Effects of Different Water Storage and Fertilizer Retention Substrates on Growth, Yield and Quality of Strawberry
Abstract
1. Introduction
2. Materials and Methods
2.1. Test Materials
2.2. Experimental Methods
2.3. Measurement Indicators and Methods
2.3.1. Physical and Chemical Properties of Substrate
2.3.2. Water Retention Analysis of Different Substrates
2.3.3. Utilization and Uptake of Nitrogen and Phosphorus of Substrates and Plants in Different Treatments
2.3.4. Plant Growth Index
2.3.5. Fruit Yield and Quality
2.4. Data Processing and Analysis
3. Results and Analysis
3.1. Analysis of Water Storage Performance of Different Substrates
3.1.1. Analysis of Physical Properties of Different Substrates
3.1.2. Analysis of Water Absorption Parameters of Different Substrates
Water Absorption Multiplicity, Percolation Rate and Water Content
Evaporation Rate
3.2. Analysis of Fertilizer Retention Effect of Different Substrates
3.2.1. Analysis of Chemical Properties of Different Substrates
3.2.2. Substrate Nitrogen and Phosphorus Utilization and Plant Nitrogen and Phosphorus Uptake in Different Treatments
Nitrogen and Phosphorus Utilization of Different Substrates
Nitrogen and Phosphorus Uptake by Plants under Different Treatments
3.2.3. Matrix Enzyme Activity under Different Treatments
3.3. Comprehensive Analysis
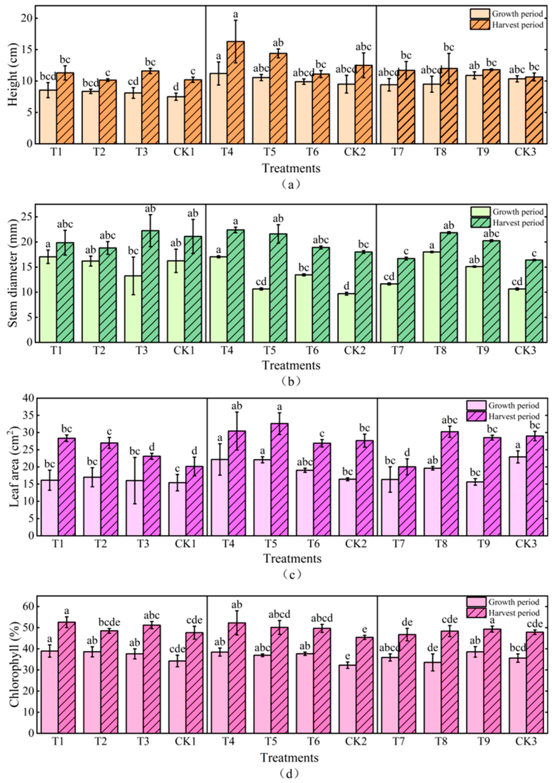
Analysis of Plant Growth Indexes of Different Treatments
3.4. Strawberry Yield and Fruit Quality
3.4.1. Strawberry Yield
3.4.2. Strawberry Quality
3.4.3. Strawberry Principal Component Analysis
Principal Component Analysis (PCA)
Comprehensive Evaluation of Strawberries Based on Principal Component Analysis
4. Discussion
4.1. Sicochemical Properties and Water Retention of Different Substrates
4.2. Nitrogen and Phosphorus Utilization and Plant Nitrogen and Phosphorus Uptake of Different Substrates
4.3. Matrix Enzyme Activity under Different Treatments
4.4. Effect of Different Substrates on Plant Growth
4.5. Effect of Different Substrates on Strawberry Yield and Fruit Quality
5. Conclusions
Author Contributions
Funding
Data Availability Statement
Conflicts of Interest
References
- Bai, S.; Zhu, R.; Yang, S.; Qin, L.; Huang, S. Nutrients Comparison and Screening of Different Strawberry Varieties. J. Shanxi Agric. Sci. 2020, 48, 64–67. [Google Scholar]
- Guthman, J.; Jiménez-Soto, E. Socioeconomic challenges of California strawberry production and disease resistant cultivars. Front. Sustain. Food Syst. 2021, 5, 764743. [Google Scholar] [CrossRef]
- Wang, M.; Xue, L.; Zhao, J.; Dai, H.; Lei, J. Status of World Strawberry Production and Trade. Chin. Fruit Tree 2021, 2, 104–108. [Google Scholar]
- Sui, Y.; Feng, Z.; Wang, C.; Song, K.; Zhang, J. Effects of water and fertilizer coupling on growth, yield and quality and water use efficiency of strawberry in greenhouse. J. Shandong Agric. Univ. (Nat. Sci.) 2011, 42, 369–375. [Google Scholar]
- Chojnacka, K.; Moustakas, K. Anaerobic digestate management for carbon neutrality and fertilizer use: A review of current practices and future opportunities. Biomass Bioenergy 2024, 180, 106991. [Google Scholar] [CrossRef]
- Yang, F.; Zhai, Y.; Zhang, X.; Qiao, J. Properties and application of vermicompost. ShangHai Veg. 2019, 2, 61–62. [Google Scholar]
- Truong, H.D.; Wang, C.H.; Trung Kien, T. Effects of continuously applied vermicompost on media properties, growth, yield, and fruit quality of two tomato varieties. Commun. Soil Sci. Plant Anal. 2017, 48, 370–382. [Google Scholar] [CrossRef]
- Zhang, Y.; Sun, C. Effects experiment of different compound wormcast organic fertilizer combination. Tianjin Agric. Sci. 2006, 2, 12–14. [Google Scholar]
