The Effects of Biochar-Based Organic Fertilizer and Mineral Fertilizer on Soil Quality, Beet Yield, and Sugar Yield
Abstract
:1. Introduction
2. Materials and Methods
2.1. Experimental Design and Material
2.2. Determination of the Properties of Soil and Biochar
2.3. Sugar Beet Sampling and Measurement
2.4. Dry Matter Accumulation
2.5. Chlorophyll Fluorescence Parameters
2.6. The Contents of Photosynthetic Pigments
2.7. Activity of RuBP Carboxylase
2.8. Root Activity
2.9. Contents of NO3−-N in the 0–60 cm Soil Layer
2.10. The Activity of Soil Enzyme
2.11. Yield, Sugar Content, and Partial Factor Productivity of N
2.12. Statistical Analysis
3. Results
3.1. Soil Physical and Chemical Properties
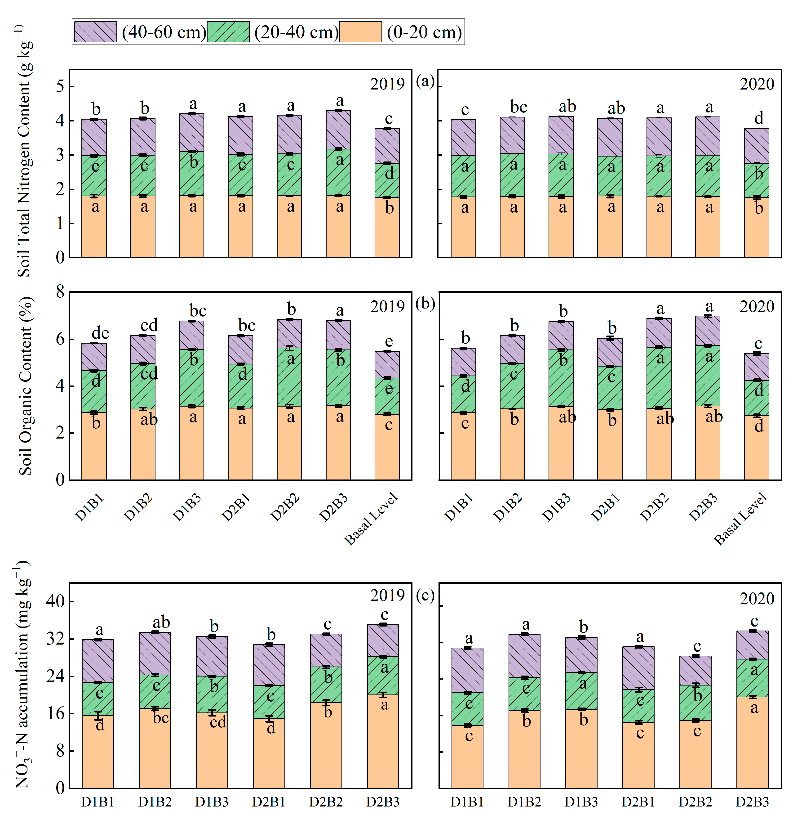
3.2. Soil Nutrients in the 0–60 cm Soil Layer
3.3. Activity of Soil Enzyme
3.4. Root Activity of Sugar Beet
3.5. Dry Matter and Root-To-Shoot Ratio
3.6. Photosynthetic System of Sugar Beet
3.7. Sugar Content, Sugar Yield of Sugar Beet, and Partial Factor Productivity of N
3.8. Test of Interagent Effects on Soil pH, Soil Electrical Conductivity, Water Content, Soil Biochar Flux, Yield, Sugar Content, Sugar Yield, and PFPN
4. Discussion
5. Conclusions
Author Contributions
Funding
Data Availability Statement
Conflicts of Interest
References
- Geng, G.; Yang, J. Sugar Beet Production and Industry in China. Sugar Tech. 2015, 17, 13–21. [Google Scholar] [CrossRef]
- Curcic, Z.; Ciric, M.; Nagl, N.; Taski-Ajdukovic, K. Effect of sugar beet genotype, planting and harvesting dates and their interaction on sugar yield. Front. Plant Sci. 2018, 9, 1041. [Google Scholar] [CrossRef] [PubMed]
- Soleymani, A.; Shahrajabian, M.H. Effects of planting dates and row distance on sugar content, root yield and solar radiation absorption in sugar beet at different plant densities. Rom. Agric. Res. 2017, 34, 145–155. [Google Scholar]
- Reinsdorf, E.; Koch, H.J.; Loel, J.; Hoffmann, C.M. Yield of bolting winter beet (Beta vulgaris L.) as affected by plant density, genotype and environment. Eur. J. Agron 2014, 54, 1–8. [Google Scholar] [CrossRef]
- Li, Q.; Li, Z.; Zhi, Y.; Huang, Y.; Huang, H. Analysis of optimum planting density of sugar beet in Tongliao region. Chin. Sugar 2014, 1, 48–49+52. [Google Scholar] [CrossRef]
- Yan, W.; Li, G.; Li, Z.; Cao, Y.; Zhang, S. Effects of nitrogen application and density on photosynthetic characteristics and root tuber yield in fully mulched dry beet. Crops 2019, 4, 100–106. [Google Scholar] [CrossRef]
- Wang, P.; Wang, Z.K.; Sun, X.C. Interaction effect of nitrogen form and planting density on plant growth and nutrient uptake in maize seedlings. J. Integr. Agric. 2019, 18, 1120–1129. [Google Scholar] [CrossRef]
- Sigdel, S.; Chatterjee, A.; Berti, M.; Wick, A.; Gasch, C. Interseeding cover crops in sugar beet. Field Crops Res. 2021, 263, 108079. [Google Scholar] [CrossRef]
