement
The data that support the findings of this study are available from the corresponding author upon reasonable request.
Acknowledgments
Special thanks to anonymous reviewers for their valuable comments. In addition, the authors gratefully acknowledge every teacher, classmate, and friend who helped the authors with their experiment and writing.
Conflicts of Interest
The authors declare no conflict of interest.
References
- FAO, ProdStat. Core Production Data Base, Electronic Resource under; FAO, ProdStat: Beijing, China, 2014. [Google Scholar]
- FAOSTAT. Food and Agriculture Organization of the United Nations Statistics Decision; FAOSTAT: Beijing, China, 2020. [Google Scholar]
- Ministry of Natural Resources. Report on the China Mineral Resources. 2018. Available online: http://www.mnr.gov.cn/sj/sjfw/kc_19263/zgkczybg/201811/t20181116_2366032.html (accessed on 22 October 2018).
- Chiu, S.; Kao, C.; Chen, T.; Chang, Y.; Kuo, C.; Lin, C. Cultivation of Microalgal Chlorella for Biomass and Lipid Production Using Wastewater as Nutrient Resource. Bioresource Technol. 2015, 184, 179–189. [Google Scholar] [CrossRef] [PubMed]
- Uraguchi, S.; Fujiwara, T. Cadmium transport and tolerance in rice: Perspectives for reducing grain cadmium accumulation. Rice 2012, 5, 5. [Google Scholar] [CrossRef] [PubMed]
- Li, H.; Luo, N.; Li, Y.; Cai, Q.; Li, H.; Mo, C.; Wong, M. Cadmium in rice: Transport mechanisms, influencing factors, and minimizing measures. Environ. Pollut. 2017, 224, 622–630. [Google Scholar] [CrossRef] [PubMed]
- Christodoulou, E.; Agapiou, A.; Anastopoulos, I.; Omirou, M.; Ioannides, I.M. The effects of different soil nutrient management schemes in nitrogen cycling. J. Environ. Manag. 2019, 243, 168–176. [Google Scholar] [CrossRef] [PubMed]
- Zhang, Q.; Chen, H.; Huang, D.; Xu, C.; Zhu, H.; Zhu, Q. Water managements limit heavy metal accumulation in rice: Dual effects of iron-plaque formation and microbial communities. Sci. Total Environ. 2019, 687, 790–799. [Google Scholar] [CrossRef] [PubMed]
- Mao, P.; Zhuang, P.; Li, F.; Mcbride, M.B.; Ren, W.D.; Li, Y.Y.; Li, Y.W.; Mo, H.; Fu, H.Y.; Li, Z.A. Phosphate addition diminishes the efficacy of wollastonite in decreasing Cd uptake by rice (Oryza sativa L.) in paddy soil. Sci. Total Environ. 2019, 687, 441–450. [Google Scholar] [CrossRef] [PubMed]
- Kong, F.; Lu, S. Effects of microbial organic fertilizer (MOF) application on cadmium uptake of rice in acidic paddy soil: Regulation of the iron oxides driven by the soil microorganisms. Environ. Pollut. 2022, 307, 119447. [Google Scholar] [CrossRef]
- Zhao, Y.; Zhang, C.; Wang, C.; Huang, Y.; Liu, Z. Increasing phosphate inhibits cadmium uptake in plants and promotes synthesis of amino acids in grains of rice. Environ. Pollut. 2019, 257, 113496. [Google Scholar] [CrossRef]
- Zeng, L.; Zhu, T.; Gao, Y.; Wang, Y.; Ning, C.; Björn, L.O.; Chen, D.; Li, S. Effects of Ca addition on the uptake, translocation, and distribution of Cd in Arabidopsis thaliana. Ecotoxicol. Environ. Saf. 2017, 139, 228–237. [Google Scholar] [CrossRef]
- Yang, Y.; Xiong, J.; Tao, L.; Cao, Z.; Tang, W.; Zhang, J.; Yu, X.; Fu, G.; Zhang, X.; Lu, Y. Regulatory Mechanisms of Nitrogen (N) on Cadmium (Cd) Uptake and Accumulation in Plants: A Review. Sci. Total Environ. 2019, 708, 135186. [Google Scholar] [CrossRef]
- Chen, Z.; Li, X.; Liu, T.; Fu, H.; Yuan, X.; Cheng, Q.; Liao, Q.; Zhang, Y.; Li, W.; Sun, Y.; et al. Strategies for fertilizer management to achieve higher yields and environmental and fertilizer benefits of rice production in China. Sci. Total Environ. 2023, 904, 166325. [Google Scholar] [CrossRef] [PubMed]
- Akahane, I.; Makino, T.; Maejima, Y. Effects of Nitrogen Fertilizer, pH, and Electrical Conductivity on the Solubility of Cadmium in Soil Solution. Pedologist 2010, 53, 101–107. [Google Scholar] [CrossRef]
- Jalloh, M.A.; Chen, J.; Zhen, F.; Zhang, G. Effect of different N fertilizer forms on antioxidant capacity and grain yield of rice growing under Cd stress. J. Hazard. Mater. 2009, 162, 1081–1085. [Google Scholar] [CrossRef] [PubMed]
