Analysis and Prediction of the Impact of Socio-Economic and Meteorological Factors on Rapeseed Yield Based on Machine Learning
Abstract
1. Introduction
2. Materials and Methods
2.1. Study Area
2.2. Data Source and Variable Selection
2.3. Methods
2.3.1. Data Processing
2.3.2. Correlation Analysis
2.3.3. Machine Learning Methods
- (1)
- Linear regression
- (2)
- Decision Tree Regression
- (3)
- Random forest regression
- (4)
- Support Vector Machine Regression
2.3.4. Model Assessment
2.3.5. Variable Dependence Analysis
3. Result
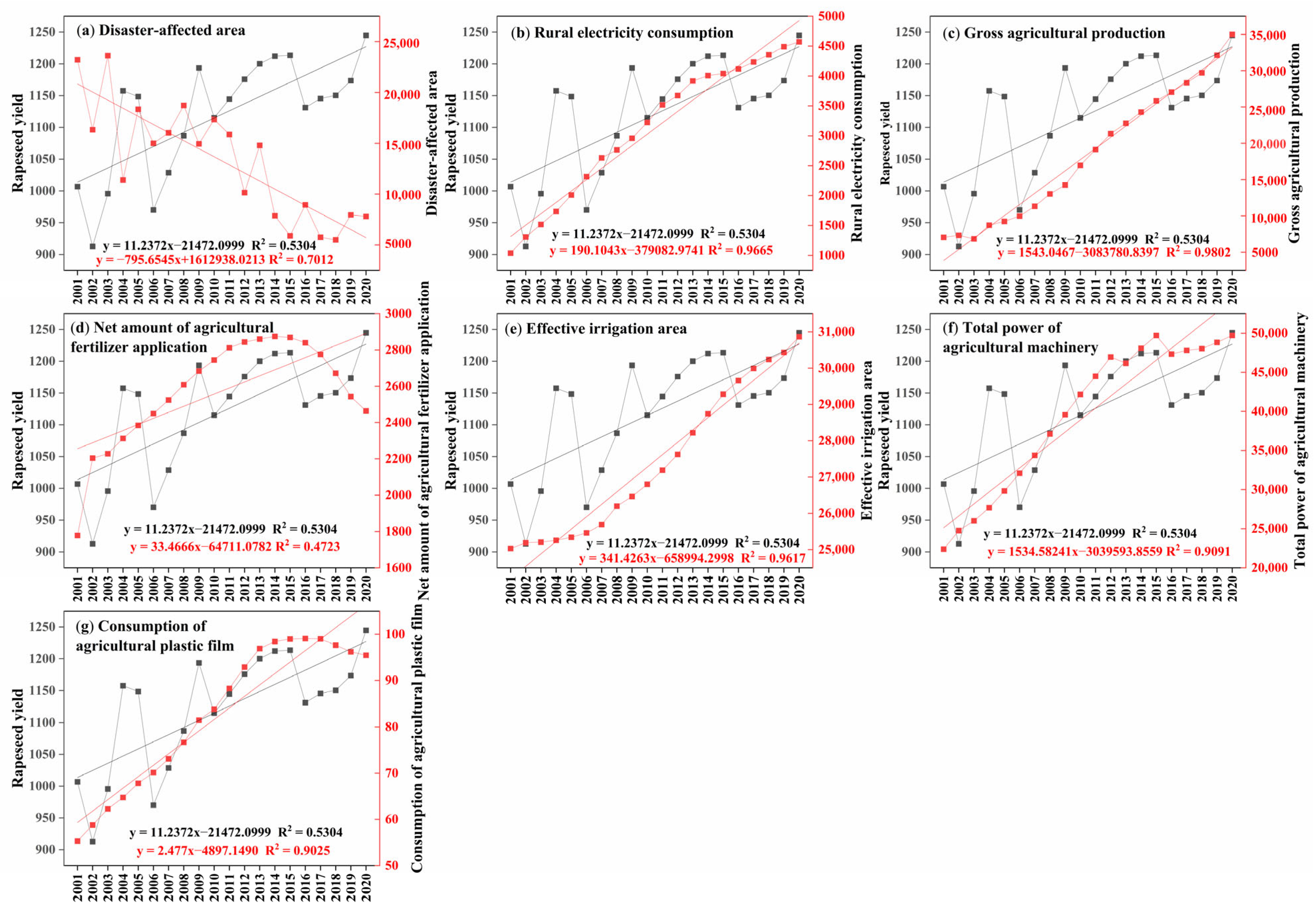
3.1. The Relationship between Predictors and Rapeseed Yield
3.2. Model Performance
3.3. Feature Importance and Partial Dependence Analysis
3.4. Dependence of Rapeseed Yield on Predictors
4. Discussion
5. Conclusions
Author Contributions
Funding
Data Availability Statement
Conflicts of Interest
References
- Fu, D.-H.; Jiang, L.-Y.; Mason, A.S.; Xiao, M.-L.; Zhu, L.-R.; Li, L.-Z.; Zhou, Q.-H.; Shen, C.-J.; Huang, C.-H. Research progress and strategies for multifunctional rapeseed: A case study of China. J. Integr. Agric. 2016, 15, 1673–1684. [Google Scholar] [CrossRef]
- He, W.; Li, J.; Wang, X.; Lin, Q.; Yang, X. Current status of global rapeseed industry and problems, countermeasures of rapeseed industry in China. China Oils Fats 2022, 47, 1–7. [Google Scholar]
- Qian, B.; Jing, Q.; Bélanger, G.; Shang, J.; Huffman, T.; Liu, J.; Hoogenboom, G. Simulated Canola Yield Responses to Climate Change and Adaptation in Canada. Agron. J. 2018, 110, 133–146. [Google Scholar] [CrossRef]
- Dreccer, M.F.; Fainges, J.; Whish, J.; Ogbonnaya, F.C.; Sadras, V.O. Comparison of sensitive stages of wheat, barley, canola, chickpea and field pea to temperature and water stress across Australia. Agric. For. Meteorol. 2018, 248, 275–294. [Google Scholar] [CrossRef]
- Li, X.; Chen, C.; Yang, X.; Xiong, J.; Ma, N. The optimisation of rapeseed yield and growth duration through adaptive crop management in climate change: Evidence from China. Ital. J. Agron. 2022, 17. [Google Scholar] [CrossRef]
- Hampf, A.C.; Carauta, M.; Latynskiy, E.; Libera, A.A.D.; Monteiro, L.; Sentelhas, P.; Troost, C.; Berger, T.; Nendel, C. The biophysical and socio-economic dimension of yield gaps in the southern Amazon—A bio-economic modelling approach. Agric. Syst. 2018, 165, 1–13. [Google Scholar] [CrossRef]
- Rochecouste, J.-F.; Dargusch, P.; Cameron, D.; Smith, C. An analysis of the socio-economic factors influencing the adoption of conservation agriculture as a climate change mitigation activity in Australian dryland grain production. Agric. Syst. 2015, 135, 20–30. [Google Scholar] [CrossRef]
- Cao, J.; Zhang, Z.; Tao, F.; Zhang, L.; Luo, Y.; Zhang, J.; Han, J.; Xie, J. Integrating Multi-Source Data for Rice Yield Prediction across China using Machine Learning and Deep Learning Approaches. Agric. For. Meteorol. 2021, 297, 108275. [Google Scholar] [CrossRef]