- Milford, G.F.J.; Pocock, T.O.; Jaggard, K.W.; Biscoe, P.V.; Armstrong, M.J.; Last, P.J.; Goodman, P.J. An analysis of leaf growth in sugar beet. Ann. Appl. Biol. 1985, 107, 335–347. [Google Scholar] [CrossRef]
- Dutton, J.; Huijbregts, T. Root quality and processing. In Sugar Beet, 2nd ed.; Draycott, A.P., Ed.; Blackwell Publishing: Oxford, UK, 2006; pp. 409–442. [Google Scholar] [CrossRef]
- Fueki, N.; Sato, K.; Takeuchi, H.; Sato, H.; Nakatsu, S.; Kato, J. Prediction of nitrogen uptake by sugar beet (Beta vulgaris L.) by scoring organic matter and nitrogen management (N-score), in Hokkaido, Japan. Soil Sci. Plant Nutr. 2011, 57, 411–420. [Google Scholar] [CrossRef]
- Li, Z.H.; Wang, M.; Yang, Y.; Zhao, S.X.; Zhang, Y.L.; Wang, X.D. Effect of composted manure plus chemical fertilizer application on aridity response and productivity of apple trees on the loess plateau, China. Arid. Land Res. Manag. 2017, 31, 388–403. [Google Scholar] [CrossRef]
- Wang, J.L.; Wang, S.Z. Preparation, modification and environmental application of biochar: A review. J. Clean Prod. 2019, 227, 1002–1022. [Google Scholar] [CrossRef]
- Ullah, S.; Ali, I.; Liang, H.; Zhao, Q.; Wei, S.Q.; Muhammad, I.; Huang, M.; Nawab Ali, A.; Jiang, L.G. An approach to sustainable agriculture by untangling the fate of contrasting nitrogen sources in double-season rice grown with and without biochar. Global Change Biol. Bioenergy 2021, 13, 382–392. [Google Scholar] [CrossRef]
- Adetunji, A.T.; Lewu, F.B.; Mulidzi, R.; Ncube, B. The biological activities of beta-glucosidase, phosphatase and urease as soil quality indicators: A review. J. Soil Sci. Plant Nutr. 2017, 17, 794–807. [Google Scholar] [CrossRef]
- Mohammadi, K. Soil microbial activity and biomass as influenced by tillage and fertilization in wheat production. American-Eurasian J. Agric. Environ. Sci. 2011, 10, 330–337. [Google Scholar]
- Meyer, A.H.; Wooldridge, J.; Dames, J.F. Variation in urease and β-glucosidase activities with soil depth and root density in a ‘Cripp’s Pink’/M7 apple orchard under conventional and organic management. South Afr. J. Plant Soil 2015, 32, 227–234. [Google Scholar] [CrossRef]
- Asai, H.; Samson, B.K.; Stephan, H.M.; Songyikhangsuthor, K.l.; Homma, K.; Kiyono, Y.; Inoue, Y.; Shiraiwa, T.; Horie, T. Biochar amendment techniques for upland rice production in Northern Laos 1. Soil physical properties, leaf SPAD and grain yield. Field Crops Res. 2009, 111, 81–84. [Google Scholar] [CrossRef]
- Chatzistathis, T.; Kavvadias, V.; Sotiropoulos, T.; Loannis, E.P. Organic fertilization and tree orchards. Agriculture 2021, 11, 692. [Google Scholar] [CrossRef]