- Hassan, M.J.; Wang, F.; Ali, S.; Zhang, G. Toxic Effect of Cadmium on Rice as Affected by Nitrogen Fertilizer Form. Plant Soil 2005, 277, 359–365. [Google Scholar] [CrossRef]
- Wu, Z.; Zhang, W.; Xu, S.; Shi, S.; Wen, D.; Huang, Y.; Peng, L.; Deng, T.; Du, R.; Li, F.; et al. Increasing ammonium nutrition as a strategy for inhibition of cadmium uptake and xylem transport in rice (Oryza sativa L.) exposed to cadmium stress. Environ. Exp. Bot. 2018, 155, 734–741. [Google Scholar] [CrossRef]
- Xu, C.; Wu, Z.; Zhu, Q.; Zhu, H.; Zhang, Y.; Huang, D. Effect of coated urea on cadmium accumulation in Oryza sativa L. grown in contaminated soil. Environ. Monit. Assess. 2015, 187, 716. [Google Scholar] [CrossRef] [PubMed]
- Deng, X.; Chen, Y.; Yang, Y.; Lu, L.; Yuan, X.; Zeng, H.; Zeng, Q. Cadmium accumulation in rice (Oryza sativa L.) alleviated by basal alkaline fertilizers followed by topdressing of manganese fertilizer. Environ. Pollut. 2020, 262, 114289. [Google Scholar] [CrossRef]
- Yang, Y.; Xiong, J.; Chen, R.; Fu, G.; Chen, T.; Tao, L. Excessive nitrate enhances cadmium (Cd) uptake by up-regulating the expression of OsIRT1 in rice (Oryza sativa). Environ. Exp. Bot. 2016, 122, 141–149. [Google Scholar] [CrossRef]
- Zhang, Q.; Chen, H.; Xu, C.; Zhu, H.; Zhu, Q. Heavy metal uptake in rice is regulated by pH-dependent iron plaque formation and the expression of the metal transporter genes. Environ. Exp. Bot. 2019, 162, 392–398. [Google Scholar] [CrossRef]
- Zeng, P.; Zhou, H.; Deng, P.; Gu, J.; Liao, B. Effects of topdressing silicon fertilizer at key stages on uptake and accumulation of arsenic in rice. Environ. Sci. Pollut. Res. 2023, 30, 31309–31319. [Google Scholar] [CrossRef]
- Zhang, Q.; Huang, D.; Xu, C.; Zhu, H.; Feng, R.; Zhu, Q. Fe fortification limits rice Cd accumulation by promoting root cell wall chelation and reducing the mobility of Cd in xylem. Ecotoxicol. Environ. Saf. 2022, 240, 113700. [Google Scholar] [CrossRef] [PubMed]
- Liu, J.; Qu, P.; Zhang, W.; Dong, Y.; Li, L.; Wang, M. Variations among rice cultivars in subcellular distribution of Cd: The relationship between translocation and grain accumulation. Environ. Exp. Bot. 2014, 107, 5–31. [Google Scholar] [CrossRef]
- Chai, M.; Li, R.; Shen, X.; Tam, N.F.Y.; Zan, Q.; Li, R. Does ammonium nitrogen affect accumulation, subcellular distribution and chemical forms of cadmium in Kandelia obovata? Ecotoxicol. Environ. Saf. 2018, 162, 430–437. [Google Scholar] [CrossRef] [PubMed]
- Tian, T.; Zhou, H.; Gu, J.; Jia, R.; Li, H.; Wang, Q.; Zeng, M.; Liao, B. Cadmium accumulation and bioavailability in paddy soil under different water regimes for different growth stages of rice (Oryza sativa L.). Plant Soil 2019, 440, 327–339. [Google Scholar] [CrossRef]
- Rodda, M.S.; Li, G.; Reid, R.J. The timing of grain Cd accumulation in rice plants: The relative importance of remobilisation within the plant and root Cd uptake post-flowering. Plant Soil 2011, 347, 105–114. [Google Scholar] [CrossRef]
- Fujimaki, S.; Suzui, N.; Ishioka, N.S.; Kawachi, N.; Ito, S.; Chino, M.; Nakamura, S.I. Tracing Cadmium from Culture to Spikelet: Noninvasive Imaging and Quantitative Characterization of Absorption, Transport, and Accumulation of Cadmium in an Intact Rice Plant. Plant Physiol. 2010, 152, 1796–1806. [Google Scholar] [CrossRef]
- Garnett, T.P. Distribution and Remobilization of Iron and Copper in Wheat. Ann. Bot. 2005, 95, 817–826. [Google Scholar] [CrossRef]
- Zhou, H.; Zhu, W.; Yang, W.; Gu, J.; Gao, Z.; Chen, L.; Du, W.; Zhang, P.; Peng, P.; Liao, B. Cadmium uptake, accumulation, and remobilization in iron plaque and rice tissues at different growth stages. Ecotoxicol. Environ. Saf. 2018, 152, 91–97. [Google Scholar] [CrossRef]
- Yang, Y.; Chen, J.; Huang, Q.; Tang, S.; Wang, J.; Hu, P.; Shao, G. Can liming reduce cadmium (Cd) accumulation in rice (Oryza sativa) in slightly acidic soils? A contradictory dynamic equilibrium between Cd uptake capacity of roots and Cd immobilisation in soils. Chemosphere 2018, 193, 547–556. [Google Scholar] [CrossRef]
