Modeling the Budbreak in Peaches: A Basic Approach Using Chill and Heat Accumulation
Abstract
1. Introduction
2. Materials and Methods
2.1. Plant Material
2.2. Assessment of Dormancy Break and Data Acquisition
2.3. Controlled Conditions
2.4. Weather Data
2.5. Heat Requirements
2.6. Chill Accumulation
2.6.1. Weinberger Model
2.6.2. Modified Weinberger
2.6.3. Utah Model
2.6.4. Dynamic Model
2.7. Data Analysis and Model Integration
3. Results
3.1. Assessment of Dormancy Break
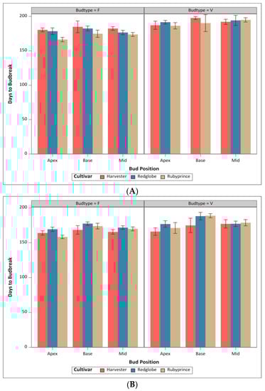
3.2. Onset and Late Release of Dormancy (Budbreak)
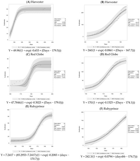
3.3. Modeling the Progression of the Budbreak
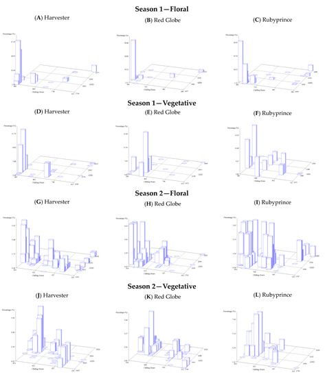
3.4. Heat and Chilling Requirements
3.5. Model Integration for Chill and Heat Requirements
3.6. Prediction Model
4. Discussion
5. Conclusions
Author Contributions
Funding
Data Availability Statement
Acknowledgments
Conflicts of Interest
References
- Graves, W.R.; Gimondo, A. Phenology of annual dormancy release and its association with fruit set of Dirca occidentalis (Thymelaeaceae). Madrono 2021, 68, 416–424. [Google Scholar] [CrossRef]
- Schwartz, M.D.; Carbone, G.J.; Reighard, G.L.; Okie, W.R. A Model to Predict Peach Phenology and Maturity Using Meteorological Variables. HortScience 1997, 32, 213–216. [Google Scholar] [CrossRef]
- Tadeu, M.H.; Pio, R.; Nunes, S.G.; Olmstead, M.; Damião, C.C.; Bittencourt, F.M.S.; Barcelos, B.R.; Locatelli, G. Duration of the Phenological Stages of Peach Trees At tropics duration of the phenological stages of peach trees at tropics. Sci. Hortic. 2020, 261, 108976. [Google Scholar] [CrossRef]
- Schwartz, M.D. Advancing to full bloom: Planning phenological research for the 21st century. Int. J. Biometeorol. 1999, 42, 113–118. [Google Scholar] [CrossRef]
- Mounzer, O.H.; Conejero, W.; Nicolás, E.; Abrisqueta, I.; García-Orellana, Y.V.; Tapia, L.M.; Vera, J.; Abrisqueta, J.M.; Ruiz-Sánchez, M.C. Growth Pattern and Phenological Stages of Early-maturing Peach Trees under a Mediterranean Climate. Hortscience 2008, 43, 1813–1818. [Google Scholar] [CrossRef]
- Fadón, E.; Herrera, S.; Guerrero, B.I.; Guerra, M.E.; Rodrigo, J. Review Chilling and Heat Requirements of Temperate Stone Fruit Trees (Prunus sp.). Agronomy 2020, 10, 409. [Google Scholar] [CrossRef]
- Campoy, J.A.; Ruiz, D.; Egea, J. Dormancy in temperate fruit trees in a global warming context: A review. Sci. Hortic. 2011, 130, 357–372. [Google Scholar] [CrossRef]
- Atkinson, C.J.; Brennan, R.M.; Jones, H.G. Declining chilling and its impact on temperate perennial crops. Environ. Exp. Bot. 2013, 91, 48–62. [Google Scholar] [CrossRef]
- Weinberger, J.H. Some temperature relations in natural breaking of the rest of peach flower buds in the San Joaquin Valley, California. Proc. Am. Soc. Hort. Sci. 1967, 56, 122–128. [Google Scholar]
- Campoy, J.A.; Ruiz, D.; Allderman, L.; Cook, N.; Egea, J. The fulfillment of chilling requirements and the adaptation of apricot (Prunus armeniaca L.) in warm winter climates: An approach in Murcia (Spain) and the Western Cape (South Africa). Eur. J. Agron. 2012, 37, 43–55. [Google Scholar] [CrossRef]
- Alabama Cooperative Extension A&M & Auburn University. Report. Estimated Chill Portion and Chill Hour Requirements by Variety. 2019. Available online: https://www.aces.edu/blog/topics/fruits-nuts-crops/chill-hour-and-chill-portion-comparison-in-peaches/ (accessed on 8 October 2022).
