Comparative Analysis of the Performance of a Chain Mower and Tools That Perform Under-Row Weed Control with Tillage in the Vineyard
Abstract
1. Introduction
1.1. Under-row Weed Control with Tillage
1.2. Under-Row Weed Control with Mowing or Shredding
1.3. Impact of Weed Control Methods on Weed Flora Composition
2. Materials and Methods
2.1. Site Characteristics
2.2. Experimental Layout
2.3. The Tools Employed
2.4. Data Collection
2.5. Statistical Analyses
3. Results
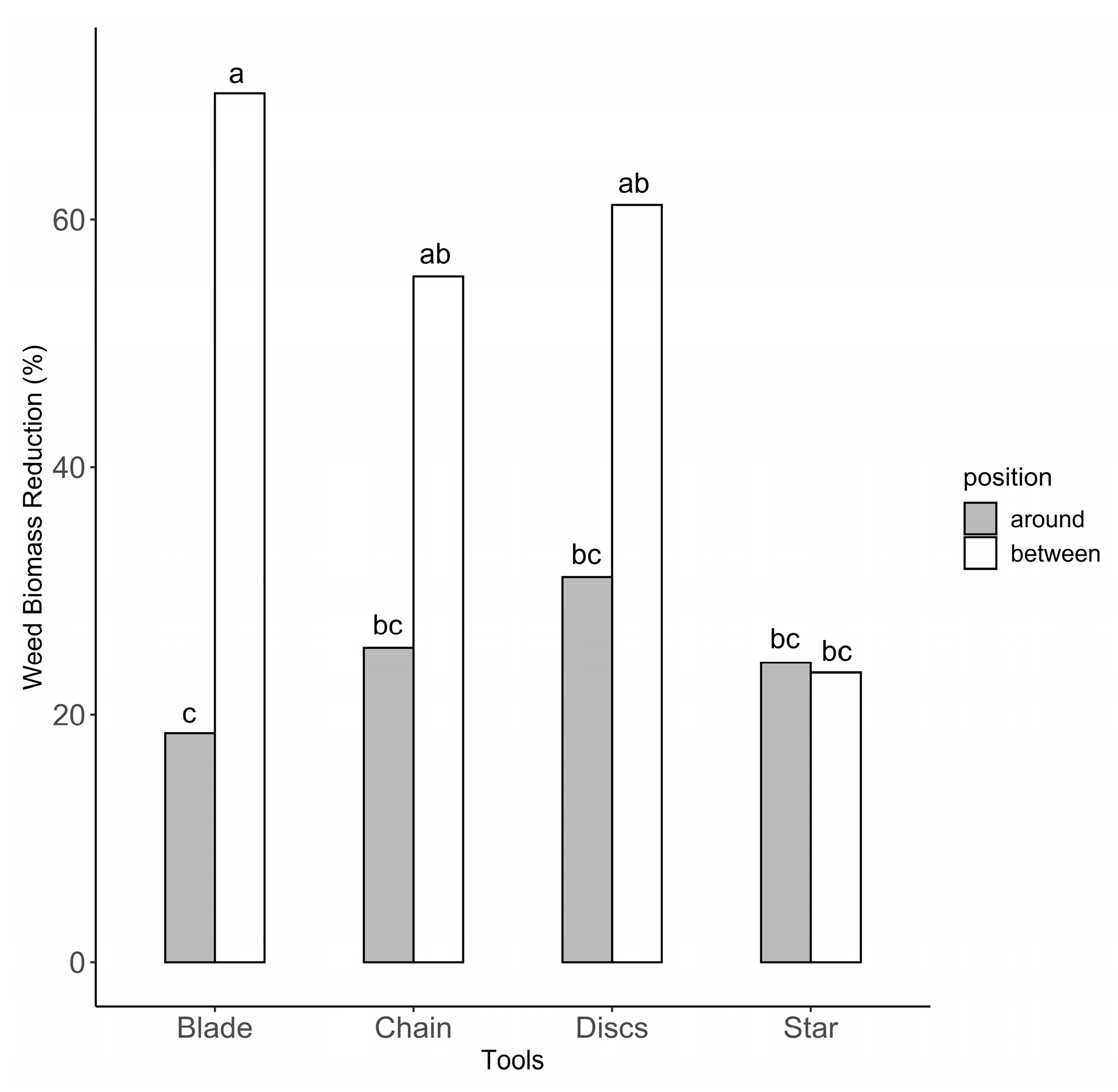
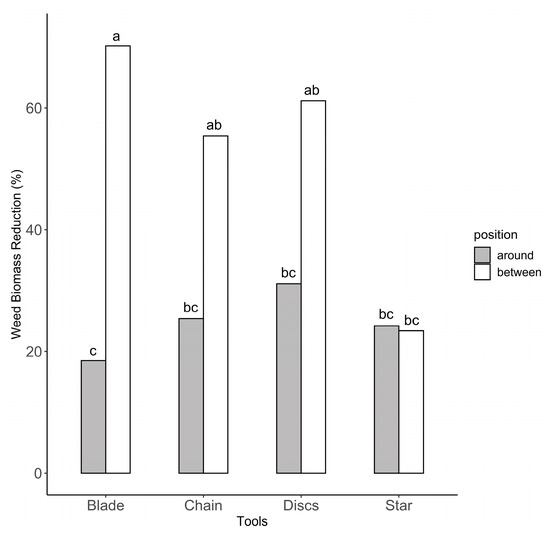
3.1. Tools’ Under-Row Weed Control Performance
3.2. Effect of the Under-Row Weed Control Treatments on Weed Flora Composition
3.3. Effect of the Under-Row Weed Control Treatments on Soil Penetration Resistance
3.4. Tools’ Operative Performances
4. Discussion
4.1. Weed Control
4.2. Effect on Weed Flora Composition
4.3. Soil Penetration Resistance
4.4. Operative Performances
5. Conclusions
Author Contributions
Funding
Data Availability Statement
Acknowledgments
Conflicts of Interest
References
- OIV (Organizzazione Internazionale Della Vigna e del Vino). Nota Di Congiuntura Del Settore Vitivinicolo Mondiale Nel. 2022. Available online: https://www.oiv.int/sites/default/files/documents/OIV_Nota_di_congiuntura_del_settore_vitivinicolo_mondiale_nel_2022_0.pdf (accessed on 15 September 2023).
- Casson, A.; Ortuani, B.; Giovenzana, V.; Brancadoro, L.; Corsi, S.; Gharsallah, O.; Guidetti, R.; Facchi, A. A Multidisciplinary Approach to Assess Environmental and Economic Impact of Conventional and Innovative Vineyards Management Systems in Northern Italy. Sci. Total Environ. 2022, 838, 156181. [Google Scholar] [CrossRef]
- Stoate, C.; Báldi, A.; Beja, P.; Boatman, N.D.; Herzon, I.; Van Doorn, A.; De Snoo, G.R.; Rakosy, L.; Ramwell, C. Ecological Impacts of Early 21st Century Agricultural Change in Europe—A Review. J. Environ. Manag. 2009, 91, 22–46. [Google Scholar] [CrossRef]
- Peigné, J.; Ball, B.C.; Roger-Estrade, J.; David, C. Is Conservation Tillage Suitable for Organic Farming? A Review. Soil Use Manag. 2007, 23, 129–144. [Google Scholar] [CrossRef]
- Hembree, K.J.; Lanini, W.T. Weeds. UC IPM Pest Management Guidelines: Grape; University of California Agriculture and Natural Resources: Davis, CA, USA, 2006; Volume 3448. [Google Scholar]