- Baghbani-Arani, A.; Modarres-Sanavy, S.A.M.; Poureisa, M. Improvement the soil physicochemical properties and fenugreek growth using zeolite and vermicompost under water deficit conditions. J. Soil Sci. Plant Nutr. 2021, 21, 1213–1228. [Google Scholar] [CrossRef]
- Santos, J.A.; Gonzaga, M.L.S.; dos Santos, W.M.; Silva, A.J.D. Waterretention and availability in tropical soils of different texturesamended with biochar. Catena 2022, 219, 106616. [Google Scholar] [CrossRef]
- Lu, J.; Luo, Y.; Huang, J.; Hou, B.; Wang, B.; Ogino, K.; Zhao, J.; Si, H. Evaluating the effects of biochar on the hydraulic properties of acidified soil in China. J. Soils Sediments 2023, 23, 223–231. [Google Scholar] [CrossRef]
- Zhang, J.; Xu, Y.; Liu, Z. Study of the alleviate of earthworm manure on continuous cropping obstacle of cucumber growth in plastic greenhouse. North Hortic. 2010, 4, 58–60. [Google Scholar]
- Ren, Z.; Zhang, P.; Qie, Y.; Wang, L. Fertilizer requirements of coir substrate for tomato soilless seedlings. Jiangsu Agric. Sci. 2015, 43, 207–209. [Google Scholar]
- Yang, Y.; He, Z.; Lin, J.; Li, Y.; Chen, F. Effects of coconut bran application rate on soil physicochemical properties and sweet-potato yield. Acta Agron. Sin. 2023, 49, 2517–2527. [Google Scholar]
- Rekaby, S.A.; AL-Huqail, A.A.; Gebreel, M.; Alotaibi, S.S.; Ghoneim, A. Compost andhumic acid mitigate the salinity stress on quinoa (Chenopodium quinoa Willd L.) and improve some sandy soilproperties. J. Soil Sci. Plant Nutr. 2023, 23, 2651–2661. [Google Scholar] [CrossRef]
- Li, Y.; Liu, Q.; Liang, B.; Du, Z.; Li, J. Effects of humic acid type functional fertilizer on soil physical and chemical properties and apple tree growth in acidified orchard. Shandong Agric. Sci. 2020, 52, 92–97. [Google Scholar] [CrossRef] [PubMed]
- Zhang, Z.; Hang, Z.; Shan, R. Discussion of Humic Acid on Soil Amelioration. Environ. Sustain. Dev. 2013, 38, 109–111. [Google Scholar]
- Hou, L.; Zhang, W. Study on the Infl uence of Humic Acid to the Water and Fertilizer Retention Capacity of the Mixed Sandy Soil. Humic Acid 2015, 2, 25–28. [Google Scholar]
- Bigelow, C.; Moeller, A.; Nemitz, J.R. Soil surfactants and humic acid application affects water retention, repellency and localized dry spot in a sand based rootzone. Appl. Turfgrass Sci. 2013, 10, 14. [Google Scholar] [CrossRef]
- Su, B.; Yan, Z.; Li, Y.; Tang, S.; Pan, X.; Zhang, X.; Li, W.; Li, Y. Co-Compost Application of Magnesium Salts and Orthophosphate Adjusted Biochar and Cyanobacteria for Fixing Nitrogen, Improving Maize Quality, and Reducing Field Nutrient Loss. Agronomy 2022, 12, 2406. [Google Scholar] [CrossRef]
- Si, X.; Tang, S.; Zhao, X.; Wang, S.; Li, Y. Development of cyanobacteria organic selenium rich fertilizer and its application in common cabbage planting. J. Jiangsu Agric. 2021, 37, 340–347. [Google Scholar]
- Tang, S.; Zhao, X.; Si, X.; Wang, S.; Li, S.; Zhang, X.; Li, Y. Control effect of different magnesium/phosphorus salt additives on nitrogen loss in cyanobacteria composting. J. Agric. Environ. Sci. 2021, 40, 428–435. [Google Scholar]
- Lozano, D.; Ruiz, N.; Gavilán, P. Consumptive water use and irrigation performance of strawberries. Agric. Water Manag. 2016, 169, 44–51. [Google Scholar] [CrossRef]
- Wang, J.; Cai, H.; Li, H.; Chen, X. Study and evaluation of the calculation methods of reference crop evapotranspiration in Solar-heated greenhouse. J. Irrig. Drain. 2006, 2, 11–14. [Google Scholar]
- Chen, X.; Chen, W.; Mi, L.; Gao, Z.; Li, J.; Zhang, Z.; Qu, S. On regressive estimation for leaf area of strawberry. Chin. Agric. Sci. Bull. 2009, 25, 190–193. [Google Scholar]