- Naghdyzadegan Jahromi, M.; Zand-Parsa, S.; Razzaghi, F.; Jamshidi, S.; Didari, S.; Doosthosseini, A.; Pourghasemi, H.R. Developing machine learning models for wheat yield prediction using ground-based data, satellite-based actual evapotranspiration and vegetation indices. Eur. J. Agron. 2023, 146, 126820. [Google Scholar] [CrossRef]
- Shahhosseini, M.; Hu, G.; Huber, I.; Archontoulis, S.V. Coupling machine learning and crop modeling improves crop yield prediction in the US Corn Belt. Sci. Rep. 2021, 11, 1606. [Google Scholar] [CrossRef] [PubMed]
- Shahhosseini, M.; Martinez-Feria, R.A.; Hu, G.; Archontoulis, S.V. Maize yield and nitrate loss prediction with machine learning algorithms. Environ. Res. Lett. 2019, 14, 124026. [Google Scholar] [CrossRef]
- Han, J.; Zhang, Z.; Cao, J.; Luo, Y.; Zhang, L.; Li, Z.; Zhang, J. Prediction of Winter Wheat Yield Based on Multi-Source Data and Machine Learning in China. Remote Sens. 2020, 12, 236. [Google Scholar] [CrossRef]
- Wang, Y.; Zhang, Z.; Feng, L.; Du, Q.; Runge, T. Combining Multi-Source Data and Machine Learning Approaches to Predict Winter Wheat Yield in the Conterminous United States. Remote Sens. 2020, 12, 1232. [Google Scholar] [CrossRef]
- Abdipour, M.; Younessi-Hmazekhanlu, M.; Ramazani, S.H.R.; Omidi, A.H. Artificial neural networks and multiple linear regression as potential methods for modeling seed yield of safflower (Carthamus tinctorius L.). Ind. Crops Prod. 2019, 127, 185–194. [Google Scholar] [CrossRef]
- Li, B.; Yang, W.; Li, X. Application of combined model with DGM(1,1) and linear regression in grain yield prediction. Grey Syst. Theory Appl. 2018, 8, 25–34. [Google Scholar] [CrossRef]
- Tanaka, A.; Diagne, M.; Saito, K. Causes of yield stagnation in irrigated lowland rice systems in the Senegal River Valley: Application of dichotomous decision tree analysis. Field Crop Res. 2015, 176, 99–107. [Google Scholar] [CrossRef]
- Banerjee, H.; Goswami, R.; Chakraborty, S.; Dutta, S.; Majumdar, K.; Satyanarayana, T.; Jat, M.L.; Zingore, S. Understanding biophysical and socio-economic determinants of maize (Zea mays L.) yield variability in eastern India. Njas-Wagen. J. Life Sc. 2022, 70–71, 79–93. [Google Scholar] [CrossRef]
- Rossi Neto, J.; de Souza, Z.M.; de Medeiros Oliveira, S.R.; Kölln, O.T.; Ferreira, D.A.; Carvalho, J.L.N.; Braunbeck, O.A.; Franco, H.C.J. Use of the Decision Tree Technique to Estimate Sugarcane Productivity Under Edaphoclimatic Conditions. Sugar Tech. 2017, 19, 662–668. [Google Scholar] [CrossRef]
- Breiman, L. Random forests. Mach. Learn. 2001, 45, 5–32. [Google Scholar] [CrossRef]
- Pang, A.; Chang, M.W.L.; Chen, Y. Evaluation of Random Forests (RF) for Regional and Local-Scale Wheat Yield Prediction in Southeast Australia. Sensors 2022, 22, 717. [Google Scholar] [CrossRef]
- Jeong, J.H.; Resop, J.P.; Mueller, N.D.; Fleisher, D.H.; Yun, K.; Butler, E.E.; Timlin, D.J.; Shim, K.M.; Gerber, J.S.; Reddy, V.R.; et al. Random Forests for Global and Regional Crop Yield Predictions. PLoS ONE 2016, 11, e0156571. [Google Scholar] [CrossRef] [PubMed]