- Garcia, L.; Celette, F.; Gary, C.; Ripoche, A.; Valdés-Gómez, H.; Metay, A. Management of Service Crops for the Provision of Ecosystem Services in Vineyards: A Review. Agric. Ecosyst. Environ. 2018, 251, 158–170. [Google Scholar] [CrossRef]
- Guerra, B.; Steenwerth, K. Influence of Floor Management Technique on Grapevine Growth, Disease Pressure, and Juice and Wine Composition: A Review. Am. J. Enol. Vitic. 2012, 63, 149–164. [Google Scholar] [CrossRef]
- Castaldi, R. Lavorazione Del Terreno Nel Sottofila. In Vite. Meccanizzazione del Vigneto. Guida Alla Scelta e All’utilizzo di Macchine e Attrezzature; Edizioni L’Informatore Agrario: Verona, Italy, 2018; pp. 67–78. [Google Scholar]
- Pergher, G.; Gubiani, R.; Mainardis, M. Field Testing of a Biomass-Fueled Flamer for In-Row Weed Control in the Vineyard. Agriculture 2019, 9, 210. [Google Scholar] [CrossRef]
- Gagliardi, L.; Fontanelli, M.; Luglio, S.M.; Frasconi, C.; Peruzzi, A.; Raffaelli, M. Evaluation of Sustainable Strategies for Mechanical Under-Row Weed Control in the Vineyard. Agronomy 2023, 13, 3005. [Google Scholar] [CrossRef]
- Sozzi, M.; Pasquetti, E.; De Ros, A.; Ferro, F. Performance Evaluation of Automated Implement for Vineyard Mechanical Weed Control. In Proceedings of the 20th International Scientific Conference Engineering for Rural Development, Jelgava, Latvia, 27 May 2021. [Google Scholar]
- Bàrberi, P. Weed Management in Organic Agriculture: Are We Addressing the Right Issues? Weed Res. 2002, 42, 177–193. [Google Scholar] [CrossRef]
- Steenwerth, K.; Belina, K.M. Cover Crops Enhance Soil Organic Matter, Carbon Dynamics and Microbiological Function in a Vineyard Agroecosystem. Appl. Soil Ecol. 2008, 40, 359–369. [Google Scholar] [CrossRef]
- Giagnoni, L.; Maienza, A.; Baronti, S.; Vaccari, F.P.; Genesio, L.; Taiti, C.; Martellini, T.; Scodellini, R.; Cincinelli, A.; Costa, C.; et al. Long-Term Soil Biological Fertility, Volatile Organic Compounds and Chemical Properties in a Vineyard Soil after Biochar Amendment. Geoderma 2019, 344, 127–136. [Google Scholar] [CrossRef]
- Belmonte, S.A.; Celi, L.; Stanchi, S.; Said-Pullicino, D.; Zanini, E.; Bonifacio, E. Effects of Permanent Grass versus Tillage on Aggregation and Organic Matter Dynamics in a Poorly Developed Vineyard Soil. Soil Res. 2016, 54, 797. [Google Scholar] [CrossRef][Green Version]
