Next Article in Journal
Phosphorus Mobility in Heavily Manured and Waterlogged Soil Cultivated with Ryegrass (Lolium multiflorum)
Next Article in Special Issue
Leaf Area Duration and Crop Radiation Use Efficiency Determine Biomass Yield of Lignocellulosic Perennial Grasses under Different Soil Water Content
Previous Article in Journal
Analyzing the Impact of Intensive Agriculture on Soil Quality: A Systematic Review and Global Meta-Analysis of Quality Indexes
Previous Article in Special Issue
Seed Germination of Two Hybrids Obtained via Cross-Pollination between Miscanthus sinensis × Miscanthus sacchariflorus
 
 
Font Type:
Arial Georgia Verdana
Font Size:
Aa Aa Aa
Line Spacing:
Column Width:
Background:
Article

Effects of Sowing Dates and Genotypes of Castor (Ricinus communis L.) on Seed Yield and Oil Content in the South Mediterranean Basin

by
Valeria Cafaro
1,*,
Silvio Calcagno
1,
Cristina Patanè
2,
Salvatore Luciano Cosentino
1 and
Giorgio Testa
1
1
Dipartimento di Agricoltura, Alimentazione e Ambiente, Università degli Studi di Catania, Via Valdisavoia 5, 95123 Catania, Italy
2
CNR-Istituto per la BioEconomia (IBE), Sede secondaria di Catania, Via P. Gaifami 18, 95126 Catania, Italy
*
Author to whom correspondence should be addressed.
Agronomy 2023, 13(8), 2167; https://doi.org/10.3390/agronomy13082167
Submission received: 27 July 2023 / Revised: 14 August 2023 / Accepted: 17 August 2023 / Published: 18 August 2023
(This article belongs to the Special Issue Agricultural Biomass for Bioenergy and Bioproducts)

Abstract

To evaluate the performance of dwarf castor hybrids (‘C1012’, ‘C857’, ‘C856’), compared to a local selected genotype, in four subsequent sowing dates (SW1, SW2, SW3, SW4), a trial was conducted at the experimental farm of the University of Catania (Sicily, Italy). The length of the growing season decreased with the increase of the sowing date in the average genotypes from 160 to 94 days, respectively, for the first and the last sowing date. According to the RED—Renewable Energy Directive, the genotype ‘C856’ was the earliest (112 days), resulting in suitability as a catch crop for biomass production. The results showed that early spring sowings negatively impact dwarf hybrid production (1.2 and 1.5 Mg ha−1 in SW1 and SW2, in the average of the three hybrids), which reached the highest yield in the third sowing date (2.0 Mg ha−1), preferring warmer temperatures for the germination of seeds. On the contrary, the ‘Local’ genotype reached the highest yield (1.6 Mg ha−1) in the first sowing date and linearly decreased in the subsequent ones. Nonetheless, the third sowing date positively influenced the oil content and the oil yield in all dwarf genotypes except the ‘Local’ genotype, which showed the highest oil yield in the first sowing date.

1. Introduction

Castor bean (Ricinus communis L.) is an oil seed crop belonging to the Euphorbiaceae family, originating from Asia or Africa [1]. The latter seems the most likely centre of origin because of the ample genetic diversity [2]. Nowadays, the main area of cultivation is India, which ranked 1st as the main exporter, followed by China, Brazil, and the African continent [3,4,5].
In the past decades, an increasing interest has grown in the market towards the use of this crop, especially for the high seed oil content (35–65%), which has wide applications within the industrial and pharmaceutical sectors [6]. Indeed, castor oil has a unique composition, having up to 90% of ricinoleic acid, 3–6% linoleic, 2–4% oleic, and 1–5% saturated fatty acids [7]. Through oil extraction and, consequently, purification and transesterification process, it is possible to obtain biofuels, such as biodiesel, which is non-toxic, aromatic-less with high miscibility, it has a lower cetane number (CN; 43.7) than diesel (CN; 51) [8,9], has a great biodegradability and it is renewable [10]. Moreover, biodiesel reduces SO2 emissions because of the high viscosity present, which avoids the addition of sulphur compounds, and it burns cleaner than other fuels due to its higher oxygen content [11].
These advantageous characteristics perfectly meet the requirements that must be satisfied within the global challenges of limiting the use of fossil fuels, as required by the law (UE) 2021/1119 [9,12]. They also represent the goal settled in the European Green Deal, which encourages the use of biofuels in Europe; the increase of national biofuels production, then reducing importations; the stabilisation of fossil fuel prices; the reduction of GHG emissions by at least 55% by 2030, and the possibility of having biofuels as a supplementary income for the primary sector [13].
Moreover, castor cultivation enhances the use of marginal lands, allowing not only a re-evaluation of these degraded soils but also avoiding the competition with valuable lands used for agricultural purposes [14], coping with the goals settled in the Agenda 2030 (ONU, 2015) [12,15]. According to Directive 2018/2001/UE (RED—Renewable Energy Directive) [16,17], it is also necessary to verify if the crop is suitable to be cultivated as a catch crop between the two main crops in crop rotation.
Hence, to fulfil these goals, it is important to improve the production of castor and its agronomic traits. Therefore, in today’s panorama, castor seems to be an interesting oil crop to use due to its rusticity and capacity to adapt to different pedo-climatic conditions. Being a warm-season crop, it behaves as a perennial species in tropical regions and sub-tropical regions and as an annual crop in the Mediterranean basin. However, frosts and cool winters can lead to the death of the plant, giving a reason for the selection of dwarf hybrids that are cultivated as annual crops and have higher yield potential, uniformity, and precocity in comparison with other castor genotypes.
Different studies confirm that to obtain high germination percentage, proper ripening, and consequently a high level of oil, castor must be cultivated in a warm environment, and the sowing has to be carried out during the spring when the general temperatures range from 25 °C to 30 °C [18,19].
In this regard, the aim of the present study is the identification of the best period of sowing; to avoid low temperatures, try to take advantage of the water stored in the soil during the rainy period, exploiting warm temperatures to ensure germination and seedling establishment and extending the growing season. Therefore, annual dwarf hybrids of castor were compared on four different sowing dates from April to July in a Mediterranean environment.