- Sonal, A.; Sandhya, T. A Hybrid Approach for Crop Yield Prediction Using Machine Learning and Deep Learning Algorithms. J. Phys. Conf. Ser. 2021, 1714, 012012. [Google Scholar]
- Gos, M.; Krzyszczak, J.; Baranowski, P.; Murat, M.; Malinowska, I. Combined TBATS and SVM model of minimum and maximum air temperatures applied to wheat yield prediction at different locations in Europe. Agric. For. Meteorol. 2020, 281, 107827. [Google Scholar] [CrossRef]
- Van Klompenburg, T.; Kassahun, A.; Catal, C. Crop yield prediction using machine learning: A systematic literature review. Comput. Electron. Agric. 2020, 177, 105709. [Google Scholar] [CrossRef]
- Niedbała, G. Simple model based on artificial neural network for early prediction and simulation winter rapeseed yield. J. Integr. Agric. 2019, 18, 54–61. [Google Scholar] [CrossRef]
- Lischeid, G.; Webber, H.; Sommer, M.; Nendel, C.; Ewert, F. Machine learning in crop yield modelling: A powerful tool, but no surrogate for science. Agric. For. Meteorol. 2022, 312, 108698. [Google Scholar] [CrossRef]
- Kavita, J.; Pratistha, M.; Sanchit, J.; Sukriti, N. Crop Yield Prediction using Machine Learning and Deep Learning Techniques. Procedia Comput. Sci. 2023, 218, 406–417. [Google Scholar]
- Zhang, S.; Wang, H. Policies and strategies analyses of rapeseed production response to climate change in China. Chin. J. Oil Crop Sci. 2012, 34, 114–122. [Google Scholar]
- Guiping, B.; Xiongze, X.; Jie, X.; Yufeng, Y.; Qianmei, C.; Qingwei, Z. Analysis on the temporal and spatial evolution and influencing factors of oilseed rape production layout in China. China Oils Fats 2023, 48, 1–6. [Google Scholar]
- Song, X.; Zhou, G.; He, Q.; Zhou, H. Stomatal limitations to photosynthesis and their critical Water conditions in different growth stages of maize under water stress. Agric. Water Manag. 2020, 241, 106330. [Google Scholar] [CrossRef]
- Parthasarathi, T.; Velu, G.; Jeyakumar, P. Impact of Crop Heat Units on Growth and Developmental Physiology of Future Crop Production: A Review. Res. Rev. A J. Crop Sci. 2013, 2, 1–8. [Google Scholar]
- Mousavi-Avval, S.H.; Rafiee, S.; Jafari, A.; Mohammadi, A. Energy flow modeling and sensitivity analysis of inputs for canola production in Iran. J. Clean. Prod. 2011, 19, 1464–1470. [Google Scholar] [CrossRef]
- Li, W.; Zhang, P. Relationship and integrated development of low-carbon economy, food safety, and agricultural mechanization. Environ. Sci. Pollut. Res. Int. 2021, 28, 68679–68689. [Google Scholar] [CrossRef] [PubMed]
- Playán, E.; Mateos, L. Modernization and optimization of irrigation systems to increase water productivity. Agric. Water Manag. 2006, 80, 100–116. [Google Scholar] [CrossRef]
- Cook, P. Infrastructure, rural electrification and development. Energy Sustain. Dev. 2011, 15, 304–313. [Google Scholar] [CrossRef]