- AWRI (Australian Wine Research Institute). Undervine Mowing and Whipper Snipping. Available online: https://www.awri.com.au/industry_support/viticulture/weed-management/non-chemical-weed-management/undervine-mowing-and-whipper-snipping/ (accessed on 5 October 2023).
- Curran, W.S.; Lingenfelter, D.D.; Garling, L. An Introduction to Weed Management for Conservation Tillage Systems. Pennstate Coop. Ext. Coll. Agric. Sci. 2009, 2, 1–8. [Google Scholar]
- Sheley, R. Mowing to Manage Noxious Weeds; Montana State University Extension: Bozeman, MT, USA, 2017; Volume 0517SA, pp. 1–2. [Google Scholar]
- Mia, M.J.; Massetani, F.; Murri, G.; Neri, D. Sustainable Alternatives to Chemicals for Weed Control in the Orchard—A Review. Hortic. Sci. 2020, 47, 1–12. [Google Scholar] [CrossRef]
- Moretti, M. Mechanical Weed Control Under the Vine. Available online: https://smallgrains.wsu.edu/weeders-of-the-west/2021/07/14/mechanical-weed-control-under-the-vine/ (accessed on 10 October 2023).
- Nascimbene, J.; Marini, L.; Ivan, D.; Zottini, M. Management Intensity and Topography Determined Plant Diversity in Vineyards. PLoS ONE 2013, 8, e76167. [Google Scholar] [CrossRef] [PubMed]
- Bruggisser, O.T.; Schmidt-Entling, M.H.; Bacher, S. Effects of Vineyard Management on Biodiversity at Three Trophic Levels. Biol. Conserv. 2010, 143, 1521–1528. [Google Scholar] [CrossRef]
- Mainardis, M.; Boscutti, F.; Rubio Cebolla, M.D.M.; Pergher, G. Comparison between Flaming, Mowing and Tillage Weed Control in the Vineyard: Effects on Plant Community, Diversity and Abundance. PLoS ONE 2020, 15, e0238396. [Google Scholar] [CrossRef] [PubMed]
- MacLaren, C.; Bennett, J.; Dehnen-Schmutz, K. Management Practices Influence the Competitive Potential of Weed Communities and Their Value to Biodiversity in South African Vineyards. Weed Res. 2019, 59, 93–106. [Google Scholar] [CrossRef]
- Boscutti, F.; Sigura, M.; Gambon, N.; Lagazio, C.; Krüsi, B.O.; Bonfanti, P. Conservation Tillage Affects Species Composition but Not Species Diversity: A Comparative Study in Northern Italy. Environ. Manag. 2015, 55, 443–452. [Google Scholar] [CrossRef]
- Kellfri Chain Mulcher. Three-Point Linkage. Available online: https://www.kellfri.com/agriculture/grassland-machinery (accessed on 11 October 2023).