2. Materials and Methods

2.1. Field Trial Description

The field experiment was conducted at the experimental farm of the University of Catania, Italy (10 m a.s.l., Catania (37°24′31″ N; 15°3′33″ E) in a typical xerofluvent soil, over the period April-November 2021. The characteristics of the soil are as follows: clay 32.3%, silt 11.8%, sand 55.9%, organic matter 1.4%, pH7.6, total N 0.2%, available P2O5 46.1 mg/kg, and exchangeable K2O 293.3 mg/kg.
Two experimental factors were studied, genotype and sowing date. The sowing dates were four: 1 April 2021 (SW1); 30 April 2021 (SW2); 1 June 2021 (SW3); 8 July 2021 (SW4).
Four different genotypes were evaluated: three dwarf hybrids (C1012, C857, C856) and a local selected population (named local genotype). The local genotype of castor used as a control was mass-selected for good adaptation to the South Mediterranean environment from a wild Tunisian population at the Department of Agriculture, Food and Environment (Di3A) of the University of Catania. The other genotypes analysed are dwarf hybrids provided by Kaiima Company (Campinas—SP, Brasil). Dwarf hybrids are characterised by an early ripening cycle and are more suitable for mechanised harvesting due to the height reached by their stem. A split-plot design with three replicates was applied, assigning the sowing date to the main plot and the genotype to the subplot.
The soil was previously ploughed to carry out proper sowing, which has been done manually. A total amount of 120 kg/ha of nitrogen was applied using, before sowing, 60 kg/ha of ammonium sulphate, and at the flowering stage, the same amount was applied in the form of ammonium nitrate, while 80 kg/ha of simple superphosphate (18%) was supplied at sowing.
The plant density was 3 plants m−2, and the rows were 1 m apart with an interval within the row of 0.33 cm. In each hole, a single seed was sown with a sowing depth of 3–4 cm.
Irrigation water was supplied employing a drip irrigation system. The irrigation volume was determined as the maximum amount of available soil water content in a depth of 0.4 m soil, in which the root system is mostly developed.
The irrigation volume was calculated according to:
V = 0.6 × (FC-WP) × ɸ × D × 103
in which V = water amount (mm); 0.66 = readily available water not limiting for evapotranspiration; FC = soil water content at field capacity (27% of dry soil weight); WP = soil water content at wilting point (11% of dry soil weight); ɸ = bulk density (1.1 g cm−3); and D = rooting depth (0.6 m).
To schedule irrigation, the sum of daily maximum crop evapotranspiration (ETm) had to match the mentioned volume (V). Rainfall events were subtracted from the calculation. The daily ETm was estimated according to:
ETm = E0 × Kp × Kc
where ETm corresponds to the maximum daily evapotranspiration (mm); E0 is the evaporation of class-A pan (mm); Kp is the pan coefficient, equal to 0.80 in the semi-arid environment [20]. The crop coefficients (Kc) were determined by previous observations: 0.4 from the emergence phase till the 4-leaf stage; 0.7 from the 4-leaf stage till the flowering; 1.2 from the beginning of flowering to complete capsule development of the first raceme and 0.55 from the first raceme to complete capsule ripening. Along the growing season, each sowing date received 2820, 2112, 1816, and 1615 m3 of water for SW1, SW2, SW3, and SW4, respectively.
Considering the subsequent ripening of primary and secondary racemes and the different sowing dates adopted, two different harvests were carried out manually for all sowing dates. The first harvest was carried out on 10 October 2021 collecting primary and secondary racemes already ripened. The lately ripened secondary racemes were harvested on 20 November 2021. At harvest, racemes were collected and weighted in each plot. After harvest, in each raceme, the capsules were separated from the peduncle, and then the capsules were mechanically treated to separate the seeds from the husk. After the separation, the seeds were weighted to determine the yield.
A sample of raceme from five plants was collected for each plot to measure the length of the raceme, the number of capsules per raceme, the weight of the seed per raceme, and the weight of the empty capsule per raceme. Thus, the collected capsules were manually separated from the husks to obtain clean seeds. The seeds were separated, weighed and ground for laboratory analysis.

2.2. Measurements and Determinations

During the growing season, air temperature and rainfall were measured through a weather station connected to a data logger (Delta-T Devices Ltd., WS-GP1 Compact Weather Station, Cambridge, UK). The evapotranspiration (ET0) was measured by means of a Class A evaporation pan. Both equipment were located 150 m apart from the experimental field.
Dates of phenological phases for each genotype were measured twice a week during the growing period. The scoring has been performed as described by Gervasio et al., (2016) [21] Hence, the phases recorded during the trial were emergence = E; main inflorescence appearance = F1; main flowering on the raceme = A1; beginning of fruit set on the main raceme = G1/1; conclusion of the main raceme fruit set = G1/2; maturation of the main raceme considered at the browning of all the present capsules = M.
The ‘germination rate’ was calculated according to the following formula:
Germination   rate   ( % ) = G N S N × 100
where GN = total number of plantlets emerged; SN = total number of seeds used in the experiment [22].
The ‘Germination rate’ was related to the mean temperature of the period sowing (S)-emergence (E) calculated as follows [23]:
Mean   temperature   Sowing Emergence   = i n ( T m i / n )
where i = 1; T m i = mean temperature at day i; n = number of days from Sowing to Emergence. The relation was described by a linear regression calculated using SIGMAPLOT®11.0 software; Systat Software Inc., San Jose, CA, USA.

2.3. Oil Extraction and Determination

The seeds of the primary and secondary racemes were analysed separately to evaluate if the order of racemes influenced the oil yield. GM200 blade mill (Retsch, GmbH, Haan, Germany) was employed to crush seed into a paste (cake). According to AOAC (Association of Official Analytical Chemists) [24], oil extractions were performed as follows. The solvent extractor SER 148/6 (produced by Velp Scientifica Srl, Usmate Velate (MB), Italy) was used, and an evolution of the Randall method, as reported by Lovkis et al. (2018) [25] was utilised to obtain the oil. The method involves the use of 3–10 g of ground seeds and the use of a hot extraction solvent, such as n-hexane, allowing a reduction of times compared to the classical technique. The extractor foresees a three-stage process: immersion, washing, and recovery of the solvent used.
In the current work, the preparation of the samples involved the filling of the crucibles (porous cellulose fibre thimble) with 3 g of the ground seed samples, immersed in 70 mL of boiling solvent (boiling temperature of 130 °C) and placed into a Soxhlet extractor. An immersion and washing phase of 60 min each followed to obtain the oil. After the first two stages, most of the solvent used is recovered in the recovery step. At the end of the procedure, the extraction vessels were placed in an oven at 105° for 30′ to ensure the evaporation of any solvent residues. The vessels were cooled in a desiccator and weighed to calculate the total fat percentage.
The oil content of castor seed was calculated by the following formula, as described by Danlami et al. (2015) [26].
Oil   content   ( % ) = ( W e i g h t   o f   t h e   e x t r a c t e d   o i l   w e i g h t   o f   t o t a l   s a m p l e ) × 100
The oil yield was calculated by multiplying the oil content (%) obtained by the seed yield (kg/ha).

2.4. Statistical Analysis

Data were statistically analysed using a factorial two-way ANOVA. The data were processed using CoStat version 6.003 (CoHort Software), considering the genotype and sowing dates as fixed factors. When “F” ratios were significant, the means of main factors were separated by Tukey’s test (p < 0.05), while significant interaction in two-way ANOVA was indicated by the LSD test (p < 0.05).

3. Results

3.1. Climatic Conditions

During the entire growing season from April to November, the average temperatures were 26.8 °C for the maximum temperature and 16 °C for the minimum temperature and 21.3 °C for the mean temperature (Figure 1).
Apart from some rain in April, no rain occurred until the beginning of autumn, in which abundant rainfall was registered from September to November, with an average of 29.9 mm per ten-day period. The evapotranspiration (ET0) raised from April to a maximum in the last ten-day period of July with 69.8 mm; precisely 8.9 and 8.8 mm on 10/07 and 03/08, respectively. The dry period (ET0 > R) ranged from the second ten-day period of April to the second ten-day period of September.