- Xia, G.; Luo, S.; Jie, J.; Yu, J. Analysis of the factors affecting EC and pH value of substrates. J. Gansu Agric. Univ. 2021, 56, 35–40. [Google Scholar]
- Tang, Y.; Shen, Y.; Feng, H.; Wu, H.; Mao, R.; Ai, W.; Wu, Z. Study on primary physicochemical characteristics and nutrient adsorption of four plant cultivation substrates. Life Sci. Space Res. 2023, 36, 78–85. [Google Scholar] [CrossRef]
- Yang, Y.; Yu, X.; Ou, Y.; Hu, H. Comprehensive evaluation of walnut nutritional quality under different planting modes using principal component analysis and membership function method. For. Sci. Technol. 2022, 2, 33–39. [Google Scholar]
- Venkata, T.R.; Ravi, B.K.; Subba, L.R.; Srinivas, T.; Anand, K.A. Principal component analysis of yield and quality traits in Zinc rich landraces of rice (Oryza sativa L.). Electron. J. Plant Breed. 2022, 13, 1162–1169. [Google Scholar]
- Shi, S.; Wang, E.; Li, C.; Zhou, H.; Cai, M.; Cao, C.; Jiang, Y. Comprehensive evaluation of 17 qualities of 84 types of rice based on principal component analysis. Foods 2021, 10, 2883. [Google Scholar] [CrossRef]
- Liu, Y.; Luo, J.; Su, T.; Fan, R.; Lu, X.; Yan, S.; Zhang, Z. Physico-chemical properties of a soilless substrate and growth of pepper influenced by exogenous humic acid. J. Jiangsu Agric. 2016, 32, 647–655. [Google Scholar]
- Hill, J.; Drake, J.; Sleep, B. Comparisons of extensive green roof media in Southern Ontario. Ecol. Eng. 2016, 94, 418–426. [Google Scholar] [CrossRef]
- Wei, X.; Li, G.; Lv, L. Water and nutrient preservation of agri-Forest residues used as nursery matrix. Sci. Silvae Sin. 2015, 51, 26–34. [Google Scholar]
- Wei, L.; Huang, L.; Li, X.; Wang, Z.; Chen, W.; Huang, Q.; Huang, Y.; Liu, Z. Biochar medium could significantly improve banana seedling growth. Ecol. Environ. Sci. 2022, 31, 732–739. [Google Scholar]
- Martins, T.C.; Machado, R.; Alves-Pereira, I.; Ferreira, R.; Gruda, N.S. Coir-Based Growing Media with Municipal Compost and Biochar and Their Impacts on Growth and Some Quality Parameters in Lettuce Seedlings. Horticulturae 2023, 9, 105. [Google Scholar] [CrossRef]
- De la Rosa, J.M.; Campos, P.; Diaz-Espejo, A. Soil Biochar Application: Assessment of the Effects on Soil Water Properties, Plant Physiological Status, and Yield of Super-Intensive Olive Groves under Controlled Irrigation Conditions. Agronomy 2022, 12, 2321. [Google Scholar] [CrossRef]
- Bellitürk, K.; Fang, L.; Görres, J.H. Effect of post-production vermicompost and thermophilic compost blending on nutrient availability. Waste Manag. 2023, 155, 146–152. [Google Scholar] [CrossRef]
- Yu, S.; Xiao, M.; Yang, Z.; Yu, S. Effects of different cultivation substrates on growth of Dalbergia odorifera seedlings. Hubei Agric. Sci. 2023, 62, 98–102. [Google Scholar]
- Wang, D.; Gabriel, M.Z.; Legard, D.; Sjulin, T. Characteristics of growing media mixes and application for open-field production of strawberry (Fragaria ananassa). Sci. Hortic. 2016, 198, 294–303. [Google Scholar] [CrossRef]
- Skrzypczak, D.; Izydorczyk, G.; Taf, R.; Moustakas, K.; Chojnacka, K. Cellulose-based fertilizers for sustainable agriculture: Effective methods for increasing crop yield and soil health. Ind. Crops Prod. 2023, 205, 117500. [Google Scholar] [CrossRef]
- Sun, C.; Feng, M.; Liu, L.; Chen, W.; Chen, H.; Zhang, M.; Li, X. Study on the main Physico-chemical Properties of Coir Culture Medium in Hainan. Chin. J. Trop. Crops 2011, 32, 407–411. [Google Scholar]