- Zhang, Z.; Cong, R.-H.; Ren, T.; Li, H.; Zhu, Y.; Lu, J.-W. Optimizing agronomic practices for closing rapeseed yield gaps under intensive cropping systems in China. J. Integr. Agric. 2020, 19, 1241–1249. [Google Scholar] [CrossRef]
- Fridrihsone, A.; Romagnoli, F.; Cabulis, U. Environmental Life Cycle Assessment of Rapeseed and Rapeseed Oil Produced in Northern Europe: A Latvian Case Study. Sustainability 2020, 12, 5699. [Google Scholar] [CrossRef]
- Tian, Z.; Ji, Y.; Sun, L.; Xu, X.; Fan, D.; Zhong, H.; Liang, Z.; Gunther, F. Changes in production potentials of rapeseed in the Yangtze River Basin of China under climate change: A multi-model ensemble approach. J. Geog. Sci. 2018, 28, 1700–1714. [Google Scholar] [CrossRef]
- Maya Gopal, P.S.; Bhargavi, R. A novel approach for efficient crop yield prediction. Comput. Electron. Agric. 2019, 165, 104968. [Google Scholar] [CrossRef]
- Panda, S.S.; Ames, D.P.; Panigrahi, S. Application of Vegetation Indices for Agricultural Crop Yield Prediction Using Neural Network Techniques. Remote Sens. 2010, 2, 673–696. [Google Scholar] [CrossRef]
- Maulud, D.; Abdulazeez, A.M. A Review on Linear Regression Comprehensive in Machine Learning. J. Appl. Sci. Technol. Trends 2020, 1, 140–147. [Google Scholar] [CrossRef]
- Meng, X.; Zhang, P.; Xu, Y.; Xie, H. Construction of decision tree based on C4.5 algorithm for online voltage stability assessment. Int. J. Electr. Power Energy Syst. 2020, 118, 105793. [Google Scholar] [CrossRef]
- Huang, Y.; Lan, Y.; Thomson, S.J.; Fang, A.; Hoffmann, W.C.; Lacey, R.E. Development of soft computing and applications in agricultural and biological engineering. Comput. Electron. Agric. 2010, 71, 107–127. [Google Scholar] [CrossRef]
- Mutanga, O.; Adam, E.; Cho, M.A. High density biomass estimation for wetland vegetation using WorldView-2 imagery and random forest regression algorithm. Int. J. Appl. Earth. Obs. Geoinf. 2012, 18, 399–406. [Google Scholar] [CrossRef]
- Wang, H.; Xu, D.; Martinez, A. Parameter selection method for support vector machine based on adaptive fusion of multiple kernel functions and its application in fault diagnosis. Neural Comput. Appl. 2018, 32, 183–193. [Google Scholar] [CrossRef]
- Hwang, S.-W.; Chung, H.; Lee, T.; Kim, J.; Kim, Y.; Kim, J.-C.; Kwak, H.W.; Choi, I.-G.; Yeo, H. Feature importance measures from random forest regressor using near-infrared spectra for predicting carbonization characteristics of kraft lignin-derived hydrochar. J. Wood. Sci. 2023, 69, 1. [Google Scholar] [CrossRef]
- Ge, Y.; Zhao, L.; Chen, J.; Li, X.; Li, H.; Wang, Z.; Ren, Y. Study on Soil Erosion Driving Forces by Using (R)USLE Framework and Machine Learning: A Case Study in Southwest China. Land 2023, 12, 639. [Google Scholar] [CrossRef]
- Xuehua, X.; Yin, Z. Review of domestic rapeseed market in 2004 and outlook for 2005. Food Sci. Technol. Econ. 2005, 30, 21–23. [Google Scholar] [CrossRef]
- Gu, X.-B.; Li, Y.-N.; Du, Y.-D. Biodegradable film mulching improves soil temperature, moisture and seed yield of winter oilseed rape (Brassica napus L.). Soil Tillage Res. 2017, 171, 42–50. [Google Scholar] [CrossRef]