3.2. Phenological Stages

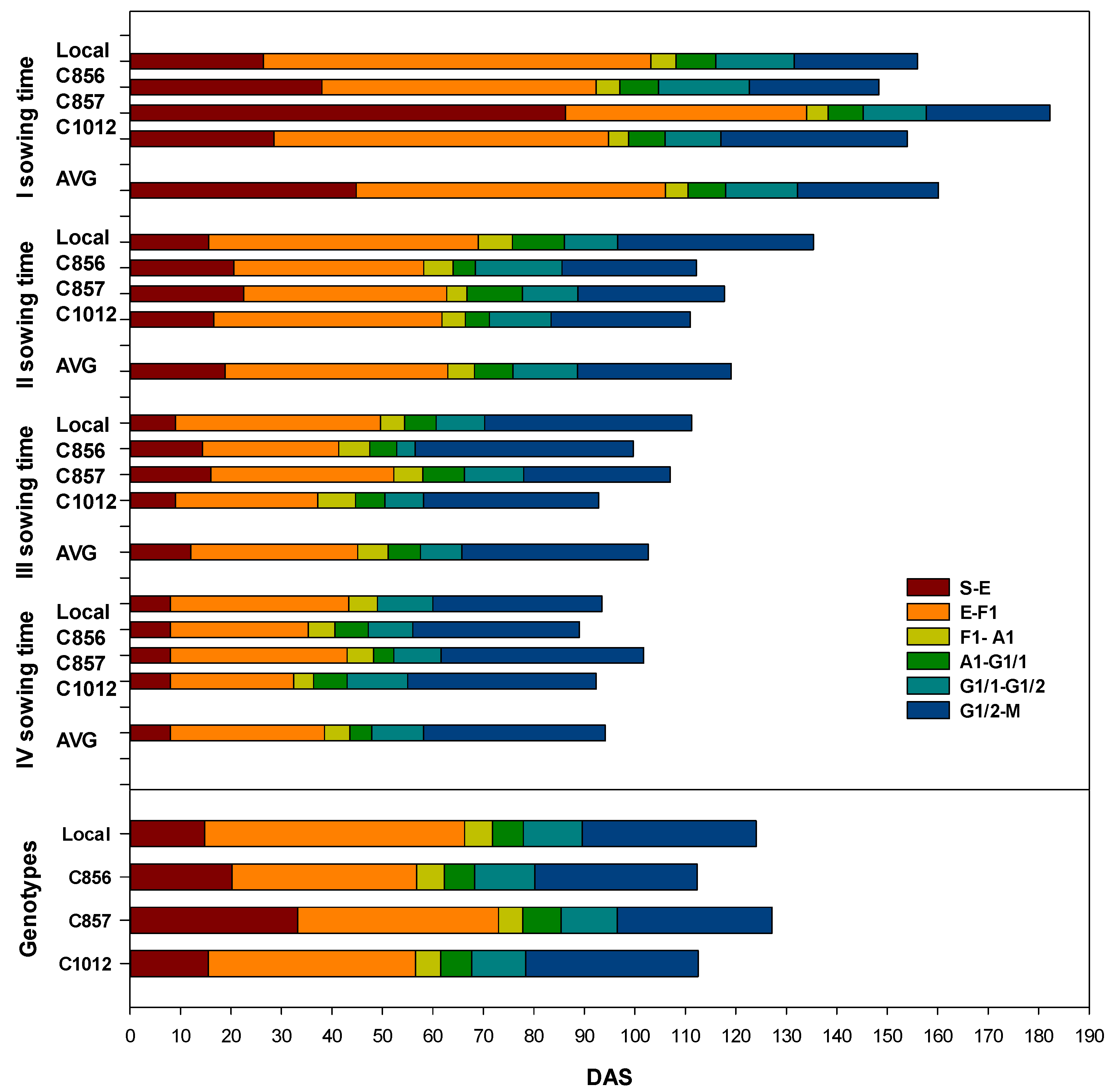
The length of the main phenological stages for primary racemes is shown in Figure 2. For the average of genotypes, the period “Sowing-E” was 45, 19, 12, and 8 days in SW1, SW2, SW3, and SW4, respectively. The period “E-M” was higher on the first sowing date, decreasing in the subsequent ones (160 and 119 days, 103 and 94 days, respectively, for SW1, SW2, SW3, and SW4).
Moreover, in the average of the genotypes, the ones having the longest period “E-M” were ‘C857’ and ‘Local’ (127 and 124 days, respectively), followed by ‘C1012’ and ‘C856’ (113 and 112 days, respectively).
The time interval “E-F1”, being the stage that had the main impact on the length of the growing cycle, in the average of genotypes, decreased from the first to the last sowing date with 61, 44, 33 and 31 days, respectively, for SW1, SW2, SW3, and SW4. The ‘Local’ genotype showed the highest value for the “E-F1” period with 52 days.
The time interval “F1-G1/1” presented negligible differences concerning the sowing dates and the genotypes; in the average of the four genotypes, it was between 4 and 6 days. Similar behaviour for the time interval “G1/1-G1/2” (from 4–8 days) and “G1/2-M” (from 8–14 days).
This last stage, corresponding to the beginning of the browning of the capsules, also had a strong impact on the growing cycle, depending on the sowing date. Being higher in the late sowings (SW3 and SW4, 37 and 36 days, respectively) and lower in the early sowing (SW1 and SW3, 28 and 30 days).

3.3. Germination Rate and Temperature Relation

In Figure 3, the relation between the percentage of seed germination in the soil and the average temperature of the period “sowing–emergence” is reported for the studied genotypes. Across the studied sowing dates, a positive correlation between the level of temperature and germination rate was found, especially in the dwarf genotypes. Nevertheless, the ‘Local’ genotype showed a lower influence of temperatures on the germination rate, being 90% in SW1 and 100% in the following sowings.
In-depth, high values of germination rate were obtained in all genotypes with temperatures higher than 22 °C reaching the maximum rate of germination at an average of 26 °C.
Below this temperature, only the ‘Local’ genotype maintained a high germination rate, while for the other genotypes, the germination rate decreased to almost 40% at 14.1 °C for ‘C1012’, 14.9 °C for ‘C856’, and 18.4 °C for ‘C857’.

3.4. Total Yield

The ANOVA showed a significant effect of genotype (G) and sowing date (S) on yield, such as the interaction S x G (p < 0.001). As shown in Figure 4, across the genotypes, ‘SW3’ was statistically the sowing date with the highest value (1825.7 kg/ha), followed by SW2 (1564.6 kg/ha). The yield significantly decreased in ‘SW1’ and ‘SW4’ (1330.9 and 1194.5 kg/ha, respectively), which were not statistically different.
Across the sowing dates, the yield varied significantly with the genotype (p < 0.001), being the highest in ‘C856’ with a yield of 1806.9 kg/ha followed by C1012 with 1567 kg/ha. The less productive genotypes were ‘C857’ and ‘Local’ (1302.8 and 1238.1 kg/ha, respectively).
A clear effect of sowing date on yield can be found in the ‘Local’ genotype, in which the yield decreased from 1601.1 kg/ha in SW1 to 809.7 kg/ha in SW4, passing through 1467.4 and 1074.1 kg/ha, respectively for ‘SW2’ and ‘SW3’. Regarding the dwarf genotypes, the highest value was found for ‘C857’ in ‘SW3’, with a yield of 2311.4 kg/ha, followed by ‘C1012’, which had the highest value in ‘SW3’ (1948.2 kg/ha). Both genotypes had a strong reduction in both ‘SW1’ and ‘SW2’ due to the strong reduction of plants germinated. In the ‘C856’ genotype, we did not find statistically different yields among the sowing dates.

3.5. Yield Incidence of Seed Weight of Primary and Secondary Racemes

The yield previously obtained is the result of primary and secondary racemes harvested. As shown in Figure 5, the yield incidence of seed weight of primary and secondary racemes was statistically significant for both sowing dates (p < 0.001) and genotypes (p < 0.001), and so was their interaction SxG (p < 0.001).
By analysing the sowing dates, the incidence of main raceme was significantly the lowest in SW1 and increased in the following sowing dates up to SW3, which was not significantly different from SW4 (55.43 and 51.31%, respectively). This is attributable to the fact that longer cycles, given by earlier sowings, positively affect the production of secondary racemes.
As far as the genotypes are concerned, the genotype with the highest incidence of primary racemes is the ‘Local’ (76.4%), statistically different from the dwarf hybrids, which have a lower percentage for primary racemes (38.47, 28.37, 27.59% for C1012, C857, and C856, respectively).

3.6. Yield per Plant

For the average of genotypes, the sowing dates with higher yield per plant were SW1 (282.7 g) and SW2 (297.8 g), both not significantly different, followed by SW3 (245.0 g) and SW4 (132.7 g), confirming the strong impact of the sowing date on the yield per plant (Table 1).
Even the genotype had a relevant influence on the yield. In fact, across the sowing date, the genotype that gave better results is ‘C856’ (326.0 g), followed by ‘C1012’ (261.0 g), ‘C857’ (227.0 g), and the ‘Local’, which resulted in the genotype with the lowest yield per plant with 143.1 g.
The significant S × G interaction (p < 0.001) is to be ascribed mainly to the behaviour of ‘C857’, which gave, on the first sowing date, the lowest yield per plant among the genotypes at the same sowing date and by far lower than the yield per plant of SW2 and SW3 in the same genotype.