- Chen, C. Three New Peach Cultivars from the USDA. 1. University of Georgia Peach Blog. Popular Publication. 2020. Available online: https://www.ars.usda.gov/research/publications/publication/?seqNo115=381001 (accessed on 11 August 2023).
- Zhang, Y.; Han, I.; Dawson, P. Antioxidant activity assessment and color analysis of skin from different peach varieties grown in South Carolina. Food Nutr. Sci. 2015, 6, 18. [Google Scholar] [CrossRef][Green Version]
- Byrne, D.H.; Nikolic, A.N.; Burns, E.E. Variability in sugars, acids, firmness, and color characteristics of 12 peach genotypes. J. Am. Soc. Hortic. Sci. 1991, 116, 1004–1006. [Google Scholar] [CrossRef]
- Budde, C.O.; Blanco, M.P.; Altube, H.A. Fruit firmness, ground color and ethylene evolution in two cultivars of peach (Prunus persica L. Batsch). Agriscientia 2000, 17, 69–72. [Google Scholar]
- Reighard, G.L.; Rauh, B. Predicting peach fruit size potential from GDD 30 days post-bloom. Acta Hortic. 2015, 1084, 753–758. [Google Scholar] [CrossRef]
- Salama, A.M.; Ezzat, A.; El-Ramady, H.; Alam-Eldein, S.M.; Okba, S.K.; Elmenofy, H.M.; Hassan, I.F.; Illés, A.; Holb, I.J. Temperate fruit trees under climate change: Challenges for dormancy and chilling requirements in warm winter regions. Horticulturae 2021, 7, 86. [Google Scholar] [CrossRef]
- Hernandez, J.A.; Díaz-Vivancos, P.; Martínez-Sanchez, G.; Alburquerque, N.; Martínez, D.; Barba-Espín, G.; Acosta-Motos, J.R.; Carrera, E.; García-Brunton, J. Physiological and biochemical characterization of bud dormancy: Evolution of carbohydrate and antioxidant metabolisms and hormonal profile in a low chill peach variety. Sci. Hortic. 2021, 281, 109957. [Google Scholar] [CrossRef]
- Faust, M.; Erez, A.; Rowland, L.J.; Wang, S.Y.; Norman, H.A. Bud dormancy in perennial fruit trees: Physiological basis for dormancy induction, maintenance, and release. HortScience 1997, 32, 623–629. [Google Scholar] [CrossRef]
- Zhao, X.; Han, X.; Wang, Q.; Wang, X.; Chen, X.; Li, L.; Ful, X.; Gao, D. Early bud break 1 triggers bud break in peach trees by regulating hormone metabolism, the cell cycle, and cell wall modifications. J. Exp. Bot. 2020, 71, 3512–3523. [Google Scholar] [CrossRef]
- Viol, R.E.; Peche, P.M.; Farias, D.H.; Vilas Boas, L.V.; Curi, P.N.; Schiassi, M.C.E.; Pio, R. Dormancy breaking of ‘Kampai’ peach trees with alternative products in subtropical regions. J. Agric. Sci. 2021, 159, 688–695. [Google Scholar] [CrossRef]
- Bielenberg, D.G.; Gasic, K. Peach [Prunus persica (L.) Batsch] Cultivars Differ in Apparent Base Temperature and Growing Degree Hour Requirement for Floral Budbreak. Front. Plant Sci. 2022, 13, 801606. [Google Scholar] [CrossRef]
- Drogoudi, P.; Cantín, C.M.; Brandi, F.; Butcaru, A.; Cos-Terrer, J.; Cutuli, M.; Giovannini, D. Impact of Chill and Heat Exposures under Diverse Climatic Conditions on Peach and Nectarine Flowering Phenology. Plants 2023, 12, 584. [Google Scholar] [CrossRef] [PubMed]
- Luedeling, E.; Kunz, A.; Blanke, M.M. Identification of chilling and heat requirements of cherry trees—A statistical approach. Int. J. Biometeorol. 2013, 57, 679–689. [Google Scholar] [CrossRef] [PubMed]