- Gu, X.; Cai, H.; Zhang, Z.; Fang, H.; Chen, P.; Huang, P.; Li, Y.; Li, Y.; Zhang, L.; Zhou, J.; et al. Ridge-furrow full film mulching: An adaptive management strategy to reduce irrigation of dryland winter rapeseed (Brassica napus L.) in northwest China. Agric. For. Meteorol. 2019, 266–267, 119–128. [Google Scholar] [CrossRef]
- Hu, Q.; Hua, W.; Yin, Y.; Zhang, X.; Liu, L.; Shi, J.; Zhao, Y.; Qin, L.; Chen, C.; Wang, H. Rapeseed research and production in China. Crop J. 2017, 5, 127–135. [Google Scholar] [CrossRef]
- Feng, J.; Hussain, H.A.; Hussain, S.; Shi, C.; Cholidah, L.; Men, S.; Ke, J.; Wang, L. Optimum Water and Fertilizer Management for Better Growth and Resource Use Efficiency of Rapeseed in Rainy and Drought Seasons. Sustainability 2020, 12, 703. [Google Scholar] [CrossRef]
- Rong, L.-B.; Gong, K.-Y.; Duan, F.-Y.; Li, S.-K.; Zhao, M.; He, J.; Zhou, W.-B.; Yu, Q. Yield gap and resource utilization efficiency of three major food crops in the world—A review. J. Integr. Agric. 2021, 20, 349–362. [Google Scholar] [CrossRef]
- Hoffmann, M.P.; Jacobs, A.; Whitbread, A.M. Crop modelling based analysis of site-specific production limitations of winter oilseed rape in northern Germany. Field Crop Res. 2015, 178, 49–62. [Google Scholar] [CrossRef]
- Huang, J.; Zhou, L.; Zhang, F.; Li, Y. Responses of Yield Fluctuation of Winter Oilseed Rape to Climate Anomalies in South China at Provincial Scale. Int. J. Plant Prod. 2020, 14, 521–530. [Google Scholar] [CrossRef]
- Kang, Y.; Khan, S.; Ma, X. Climate change impacts on crop yield, crop water productivity and food security—A review. Prog. Nat. Sci. 2009, 19, 1665–1674. [Google Scholar] [CrossRef]
- He, Y.; Revell, B.; Leng, B.; Feng, Z. The Effects of Weather on Oilseed Rape (OSR) Yield in China: Future Implications of Climate Change. Sustainability 2017, 9, 418. [Google Scholar] [CrossRef]
- Shahhosseini, M.; Hu, G.; Archontoulis, S.V. Forecasting Corn Yield with Machine Learning Ensembles. Front. Plant Sci. 2020, 11, 1120. [Google Scholar] [CrossRef]
- Zhang, P.; Zhang, J.; Chen, M. Economic impacts of climate change on agriculture: The importance of additional climatic variables other than temperature and precipitation. J. Environ. Econ. Manag. 2017, 83, 8–31. [Google Scholar] [CrossRef]
- Chen, X.; Chen, F.; Chen, Y.; Gao, Q.; Yang, X.; Yuan, L.; Zhang, F.; Mi, G. Modern maize hybrids in Northeast China exhibit increased yield potential and resource use efficiency despite adverse climate change. Glob. Chang. Biol. 2013, 19, 923–936. [Google Scholar] [CrossRef]
- Liu, Z.; Yang, X.; Chen, F.; Wang, E. The effects of past climate change on the northern limits of maize planting in Northeast China. Clim. Chang. 2012, 117, 891–902. [Google Scholar] [CrossRef]
- Zheng, M.; Terzaghi, W.; Wang, H.; Hua, W. Integrated strategies for increasing rapeseed yield. Trends Plant Sci. 2022, 27, 742–745. [Google Scholar] [CrossRef] [PubMed]