3.7. Yield Components

The yield components for the primary raceme, such as the length of the raceme, the seed weight per raceme, the number of capsules per raceme, and the weight of the husks, were significantly affected by the studied factors (Table 2). The 100-seed weight was the exception, significantly influenced only by the genotype.
The length for primary racemes was significantly affected by genotype and sowing date. Across the genotype, SW3 and SW4 were not statistically significantly different (36.6 and 37.3 cm, respectively), contrary to SW1 and SW2, in which the difference was statistically significant (21.7 and 32.2 cm, respectively). ‘Genotype’ also significantly influenced the racemes length (G, p < 0.001). Across sowing dates, the longest are ‘C1012’ and ‘C857’ (38.6 and 31.9 cm), and ‘C856’ and the ‘Local’ genotype, the shortest being not significantly different (28.1 and 29.2 cm, respectively).
The seed weight per raceme was significantly affected by both the studied factors (G; S, p < 0.001). Across the sowing date, only the ‘Local’ genotype was statistically significantly different from the others (Local, 27.6 g). As for the sowing date, for the average of the genotypes, the seed weight per raceme was the highest in SW3 (33.8 g), showing a decrease in respect to this of 41.0% in SW1, 30.7% in SW2 and 37.2% in SW4.
The statistical analysis of the number of capsules showed a significant effect caused by the sowing date and by the genotype. The increase in temperature registered in the SW3 had a greater effect (38.8 number of capsules). The ‘Local’ genotype confirmed great adaptation, showing a higher number of capsules (32.4).
For the average of genotypes, SW3 and SW4 were statistically significantly different (12.8 and 8.6 g, respectively), whereas SW1 and SW2 did not show any significant difference (both ≥10 g). Independent of sowing dates, the best value was for the ‘Local’ genotype (13.2 g), statistically different from the others (‘C1012’, ‘C857’, and ‘C856’, ranging from 9.8 and 10.0 g).
The seed weight ranged between 31.1 and 32.8 g for the average of the sowing dates and between 29.9 and 35.3 g for the average of the genotypes.

3.8. Oil Content Primary Racemes

The oil content showed a significant difference in relation to sowing dates and genotypes (Figure 6). Across the genotypes, the oil content for primary racemes exceeded 45.0%, except for SW1 and SW4, in which the oil content was significantly lower than the others. The most productive sowing date appears to be SW3, with the highest value of 48.4%, not significantly different from SW2 (45.4%).
Across the sowing dates, the oil content was significantly different, being the highest in ‘856’ (48.9%) and ‘1012’ (46.0%). Whereas ‘C857’ and the ‘Local’ were the genotypes with the lowest values (42.9 and 41.8%, respectively).
In-depth, the genotype ‘C856’ is the one that kept values up to 45% in all the sowing dates, reaching the highest value of 54.5% in SW3. The genotype ‘857’ has shown significantly lower values with respect to SW3 (48.2%), having a decrease of 20.1% in SW1 and 15.4% in SW4.
The local genotype has shown the significantly lowest values in SW2 (40.0%) and SW4 (39.3%).

3.9. Oil Content Secondary Racemes

According to ANOVA, the oil content of secondary racemes showed a significant difference in relation to sowing dates but did not show any difference in relation to the genotypes, and their interaction was not significant (Figure 7).
Across the genotypes, the highest percentage of oil content was found in SW1 (47.6%), followed by SW2 (45.7%) and SW3 (43.8%), while the lowest oil percentage was obtained in SW4 (41.0%). The highest value in SW1 is mainly due to the ‘Local’ genotype, which had the best result for the oil content (55.1%). Moreover, even if the ‘Local’ genotype for the secondary racemes kept the values up to 44%, the SW1 to SW4 had a slight decrease in the oil content (44.9, 44.5, and 44.1% in SW2, SW3, and SW4, respectively).
SW4, on average, is the sowing with the statistically lowest values. This is strongly affected by ‘C857’ and ‘C856’, which had values lower than 39.0%.

3.10. Oil Yield

The oil yield was significantly affected by the different seed yields obtained in the field experiment. As shown in Figure 8, across genotypes, the sowing dates were statistically different from each other, with SW3 being the sowing with the highest value (840.4 kg/ha). SW2 is the second sowing with the highest value (708.0 kg/ha), while SW1 and SW4 had the lowest (612.4 and 491.0 kg/ha, respectively).
Across the sowing dates, ‘C856’ is, on average, the genotype with the best results (814.4 kg/ha), followed by ‘C1012’ with 719.1 kg/ha. A reduction of 29.4% and 33.2% was recorded for the genotypes ‘C857’ and the ‘Local’, respectively.
The best combination of Sowing date and Genotype were obtained for ‘SW3 x C857’, which had a value of 1073.1 kg/ha, followed by ‘SW3 × C856’ and ‘SW3’ × ‘C1012’ (932.6 and 874.8 kg/ha, respectively). Whereas the best combination of Sowing date × Genotype for the ‘Local’ was obtained in SW1 with 767.1 kg/ha. These results confirm that the dwarf hybrids prefer late sowings, while the ‘Local’ prefers earlier sowings.