- Huang, X.; Chen, T.; Zhou, P.; Huang, X.; Liu, D.; Jin, W.; Zhang, H.; Zhou, J.; Wang, Z.; Gao, Z. Prediction and optimization of fruit quality of peach based on artificial neural network. J. Food Compos. Anal. 2022, 111, 104604. [Google Scholar] [CrossRef]
- Richardson, E.A.; Seeley, S.D.; Walker, D.R.; Anderson, J.L.; Ascroft, G.L. Phenoclimatography of spring peach bud development. HortScience 1975, 10, 236–237. [Google Scholar] [CrossRef]
- Gibson, P.G.; Reighard, G.L. Chilling Requirement and Postrest Heat Accumulation in Peach Trees Inoculated with Peach Latent Mosaic Viroid. J. Am. Soc. Hort. Sci. 2022, 127, 333–336. [Google Scholar] [CrossRef]
- Noorazar, H.; Kalcsits, L.; Jones, V.P.; Jones, M.S.; Rajagopalan, K. Climate change and chill accumulation: Implications for tree fruit production in cold--winter regions. Clim. Chang. 2022, 171, 34. [Google Scholar] [CrossRef]
- Pertille, R.F.; Citadin, I.; De Souza de Oliveira, L.; De Camargo Broch, J.; Kvitschal, M.V.; Araujo, L. The influence of temperature on the phenology of apple trees grown in mild winter regions of Brazil, based on long-term records. Sci. Hortic. 2022, 305, 111354. [Google Scholar] [CrossRef]
- Parker, L.E.; Abatzoglou, J.T. Warming winters reduce chill accumulation for peach production in the Southeastern United States. Climate 2019, 7, 94. [Google Scholar] [CrossRef]
- Pérez, F.J.; Rubio, S. Relationship Between Bud Cold Hardiness and Budbreak in Two Vitis vinifera L Cultivars, Chardonnay and Thompson Seedless. J. Plant Growth Regul. 2022, 41, 840–847. [Google Scholar] [CrossRef]
- Camargo Alvarez, H.; Salazar-Gutiérrez, M.; Zapata, D.; Keller, M.; Hoogenboom, G. Time-to-event analysis to evaluate dormancy status of single-bud cuttings: An example for grapevines. Plant Methods 2018, 14, 94. [Google Scholar] [CrossRef]
- Alburquerque, N.; García-Montiel, F.; Carrillo, A.; Burgos, L. Chilling and heat requirements of sweet cherry cultivars and the relationship between altitude and the probability of satisfying the chill requirements. Environ. Exp. Bot. 2008, 64, 162–170. [Google Scholar] [CrossRef]
- Benmoussa, H.; Ghrab, M.; Ben Mimoun, M.; Luedeling, E. Chilling and heat requirements for local and foreign almond (Prunus dulcis Mill.) cultivars in a warm Mediterranean location based on 30 years of phenology records. Agric. For. Meteorol. 2017, 239, 34–46. [Google Scholar] [CrossRef]
- Egea, J.; Ortega, E.; Martinez-Gomez, P.; Dicenta, F. Chilling and heat requirements of almond cultivars for flowering. Environ. Exp. Bot. 2003, 50, 79–85. [Google Scholar] [CrossRef]
- Fernandez, E.; Krefting, P.; Kunz, A.; Do, H.; Fadón, E.; Luedeling, E. Boosting statistical delineation of chill and heat periods in temperate fruit trees through multi-environment observations. Agric. For. Meteorol. 2021, 310, 108652. [Google Scholar] [CrossRef]
- Guo, L.; Xu, J.C.; Dai, J.H.; Cheng, J.M.; Luedeling, E. Statistical identification of chilling and heat requirements for apricot flower buds in Beijing. China. Sci. Hortic. 2015, 195, 138–144. [Google Scholar] [CrossRef]