- Ahmad, A.; Aslam, Z.; Belltrk, K.; Hussain, S.; Bibi, I. Soil application of wheat straw vermicompost enhances morpho-physiological attributes and antioxidant defense in wheat under drought stress. Front. Environ. Sci. 2022, 10, 894517. [Google Scholar] [CrossRef]
- Abbey, L.; Young, C.; Teitel-Payne, R.; Howe, K. Evaluation of proportions of vermicompost and coir in a medium for container-grown Swiss chard. Int. J. Veg. Sci. 2012, 18, 109–120. [Google Scholar] [CrossRef]
- Wang, X.; Li, Z.; Ma, W.; Zhang, F. Effects of fertilization on yield increase of wheat in different agro-ecological regions of China. Sci. Agric. Sin. 2010, 43, 2469–2476. [Google Scholar]
- Du, C.; Wu, D.; Li, J.; Bai, J.; Dai, K.; Li, J.; He, Y.; Li, J. Nitrogen application rate affects soil nitrogen and phosphorus loss and tobacco nitrogen utilization in the Fuxian Lake basin. Chin. Agric. Sci. Bull. 2023, 39, 80–87. [Google Scholar]
- Duan, Y.; Xu, M.; Gao, S.; Yang, X.; Huang, S.; Liu, H.; Wang, B. Nitrogen use efficiency in a wheat–corn cropping system from 15 years of manure and fertilizer applications. Field Crops Res. 2014, 157, 47–56. [Google Scholar] [CrossRef]
- Phares, C.A.; Amoakwah, E.; Danquah, A.; Akaba, S.; Frimpong, K.A.; Mensah, T.A. Improved soil physicochemical, biological properties and net income following the application of inorganic NPK fertilizer and biochar for maize production. Acta Ecol. Sin. 2022, 42, 289–295. [Google Scholar] [CrossRef]
- Panjaitan, E.; Sidauruk, L.; Manalu, C.J.; Pratiwi, S.; Sianturi, P. Impacts of agricultural waste and NPK fertilizers on soil chemical properties, production and phosphorus uptake of sweet corn plants on ultisol soil. IOP Conf. Ser. Earth Environ. Sci. 2022, 1005, 012031. [Google Scholar] [CrossRef]
- Zhao, H.; Wei, C.; Hou, J.; Zhu, J.; Zhang, S.; Hu, J. Acidic materials on mobilization of phosphorus in calcareous soil and its impact on phosphorus uptake of drip-irrigated cotton. Siols 2015, 47, 847–852. [Google Scholar]
- Wu, Q.; Zhang, J.; Liu, X.; Chang, T.; Wang, Q.; Shaghaleh, H.; Hamoud, Y.A. Effects of biochar and vermicompost on microorganisms and enzymatic activities in greenhouse soil. Front. Environ. Sci. 2023, 10, 1060277. [Google Scholar] [CrossRef]
- Li, S.; Sun, X.; Liu, Y.; Li, S.; Zhou, W.; Ma, Q.; Zhang, J. Remediation of Cd-contaminated soils by GWC application, evaluated in terms of Cd immobilization, enzyme activities, and pakchoi cabbage uptake. Environ. Sci. Pollut. Res. 2020, 27, 9979–9986. [Google Scholar] [CrossRef]
- Huang, L.; Yu, G.; Zou, F.; Long, X.; Wu, Q. Shift of soil bacterial community and decrease of metals bioavailability after immobilization of a multi-metal contaminated acidic soil by inorganic-organic mixed amendments: A field study. Appl. Soil Ecol. 2018, 130, 104–119. [Google Scholar] [CrossRef]
- Tavali, I.E.; Ok, H. Comparison of Heat-Treated and Unheated Vermicompost on Biological Properties of Calcareous Soil and Aloe Vera Growth under Greenhouse Conditions in a Mediterranean Climate. Agronomy 2022, 12, 2649. [Google Scholar] [CrossRef]
- Gopinath, K.A.; Saha, S.; Mina, B.L.; Pande, H.; Kundu, S.; Gupta, H.S. Influence of organic amendments on growth, yield and quality of wheat and on soil properties during transition to organic production. Nutr. Cycl. Agroecosyst. 2008, 82, 51–60. [Google Scholar] [CrossRef]
- Mejía, P.A.; Ruíz-Zubiate, J.L.; Correa-Bustos, A.; LópezLópez, M.J.; SalasSanjuán, M.D.C. Effects of Vermicompost Substrates and Coconut Fibers Used against the Background of Various Biofertilizers on the Yields of Cucumis melo L. and Solanum lycopersicum L. Horticulturae 2022, 8, 445. [Google Scholar] [CrossRef]