- Selvi, D.; Santhy, P.; Dhakshinamoorthy, M.J. Effect of inorganics alone and in combination with farmyard manure on physical properties and productivity of vertic haplustepts under long-term fertilization. J. Indian Soc. Soil Sci. 2005, 53, 302–307. [Google Scholar]
- Dhaliwal, S.S.; Naresh, R.K.; Mandal, A.; Walia, M.K.; Gupta, R.K.; Singh, R.; Dhaliwal, M.K. Effect of manures and fertilizers on soil physical properties, build-up of macro and micronutrients and uptake in soil under different cropping systems: A review. J. Plant Nutr. 2019, 42, 2873–2900. [Google Scholar] [CrossRef]
- Milosevic, T.; Milosevic, N. The effect of zeolite, organic and inorganic fertilizers on soil chemical properties, growth and biomass yield of apple trees. Plant Soil Environ. 2009, 55, 528–535. [Google Scholar] [CrossRef]
- Rafael, R.B.A.; Fernandez-Marcos, M.L.; Cocco, S.; Ruello, M.L.; Fornasier, F.; Corti, G. Benefits of biochars and NPK fertilizers for soil quality and growth of cowpea (Vigna unguiculata L. Walp.) in an acid arenosol. Pedosphere 2019, 29, 311–333. [Google Scholar] [CrossRef]
- Chen, J.T.; Wang, X.R.; Liu, X.Y.; Wang, X.F.; Zhao, J.N.; Zhang, H.; Wang, Y.B.; Li, C.F. Beneficial Effects of Biochar-Based Organic Fertilizers on Nitrogen Assimilation, Photosynthesis, and Sucrose Synthesis of Sugar Beet (Beta vulgaris L.). Int. J. Plant Prod. 2022, 16, 755–768. [Google Scholar] [CrossRef]
- Welsh, C.; Tenuta, M.; Flaten, D.N.; Thiessen-Martens, J.R.; Entz, M.H. High Yielding Organic Crop Management Decreases Plant-Available but Not Recalcitrant Soil Phosphorus. Agron. J. 2009, 101, 1027–1035. [Google Scholar] [CrossRef]
- He, P.; Yang, L.P.; Xu, X.P.; Zhao, S.C.; Chen, F.; Li, S.T.; Tu, S.H.; Jin, J.Y.; Johnston, A.M. Temporal and spatial variation of soil available potassium in China (1990–2012). Field Crops Res. 2015, 173, 49–56. [Google Scholar] [CrossRef]
- Khan, N.l.; Clark, I.; Sanchez-Monedero, M.A.; Shea, S.; Meier, S.; Qi, F.J.; Kookana, R.S.; Bolan, N. Physical and chemical properties of biochars co-composted with biowastes and incubated with a chicken litter compost. Chemosphere 2016, 142, 14–23. [Google Scholar] [CrossRef] [PubMed]
- Zhang, P.F.; Yang, F.F.; Zhang, H.; Liu, L.; Liu, X.Y.; Chen, J.T.; Wang, X.; Wang, Y.B.; Li, C.F. Beneficial effects of biochar-based organic fertilizer on nitrogen assimilation, antioxidant capacities, and photosynthesis of sugar beet (Beta vulgaris L.) under saline-alkaline stress. Agronomy 2020, 10, 1562. [Google Scholar] [CrossRef]
- Lichtenthaler, H.K.; Wellburn, A.R. Determinations of total carotenoids and chlorophylls a and b of leaf extracts in different solvents. Biochem. Soc. Trans. 1983, 11, 591–592. [Google Scholar] [CrossRef]
- Qi, W.Z.; Liu, H.H.; Dong, S.T.; Zhao, B.Q.; So, H.B.; Li, G.; Liu, H.D.; Zhang, J.W.; Zhao, B. Morphological and physiological characteristics of corn (Zea mays L.) roots from cultivars with different yield potentials. Eur. J. Agron. 2012, 38, 54–63. [Google Scholar] [CrossRef]