- Pope, K.S.; Da Silva, D.; Brown, P.H.; DeJong, T.M. A biologically based approach to modeling spring phenology in temperate deciduous trees. Agric. For. Meteorol. 2014, 198, 15–23. [Google Scholar] [CrossRef]
- Ruiz, D.; Campoy, J.A.; Egea, J. Chilling and heat requirements of apricot cultivars for flflowering. Environ. Exp. Bot. 2007, 61, 254–263. [Google Scholar] [CrossRef]
- Weinberger, J.H. Chilling requirements of peach varieties. Proc. Am. Soc. Hortic. Sci. 1950, 56, 122–128. [Google Scholar]
- Richardson, E.A.; Seeley, S.D.; Walker, D.R. A model for estimating the completion of rest for ‘redhaven’ and ‘elberta’peach trees1. HortScience 1974, 9, 331–332. [Google Scholar] [CrossRef]
- Zhang, J.; Taylor, C. The Dynamic Model Provides the Best Description of the Chill Process on ‘Sirora’ Pistachio Trees in Australia. HortScience 2011, 46, 420–425. [Google Scholar] [CrossRef]
- Melke, A. The Physiology of Chilling Temperature Requirements for Dormancy Release and Bud-break in Temperate Fruit Trees Grown at Mild Winter Tropical Climate. J. Plant Stud. 2015, 4, 2. [Google Scholar] [CrossRef]
- Chhetri, A.; Ramjan, M.; Dolley, N. Various models to calculate chill units in fruit crops. Indian Farmer 2018, 5, 439–442. [Google Scholar]
- Rodríguez, A.; Pérez-López, D.; Sánchez, E.; Centeno, A.; Gómara, I.; Dosio, A.; Ruiz-Ramos, M. Chilling accumulation in fruit trees in Spain under climate change. Nat. Hazards Earth Syst. Sci. 2019, 19, 1087–1103. [Google Scholar] [CrossRef]
- Milech, C.G.; Dini, M.; Scariotto, S.; Santos, J.; Herter, F.G.; Raseira, M.C.B. Chilling Requirement of Ten Peach Cultivars Estimated by Different Models. J. Exp. Agric. Int. 2018, 20, 1–9. [Google Scholar] [CrossRef]
- Chavarria, G.; Raseira, M.C.B.; Zanandrea, A. Chilling requirement in peach. In Prunus Breeders Meeting; Embrapa CPACT: Pelotas, Brazil, 2000; Volume 75. [Google Scholar]
- Jochner, S.; Menzel, A. Does flower phenology mirror the slowdown of global warming? Ecol. Evol. 2015, 5, 2284–2295. [Google Scholar] [CrossRef]
- Miranda, C.; Santesteban, L.G.; Royo, J.B. Evaluation and fitting of models for determining peach phenological stages at a regional scale. Agric. For. Meteorol. 2013, 178, 129–139. [Google Scholar] [CrossRef]
- Fernandez, E.; Schiffers, K.; Urbach, C.; Luedeling, E. Unusually warm winter seasons may compromise the performance of current phenology models–Predicting bloom dates in young apple trees with PhenoFlex. Agric. For. Meteorol. 2022, 322, 109020. [Google Scholar] [CrossRef]
- Andreini, L.; García de Cortázar-Atauri, I.; Chuine, I.; Viti, R.; Bartolini, S.; Ruiz, D.; Campoy, J.A.; Legave, J.M.; Audergon, J.M.; Bertuzzi, P. Understanding dormancy release in apricot flower buds (Prunus armeniaca L.) using several process-based phenological models. Agric. For. Meteorol. 2014, 184, 210–219. [Google Scholar] [CrossRef]
- Blaauw, B.; Brannen, P.; Lockwood, D.; Schnabel, G.; Ritchie, D. Southeastern Peach, Nectarine, and Plum Pest Management and Culture Guide. UGA Cooperative Extension Bulletin 1171. 2023. Available online: https://ssl.acesag.auburn.edu/dept/peaches/peachipm/images/2023_SE_peach_pest_guide.pdf (accessed on 8 October 2022).