- Ventura Forestry Machines. DLB 410—DADU—Side Belt Mower. Available online: https://www.venturamaquinasforestales.com/en/products/mowers-of-blades-and-chains/dlb-410-dadu-side-belt-mower/ (accessed on 11 October 2023).
- Wessex International Forestry Rotary Cutter SM-66. Available online: https://www.wessexintl.com/machines/compact-tractor-attachments/rotary-slasher/sm-66/ (accessed on 11 October 2023).
- Gagliardi, L.; Fontanelli, M.; Frasconi, C.; Sportelli, M.; Antichi, D.; Tramacere, L.G.; Rallo, G.; Peruzzi, A.; Raffaelli, M. Assessment of a Chain Mower Performance for Weed Control under Tree Rows in an Alley Cropping Farming System. Agronomy 2022, 12, 2785. [Google Scholar] [CrossRef]
- R Core Team. R: A Language and Environment for Statistical Computing; R Foundation for Statistical Computing: Vienna, Austria, 2023. [Google Scholar]
- Bates, D.; Maechler, M.; Bolker, B.; Walker, S.; Christensen, R.H.B.; Singmann, H.; Dai, B.; Scheipl, F.; Grothendieck, G.; Green, P.; et al. Package ‘lme4′. Linear Mixed-Effects Models Using ‘Eigen’ and S4. R Package Version 1.1-35.1. Available online: https://cran.r-project.org/web/packages/lme4/lme4.pdf. (accessed on 26 November 2023).
- Wickham, H.; Chang, W.; Henry, L.; Pedersen, T.L.; Takahashi, K.; Wilke, C.; Woo, K.; Yutani, H.; Dunnington, D. Package ‘ggplot2′. Create Elegant Data Visualisations Using the Grammar of Graphics. R Package Version 1.1-35.1. Available online: https://cran.r-project.org/web/packages/ggplot2/ggplot2.pdf. (accessed on 27 November 2023).
- Berk, P.; Kelc, D.; Vindiš, P. Different Mechanical Control of Weeds under Vines to Reduce Ecological Footprint. Poljopr. Teh. 2023, 48, 46–55. [Google Scholar] [CrossRef]
- Garnier, E.; Navas, M.-L. A Trait-Based Approach to Comparative Functional Plant Ecology: Concepts, Methods and Applications for Agroecology. A Review. Agron. Sustain. Dev. 2012, 32, 365–399. [Google Scholar] [CrossRef]
- Hanson, B.D.; Roncoroni, J.; Hembree, K.J.; Molinar, R.; Elmore, C.L. Weed Control in Orchards and Vineyards. In Encyclopedia of Applied Plant Sciences; Academic Press: New York, NY, USA, 2016; pp. 479–484. [Google Scholar]
- Madge, D. Organic Farming: Vineyard Weed Management; Department of Primary Industries: Mildura, Australia, 2007; pp. 1–10. [Google Scholar]
- Lanini, W.T.; McGourty, G.T.; Thrupp, L.A. Weed Management for Organic Vineyards. In Organic Winegrowing Manual; University of California, Agriculture and Natural Resources: Davis, CA, USA, 2011; pp. 69–82. [Google Scholar]
- Manzone, M.; Demeneghi, M.; Marucco, P.; Grella, M.; Balsari, P. Technical Solutions for Under-Row Weed Control in Vineyards: Efficacy, Costs and Environmental Aspects Analysis. J. Agric. Eng. 2020, 51, 36–42. [Google Scholar] [CrossRef]
- Hu, Y.; Li, X.; Guo, A.; Yue, P.; Guo, X.; Lv, P.; Zhao, S.; Zuo, X. Species Diversity Is a Strong Predictor of Ecosystem Multifunctionality under Altered Precipitation in Desert Steppes. Ecol. Indic. 2022, 137, 108762. [Google Scholar] [CrossRef]
- Yao, Z.; Xin, Y.; Yang, L.; Zhao, L.; Ali, A. Precipitation and Temperature Regulate Species Diversity, Plant Coverage and Aboveground Biomass through Opposing Mechanisms in Large-Scale Grasslands. Front. Plant Sci. 2022, 13, 999636. [Google Scholar] [CrossRef]
- Duan, T.; Zhang, J.; Wang, Z. Responses and Indicators of Composition, Diversity, and Productivity of Plant Communities at Different Levels of Disturbance in a Wetland Ecosystem. Diversity 2021, 13, 252. [Google Scholar] [CrossRef]
- Van Huyssteen, L. Interpretation and Use of Penetrometer Data to Describe Soil Compaction in Vineyards. S. Afr. J. Enol. Vitic. 1983, 4, 59–65. [Google Scholar] [CrossRef][Green Version]
- Zyl, J.V.; Hoffman, E. Root development and the performance of grapevines in response to natural as well as man-made soil impediments. In Proceedings of the 21st GiESCO International Meeting, Thessaloniki, Greece, 23–28 June 2019. [Google Scholar]
- Badalíková, B. Influence of Soil Tillage on Soil Compaction. In Soil Engineering; Dedousis, A., Bartzanas, T., Eds.; Springer: Berlin/Heidelberg, Germany, 2010; Volume 20, pp. 19–30. [Google Scholar]
- Trejon Optimal. The New Generation of Chain Mulcher. Available online: https://s3-eu-west-1.amazonaws.com/static.wm3.se/sites/259/media/251446_File-1481192591.pdf?1544011159 (accessed on 10 January 2024).