- Deng, X.; Wu, C.; Li, Q. Effects of Coconut Chaff on the Physicochemical and Enzyme Activity in Coastal Soil. Eng. Adv. 2021, 1, 16–20. [Google Scholar] [CrossRef]
- Lv, M.; Li, J.; Zhang, W.; Zhou, B.; Dai, J.; Zhang, C. Microbial activity was greater insoils added with herb residue vermicompost than chemicalfertilizer. Soil Ecol. Lett. 2020, 2, 209–219. [Google Scholar] [CrossRef]
- Xue, J.; Bakker, M.R.; Milin, S.; Graham, D. Enhancement in soil fertility, early plant growth and nutrition and mycorrhizal colonization by vermicompost application varies with native and exotic tree species. J. Soils Sediments 2022, 22, 1662–1676. [Google Scholar] [CrossRef]
- Arancon, N.Q.; Edwards, C.A.; Bierman, P.; Welch, C.; Metzger, J.D. Influences of vermicomposts on field strawberries: 1. Effects on growth and yields. Bioresour. Technol. 2004, 93, 145–153. [Google Scholar] [CrossRef]
- He, L.; Ding, X.; Jin, H.; Zhang, H.; Cui, J.; Chu, J.; Li, R.; Zhou, Q.; Yu, J. Comparison of rockwool and coir for greenhouse cucumber production: Chemical element, plant growth, and fruit quality. Heliyon 2022, 8, e10930. [Google Scholar] [CrossRef]
- Singh, S.; Dubey, R.K.; Kukal, S.S. Nitrogen supplemented cocopeat-based organic wastes as potting media mixtures for the growth and flowering of Chrysanthemum. Commun. Soil Sci. Plant Anal. 2016, 47, 1856–1865. [Google Scholar] [CrossRef]
- Khandaker, M.M.; Rahmat, S.; ALIAS, N.; Mohd, K.S.; Mat, N. The Effects of Different Growing Media on Growth, Flowering and Quality of Petunia grandiflora. J. Agric. Sci. 2019, 25, 373–383. [Google Scholar] [CrossRef]
- He, Q.; Peng, Y.; Cao, Y.; Jiang, Y.; Lu, G. Experiment on substrates for container seedling of Dalbergia odorifera. China For. Sci. Technol. 2012, 26, 92–95. [Google Scholar]
- Lei, G.; Zeng, W.; Nguyen, T.H.; Zeng, J.; Chen, H.; Kumar, S.A.; Gaiser, T.; Wu, J.; Huang, J. Relating soil-root hydraulic resistance variation to stomatal regulation in soil-plant water transport modeling. J. Hydrol. 2023, 617, 128879. [Google Scholar] [CrossRef]
- Zhang, H.; Wang, H.; Li, C.; Dong, Y.; Zhang, Y. Effect of exogenous pressure on growth and physiological characteristics of sweetpotato. J. Jiangsu Norm. Univ. (Nat. Sci. Ed.) 2018, 36, 36–43. [Google Scholar]
- Yang, X.; Li, C. Impacts of mechanical compaction on soil properties, growth of crops, soil-borne organisms and environment. Sci. Agric. Sin. 2008, 41, 2008–2015. [Google Scholar]
- Wheeldon, C.D.; Walker, C.H.; Josse, M.; Bennett, T. Wheat plants sense substrate volume and root density to proactively modulate shoot growth. Plant Cell Environ. 2021, 44, 1202–1214. [Google Scholar] [CrossRef] [PubMed]
- Costa, C.A.; Ramos, S.J.; Sampaio, R.A.; Guilherme, D.O.; Fernandes, L.A. Fibra de coco e resíduo de algodão para substrato de mudas de tomateiro. Hortic. Bras. 2007, 25, 387–391. [Google Scholar] [CrossRef]
- Freitas, G.A.; Silva, R.R.; Barros, H.B.; Vaz-de-Melo, A.; Abrahão, W.A.P. Produção de mudas de alface em função de diferentes combinações de substratos. Rev. Ciência Agronômica 2013, 44, 159–166. [Google Scholar] [CrossRef]
- Yang, L.; Zhong, N. The relationship between root system growth and soil physical property. J. Agric. Mech. Res. 2007, 8, 22–24, 34. [Google Scholar]
- Lu, W.; Qin, C.; Lu, Z.; Wang, X.; Wei, J. Effects of different matrix ratio on growth physiology and photosynthetic characteristics of ‘Orah’ seedlings. Chin. Fruit Tree 2023, 3, 79–84. [Google Scholar]
- Chen, K.; Zhang, W.; Li, L.; Su, Y.; Ou, Q. Effect of irrigation volume and biochar application on leaf chlorophyll content of greenhouse tomato plants. Agric. Mach. Agron. 2017, 52, 64–66. [Google Scholar]