- Zhang, J.; Liu, Y. Decoupling of impact factors reveals the response of cash crops phenology to climate change and adaptive management practice. Agric. For. Meteorol. 2022, 322, 109010. [Google Scholar] [CrossRef]
- Lesk, C.; Rowhani, P.; Ramankutty, N. Influence of extreme weather disasters on global crop production. Nature 2016, 529, 84–87. [Google Scholar] [CrossRef]
- Shi, W.; Wang, M.; Liu, Y. Crop yield and production responses to climate disasters in China. Sci. Total Environ. 2021, 750, 141147. [Google Scholar] [CrossRef] [PubMed]
- Liu, D.; Zhu, X.; Wang, Y. China’s agricultural green total factor productivity based on carbon emission: An analysis of evolution trend and influencing factors. J. Clean. Prod. 2021, 278, 123692. [Google Scholar] [CrossRef]
- Lu, S.; Bai, X.; Li, W.; Wang, N. Impacts of climate change on water resources and grain production. Technol. Forecast. Soc. Chang. 2019, 143, 76–84. [Google Scholar] [CrossRef]
- Liu, B.; Liu, Y.; Huang, G.; Jiang, X.; Liang, Y.; Yang, C.; Huang, L. Comparison of yield prediction models and estimation of the relative importance of main agronomic traits affecting rice yield formation in saline-sodic paddy fields. Eur. J. Agron. 2023, 148, 126870. [Google Scholar] [CrossRef]
- Obsie, E.Y.; Qu, H.; Drummond, F. Wild blueberry yield prediction using a combination of computer simulation and machine learning algorithms. Comput. Electron. Agric. 2020, 178, 105778. [Google Scholar] [CrossRef]
- Elavarasan, D.; Vincent, D.R.; Sharma, V.; Zomaya, A.Y.; Srinivasan, K. Forecasting yield by integrating agrarian factors and machine learning models: A survey. Comput. Electron. Agric. 2018, 155, 257–282. [Google Scholar] [CrossRef]
- González, C.; Mira-McWilliams, J.; Juárez, I. Important variable assessment and electricity price forecasting based on regression tree models: Classification and regression trees, Bagging and Random Forests. IET Gener. Transm. Dis. 2015, 9, 1120–1128. [Google Scholar] [CrossRef]
- Gyamerah, S.A.; Ngare, P.; Ikpe, D. Probabilistic forecasting of crop yields via quantile random forest and Epanechnikov Kernel function. Agric. For. Meteorol. 2020, 280, 107808. [Google Scholar] [CrossRef]








| Type | Definition | Parameters | Unit |
|---|---|---|---|
| Natural | Y | Rapeseed yield | 104 tons |
| X1 | Mean annual precipitation | mm | |
| X2 | Sunshine duration | hours | |
| X3 | Mean annual air temperature | °C | |
| X4 | Disaster-affected area | kilo-hectares | |
| Socio-economic | X5 | Sown area of rapeseed | kilo-hectares |
| X6 | Rural electricity consumption | kWh | |
| X7 | Gross agricultural production | 102 million Yuan (RMB) | |
| X8 | Net amount of agricultural fertilizer application | kilo-tons | |
| X9 | Effective irrigation area | kilo-hectares | |
| X10 | Total power of agricultural machinery | kW | |
| X11 | Pesticide usage | kilo-tons | |
| X12 | Consumption of agricultural plastic film | kilo-tons |