- Limberger, F.W. Grass Trimmer. U.S. Patent 2,676,448, 27 April 1954. Available online: https://www.freepatentsonline.com/2676448.pdf (accessed on 10 January 2024).







| Tool | Working Elements | Tractor Attachment Configuration | Vine-Skipping Mechanism | Power Transmission | Working Width (cm) |
|---|---|---|---|---|---|
| Chain mower | Horizontal disc case with chains | Three-point hitch rear | Feeler | PTO1-powered independent hydraulic system | 32 |
| Motorized discs | Plow head with three concave discs | Three-point hitch rear | Feeler | PTO-powered independent hydraulic system | 45 |
| Blade weeder | Horizontal blade | Three-point hitch rear | Feeler | Tractor hydraulic system | 34 |
| Rotary star hoe | Double star-shaped hoe | Mid-mounted | Absent | Ground-driven | 36 |
| Factors | Weed Biomass Reduction | Weed Height Reduction | Weed Cover Reduction |
|---|---|---|---|
| p-value | p-value | p-value | |
| Year | 0.248 | 0.200 | *** |
| Treatment 1 | 0.242 | 0.155 | 0.132 |
| Tool | *** | *** | *** |
| Position | * | *** | - |
| Tool × Position | * | 0.109 | - |
| Year | Data | Weed Biomass | Weed Height | Weed Cover |
|---|---|---|---|---|
| Values (SE) | ||||
| g d.m.⋅m−2 | cm | % | ||
| 2021 | 23 April | 244.11 (3.91) | 55.49 (0.31) | 47.3 (0.45) |
| 1 July | 97.42 (3.50) | 19.19 (0.21) | 15.1 (0.27) | |
| 2022 | 14 April | 144.3 (3.56) | 26.33 (0.19) | 42.9 (0.54) |
| 4 July | 82.51 (3.0) | 19.37 (0.17) | 20.6 (0.30) | |
| 2023 | 27 April | 304.34 (4.94) | 32.54 (0.22) | 52.2 (0.50) |
| 3 July | 62.79 (2.38) | 18.04 (0.13) | 21.4 (0.33) | |
| Factors | SR | SDI | Evenness | Annual Species Coverage | Perennial Species Coverage |
|---|---|---|---|---|---|
| p-value | p-value | p-value | p-value | p-value | |
| Tool | 0.083 | 0.440 | 0.617 | 0.338 | 0.641 |
| Position | 0.082 | * | 0.282 | * | * |
| Year | ** | 0.559 | 0.393 | 0.265 | *** |
| Time of the Survey 1 | *** | 0.991 | 0.051 | * | *** |
| Treatment 2 | *** | *** | 0.394 | 0.229 | *** |
| Tool × Position | 0.132 | 0.227 | 0.351 | 0.523 | 0.132 |
| Factors | Soil Penetration Resistance | |
|---|---|---|
| 2022 | 2023 | |
| p-value | p-value | |
| Tool | * | *** |
| Depth | *** | *** |
| Time of the Survey 1 | *** | *** |
| Date | Soil Water Content (%) | |
|---|---|---|
| 14 April 2022 | Chain Mower | 11.9 |
| Motorized Discs | 12.9 | |
| Blade Weeder | 12.5 | |
| Rotary Star Hoe | 12.7 | |
| 8 September 2022 | Chain Mower | 15.9 |
| Motorized Discs | 16.7 | |
| Blade Weeder | 16.3 | |
| Rotary Star Hoe | 14.5 | |
| 27 April 2023 | Chain Mower | 8.8 |
| Motorized Discs | 9.4 | |
| Blade Weeder | 9.3 | |
| Rotary Star Hoe | 9.2 | |
| 27 September 2023 | Chain Mower | 7.9 |
| Motorized Discs | 6.2 | |
| Blade Weeder | 8.7 | |
| Rotary Star Hoe | 7.5 |
| 2022 | 2023 | |||
|---|---|---|---|---|