4. Discussion

The area of cultivation of castor seems to be one of the main aspects to influence the length of the growing season. Different studies confirm that in semi-arid and arid regions, the higher the length of the growing cycle (up to 180 days), the higher the yield [27,28]. Our findings confirmed this, at least for the ‘Local’ genotype, where the rate of germination was high. Although, it has also been reported that 100 days may be sufficient in humid climates [29]. As can be expected, the time of sowing strongly affects the length of the growing cycle of the castor. The low temperatures recorded in the first two sowing dates induced a delay in the plant emergence and main inflorescence appearance and consequently extended the crop cycle of the plant. These results highlight, on one side, the advantage of early sowing for a long growing cycle and, on the other side, the great advantage of the possibility of shorter production cycles with late sowings to use the castor crop as a valid candidate as a catch crop, as requested in the Directive 2018/2001/UE (RED—Renewable Energy Directive) [17] of the European Commission for considering a subsidising production.
Our results confirmed other studies in the Mediterranean area. Indeed, Calcagno et al. (2023) [30] found that, in castor sown late in April, the ripening was reached in just 145 days in a local variety, in line with our ‘Local’ genotype, which took between 156 and 135 days for the E-M cycle in spring sowings. Whereas, Patanè et al. (2019) [31] found that 99 days are sufficient with sowings in May, matching the time that occurred in the late sowings of our ‘Local’ genotype, which needed 111 and 94 days (SW3 and SW4, respectively).
As far as dwarf hybrids are concerned, Alexopoulou et al. (2015) [32] reported a growing cycle perfectly in line with ours. In fact, in Greece, genotypes ‘C856’ and ‘C857’ sown in May, needed 159 days (from sowing to harvest), whilst the same genotypes, in our research, took 165 days for the same period (30/04), corresponding to the 2nd sowing date.
In the present work, low temperatures of the soil have negatively affected the emergence of dwarf seeds. Linear regression was used to describe the relation between the average temperature during the ‘Sowing-emergence’ and the rate of seed germination. Low levels of germination were recorded with temperatures below 22 °C. Specifically, the dwarf genotypes ‘C1012’ and ‘C856’ achieved 44% of germination at around 14 °C, while the genotype ‘C857’ achieved 44% of germination at an average temperature of 18 °C. By postponing the sowing date, the increase in temperature positively influenced germination, and levels of 88% were recorded at a temperature higher than 21.5 °C in the dwarf genotypes.
The germination potential of oilseed crops linearly increases with temperatures increase, even if excessive thermal rises fail crop germination [33]. Moreover, the delay in germination is also strongly associated with the fatty acid composition of the seed [34]. Unsaturated fatty acids keep the fluidity of the membrane, even at low temperatures [35]. Considering that castor is made of 90% of ricinoleic acid, a high level of susceptibility to temperature is found to influence germination, even if ricinoleic acid has a freezing point below most other fatty acids [34]; thus, further studies are requested.
On the contrary, the ‘Local’ genotype was the most tolerant to the lowering of temperature, achieving 88% of germination at temperature <14 °C and reaching the maximum level of germination, in the following sowings, even at 17.9 °C. In this context, the ‘Local’ genotype, developed in the semi-desert area of Tunisia, probably was more acquainted with the low night temperatures of desert areas. Windauer et al. (2012) [36], by studying Jatropha curcas L., a crop belonging to the same family of castor, found and confirmed that increased temperatures shortened the germination time requested for germination, reaching 82% of germination at 25 °C in 8 days, comparable to our results (for the dwarf and ‘Local’ genotypes).
By evaluating the main factors studied, it emerged that the sowing date and genotype both played a major role in the attainment of the total yield. The three dwarf hybrids examined in this study (‘C1012’, ‘C857’ and ‘C856’) showed a strong reduction of yield due to a reduction in the number of plants caused by the low germination rate in the first two sowing dates. In the 3rd sowing, the hybrids supplied considerably higher rates of total yield compared to the ‘Local’ genotype (more than 50% lower than the hybrids). Dwarf hybrids were also studied by Alexopoulou et al. (2015) [32], which obtained a yield production of 1.9 Mg ha−1 for genotype ‘C856’, when sown late in May in 2012, whilst the sowing of April 2014 attained 3.1 Mg ha−1. This confirmed our result for ‘C856’, sown on the 1st of June (1.9 Mg ha−1), while our sowing on the 1st and 30th of April yielded an average of 1.8 Mg ha−1 because of the low seed germination rate, which reduced the number of plants per square meter. Moreover, Alexopoulou et al. (2015) [32] with the genotype ‘C857’ attained a yield of 2.5 Mg ha−1 when sown late in May 2014, similar to our ‘C857’, which achieved 2.3 Mg ha−1 in the sowing on the 1st of June (3rd sowing date). Whilst Zanetti et al. (2017) [37] found a seed yield of almost 2 Mg ha−1 for ‘C856’ when sown on the 25th of April and 14th of May in Aliartos and Bologna, similar to our results on the same dates.
The rate of germination was also found to influence the yield per plant. The dwarf hybrids had considerably higher yield per plant than the ‘Local’ genotype, particularly in the 3rd and 4th sowing dates. It is probable that the low germination rate did not allow the dwarf genotypes to enhance their potential productivity, which could have been much more elevated. On the contrary, the ‘Local’ genotype behaves better in the earlier sowing dates.
Earliest sowing (SW1 and SW2) promoted the development of secondary racemes by the extension of the growing cycle. In contrast, the shortest cycle and probably higher temperatures encountered in the latest sowings induced a slight delay in the development of secondary racemes in SW3 and SW4, although a strong influence was also given by the genotype factor. Overall, the ‘Local’ genotype had a major yield contribution by the production of primary racemes. Whereas the dwarf genotypes had a major secondary racemes production, attributable to the higher contribution of racemes per plant on the dwarf genotypes, as further reported by Alexopoulou et al. (2015) [32], who, by comparing three annual field trials, found that a longer growing period gave almost double the number of raceme (4.5 racemes per plant vs 8 racemes per plant, in 2012 and 2014, respectively).
Severino and Auld (2013) [38] by reporting that the response of yield components is dependent on several factors, focused on the difficulties of using this information to improve yield, pointing out how the selection has to focus on all the parameters, that only combined can positively influence the production.
Furthermore, our findings highlighted how the various yield components were influenced by both sowing date and genotype in different ways, the number of plants per square meter being the main factor. The data showed that, for the results of the seed weight per raceme, the number of capsules, and the husks, higher values were obtained in the ‘Local’ genotype than in the dwarf hybrids. However, this seems to have slightly influenced the final yields.
The importance given to castor is strongly related to the oil produced from its seeds [14]. The oil content reached the maximum rate of 54% in primary racemes and ranged from 38.5 in ‘C857’ (SW1) to 54.5% in ‘C856’ (SW3). The oil content variation in primary and secondary racemes varied according to both sowing date and genotype. Higher results were reported for secondary racemes, which reached a range from 38.0 ‘C856’ (SW4) to 55.1% (SW1) in the ‘Local’ castor. Thus, negligible differences were found among the dwarf genotypes, and only our ‘Local’ genotype showed a major influence depending on the order of the raceme. Zanetti et al. (2017) [37], by evaluating dwarf hybrids in Italy and Greece, found differences due to the environment of cultivation. Particularly, ‘C856’ cultivated in Italy reached an oil content (%) value lower than in Greece (around 50% against 55%, respectively). These results confirmed what was found for our ‘C856’, which averaged, independently of the sowing date, about 50%. Nevertheless, our results are perfectly in line with those reported in the literature for the oil content, ranging from 49.0–53.0% in dwarf hybrids [39] from 30.4 to 50.6% (in ‘Local’ genotype) [30], from 40.1 and 57.4% [40], and from 24.2 to 50.0% in dwarf and normal castor [41].
Finally, the oil yield measured in the ‘Local’ genotype was lower compared to those of the dwarf genotypes (542.6 kg/ha vs 702.6 kg/ha) mainly due to the total yield obtained in the dwarf genotypes more than to the oil content (%). Anastasi et al. (2014) [42] found that oil yield in local castor was dependent on the genotype by reporting 420 kg/ha of oil yield in the Sicilian area of Ragusa for a ‘Local’ variety against 710 kg/ha of a ‘Brazilian’ genotype.

5. Conclusions

Castor can be a suitable crop to produce oil when established in the Mediterranean basin, pointing out that dwarf hybrids prefer warmer temperatures, and the ‘Local’ genotype could be a valid candidate for early sowings. Briefly, castor is a promising low-maintenance oil crop suitable for marginal land and to satisfy industrial and chemical requests. This study aimed to highlight the potential of using castor, on the one hand, the advantage of early sowing for a long growing cycle, and on the other, the possibility of shorter production cycles with late sowings to use the castor crop as a valid candidate as a catch crop, as requested in the Directive 2018/2001/UE (RED—Renewable Energy Directive) of the European Commission for considering a subsidising production. In this last case, the dwarf genotypes can play an important role considering their short growing season and high yield potential.
Overall, the present study highlighted the ‘Local’ castor as the best genotype for performing early sowing in Spring, whereas the dwarf hybrids prefer warmer temperatures given by performing late sowings.

Author Contributions

Conceptualization, V.C., S.L.C. and G.T.; methodology, V.C., S.L.C. and G.T.; software, V.C.; validation, V.C. and S.C.; formal analysis, V.C.; investigation, V.C. and S.C.; resources, C.P. and S.L.C.; data curation, V.C. and S.L.C.; writing—original draft preparation, V.C.; writing—review and editing, V.C., C.P., S.L.C. and G.T.; visualisation, V.C.; supervision, C.P., S.L.C. and G.T.; project administration, S.L.C.; funding acquisition, S.L.C. All authors have read and agreed to the published version of the manuscript.

Funding

This paper is part of the project RICINOLIO, under D.D.S. n. 4195/2021, funded by “Regione Siciliana, PSR Sicilia 2014–2020 Sottomisura 16.1”; it was also funded by PhD course in “Agricultural, Food and Environmental science” of the University of Catania, Department of Agricultural, Food and Environment, Italy.

Data Availability Statement

Not applicable.

Acknowledgments

Authors gratefully acknowledge Matteo Maugeri and Luciano Guglielmino of the University of Catania for field trial set-up and maintenance.

Conflicts of Interest

The authors declare no conflict of interest.