- Okie, W.R.; Werner, D.J. Genetic Influence on Flower Bud Density in Peach and Nectarine Exceeds That of Environment. Hortscience 1996, 31, 1010–1012. [Google Scholar] [CrossRef]
- Balandier, P.; Gendraud, M.; Rageau, R.; Bonhomme, M.; Richard, J.P.; Parisot, E. Bud break delay on single node cuttings and bud capacity for nucleotide accumulation as parameters for endo-and paradormancy in peach trees in a tropical climate. Sci. Hortic. 1993, 55, 249–261. [Google Scholar] [CrossRef]
- Bonhomme, M.; Rageau, R.; Richard, J.P.; Erez, A.; Gendraud, M. Influence of three contrasted climatic conditions on endodormant vegetative and floral peach buds: Analyses of their intrinsic growth capacity and their potential sink strength compared with adjacent tissues. Sci. Hortic. 1999, 80, 157–171. [Google Scholar] [CrossRef]
- Maurel, K.; Leite, G.B.; Bonhomme, M.; Guilliot, A.; Rageau, R.; Pétel, G.; Sakr, S. Trophic control of bud break in peach (Prunus persica) trees: A possible role of hexoses. Tree Physiol. 2004, 24, 579–588. [Google Scholar] [CrossRef] [PubMed]
- Bonhomme, M.; Rageau, R.; Lacointe, A.; Gendraud, M. Influences of cold deprivation during dormancy on carbohydrate contents of vegetative and floral primordia and nearby structures of peach buds (Prunus persica L. Batch). Sci. Hortic. 2005, 105, 223–240. [Google Scholar] [CrossRef]
- Erez, A.; Lavee, S. The Effect of Climatic Conditions on Dormancy Development of Peach Buds. I. Temperature1. J. Am. Soc. Hortic. Sci. 1971, 96, 711–714. [Google Scholar] [CrossRef]
- Horsáková, J.; Krška, B. Evaluation of dormancy break in some selected peach (Prunus persica) cultivars. Hort. Sci. 2016, 43, 181–187. [Google Scholar] [CrossRef]
- Prudencio, A.S.; Martínez-Gómez, P.; Dicenta, F. Evaluation of breaking dormancy, flowering and productivity of extra-late and ultra-late flowering almond cultivars during cold and warm seasons in South-East of Spain. Sci. Hortic. 2018, 235, 39–46. [Google Scholar] [CrossRef]
- Pulido, S.; Bojaca, C.R.; Salazar, M.; Chaves, B. Node appearance model for Lulo (Solanum quitoense Lam.) in the high altitude tropics. Biosyst. Eng. 2008, 101, 383–387. [Google Scholar] [CrossRef]
- Citadin, I.; Raseira, M.D.C.; Herter, F.G.; Da Silva, J.B. Heat requirement for blooming and leafing in peach. HortScience 2001, 36, 305–307. [Google Scholar] [CrossRef]
- Atagul, O.; Calle, A.; Demirel, G.; Lawton, J.M.; Bridges, W.C.; Gasic, K. Estimating Heat Requirement for Flowering in Peach Germplasm. Agronomy 2022, 12, 1002. [Google Scholar] [CrossRef]
- Łysiak, G.P.; Szot, I. The Use of Temperature Based Indices for Estimation of Fruit Production Conditions and Risks in Temperate Climates. Agriculture 2023, 13, 960. [Google Scholar] [CrossRef]
- Chandler, W.H. Deciduous Orchards; Lea & Febiger: Philadelphia, PA, USA, 1942; p. 438. [Google Scholar]
- Luedeling, E. Climate change impacts on winter chill for temperate fruit and nut production: A review. Sci. Hortic. 2012, 144, 218–229. [Google Scholar] [CrossRef]
- Razavi, F.; Hajilou, J.; Tabatabaei, S.J.; Dadpour, M.R. Comparison of chilling and heat requirement in some peach and apricot cultivars. Res. Plant Biol. 2011, 1. Available online: https://www.updatepublishing.com/journal/index.php/ripb/article/view/2571 (accessed on 5 July 2023).