- Chen, B.; Deng, X.; Ma, Q.; Zhao, Y.; Wang, A.; Zhang, X.; Zeng, Q. Cadmium accumulation in brown rice (Oryza sativa L.) depends on environmental factors and nutrient transport: A three-year field study. Sci. Total Environ. 2023, 903, 166942. [Google Scholar] [CrossRef]
- Hinsinger, P.; Plassard, C.; Tang, C.; Jaillard, B. Origins of root-mediated pH changes in the rhizosphere and their responses to environmental constraints: A review. Plant Soil 2003, 248, 43–59. [Google Scholar] [CrossRef]
- Hong-Duck, R.; Min-Seob, K.; Chung, E.; Baek, U.; Kim, S.; Kim, D.; Kim, Y.; Lee, J. Assessment and identification of nitrogen pollution sources in the Cheongmi River with intensive livestock farming areas, Korea. Environ. Sci. Pollut. Res. 2018, 25, 13499–13510. [Google Scholar] [CrossRef]
- Luo, J.; Zhang, Z. Mechanisms of cadmium phytoremediation and detoxification in plants. Crop J. 2021, 9, 521–529. [Google Scholar] [CrossRef]
- Deng, X.; Chen, B.; Chen, Y.; Jiang, L.; Hu, Y.; Yang, Y.; Rong, X.; Peng, L.; Zeng, Q. Flag leaf cell wall functional groups and components play a crucial role in the accumulation and translocation of Cd in rice grain via foliage application of humic acid. Ecotoxicol. Environ. Saf. 2022, 239, 113658. [Google Scholar] [CrossRef]
- Li, A.; Deng, H.; Jiang, Y.; Ye, C.; Yu, B.; Zhou, X.; Ma, A. Superefficient removal of heavy metals from wastewater by Mg-loaded biochars: Adsorption characteristics and removal mechanisms. Langmuir 2020, 36, 9160–9174. [Google Scholar] [CrossRef]
- Wang, W.; Zhao, X.; Chen, F.; Dong, X.; Lan, P.; Ma, J.; Shen, R. Altered cell wall properties are responsible for ammonium-reduced aluminium accumulation in rice roots. Plant Cell Environ. 2015, 38, 1382–1390. [Google Scholar] [CrossRef]
- Lu, H.; Nkoh, J.N.; Abdulaha-Al Baquy, M.; Dong, G.; Li, J.; Xu, R. Plants alter surface charge and functional groups of their roots to adapt to acidic soil conditions. Environ. Pollut. 2020, 267, 115590. [Google Scholar] [CrossRef]
- Okamura, M.; Arai-Sanoh, Y.; Yoshida, H.; Mukouyama, T.; Adachi, S.; Yabe, S.; Nakagawa, H.; Tsutsumi, K.; Taniguchi, Y.; Kobayashi, N.; et al. Characterization of high-yielding rice cultivars with different grain-filling properties to clarify limiting factors for improving grain yield. Field Crop Res. 2018, 219, 139–147. [Google Scholar] [CrossRef]
- Li, G.; Pan, J.; Cui, K.; Yuan, M.; Hu, Q.; Wang, W.; Mohapatra, P.; Nie, L.; Huang, J.; Peng, S. Limitation of Unloading in the Developing Grains Is a Possible Cause Responsible for Low Stem Non-structural Carbohydrate Translocation and Poor Grain Yield Formation in Rice through Verification of Recombinant Inbred Lines. Front. Plant Sci. 2017, 8, 1369. [Google Scholar] [CrossRef]
- Hiromi, N.; Ippei, O.; Yasuhiro, I.; Satoshi, M.; Naoko, K.N. Iron deficiency enhances cadmium uptake and translocation mediated by the Fe2+ transporters OsIRT1 and OsIRT2 in rice. Soil Sci. Plant Nutr. 2006, 52, 464–469. [Google Scholar] [CrossRef]
- Huang, G.; Ding, C.; Hu, Z.; Cui, C.; Zhang, T.; Wang, X. Topdressing iron fertilizer coupled with pre-immobilization in acidic paddy fields reduced cadmium uptake by rice (Oryza sativa L.). Sci. Total Environ. 2018, 636, 1040–1047. [Google Scholar] [CrossRef] [PubMed]
Disclaimer/Publisher’s Note: The statements, opinions and data contained in all publications are solely those of the individual author(s) and contributor(s) and not of MDPI and/or the editor(s). MDPI and/or the editor(s) disclaim responsibility for any injury to people or property resulting from any ideas, methods, instructions or products referred to in the content. |
© 2023 by the authors. Licensee MDPI, Basel, Switzerland. This article is an open access article distributed under the terms and conditions of the Creative Commons Attribution (CC BY) license (https://creativecommons.org/licenses/by/4.0/).