| Variables | Spring Rape | Winter Rape | ||
|---|---|---|---|---|
| r | p-Value | r | p-Value | |
| Mean annual precipitation (X1) | 0.437 | 0.054 | 0.079 | 0.740 |
| Sunshine duration (X2) | −0.427 | 0.061 | −0.108 | 0.649 |
| Mean annual air temperature (X3) | 0.197 | 0.406 | 0.034 | 0.888 |
| Disaster-affected area (X4) | −0.597 | 0.005 | −0.634 | 0.003 |
| Sown area of rapeseed (X5) | 0.736 | <0.001 | 0.119 | 0.618 |
| Rural electricity consumption (X6) | 0.837 | <0.001 | 0.754 | <0.001 |
| Gross agricultural production (X7) | 0.798 | <0.001 | 0.716 | <0.001 |
| Net amount of agricultural fertilizer application (X8) | 0.941 | <0.001 | 0.638 | 0.002 |
| Effective irrigation area (X9) | 0.878 | <0.001 | 0.679 | <0.001 |
| Total power of agricultural machinery (X10) | 0.892 | <0.001 | 0.774 | <0.001 |
| Pesticide usage (X11) | 0.887 | <0.001 | 0.314 | 0.178 |
| Consumption of agricultural plastic film (X12) | 0.877 | <0.001 | 0.768 | <0.001 |
| Model | R2 | RMSE | MAE | MAPE | |
|---|---|---|---|---|---|
| Spring rape | DTR | 0.75 | 4.65 | 3.94 | 14.67 |
| LR | 0.82 | 3.92 | 2.96 | 11.97 | |
| RF | 0.87 | 3.48 | 2.63 | 13.20 | |
| SVR | 0.78 | 4.40 | 3.67 | 13.02 | |
| Winter rape | DTR | 0.81 | 37.20 | 25.97 | 25.53 |
| LR | 0.77 | 40.99 | 32.63 | 38.03 | |
| RF | 0.92 | 23.15 | 13.64 | 12.73 | |
| SVR | 0.79 | 40.19 | 28.08 | 24.62 |
Disclaimer/Publisher’s Note: The statements, opinions and data contained in all publications are solely those of the individual author(s) and contributor(s) and not of MDPI and/or the editor(s). MDPI and/or the editor(s) disclaim responsibility for any injury to people or property resulting from any ideas, methods, instructions or products referred to in the content. |
© 2023 by the authors. Licensee MDPI, Basel, Switzerland. This article is an open access article distributed under the terms and conditions of the Creative Commons Attribution (CC BY) license (https://creativecommons.org/licenses/by/4.0/).
Share and Cite
Liang, J.; Li, H.; Li, N.; Yang, Q.; Li, L. Analysis and Prediction of the Impact of Socio-Economic and Meteorological Factors on Rapeseed Yield Based on Machine Learning. Agronomy 2023, 13, 1867. https://doi.org/10.3390/agronomy13071867
Liang J, Li H, Li N, Yang Q, Li L. Analysis and Prediction of the Impact of Socio-Economic and Meteorological Factors on Rapeseed Yield Based on Machine Learning. Agronomy. 2023; 13(7):1867. https://doi.org/10.3390/agronomy13071867
Chicago/Turabian StyleLiang, Jiaping, Hang Li, Na Li, Qiliang Yang, and Linchao Li. 2023. "Analysis and Prediction of the Impact of Socio-Economic and Meteorological Factors on Rapeseed Yield Based on Machine Learning" Agronomy 13, no. 7: 1867. https://doi.org/10.3390/agronomy13071867
APA StyleLiang, J., Li, H., Li, N., Yang, Q., & Li, L. (2023). Analysis and Prediction of the Impact of Socio-Economic and Meteorological Factors on Rapeseed Yield Based on Machine Learning. Agronomy, 13(7), 1867. https://doi.org/10.3390/agronomy13071867