| Depth (cm) | Soil Penetration Resistance (kPa) | Soil Penetration Resistance (kPa) | ||
| Values (SE) | Values (SE) | |||
| 25.0 | 2949.44 (148.64) | a | 3520.9 (100.94) | b |
| 22.5 | 3112.71 (148.64) | a | 4304.38 (100.94) | a |
| 20.0 | 2772.33 (148.64) | ab | 4049.52 (100.94) | a |
| 17.5 | 2770.08 (148.64) | ab | 3549.29 (100.94) | b |
| 15.0 | 2195.00 (148.64) | bc | 3297.60 (100.94) | bc |
| 12.5 | 1766.65 (148.64) | cd | 3065.04 (100.94) | c |
| 10.0 | 1440.35 (148.64) | de | 2476.06 (100.94) | d |
| 7.5 | 955.85 (148.64) | ef | 1983.08 (100.94) | e |
| 5.0 | 433.23 (148.64) | fg | 1347.63 (100.94) | f |
| 2.5 | 210.85 (148.64) | g | 745.67 (100.94) | g |
| 0 | 113.33 (148.64) | g | 483.88 (100.94) | g |
| Tools | Working Speed (km h−1) | Total Turning Time (h ha−1) | Total Field Time (h ha−1) | Fuel Consumption (kg ha−1) |
|---|---|---|---|---|
| Chain Mower | 2.85 | 0.26 | 3.78 | 24.24 |
| Motorized Discs | 2.18 | 0.19 | 4.79 | 36.72 |
| Blade Weeder | 3.57 | 0.24 | 3.04 | 16.59 |
| Rotary Star Hoe | 7.69 | 0.15 | 1.45 | 5.00 |
Disclaimer/Publisher’s Note: The statements, opinions and data contained in all publications are solely those of the individual author(s) and contributor(s) and not of MDPI and/or the editor(s). MDPI and/or the editor(s) disclaim responsibility for any injury to people or property resulting from any ideas, methods, instructions or products referred to in the content. |
© 2024 by the authors. Licensee MDPI, Basel, Switzerland. This article is an open access article distributed under the terms and conditions of the Creative Commons Attribution (CC BY) license (https://creativecommons.org/licenses/by/4.0/).
Share and Cite
Gagliardi, L.; Luglio, S.M.; Peruzzi, A.; Fontanelli, M.; Frasconi, C.; Raffaelli, M. Comparative Analysis of the Performance of a Chain Mower and Tools That Perform Under-Row Weed Control with Tillage in the Vineyard. Agronomy 2024, 14, 206. https://doi.org/10.3390/agronomy14010206
Gagliardi L, Luglio SM, Peruzzi A, Fontanelli M, Frasconi C, Raffaelli M. Comparative Analysis of the Performance of a Chain Mower and Tools That Perform Under-Row Weed Control with Tillage in the Vineyard. Agronomy. 2024; 14(1):206. https://doi.org/10.3390/agronomy14010206
Chicago/Turabian StyleGagliardi, Lorenzo, Sofia Matilde Luglio, Andrea Peruzzi, Marco Fontanelli, Christian Frasconi, and Michele Raffaelli. 2024. "Comparative Analysis of the Performance of a Chain Mower and Tools That Perform Under-Row Weed Control with Tillage in the Vineyard" Agronomy 14, no. 1: 206. https://doi.org/10.3390/agronomy14010206
APA StyleGagliardi, L., Luglio, S. M., Peruzzi, A., Fontanelli, M., Frasconi, C., & Raffaelli, M. (2024). Comparative Analysis of the Performance of a Chain Mower and Tools That Perform Under-Row Weed Control with Tillage in the Vineyard. Agronomy, 14(1), 206. https://doi.org/10.3390/agronomy14010206