References

  1. Salihu, B.Z.; Gana, A.K.; Apuyor, B.O. Castor Oil Plant (Ricinus communis L.): Botany, Ecology and Uses. Int. J. Sci. Res. 2014, 3, 1333–1341. [Google Scholar]
  2. Gusamo, B.K.; Jimbudo, M. Tree-Borne Oilseed Crops: Jatropha Curcas, Ricinus Communis, Anacardium Occidentale and Some Native Trees for Oil Production for Bio-Energy Source in Papua New Guinea. J. Agric. Environ. Sci. 2015, 4, 113–123. [Google Scholar] [CrossRef][Green Version]
  3. Zanetti, F.; Monti, A.; Berti, M.T. Challenges and Opportunities for New Industrial Oilseed Crops in EU-27: A Review. Ind. Crops Prod. 2013, 50, 580–595. [Google Scholar] [CrossRef]
  4. Reddy, G.J. Growth and Instability of Castor Oil Exports from India. Int. J. Recent Adv. Multidiscip. Top. 2023, 4, 51–53. [Google Scholar]
  5. da Silva, L.M.N.; de Araújo Nascimento, D.; dos Santos Brito, A.; Peixouto, L.S.; Cotrim, V.F. Water Use Efficiency of Castor Bean under Semi-Arid Conditions of Brazil. Agric. Water Manag. 2022, 260, 107278. [Google Scholar] [CrossRef]
  6. Yadav, P.; Anjani, K. Assessment of Variation in Castor Genetic Resources for Oil Characteristics. JAOCS J. Am. Oil Chem. Soc. 2017, 94, 611–617. [Google Scholar] [CrossRef]
  7. Patel, V.R.; Dumancas, G.G.; Viswanath, L.C.K.; Maples, R.; Subong, B.J.J. Castor Oil: Properties, Uses, and Optimization of Processing Parameters in Commercial Production. Lipid Insights 2016, 9, LPI-S40233. [Google Scholar] [CrossRef]
  8. Nguyen, H.C.; Nguyen, M.L.; Su, C.H.; Ong, H.C.; Juan, H.Y.; Wu, S.J. Bio-Derived Catalysts: A Current Trend of Catalysts Used in Biodiesel Production. Catalysts 2021, 11, 812. [Google Scholar] [CrossRef]
  9. Keera, S.T.; El Sabagh, S.M.; Taman, A.R. Castor Oil Biodiesel Production and Optimization. Egypt. J. Pet. 2018, 27, 979–984. [Google Scholar] [CrossRef]
  10. Carrino, L.; Visconti, D.; Fiorentino, N.; Fagnano, M. Biofuel Production with Castor Bean: A Win-Win Strategy for Marginal Land. Agronomy 2020, 10, 1690. [Google Scholar]
  11. McKeon, T.A. Castor (Ricinus communis L.). Ind. Oil Crop 2016, 4, 75–112. [Google Scholar]
  12. European Climate Law, 2021 Regolamento (UE) 2021/1119 Del Parlamento Europeo e Del Consiglio Del 30 Giugno 2021 Che Istituisce Il Quadro per Il Conseguimento Della Neutralità Climatica e Che Modifica Il Regolamento (CE) n. 401/2009 e Il Regolamento (UE) 2018/1999 («Normativa Europea sul Clima»). 2021. Available online: https://eur-lex.europa.eu/IT/legal-content/summary/european-climate-law.html (accessed on 25 July 2023).
  13. Sobrino, F.H.; Monroy, C.R.; Pérez, J.L.H. Critical Analysis on Hydrogen as an Alternative to Fossil Fuels and Biofuels for Vehicles in Europe. Renew. Sustain. Energy Rev. 2010, 14, 772–780. [Google Scholar] [CrossRef]
  14. Severino, L.S.; Auld, D.L.; Baldanzi, M.; Cândido, M.J.D.; Chen, G.; Crosby, W.; Tan, D.; He, X.; Lakshmamma, P.; Lavanya, C.; et al. A Review on the Challenges for Increased Production of Castor. Agron. J. 2012, 104, 853–880. [Google Scholar] [CrossRef]
  15. Organizzazione delle Nazioni Unite. Trasformare Il Nostro Mondo: L’Agenda 2030 per Lo Sviluppo Sostenibile (Agenda2030). In Risoluzione adottata dall’Assemblea Gen. 25 Settembre 2015; Organizzazione delle Nazioni Unite: New York, NY, USA, 2015; pp. 1–35. [Google Scholar]
  16. Eisentrau, A. Potential and Perspectives in Major Economies and Developing Countries. 2010. Available online: https://www.oecd-ilibrary.org/energy/sustainable-production-of-second-generation-biofuels_5kmh3njpt6r0-en (accessed on 25 July 2023).
  17. European, U. Directive 2018/2001/UE of The European Parliament and of The Council o Parliament and of The Council of 11 December 2018. Off. J. Eur. Union. 2018. Available online: https://eur-lex.europa.eu/legal-content/IT/TXT/PDF/?uri=CELEX:32018L2001 (accessed on 25 July 2023).
  18. Cheema, N.M.; Azim Malik, M.; Qadir, G.; Zubair Rafique, M.; Nawaz, N. Influence of Temperature and Osmotic Stress on Germination Induction of Different Castor Bean Cultivars. Pak. J. Bot. 2010, 42, 4035–4041. [Google Scholar]
  19. Cafaro, V.; Alexopoulou, E.; Cosentino, S.L. Germination Response of Different Castor Bean Genotypes to Temperature for Early and Late Sowing Adaptation in the Mediterranean Regions. Agriculture 2023, 13, 1569. [Google Scholar] [CrossRef]
  20. Doorenbos, J.; Pruitt, W.O. Guidelines for Predicting Crop Water Requirements; Irrig. Drain. Pap. No. 24; FAO: Rome, Italy, 1977; p. 179. [Google Scholar]
  21. Gervasio, F.A.R.; Luiz, G.d.C.; Joao, J.d.S.J.; Pedro, C.N.; Antonio, C.F. Method and Phenological Characterization of the Stadiums and Phases of the Development of Castor Bean Plants. Afr. J. Agric. Res. 2016, 11, 4488–4497. [Google Scholar] [CrossRef]
  22. Wang, S.M.; Zhang, Y.Z.; Wei, S.H. Standard for Quality Control for Trait Measurement of Common Bean Germplasm Resources; China Agriculture Press: Beijing, China, 2006. [Google Scholar]
  23. Gough, W.A.; Žaknić-Ćatović, A.; Zajch, A. Sampling Frequency of Climate Data for the Determination of Daily Temperature and Daily Temperature Extrema. Int. J. Climatol. 2020, 40, 5451–5463. [Google Scholar] [CrossRef]
  24. Firestone, D.; Yurawecz, M.P. Oils and Fats. In Official Methods of Analysis of AOAC International, 22nd ed.; AOAC Publications: New York, NY, USA, 2023. [Google Scholar]
  25. Lovkis, Z.V.; Pochitskaya, I.M.; Komarova, N. V Исследoвание Арoматическoгo Прoфиля the Study of Odor Profile and Color. Theory Pract. Meat Process. 2018, 3, 38–48. [Google Scholar] [CrossRef]
  26. Danlami, J.M.; Arsad, A.; Zaini, M.A.A. Characterization and Process Optimization of Castor Oil (Ricinus communis L.) Extracted by the Soxhlet Method Using Polar and Non-Polar Solvents. J. Taiwan Inst. Chem. Eng. 2015, 47, 99–104. [Google Scholar] [CrossRef]
  27. Silva, L.C.; Gomes, D.; Amorim Neto, M.S.; Araújo, A.E.; Beltrão, N.E. Zoneamento e Época de Plantio Para a Mamoneira. 2000, pp. 1–5. Available online: https://ainfo.cnptia.embrapa.br/digital/bitstream/CNPA-2009-09/14450/1/COMTEC108.pdf (accessed on 25 July 2023).
  28. Falasca, S.L.; Ulberich, A.C.; Ulberich, E. Developing an Agro-Climatic Zoning Model to Determine Potential Production Areas for Castor Bean (Ricinus communis L.). Ind. Crops Prod. 2012, 40, 185–191. [Google Scholar] [CrossRef]
  29. Amorim Neto, M.; Beltrão, N.; Silva, L. Clima e Solo. In O Agronegócio da Mamona No Brasil; Azevedo, D.M., Lima, E.F., Eds.; Embrapa SPI: Brasília, Brazil, 2001. [Google Scholar]
  30. Calcagno, S.; Piccitto, A.; Patan, C.; Cosentino, S.L. Effects of Nitrogen Fertilization and Soil Water Content on Seed and Oil Yield in Perennial Castor in a Mediterranean Environment. Agronomy 2023, 13, 1070. [Google Scholar] [CrossRef]
  31. Patanè, C.; Cosentino, S.L.; Corinzia, S.A.; Testa, G.; Sortino, O.; Scordia, D. Photothermal Zoning of Castor (Ricinus communis L.) Growing Season in the Semi-Arid Mediterranean Area. Ind. Crops Prod. 2019, 142, 111837. [Google Scholar] [CrossRef]
  32. Alexopoulou, E.; Papatheohari, Y.; Zanetti, F.; Tsiotas, K.; Papamichael, I.; Christou, M.; Namatov, I.; Monti, A. Comparative Studies on Several Castor (Ricinus communis L.) Hybrids: Growth, Yields, Seed Oil and Biomass Characterization. Ind. Crops Prod. 2015, 75, 8–13. [Google Scholar] [CrossRef]
  33. Alvarado, V.; Bradford, K.J. A Hydrothermal Time Model Explains the Cardinal Temperatures for Seed Germination. Plant Cell Environ. 2002, 25, 1061–1069. [Google Scholar] [CrossRef]
  34. Severino, L.S.; Auld, D.L. A Framework for the Study of the Growth and Development of Castor Plant. Ind. Crops Prod. 2013, 46, 25–38. [Google Scholar] [CrossRef]
  35. Tian, J.; Tian, L.; Chen, M.; Chen, Y.; Wei, A. Low Temperature Affects Fatty Acids Profiling and Key Synthesis Genes Expression Patterns in Zanthoxylum Bungeanum Maxim. Int. J. Mol. Sci. 2022, 23, 2319. [Google Scholar] [CrossRef]
  36. Windauer, L.B.; Martinez, J.; Rapoport, D.; Wassner, D.; Benech-Arnold, R. Germination Responses to Temperature and Water Potential in Jatropha Curcas Seeds: A Hydrotime Model Explains the Difference between Dormancy Expression and Dormancy Induction at Different Incubation Temperatures. Ann. Bot. 2012, 109, 265–273. [Google Scholar] [CrossRef]
  37. Zanetti, F.; Chieco, C.; Alexopoulou, E.; Vecchi, A.; Bertazza, G.; Monti, A. Comparison of New Castor (Ricinus communis L.) Genotypes in the Mediterranean Area and Possible Valorization of Residual Biomass for Insect Rearing. Ind. Crops Prod. 2017, 107, 581–587. [Google Scholar] [CrossRef]
  38. Severino, L.S.; Auld, D.L. Seed Yield and Yield Components of Castor Influenced by Irrigation. Ind. Crops Prod. 2013, 49, 52–60. [Google Scholar] [CrossRef]
  39. Merkouropoulos, G.; Kapazoglou, A.; Drosou, V.; Jacobs, E.; Krolzig, A.; Papadopoulos, C.; Hilioti, Z.; Phenotype, Á.M.Á. Dwarf Hybrids of the Bioenergy Crop Ricinus communis Suitable for Mechanized Harvesting Reveal Differences in Morpho-Physiological Characteristics and Seed Metabolic Profiles. Euphytica 2016, 210, 207–219. [Google Scholar] [CrossRef]
  40. Chen, G.Q.; Johnson, K.; Morales, E.; Mackey, B.; Lin, J.T. Rapid Development of a Castor Cultivar with Increased Oil Content. Ind. Crops Prod. 2016, 94, 586–588. [Google Scholar] [CrossRef]
  41. Anggraeni, T.D.A.; Purwati, R.D. Characterization of Plant Architecture and Yield Trait of Castor (Ricinus communis L.) Germplasm Suitable for Mechanical Harvesting. AIP Conf. Proc. 2022, 2462, 020025. [Google Scholar] [CrossRef]