- Luo, H.; He, L.; Du, B.; Wang, Z.; Zheng, A.; Lai, R.; Tang, X. Foliar application of selenium (Se) at heading stage induces regulation of photosynthesis, yield formation, and quality characteristics in fragrant rice. Photosynthetica 2019, 57, 1007–1014. [Google Scholar] [CrossRef]
- Angela, L.; Daniela, R.; Ludovica, L.; Maria, P.; Luigi, M.; Anna, R.R. Enhancement of Yield, Phytochemical Content and Biological Activity of a Leafy Vegetable (Beta vulgaris L. var. cycla) by Using Organic Amendments as an Alternative to Chemical Fertilizer. Plants 2023, 12, 569. [Google Scholar]
- Wang, X.; Zhao, F.; Zhang, G.; Zhang, Y.; Yang, L. Vermicompost improves tomato yield and quality and the biochemical properties of soils with different tomato planting history in a greenhouse study. Front. Plant Sci. 2017, 8, 1978. [Google Scholar] [CrossRef] [PubMed]
- Yuan, Y.; Kong, Q.; Zheng, Y.; Zheng, H.; Liu, Y.; Cheng, Y.; Zhang, X.; Li, Z.; You, X.; Li, Y. Co-application of biochar and pyroligneous acid improved peanut production and nutritional quality in a coastal soil. Environ. Technol. Innov. 2022, 28, 102886. [Google Scholar] [CrossRef]
- Soumya, A.; Usha, C. Impact of different growth media, nutrient sources and nutrient levels on yield and quality of tomato. Trends Biosci. 2015, 8, 3953–3958. [Google Scholar]
- Ullah, A.; Ali, M.; Shahzad, K.; Ahmad, F.; Lqbal, S.; Rahman, M.H.U.; Ahmad, S.; Lqbai, M.M.; Danish, S.; Fahad, S. Impact of Seed Dressing and Soil Application of Potassiu on Cotton Plants Productivity and Fiber Quality. Plants 2020, 9, 1444. [Google Scholar] [CrossRef]
- Tuckeldoe, R.B.; Maluleke, M.K.; Adriaanse, P. The effect of coconut coir substrate on the yield and nutritional quality of sweet peppers (Capsicum annuum) varieties. Sci. Rep. 2023, 13, 2742. [Google Scholar] [CrossRef]
- Naveen, N.E.; Panneerselvam, S.; Anand, S.R.; Sathymorthi, K.; Meena, S. Effect of organic manures on the yield and quality of green chillies (Capsicum annuum L.). Res. Crops 2009, 10, 621–625. [Google Scholar]







| Treatments | Waste Substrate | Organic Fertilizer | Vermicompost | Coconut Bran | Biochar | Humic Acid | 
|---|---|---|---|---|---|---|
| T1 | 2 | 1.1 | 1 | 0.05 | - | - | 
| T2 | 2 | 1.1 | 1 | - | 0.05 | - | 
| T3 | 2 | 1.1 | 1 | - | - | 0.01 | 
| CK1 | 2 | 1.1 | 1 | - | - | - | 
| T4 | 2 | 1.1 | 0.5 | 0.1 | - | - | 
| T5 | 2 | 1.1 | 0.5 | - | 0.1 | - | 
| T6 | 2 | 1.1 | 0.5 | - | - | 0.02 | 
| CK2 | 2 | 1.1 | 0.5 | - | - | - | 
| T7 | 2 | 1.1 | 1.5 | 0.15 | - | - | 
| T8 | 2 | 1.1 | 1.5 | - | 0.15 | - | 
| T9 | 2 | 1.1 | 1.5 | - | - | 0.05 | 
| CK3 | 2 | 1.1 | 1.5 | - | - | - | 
| Treatments | Bulk Density (g/cm3) | Air-Water Ratio | 
|---|---|---|
| T1 | 0.50 ± 0.01 a | 0.21 ± 0.01 e | 
| T2 | 0.45 ± 0.01 bcd | 0.22 ± 0.00 g | 
| T3 | 0.48 ± 0.01 abc | 0.24 ± 0.00 d | 
| CK1 | 0.49 ± 0.01 ab | 0.23 ± 0.00 d | 
| T4 | 0.41 ± 0.02 d | 0.18 ± 0.01 f | 
| T5 | 0.41 ± 0.01 d | 0.19 ± 0.01 f | 
| T6 | 0.43 ± 0.01 d | 0.27 ± 0.01 c | 
| CK2 | 0.45 ± 0.01 abcd | 0.32 ± 0.01 b | 
| T7 | 0.42 ± 0.05 d | 0.34 ± 0.01 a | 
| T8 | 0.44 ± 0.01 cd | 0.28 ± 0.00 c | 
| T9 | 0.48 ± 0.01 abc | 0.23 ± 0.00 d | 
| CK3 | 0.50 ± 0.02 a | 0.35 ± 0.01 a | 
| Treatments | pH | EC (mS/cm) | Total Nutrients (%) | 
|---|---|---|---|
| T1 | 6.41 ± 0.22 bcd | 1.05 ± 0.06 cd | 1.65 | 
| T2 | 6.60 ± 0.02 ab | 1.19 ± 0.09 abcd | 1.90 | 
| T3 | 6.71 ± 0.22 a | 1.10 ± 0.05 cd | 1.88 | 
| CK1 | 6.25 ± 0.09 cd | 1.03 ± 0.13 cd | 1.66 | 
| T4 | 6.52 ± 0.02 abc | 1.05 ± 0.09 cd | 2.66 | 
| T5 | 6.60 ± 0.24 ab | 1.48 ± 0.12 a | 2.48 | 
| T6 | 6.35 ± 0.03 bcd | 1.30 ± 0.11 abc | 2.41 | 