- Eggert, F.P. A study of rest in several varieties of apple and in other fruit species grown in New York State. Proc. Am. Soc. Hort. Sci. 1951, 51, 169–178. [Google Scholar]
- Erez, A.; Couvillon, G.A.; Hendershott, C.H. Quantitative Chilling Enhancement and Negation in Peach Buds by High Temperatures in a Daily Cycle1. J. Am. Soc. Hortic. Sci. 1979, 104, 536–540. [Google Scholar] [CrossRef]
- Fishman, S.; Erez, A.; Couvillon, G.A. The temperature dependence of dormancy breaking in plants: Computer simulation of processes studied under controlled temperatures. J. Theor. Biol. 1987, 126, 309–321. [Google Scholar] [CrossRef]
- Erez, A.; Fishman, S.; Linsley-Noakes, G.C.; Allan, P. The dynamic model for rest completion in peach buds. In Proceedings of the II International Symposium on Computer Modelling in Fruit Research and Orchard Management. Acta Hortic. 1990, 276, 165–174. [Google Scholar] [CrossRef]
- Luedeling, E.; Zhang, M.; Luedeling, V.; Girvetz, E.H. Sensitivity of winter chill models for fruit and nut trees to climatic changes expected in California’s Central Valley. Agric. Ecosyst. Environ. 2009, 133, 23–31. [Google Scholar] [CrossRef]
- Glozer, K. The Dynamic Model and Chill Accumulation. 2016. Retrieved June 16 h. Available online: https://ucanr.edu/sites/fruittree/files/49320.pdf (accessed on 16 June 2023).
- Willmott, C.J. On the validation of models. Phys. Geogr. 1981, 2, 184–194. [Google Scholar] [CrossRef]
- Willmott, C.J. Some comments on the evaluation of model performance. Bull. Am. Meteorol. Soc. 1982, 63, 1309–1313. [Google Scholar] [CrossRef]
- Willmott, C.J.; Ackleson, S.G.; Davis, R.E.; Feddema, J.J.; Klink, K.M.; Legates, D.R.; O’Donnell, J.; Rowe, C.M. Statistics for the evaluation and comparison of models. J. Geophys. Res. Ocean. 1985, 90, 8995–9005. [Google Scholar] [CrossRef]
- Janssen, P.H.; Heuberger, P.S. Calibration of process-oriented models. Ecol. Model. 1995, 83, 55–66. [Google Scholar] [CrossRef]
- Wang, X.; Zhang, B.; Guo, S.; Guo, L.; Chen, X.; He, X.; Ma, R.; Yu, M. Effects of fruit load on photosynthetic characteristics of peach leaves and fruit quality. Sci. Hortic. 2022, 299, 110977. [Google Scholar] [CrossRef]
- Gradziel, T.M. Exotic genes for solving emerging peach production challenges. Sci. Hortic. 2022, 295, 110801. [Google Scholar] [CrossRef]
- Luo, C.X.; Schnabel, G.; Hu, M.; De Cal, A. Global distribution and management of peach diseases. Phytopathol. Res. 2022, 4, 1–15. [Google Scholar] [CrossRef]
- Li, Y.; Wang, L.; Zhu, G.; Fang, W.; Cao, K.; Chen, C.; Wang, X.; Wang, X. Phenological response of peach to climate change exhibits a relatively dramatic trend in China, 1983–2012. Sci. Hortic. 2016, 209, 192–200. [Google Scholar] [CrossRef]
- Basconsuelo, S.; Reinoso, H.; Lorenzo, E.; Bottini, R. Dormancy in peach (Prunus persica L.) flower buds: IV. Morphogenesis of excised buds as influenced by chilling and gibberellin A 3. Plant Growth Regul. 1995, 16, 113–119. [Google Scholar] [CrossRef]
- Camargo-Alvarez, H.; Salazar-Gutiérrez, M.; Keller, M.; Hoogenboom, G. Modeling the effect of temperature on bud dormancy of grapevines. Agric. For. Meteorol. 2020, 280, 107782. [Google Scholar] [CrossRef]
- Andreini, L.; Viti, R.; Scalabrelli, G. Study on the morphological evolution of bud break in Vitis vinifera L. Vitis 2009, 48, 153–158. [Google Scholar]