  42. Anastasi, U.; Sortino, O.; Cosentino, S.L.; Patanè, C. Seed Yield and Oil Quality of Perennial Castor Bean in a Mediterranean Environment. Int. J. Plant Prod. 2014, 9, 99–116. [Google Scholar]
Figure 1. Daily maximum and minimum air temperature, ten-day rainfall, and reference evapotranspiration—ET0) through the growing season at the experimental site (37°24′31″ N; 15° 3′33″ E.; 10 m a.s.l.).
Figure 1. Daily maximum and minimum air temperature, ten-day rainfall, and reference evapotranspiration—ET0) through the growing season at the experimental site (37°24′31″ N; 15° 3′33″ E.; 10 m a.s.l.).
Agronomy 13 02167 g001
Figure 2. Length of the growing cycle expressed in DAS (Days after Sowing) of phenological stages of primary racemes in castor. Sowing-emergence (S-E), emergence-main inflorescence appearance (E-F1), main inflorescence appearance-main flowering on the raceme (F1/A1), main flowering on the raceme- beginning of fruit set on the main raceme (A1-G1/1), beginning of fruit set on the main raceme-conclusion of the main raceme fruit set (G1-1/G1/2), conclusion of the main raceme- maturation of the main raceme (G1/2-M).
Figure 2. Length of the growing cycle expressed in DAS (Days after Sowing) of phenological stages of primary racemes in castor. Sowing-emergence (S-E), emergence-main inflorescence appearance (E-F1), main inflorescence appearance-main flowering on the raceme (F1/A1), main flowering on the raceme- beginning of fruit set on the main raceme (A1-G1/1), beginning of fruit set on the main raceme-conclusion of the main raceme fruit set (G1-1/G1/2), conclusion of the main raceme- maturation of the main raceme (G1/2-M).
Agronomy 13 02167 g002
Figure 3. Relation between germination rate (%) and temperature (°C) of the period ‘sowing-emergence’ in each sowing date (SW1, SW2, SW3, and SW4) and genotypes (C1012, C857, C856, Local).
Figure 3. Relation between germination rate (%) and temperature (°C) of the period ‘sowing-emergence’ in each sowing date (SW1, SW2, SW3, and SW4) and genotypes (C1012, C857, C856, Local).
Agronomy 13 02167 g003
Figure 4. On the left, the total yield (kg/ha) in relation to genotypes (C1012, C857, C856, and Local) and sowing dates (SW1, SW2, SW3, and SW4), and the mean separation of the genotypes, with errors bars indicating the standard errors. On the right, the mean separation per sowing date. Mean values sharing the same letters are not significantly different at p < 0.05, according to Tukey’s test (HSD). Value for LSD (p < 0.001) is reported in the case of a significant interaction.
Figure 4. On the left, the total yield (kg/ha) in relation to genotypes (C1012, C857, C856, and Local) and sowing dates (SW1, SW2, SW3, and SW4), and the mean separation of the genotypes, with errors bars indicating the standard errors. On the right, the mean separation per sowing date. Mean values sharing the same letters are not significantly different at p < 0.05, according to Tukey’s test (HSD). Value for LSD (p < 0.001) is reported in the case of a significant interaction.
Agronomy 13 02167 g004
Figure 5. On the left, the incidence of seed weight of primary and secondary racemes (%) in relation to sowing dates. On the right, the incidence of primary and secondary racemes (%) in relation to genotypes. Bars with different letters indicate statistical differences in the incidence of primary raceme according to Tukey’s (HSD) test at p < 0.05.
Figure 5. On the left, the incidence of seed weight of primary and secondary racemes (%) in relation to sowing dates. On the right, the incidence of primary and secondary racemes (%) in relation to genotypes. Bars with different letters indicate statistical differences in the incidence of primary raceme according to Tukey’s (HSD) test at p < 0.05.
Agronomy 13 02167 g005
Figure 6. On the left, the oil content for primary racemes (%) in relation to genotypes (C1012, C857, C856, and Local) and sowing dates (SW1, SW2, SW3, and SW4) and the mean separation of the genotypes with errors bars indicating the standard errors. On the right, the mean separation per sowing date. Mean values sharing the same letters are not significantly different at p < 0.05, according to Tukey’s test.
Figure 6. On the left, the oil content for primary racemes (%) in relation to genotypes (C1012, C857, C856, and Local) and sowing dates (SW1, SW2, SW3, and SW4) and the mean separation of the genotypes with errors bars indicating the standard errors. On the right, the mean separation per sowing date. Mean values sharing the same letters are not significantly different at p < 0.05, according to Tukey’s test.
Agronomy 13 02167 g006
Figure 7. On the left, the oil content for secondary racemes (%) in relation to genotypes (C1012, C857, C856, and Local) and sowing dates (SW1, SW2, SW3, and SW4) and the mean separation of the genotypes with errors bars indicating the standard errors. On the right, the mean separation per sowing date. Mean values sharing the same letters are not significantly different at p < 0.05, according to Tukey’s test.
Figure 7. On the left, the oil content for secondary racemes (%) in relation to genotypes (C1012, C857, C856, and Local) and sowing dates (SW1, SW2, SW3, and SW4) and the mean separation of the genotypes with errors bars indicating the standard errors. On the right, the mean separation per sowing date. Mean values sharing the same letters are not significantly different at p < 0.05, according to Tukey’s test.
Agronomy 13 02167 g007
Figure 8. On the left, the total oil yield (kg/ha) for primary racemes in relation to genotypes (C1012, C857, C856, and Local) and sowing dates (SW1, SW2, SW3, and SW4) and the mean separation of the genotypes with errors bars indicating the standard errors. On the right, the mean separation per sowing date. Mean values sharing the same letters are not significantly different at p < 0.05, according to Tukey’s test.
Figure 8. On the left, the total oil yield (kg/ha) for primary racemes in relation to genotypes (C1012, C857, C856, and Local) and sowing dates (SW1, SW2, SW3, and SW4) and the mean separation of the genotypes with errors bars indicating the standard errors. On the right, the mean separation per sowing date. Mean values sharing the same letters are not significantly different at p < 0.05, according to Tukey’s test.
Agronomy 13 02167 g008
Table 1. Yield per plant (g) in relation to genotypes (C1012, C857, C857, and Local) and sowing dates (SW1, SW2, SW3, and SW4). Mean values sharing the same letters are not significantly different at p < 0.001, according to Tukey’s test (HSD).
Table 1. Yield per plant (g) in relation to genotypes (C1012, C857, C857, and Local) and sowing dates (SW1, SW2, SW3, and SW4). Mean values sharing the same letters are not significantly different at p < 0.001, according to Tukey’s test (HSD).
GenotypeSW1SW2SW3SW4Mean
C1012304.2347.5243.5152.2261.8 ± 22.1 b
C857185.0350.2288.984.3227.1 ± 29.8 c
C856441.4330.5328.2204.5326.2 ± 25.5 a
Local200.1163.1119.390.0143.1 ± 12.6 d
Mean282.7 ± 30.4 a297.8 ± 23.7 a245.0 ± 23.4 b132.7 ± 14.6 c
Source ofGSGxS
variation*********
*** indicate significance at p < 0.001.
Table 2. Length of raceme, the seed weight per raceme, the number of capsules per raceme, the weight of husks, and the 100-seed weight on primary racemes in relation to genotype and sowing date. In the mean columns, the average values of the sowing dates (SW1, SW2, SW3, and SW4) and the average values of the genotypes (C1012, C857, C856, Local). Values with the same letter are not significantly different at p < 0.05, or (ns) not significant.
Table 2. Length of raceme, the seed weight per raceme, the number of capsules per raceme, the weight of husks, and the 100-seed weight on primary racemes in relation to genotype and sowing date. In the mean columns, the average values of the sowing dates (SW1, SW2, SW3, and SW4) and the average values of the genotypes (C1012, C857, C856, Local). Values with the same letter are not significantly different at p < 0.05, or (ns) not significant.
GenotypeLength of Raceme (cm)Seed Weight/Raceme (g)N. Capsule/Raceme (n)Husk of Raceme(g)100-Seed Weight (g)
SW1C101222.819.924.38.231.9
C85716.57.914.53.330.2
C85620.722.430.012.230.1
Local27.128.634.318.637.5
SW2C101233.220.424.27.832.8
C85734.021.832.011.529.6
C85635.521.423.58.632.6
Local26.330.232.612.436.5
SW3C101247.232.835.812.431.2
C85739.342.547.714.231.4
C85629.134.741.313.628.0
Local30.925.530.911.234.0
SW4C101251.626.028.611.235.2
C85738.019.323.57.229.6
C85627.113.118.65.729.3
Local32.526.431.510.633.3
LSD SxG4.045.753.551.29
************ns
SW121.7 c19.7 c25.8 b10.5 b32.4 a
SW232.2 b23.4 b28.1 b10 b32.8 a
SW336.6 a33.8 a38.8 a12.8 a31.1 a
SW437.3 a21.2 bc25.6 b8.6 c31.8 a
************ns
C101238.6 a24.7 b28.2 b9.8 b32.7 ab
C85731.9 b22.8 b29.5 ab9 b30.2 b
C85628.1 c22.9 b28.33 b10 b29.9 b
Local29.2 bc27.6 a32.4 a13.2 a35.3 a
**************
** and *** indicate significance at p < 0.01 and 0.001 respectively.
Disclaimer/Publisher’s Note: The statements, opinions and data contained in all publications are solely those of the individual author(s) and contributor(s) and not of MDPI and/or the editor(s). MDPI and/or the editor(s) disclaim responsibility for any injury to people or property resulting from any ideas, methods, instructions or products referred to in the content.