| CK2 | 6.27 ± 0.04 cd | 1.14 ± 0.06 bcd | 2.34 | 
| T7 | 6.73 ± 0.17 a | 1.13 ± 0.12 bcd | 2.24 | 
| T8 | 6.67 ± 0.04 a | 0.92 ± 0.12 d | 1.81 | 
| T9 | 6.57 ± 0.11 ab | 1.44 ± 0.07 ab | 1.86 | 
| CK3 | 6.25 ± 0.06 d | 1.25 ± 0.05 abcd | 1.80 | 
| Treatments | NUE (%) | PUE (%) | 
|---|---|---|
| T1 | 49.47 ± 0.62 ab | 54.79 ± 0.25 g | 
| T2 | 46.80 ± 0.59 cd | 58.15 ± 0.15 b | 
| T3 | 48.14 ± 1.45 abcd | 56.16 ± 0.16 f | 
| CK1 | 48.40 ± 2.57 abcd | 57.80 ± 0.79 bc | 
| T4 | 50.20 ± 0.23 a | 57.71 ± 0.15 bc | 
| T5 | 49.99 ± 0.18 a | 55.32 ± 0.14 g | 
| T6 | 46.20 ± 0.39 de | 59.06 ± 0.12 a | 
| CK2 | 47.45 ± 0.99 bcd | 57.43 ± 0.31 cd | 
| T7 | 48.62 ± 1.29 abc | 50.33 ± 0.31 h | 
| T8 | 44.22 ± 1.85 e | 56.85 ± 0.13 de | 
| T9 | 46.63 ± 0.57 cd | 55.33 ± 0.30 g | 
| CK3 | 49.39 ± 0.14 ab | 56.23 ± 0.23 ef | 
| Treatments | TN (mg/g) | TP (mg/g) | 
|---|---|---|
| T1 | 4.02 ± 0.04 e | 8.54 ± 0.04 g | 
| T2 | 3.79 ± 0.02 f | 6.90 ± 0.04 i | 
| T3 | 4.25 ± 0.06 d | 7.87 ± 0.01 h | 
| CK1 | 2.72 ± 0.06 k | 4.29 ± 0.02 k | 
| T4 | 5.19 ± 0.02 a | 9.06 ± 0.03 d | 
| T5 | 4.93 ± 0.03 b | 10.72 ± 0.09 a | 
| T6 | 4.50 ± 0.02 c | 6.74 ± 0.04 j | 
| CK2 | 2.87 ± 0.07 j | 8.64 ± 0.04 f | 
| T7 | 3.10 ± 0.03 i | 6.97 ± 0.04 i | 
| T8 | 3.40 ± 0.05 h | 9.63 ± 0.02 c | 
| T9 | 3.62 ± 0.02 g | 10.08 ± 0.02 b | 
| CK3 | 1.46 ± 0.06 l | 8.84 ± 0.05 e | 
| Treatments | Average Fruit Weight | Maximum Fruit Weight | Yield per Plant | Total Yield kg/hm2 | 
|---|---|---|---|---|
| g | ||||
| T1 | 7.07 ± 0.03 de | 17.10 ± 0.13 d | 110.14 ± 1.15 f | 3194.28 ± 38.49 h | 
| T2 | 6.22 ± 0.03 e | 20.25 ± 0.30 c | 125.85 ± 3.86 e | 3651.14 ± 27.35 g | 
| T3 | 6.50 ± 0.03 e | 19.90 ± 0.16 c | 133.21 ± 7.22 e | 3999.41 ± 17.22 f | 
| CK1 | 7.63 ± 0.03 de | 17.12 ± 0.18 d | 132.57 ± 2.79 e | 3848.47 ± 10.14 f | 
| T4 | 11.89 ± 1.59 bc | 23.04 ± 1.52 b | 192.82 ± 3.97 b | 5121.54 ± 49.63 c | 
| T5 | 15.51 ± 1.00 a | 27.23 ± 0.91 a | 180.84 ± 2.57 c | 4885.55 ± 113.44 d | 
| T6 | 11.49 ± 0.66 bc | 24.46 ± 1.32 b | 187.57 ± 2.79 bc | 5319.21 ± 79.00 b | 
| CK2 | 12.61 ± 0.76 b | 19.98 ± 0.52 c | 159.50 ± 2.29 d | 4523.16 ± 64.82 e | 
| T7 | 10.81 ± 0.55 c | 16.61 ± 0.68 d | 192.96 ± 6.83 b | 5472.16 ± 193.45 b | 
| T8 | 10.78 ± 0.56 c | 18.92 ± 0.18 c | 215.92 ± 2.43 a | 6123.32 ± 68.88 a | 
| T9 | 8.55 ± 1.02 d | 12.22 ± 0.66 e | 219.71 ± 3.93 a | 6230.56 ± 111.41 a | 
| CK3 | 6.94 ± 0.58 e | 12.99 ± 1.04 e | 179.73 ± 4.32 c | 5097.33 ± 122.55 c | 
| Treatments | Soluble Solids | Soluble Sugar | Titratable Acid | Reducing Sugar | Vitamin C mg/100 g | Solid–Acid Ratio | 
|---|---|---|---|---|---|---|
| % | ||||||
| T1 | 11.85 ± 0.35 a | 2.35 ± 0.21 e | 0.52 ± 0.06 d | 1.18 ± 0.11 e | 19.22 ± 0.66 b | 22.96 ± 3.18 ab | 
| T2 | 11.30 ± 0.85 ab | 7.10 ± 0.36 a | 0.91 ± 0.07 a | 3.55 ± 0.18 a | 21.87 ± 0.44 a | 12.50 ± 1.90 d | 
| T3 | 9.00 ± 0.28 b | 7.33 ± 0.16 a | 0.57 ± 0.08 cd | 3.67 ± 0.08 a | 12.41 ± 1.47 cd | 16.05 ± 1.70 bcd | 
| CK1 | 8.75 ± 0.92 b | 7.29 ± 0.10 a | 0.62 ± 0.05 cd | 3.64 ± 0.05 a | 18.83 ± 0.26 b | 14.22 ± 0.35 cd | 
| T4 | 13.15 ± 1.48 a | 5.96 ± 0.08 b | 0.57 ± 0.03 cd | 2.98 ± 0.04 b | 19.97 ± 0.81 ab | 23.17 ± 3.75 ab | 
| T5 | 13.55 ± 2.33 a | 5.68 ± 0.37 b | 0.55 ± 0.04 cd | 2.84 ± 0.18 b | 13.50 ± 0.57 c | 24.88 ± 6.16 a | 
| T6 | 11.90 ± 0.99 a | 7.52 ± 0.85 a | 0.59 ± 0.01 cd | 3.76 ± 0.42 a | 8.43 ± 1.56 f | 20.16 ± 1.20 abc | 
| CK2 | 11.40 ± 1.27 a | 4.59 ± 0.16 c | 0.67 ± 0.08 bc | 2.30 ± 0.08 c | 12.16 ± 1.36 cd | 17.35 ± 4.20 bcd | 
| T7 | 13.10 ± 1.13 a | 6.26 ± 0.34 b | 0.75 ± 0.02 b | 3.13 ± 0.17 b | 11.02 ± 0.14 de | 17.57 ± 1.02 bcd | 