- Dong, Q.; Dang, T.; Guo, S.; Hao, M. Effect of different mulching measures on nitrate nitrogen leaching in spring maize planting system in south of Loess Plateau. Agric. Water Manag. 2019, 213, 654–658. [Google Scholar] [CrossRef]
- Kandeler, E.; Gerber, H. Short-term assay of soil urease activity using colorimetric determination of ammonium. Biol. Fert. Soils 1988, 6, 68–72. [Google Scholar] [CrossRef]
- Marx, M.C.; Wood, M.; Jarvis, S.C. A microplate fluorimetric assay for the study of enzyme diversity in soils. Soil Biol. Biochem. 2001, 33, 1633–1640. [Google Scholar] [CrossRef]
- Stemmer, M. Multiple-substrate enzyme assays: A useful approach for profiling enzyme activity in soils? Soil Biol. Biochem. 2004, 36, 519–527. [Google Scholar] [CrossRef]
- Perucci, P.; Casuci, C.; Dumontet, S. An improved method to evaluate the o-diphenol oxidase activity of soil. Soil Biol. Biochem. 2000, 32, 1927–1933. [Google Scholar] [CrossRef]
- Shi, Z.J.; Lu, Y.; Xu, Z.G.; Fu, S.L. Enzyme activities of urban soils under different land use in the Shenzhen city, China. Plant Soil Environ. 2008, 54, 341–346. [Google Scholar] [CrossRef]
- Martinsen, V.; Alling, V.; Nurida, N.L.; Mulder, J.; Hale, S.E.; Ritz, C.; Rutherford, D.W.; Heikens, A.; Breedveld, G.D.; Cornelissen, G. pH effects of the addition of three biochars to acidic Indonesian mineral soils. Soil Sci. Plant Nutr. 2015, 61, 821–834. [Google Scholar] [CrossRef]
- Tang, J.W.; Bolstad, P.V.; Martin, J.G. Soil carbon fluxes and stocks in a Great Lakes forest chronosequence. Global Change Biol. 2009, 15, 145–155. [Google Scholar] [CrossRef]
- Johnson, M.S.; Webster, C.; Jassal, R.S.; Hawthorne, I.; Black, T.A. Biochar influences on soil CO2 and CH4 fluxes in response to wetting and drying cycles for a forest soil. Sci. Rep. 2017, 7, 6780. [Google Scholar] [CrossRef] [PubMed]
- Lech, M.; Fronczyk, J.; Radziemska, M.; Sieczka, A.; Sieczka, A.; Sieczka, A.; Sieczka, A. Monitoring of total dissolved solids on agricultural lands using electrical conductivity measurements. Appl. Ecol. Environ. Res. 2016, 14, 285–295. [Google Scholar] [CrossRef]
- Kurtulus, C.; Bozkurt, A. Yearly permanent variation of soil apparent electrical conductivity and water content. J. Food Agric. Environ. 2008, 6, 547–550. [Google Scholar]
- Bhardwaj, D.; Ansari, M.W.; Sahoo, R.K.; Tuteja, N. Biofertilizers function as key player in sustainable agriculture by improving soil fertility, plant tolerance and crop productivity. Microb. Cell Fact. 2014, 13, 66. [Google Scholar] [CrossRef] [PubMed]
- Wang, Y.S.; Liu, Y.S.; Liu, R.L.; Zhang, A.P.; Yang, S.Q.; Liu, H.Y.; Zhou, Y.; Yang, Z.L. Biochar amendment reduces paddy soil nitrogen leaching but increases net global warming potential in Ni ngxia irrigation, China. Sci. Rep. 2017, 7, 1592. [Google Scholar] [CrossRef] [PubMed]