Share and Cite

MDPI and ACS Style

Cafaro, V.; Calcagno, S.; Patanè, C.; Cosentino, S.L.; Testa, G. Effects of Sowing Dates and Genotypes of Castor (Ricinus communis L.) on Seed Yield and Oil Content in the South Mediterranean Basin. Agronomy 2023, 13, 2167. https://doi.org/10.3390/agronomy13082167

AMA Style

Cafaro V, Calcagno S, Patanè C, Cosentino SL, Testa G. Effects of Sowing Dates and Genotypes of Castor (Ricinus communis L.) on Seed Yield and Oil Content in the South Mediterranean Basin. Agronomy. 2023; 13(8):2167. https://doi.org/10.3390/agronomy13082167

Chicago/Turabian Style

Cafaro, Valeria, Silvio Calcagno, Cristina Patanè, Salvatore Luciano Cosentino, and Giorgio Testa. 2023. "Effects of Sowing Dates and Genotypes of Castor (Ricinus communis L.) on Seed Yield and Oil Content in the South Mediterranean Basin" Agronomy 13, no. 8: 2167. https://doi.org/10.3390/agronomy13082167

APA Style

Cafaro, V., Calcagno, S., Patanè, C., Cosentino, S. L., & Testa, G. (2023). Effects of Sowing Dates and Genotypes of Castor (Ricinus communis L.) on Seed Yield and Oil Content in the South Mediterranean Basin. Agronomy, 13(8), 2167. https://doi.org/10.3390/agronomy13082167

Note that from the first issue of 2016, this journal uses article numbers instead of page numbers. See further details here.

Article Metrics

Back to TopTop