| T8 | 12.95 ± 0.35 a | 3.26 ± 0.12 d | 0.64 ± 0.01 bcd | 1.63 ± 0.06 d | 9.86 ± 0.18 ef | 20.24 ± 0.11 abc | 
| T9 | 11.50 ± 0.85 ab | 5.83 ± 0.12 b | 0.63 ± 0.03 bcd | 2.92 ± 0.06 b | 11.14 ± 0.42 de | 18.31 ± 2.17 abcd | 
| CK3 | 12.05 ± 0.49 a | 4.73 ± 0.13 c | 0.58 ± 0.07 cd | 2.37 ± 0.06 c | 9.27 ± 0.06 ef | 20.85 ± 1.65 abc | 
| Principal Component | Eigenvalue | Contribution Rate (%) | Accumulated Contribution Rate (%) | 
|---|---|---|---|
| 1 | 3.745 | 37.452 | 37.452 | 
| 2 | 2.285 | 22.855 | 60.307 | 
| 3 | 1.827 | 18.274 | 78.581 | 
| 4 | 1.056 | 10.555 | 89.136 | 
| Indicators | Principal Component 1 | Principal Component 2 | Principal Component 3 | Principal Component 4 | 
|---|---|---|---|---|
| Total Yield | 0.965 | −0.05 | 0.157 | 0.057 | 
| Yield per plant | 0.934 | −0.07 | 0.251 | 0.036 | 
| Vitamin C | −0.821 | −0.046 | 0.099 | 0.276 | 
| Reducing Sugars | 0.001 | 0.963 | 0.022 | 0.143 | 
| Soluble Sugar | 0.001 | 0.963 | 0.022 | 0.144 | 
| Maximum Fruit Weight | −0.241 | 0.325 | 0.835 | −0.13 | 
| Average fruit weight | 0.317 | −0.011 | 0.825 | −0.118 | 
| Soluble solids | 0.359 | −0.464 | 0.687 | 0.129 | 
| Solid–Acid Ratio | 0.17 | −0.459 | 0.572 | −0.553 | 
| Titratable acid | −0.056 | 0.173 | −0.094 | 0.965 | 
| Treatments | y1 | y2 | y3 | y4 | Y | Order | 
|---|---|---|---|---|---|---|
| T1 | −0.56 | −0.885 | −1.605 | −0.175 | −0.815 | 9 | 
| T2 | −1.93 | 1.505 | 1.345 | −1.865 | −0.37 | 7 | 
| T3 | −1.915 | −0.655 | −0.015 | −0.685 | −1.055 | 11 | 
| CK1 | −2.01 | −0.69 | 1.26 | −1.175 | −0.9 | 10 | 
| T4 | 1.28 | 0.65 | 0.67 | 1.225 | 0.99 | 1 | 
| T5 | 1.95 | 0.5 | −0.56 | 1.15 | 0.965 | 2 | 
| T6 | 0.505 | 0.39 | −0.2 | 0.665 | 0.35 | 4 | 
| CK2 | 0.52 | −0.405 | −0.345 | −0.815 | −0.055 | 6 | 
| T7 | 0.335 | 0.585 | 0.36 | −0.105 | 0.35 | 4 | 
| T8 | 2.03 | −0.05 | −0.745 | 0.62 | 0.76 | 3 | 
| T9 | 0.2 | −0.355 | 0.75 | 0.625 | 0.22 | 5 | 
| CK3 | −0.395 | −0.59 | −0.915 | 0.53 | −0.445 | 8 | 
| Disclaimer/Publisher’s Note: The statements, opinions and data contained in all publications are solely those of the individual author(s) and contributor(s) and not of MDPI and/or the editor(s). MDPI and/or the editor(s) disclaim responsibility for any injury to people or property resulting from any ideas, methods, instructions or products referred to in the content. | 
© 2024 by the authors. Licensee MDPI, Basel, Switzerland. This article is an open access article distributed under the terms and conditions of the Creative Commons Attribution (CC BY) license (https://creativecommons.org/licenses/by/4.0/).
Share and Cite
Tang, X.; Li, Y.; Fang, M.; Li, W.; Hong, Y.; Li, Y. Effects of Different Water Storage and Fertilizer Retention Substrates on Growth, Yield and Quality of Strawberry. Agronomy 2024, 14, 205. https://doi.org/10.3390/agronomy14010205
Tang X, Li Y, Fang M, Li W, Hong Y, Li Y. Effects of Different Water Storage and Fertilizer Retention Substrates on Growth, Yield and Quality of Strawberry. Agronomy. 2024; 14(1):205. https://doi.org/10.3390/agronomy14010205
Chicago/Turabian StyleTang, Xiaofei, Yonghui Li, Mengying Fang, Wei Li, Yong Hong, and Yucheng Li. 2024. "Effects of Different Water Storage and Fertilizer Retention Substrates on Growth, Yield and Quality of Strawberry" Agronomy 14, no. 1: 205. https://doi.org/10.3390/agronomy14010205
APA StyleTang, X., Li, Y., Fang, M., Li, W., Hong, Y., & Li, Y. (2024). Effects of Different Water Storage and Fertilizer Retention Substrates on Growth, Yield and Quality of Strawberry. Agronomy, 14(1), 205. https://doi.org/10.3390/agronomy14010205
 
        


 
       