- Zhao, Y.C.; Wang, P.; Li, J.L.; Chen, Y.R.; Ying, X.Z.; Liu, S.Y. The effects of two organic manures on soil properties and crop yields on a temperate calcareous soil under a wheat-maize cropping system. Eur. J. Agron 2009, 31, 36–42. [Google Scholar] [CrossRef]
- Yang, Q.Y.; Zhang, M.K. Effect of bio-organic fertilizers partially substituting chemical fertilizers on labile organic carbon and bacterial community of citrus orchard soils. Plant Soil 2023, 483, 255–272. [Google Scholar] [CrossRef]
- Tavakkoli, E.; Uddin, S.; Rengasamy, P.; McDonald, G.K. Field applications of gypsum reduce pH and improve soil C in highly alkaline soils in southern Australia’s dryland cropping region. Soil Use Manag. 2022, 38, 466–477. [Google Scholar] [CrossRef]
- Trasar-Cepeda, C.; Leirós, M.C.; Seoane, S.; Gil-Sotres, F. Limitations of soil enzymes as indicators of soil pollution. Soil Biol. Biochem. 2000, 32, 1867–1875. [Google Scholar] [CrossRef]
- He, Z.Q.; Honeycutt, C.W.; Griffin, T.S.; Larkin, R.P.; Halloran, J.M. Increases of soil phosphatase and urease activities in potato fields by cropping rotation practices. J. Food Agric. Environ. 2010, 8, 1112–1117. [Google Scholar] [CrossRef]
- Hikosaka, K.; Hirose, T. Photosynthetic nitrogen-use efficiency in evergreen broad-leaved woody species coexisting in a warm-temperate forest. Tree Physiol. 2000, 20, 1249–1254. [Google Scholar] [CrossRef]
- Durán, N.; Esposito, E. Potential applications of oxidative enzymes and phenoloxidase-like compounds in wastewater and soil treatment: A review. Appl. Catal. B Environ. 2000, 28, 83–99. [Google Scholar] [CrossRef]
- Insam, H. Developments in soil microbiology since the mid1960s. Geoderma 2001, 100, 389–402. [Google Scholar] [CrossRef]
- Toscano, G.; Colarieti, M.L.; Greco, G. Oxidative polymerisation of phenols by a phenol oxidase from green olives. Enzyme Microb Technol 2003, 33, 47–54. [Google Scholar] [CrossRef]
- Kumar, R.; Sarawgi, A.K.; Ramos, C.; Amarante, S.T.; Ismail, A.M.; Wade, L.J. Partitioning of dry matter during drought stress in rainfed lowland rice. Field Crops Res. 2006, 98, 455–465. [Google Scholar] [CrossRef]
- Abdukadier, K.; Chen, Y.; Liu, H.; Pan, J.; Li, X.; Lin, M.; Lu, W.; Bai, X.; Dong, X.; Li, S. Effects of subsoiling on the characteristics of morphological structure and biomass accumulation of sugar beet in long-term leaf cluster. Xinjiang Agric. Sci. 2022, 59, 2421–2430. [Google Scholar]
- Lv, F.L.; Hou, M.M.; Zhang, H.T.O.; Khan, A.; Ayaz, M.; Qiangjiu, C.R.; Hu, C.; Yang, X.Y.; Sun, B.H.; Zhang, S.L. Closing the nitrogen use efficiency gap and reducing the environmental impact of wheat-maize cropping on smallholder farms in the Guanzhong Plain, Northwest China. J. Integr. Agric. 2019, 18, 169–178. [Google Scholar] [CrossRef]