- Mahmood, K.; Carew, J.G.; Hadley, P.; Battey, N.H. The effect of chilling and post-chilling temperatures on growth and flowering of sweet cherry (Prunus avium L.). J. Hortic. Sci. Biotechnol. 2000, 75, 598–601. [Google Scholar] [CrossRef]
- Gariglio, N.; González Rossia, D.E.; Mendow, M.; Reig, C.; Agusti, M. Effect of artificial chilling on the depth of endodormancy and vegetative and Flower Budbreak of peach and nectarine cultivars using excised shoots. Sci. Hortic. 2006, 108, 371–377. [Google Scholar] [CrossRef]
- Pawasut, A.; Fujishige, N.; Yamane, K.; Yamaki, Y.; Honjo, H. Relationships between chilling and heat requirement for flowering in ornamental peaches. J. Jpn. Soc. Hortic. Sci. 2004, 73, 519–523. [Google Scholar] [CrossRef][Green Version]
- Martinez, J.D.; Hernández, I.C.; Reyes, J.N.G.; Nájera, J.B.P.; Güereca, M.C.G.; Pérez, E.C. Growth models of peach fruit Prunus persica (L.) in three handling systems. Interciencia 2017, 42, 597–602. [Google Scholar]







| Cultivar | Estimate | LS-m | Cultivar × Bud Type | Estimate | LS-m | Budtype | Estimate | LS-m | ||
|---|---|---|---|---|---|---|---|---|---|---|
| Season 1 | Harvester | 187.31 | A | Harvester | V | 191.84 | A | V | 192.82 | A |
| F | 182.77 | B | F | 177.70 | B | |||||
| Red Globe | 186.79 | A | Red Globe | V | 194.58 | A | ||||
| F | 179.00 | B | ||||||||
| Rubyprince | 181.68 | B | Rubyprince | V | 192.04 | A | ||||
| F | 171.32 | C | ||||||||
| Season 2 | Harvester | 169.56 | B | Harvester | V | 172.63 | B | V | 176.86 | A |
| F | 166.48 | C | F | 168.63 | B | |||||
| Red Globe | 175.99 | A | Red Globe | V | 179.33 | A | ||||
| F | 172.64 | B | ||||||||
| Rubyprince | 172.69 | B | Rubyprince | V | 178.60 | B | ||||
| F | 166.78 | C | ||||||||
| General Budbreak Season 1 | ||||||||
|---|---|---|---|---|---|---|---|---|
| Cultivars | E. Date | DaysBB | Chill | GDD | L. Date | DaysBB | Chill | GDD |
| E Date | L Date | |||||||
| Harvester | 2/16/2022 | 168 | 802 | 1785.8 | 3/27/2022 | 207 | 985 | 2296.4 |
| Red Globe | 2/08/2022 | 160 | 200 | 2439.0 | 3/27/2022 | 207 | 985 | 2296.4 |
| Rubyprince | 1/16/2022 | 137 | 264 | 1894.5 | 3/27/2022 | 207 | 985 | 2296.4 |
| Floral budbreak | ||||||||
| Harvester | 2/16/2022 | 168 | 802 | 1785.8 | 3/19/2022 | 199 | 615 | 2577.2 |
| Red Globe | 2/08/2022 | 160 | 200 | 2439.0 | 3/19/2022 | 199 | 985 | 2194.4 |
| Rubyprince | 1/16/2022 | 137 | 264 | 1894.5 | 3/10/2022 | 190 | 985 | 1985.9 |
| Vegetative budbreak | ||||||||
| Harvester | 3/25/2022 | 177 | 615 | 2171.4 | 3/27/2022 | 207 | 985 | 2296.4 |
| Red Globe | 2/27/2022 | 179 | 725 | 2087.4 | 3/27/2022 | 207 | 985 | 2296.4 |
| Rubyprince | 2/27/2022 | 179 | 725 | 2087.4 | 3/27/2022 | 207 | 985 | 2296.4 |
| General Budbreak Season 2 | ||||||||
| Cultivars | E. Date | DaysBB | Chill | GDD | L. Date | DaysBB | Chill | GDD |
| E Date | L Date | |||||||
| Harvester | 1/02/2023 | 123 | 232 | 1744.4 | 3/20/2023 | 200 | 816 | 2203.9 |
| Red Globe | 1/17/2023 | 138 | 371 | 1794.3 | 3/19/2023 | 199 | 792 | 2235.0 |
| Rubyprince | 1/09/2023 | 130 | 232 | 1837.9 | 3/19/2023 | 199 | 740 | 2298.5 |
| Floral budbreak | ||||||||
| Harvester | 1/2/2023 | 123 | 232 | 1744.4 | 3/10/2023 | 190 | 816 | 1993.4 |