- Wen, S.Y.; Shi, N.; Lu, J.W.; Gao, Q.W.; Hu, W.R.; Cao, Z.D.; Lu, J.X.; Yang, H.B.; Gao, Z.Q. Continuous wavelet transform and back propagation neural network for condition monitoring chlorophyll fluorescence parameters Fv/Fm of rice leaves. Agriculture 2022, 12, 1197. [Google Scholar] [CrossRef]
- Li, Y.; He, N.P.; Hou, J.H.; Xu, L.; Liu, C.C.; Zhang, H.; Wang, Q.F.; Zhang, X.M.; Wu, X.Q. Factors influencing leaf chlorophyll content in natural forests at the biome scale. Front. Ecol. Evol. 2018, 6, 64. [Google Scholar] [CrossRef]






| Treatments | BOF (t ha−1) | Density (Plant ha−1) | N (kg ha−1) | P2O5 (kg ha−1) | K2O (kg ha−1) |
|---|---|---|---|---|---|
| D1B1 | 2.75 | 80,000 | 70 | 35 | 35 |
| D1B2 | 3.25 | 80,000 | 50 | 25 | 25 |
| D1B3 | 3.75 | 80,000 | 30 | 15 | 15 |
| D2B1 | 2.75 | 90,000 | 70 | 35 | 35 |
| D2B2 | 3.25 | 90,000 | 50 | 25 | 25 |
| D2B3 | 3.75 | 90,000 | 30 | 15 | 15 |
| Year | Treatment | Yield (t ha−1) | Sugar Content (%) | Sugar Yield (t ha−1) | PFPN (kg kg−1) |
|---|---|---|---|---|---|
| 2019 | D1B1 | 77.413 ± 0.467 e | 17.650 ± 0.029 b | 14.306 ± 0.104 c | 430.074 ± 2.470 e |
| D1B2 | 78.587 ± 0.622 d | 16.367 ± 0.052 e | 13.505 ± 0.129 d | 436.593 ± 3.293 d | |
| D1B3 | 81.920 ± 0.696 c | 16.657 ± 0.004 d | 14.327 ± 0.113 c | 455.111 ± 3.683 c | |
| D2B1 | 83.820 ± 0.112 b | 17.697 ± 0.040 a | 14.833 ± 0.050 b | 465.667 ± 0.624 b | |
| D2B2 | 85.680 ± 0.661 a | 17.690 ± 0.033 a | 15.157 ± 0.106 a | 476.000 ± 3.674 a | |
| D2B3 | 86.580 ± 0.509 a | 17.287 ± 0.057 c | 14.971 ± 0.105 ab | 481.000 ± 2.828 a | |
| 2020 | D1B1 | 76.267 ± 0.396 c | 17.633 ± 0.095 bc | 14.121 ± 0.094 b | 423.704 ± 2.095 c |
| D1B2 | 78.400 ± 1.188 c | 16.353 ± 0.085 e | 13.462 ± 0.224 c | 435.556 ± 6.285 c | |
| D1B3 | 81.333 ± 1.726 b | 16.577 ± 0.081 d | 14.156 ± 0.340 b | 451.852 ± 9.132 b | |
| D2B1 | 83.700 ± 1.470 ab | 17.800 ± 0.054 b | 14.899 ± 0.217 a | 465.000 ± 8.165 ab | |
| D2B2 | 84.600 ± 0.735 a | 18.057 ± 0.054 a | 15.276 ± 0.175 a | 470.000 ± 4.082 a | |
| D2B3 | 85.800 ± 1.122 a | 17.467 ± 0.107 c | 14.986 ± 0.105 a | 476.667 ± 6.236 a |
| D | B | D × B | |||||||
|---|---|---|---|---|---|---|---|---|---|
| F | P | pη2 | F | P | pη2 | F | P | pη2 | |
| Soil pH | 12.142 | 0.005 * | 0.503 | 8.174 | 0.006 * | 0.577 | 0.243 | 0.778 | 0.039 |
| Soil electrical conductivity | 6.464 | 0.026 * | 0.350 | 7.321 | 0.008 * | 0.550 | 12.827 | 0.001 * | 0.681 |
| Water content | 109.717 | 0.000 ** | 0.901 | 35.516 | 0.000 ** | 0.859 | 6.658 | 0.011 * | 0.526 |
| Soil biochar flux | 8.663 | 0.012 * | 0.419 | 5.715 | 0.018 * | 0.488 | 2.224 | 0.149 | 0.272 |
| Yield | 202.156 | 0.000 ** | 0.944 | 24.226 | 0.000 ** | 0.801 | 3.066 | 0.084 | 0.338 |
| Sugar content | 821.724 | 0.000 ** | 0.986 | 228.711 | 0.000 ** | 0.974 | 203.961 | 0.000 ** | 0.971 |
| Sugar yield | 531.803 | 0.000 ** | 0.978 | 3.740 | 0.055 | 0.384 | 20.616 | 0.000 ** | 0.775 |
| PFPN | 202.156 | 0.000 ** | 0.944 | 24.226 | 0.000 ** | 0.801 | 3.066 | 0.084 | 0.338 |
| Soil Electrical Conductivity | Water Content | Sugar Content | Sugar Yield | ||
|---|---|---|---|---|---|
| D1 | F | 15.572 | 11.154 | 375.782 | 20.414 |
| P | 0.000 ** | 0.002 * | 0.000 ** | 0.000 ** | |
| pη2 | 0.722 | 0.650 | 0.984 | 0.773 | |
| D2 | F | 4.576 | 32.019 | 56.890 | 3.942 |
| P | 0.033 * | 0.000 * | 0.000 ** | 0.048 * | |
| pη2 | 0.433 | 0.842 | 0.905 | 0.396 | |
| B1 | F | 18.420 | 25.377 | 7.389 | 107.615 |
| P | 0.001 * | 0.000 ** | 0.019 * | 0.000 ** | |
| pη2 | 0.606 | 0.679 | 0.381 | 0.900 | |
| B2 | F | 6.557 | 17.015 | 976.082 | 343.863 |
| P | 0.025 * | 0.001 ** | 0.000 ** | 0.000 ** | |
| pη2 | 0.353 | 0.586 | 0.988 | 0.966 | |
| B3 | F | 7.142 | 80.640 | 245.175 | 121.556 |
| P | 0.020 * | 0.000 ** | 0.000 ** | 0.000 ** | |
| pη2 | 0.373 | 0.870 | 0.954 | 0.910 |
Disclaimer/Publisher’s Note: The statements, opinions and data contained in all publications are solely those of the individual author(s) and contributor(s) and not of MDPI and/or the editor(s). MDPI and/or the editor(s) disclaim responsibility for any injury to people or property resulting from any ideas, methods, instructions or products referred to in the content. |
© 2023 by the authors. Licensee MDPI, Basel, Switzerland. This article is an open access article distributed under the terms and conditions of the Creative Commons Attribution (CC BY) license (https://creativecommons.org/licenses/by/4.0/).
Share and Cite
Chen, J.; Li, J.; Yang, X.; Wang, C.; Zhao, L.; Zhang, P.; Zhang, H.; Wang, Y.; Li, C. The Effects of Biochar-Based Organic Fertilizer and Mineral Fertilizer on Soil Quality, Beet Yield, and Sugar Yield. Agronomy 2023, 13, 2423. https://doi.org/10.3390/agronomy13092423
Chen J, Li J, Yang X, Wang C, Zhao L, Zhang P, Zhang H, Wang Y, Li C. The Effects of Biochar-Based Organic Fertilizer and Mineral Fertilizer on Soil Quality, Beet Yield, and Sugar Yield. Agronomy. 2023; 13(9):2423. https://doi.org/10.3390/agronomy13092423
Chicago/Turabian StyleChen, Jingting, Jian Li, Xiaofei Yang, Chao Wang, Linghua Zhao, Pengfei Zhang, He Zhang, Yubo Wang, and Caifeng Li. 2023. "The Effects of Biochar-Based Organic Fertilizer and Mineral Fertilizer on Soil Quality, Beet Yield, and Sugar Yield" Agronomy 13, no. 9: 2423. https://doi.org/10.3390/agronomy13092423
APA StyleChen, J., Li, J., Yang, X., Wang, C., Zhao, L., Zhang, P., Zhang, H., Wang, Y., & Li, C. (2023). The Effects of Biochar-Based Organic Fertilizer and Mineral Fertilizer on Soil Quality, Beet Yield, and Sugar Yield. Agronomy, 13(9), 2423. https://doi.org/10.3390/agronomy13092423