| Red Globe | 1/17/2023 | 138 | 371 | 1794.3 | 3/16/2023 | 196 | 816 | 2104.4 |
| Rubyprince | 1/15/2023 | 136 | 371 | 1757.3 | 3/06/2023 | 186 | 792 | 1994.5 |
| Vegetative budbreak | ||||||||
| Harvester | 1/09/2023 | 130 | 232 | 1837.9 | 3/20/2023 | 200 | 816 | 2203.9 |
| Red Globe | 1/17/2023 | 138 | 371 | 1794.3 | 3/19/2023 | 199 | 792 | 2235.0 |
| Rubyprince | 1/09/2023 | 130 | 232 | 1837.9 | 3/19/2023 | 199 | 740 | 2298.5 |
| Season 1 | |||||
|---|---|---|---|---|---|
| Chilling Hours | M45 | Utah | Dynamic | GDD | |
| Weinberger | 1 | 0.99895 | 0.99651 | 0.99603 | −0.89997 |
| <0.0001 | <0.0001 | <0.0001 | <0.0001 | ||
| Modified Weinberger | 0.99895 | 1 | 0.9917 | 0.99795 | −0.88884 |
| <0.0001 | <0.0001 | <0.0001 | <0.0001 | ||
| Utah | 0.99651 | 0.9917 | 1 | 0.9865 | −0.91403 |
| <0.0001 | <0.0001 | <0.0001 | <0.0001 | ||
| Dynamic | 0.99603 | 0.99795 | 0.9865 | 1 | −0.88856 |
| <0.0001 | <0.0001 | <0.0001 | <0.0001 | ||
| GDD | −0.89997 | −0.88884 | −0.91403 | −0.88856 | 1 |
| <0.0001 | <0.0001 | <0.0001 | <0.0001 | ||
| Season 2 | |||||
| Weinberger | 1 | 0.99571 | 0.93185 | 0.99379 | −0.24014 |
| <0.0001 | <0.0001 | <0.0001 | 0.0001 | ||
| Modified Weinberger | 0.99571 | 1 | 0.94573 | 0.99825 | −0.22346 |
| <0.0001 | <0.0001 | <0.0001 | 0.0004 | ||
| Utah | 0.93185 | 0.94573 | 1 | 0.95211 | −0.13096 |
| <0.0001 | <0.0001 | <0.0001 | 0.0389 | ||
| Dynamic | 0.99379 | 0.99825 | 0.95211 | 1 | −0.20826 |
| <0.0001 | <0.0001 | <0.0001 | 0.0009 | ||
| GDD | −0.24014 | −0.22346 | −0.13096 | −0.20826 | 1 |
| 0.0001 | 0.0004 | 0.0389 | 0.0009 | ||
Disclaimer/Publisher’s Note: The statements, opinions and data contained in all publications are solely those of the individual author(s) and contributor(s) and not of MDPI and/or the editor(s). MDPI and/or the editor(s) disclaim responsibility for any injury to people or property resulting from any ideas, methods, instructions or products referred to in the content. |
© 2023 by the authors. Licensee MDPI, Basel, Switzerland. This article is an open access article distributed under the terms and conditions of the Creative Commons Attribution (CC BY) license (https://creativecommons.org/licenses/by/4.0/).
Share and Cite
Cifuentes-Carvajal, A.; Chaves-Córdoba, B.; Vinson, E.; Coneva, E.D.; Chavez, D.; Salazar-Gutiérrez, M.R. Modeling the Budbreak in Peaches: A Basic Approach Using Chill and Heat Accumulation. Agronomy 2023, 13, 2422. https://doi.org/10.3390/agronomy13092422
Cifuentes-Carvajal A, Chaves-Córdoba B, Vinson E, Coneva ED, Chavez D, Salazar-Gutiérrez MR. Modeling the Budbreak in Peaches: A Basic Approach Using Chill and Heat Accumulation. Agronomy. 2023; 13(9):2422. https://doi.org/10.3390/agronomy13092422
Chicago/Turabian StyleCifuentes-Carvajal, Adriana, Bernardo Chaves-Córdoba, Edgar Vinson, Elina D. Coneva, Dario Chavez, and Melba R. Salazar-Gutiérrez. 2023. "Modeling the Budbreak in Peaches: A Basic Approach Using Chill and Heat Accumulation" Agronomy 13, no. 9: 2422. https://doi.org/10.3390/agronomy13092422
APA StyleCifuentes-Carvajal, A., Chaves-Córdoba, B., Vinson, E., Coneva, E. D., Chavez, D., & Salazar-Gutiérrez, M. R. (2023). Modeling the Budbreak in Peaches: A Basic Approach Using Chill and Heat Accumulation. Agronomy, 13(9), 2422. https://doi.org/10.3390/agronomy13092422

