Next Article in Journal
Different Concentrations of Chemical Topping Agents Affect Cotton Yield and Quality by Regulating Plant Architecture
Previous Article in Journal
Construction and Functional Evaluation of CRISPR/Cas9 Multiple Knockout Vectors of the FAD2 Gene Family
 
 
Due to scheduled maintenance work on our servers, there may be short service disruptions on this website between 11:00 and 12:00 CEST on March 28th.
Font Type:
Arial Georgia Verdana
Font Size:
Aa Aa Aa
Line Spacing:
Column Width:
Background:
Article

Predation and Control Effect of Eupeodes corollae Fabricius (Diptera: Syrphidae) on Leguminous Plant Aphids

State Key Laboratory for Biology of Plant Diseases and Insect Pests, Institute of Plant Protection, Chinese Academy of Agricultural Sciences, Beijing 100193, China
*
Author to whom correspondence should be addressed.
Agronomy 2023, 13(7), 1739; https://doi.org/10.3390/agronomy13071739
Submission received: 25 May 2023 / Revised: 21 June 2023 / Accepted: 26 June 2023 / Published: 28 June 2023
(This article belongs to the Section Pest and Disease Management)

Abstract

Eupeodes corollae Fabricius, one of the most common predatory natural enemies of agricultural ecosystems, plays an important role in aphid control, but its ability to prey on and control leguminous plant aphids has not been systematically studied. Our study on the spawning and predation preferences, predatory function responses, searching efficiency, and prevention and control capabilities of E. corollae on Aphis craccivora Koch, Myzus persicae Sulzer, and Megoura japonica Matsumura showed that the spawning and predation preferences of E. corollae were consistent and that it preferred A. craccivora for both spawning and predation. The Holling’s type II response was observed in the second- and third-instar larvae of E. corollae to the three species of aphids. For A. craccivora, M. persicae, and M. japonica, the maximum daily predations (1/Th) of second-instar larvae were 83.33, 166.67, and 47.62, respectively, and those of third-instar larvae were 142.86, 200.00, and 90.91, respectively. For A. craccivora, the aphid population decline rates for the 1:1000 and 1:2000 treatment ratios were close to 100% 12 days after the release of E. corollae; for M. persicae, the aphid population decline rates for the 1:2000, 1:4000, and 1:6000 ratios were 98.80%, 96.46%, and 92.89%, respectively. For M. japonica, the aphid population decline rates for the 1:250, 1:500, and 1:1000 ratios all reached 100%. These results provide good theoretical and application value for the management of aphids and the optimization of the ecological biocontrol service functions of E. corollae.

1. Introduction

Legumes comprise almost 20,000 species in 800 genera [1], of which soybeans, peanuts, broad beans, peas, mung beans, cowpeas, and lentils are the main legume crops in agriculture and play a central role in maintaining ecological sustainability and crop diversity [2,3,4]. Legumes are essential food for humans and animals, and their role in the global food supply cannot be underestimated [5]. Specifically, legumes, such as cowpeas, soybeans, and jack beans, are considered equivalent to meat by the poor and are an important source of protein, vitamins, and minerals for them [6,7,8]. Aphis craccivora Koch, Myzus persicae Sulzer, and Megoura japonica Matsumura (Homoptera: Aphididae) are major pests in agricultural production and are especially harmful to legume plants [9,10,11]. Aphis craccivora is a pest of nineteen plant families with a preference for legumes, such as broad beans, peas, mung beans, and soybeans [12]. The aphid’s excretion of “honeydew” can cause sooty blotch, which can seriously affect crop yield and quality [13]. Myzus persicae, known as the tobacco aphid, can harm more than 400 kinds of plants in addition to tobacco, such as peas, soybeans, peaches, cruciferous vegetables, etc.; it is an important economic pest and the first insect in the world that was found to spread viruses [14,15,16]. Megoura japonica is also one of the main pests of legumes [17] and is widely distributed around the world [18]. It sucks the sap of its host plant with piercing–sucking mouthparts, causing the plant stems and leaves to shrink, which inhibits crop growth [11]. Thus, these three species of aphids pose a serious threat to agricultural production and safety.
At present, the treatment of aphids mainly relies on chemical pesticides [19,20], which not only lead to pesticide resistance in aphids but also cause pesticide residues, environmental pollution, and the killing of non-target insects [21,22], which does not meet the developmental requirements of modern green agriculture. In order to better carry out green pest control and maintain the sustainable development of ecosystems, it is urgent to seek biological control measures for aphids [11], and the use of predatory natural enemies is one of the important methods of achieving this [23,24].
Hoverflies are seen as candidates for controlling aphid populations because of their voracity [25]. Eupeodes corollae Fabricius (Diptera: Syrphidae), one of the most common hoverfly species, has a wide range of ecological niches and is a predatory natural enemy insect worldwide [26]. It is distributed throughout China, India, Myanmar, America, Australia, Japan, and so on, and is the dominant species of hoverfly in many places [27]. E. corollae adults visit flowers and are important pollinators in the natural ecosystem. In one study, the seed set of sweet peppers and the yield of fruit pollinated by E. corollae increased by 395% and 390%, respectively, compared to the control group (not pollinated by hoverflies) [28]. E. corollae larvae are polyphagous, can feed on a variety of aphids and small lepidopteran larvae, and have the potential to perform biological control functions in agroecosystems [29,30,31].
In recent years, research on aphid predation and biological control has mostly focused on ladybirds [32,33,34]. As an important natural enemy insect, it is imperative to scientifically evaluate the predation and control effect of E. corollae on aphids. This study mainly evaluated the spawning and predation preference, predation function responses, searching efficiency, and prevention and control capabilities of E. corollae on A. craccivora, M. persicae, and M. japonica. The results have good theoretical and application value for the biological control of aphids by E. corollae.

2. Materials and Methods

2.1. Test Aphids

Aphis craccivora Koch, M. persicae, and M. japonica aphids were collected from an experimental field at the Langfang Experimental Station, Chinese Academy of Agricultural Sciences (CAAS; 39°30′29″ N, 116°36′8″ E), in Hebei Province in 2019. The three species of aphids were all reared on broad bean plantlets for more than 20 generations in a greenhouse at 25 ± 1 °C, 50 ± 5% RH, and 16:8 (L:D) h. All plantlets were grown in nutrient soil and vermiculite in plastic boxes (50 × 40 × 20 cm).

2.2. Test Hoverfly

A total of 30 adults of E. corollae (♀:♂ ≈ 1:1) were collected from an experimental field at the Langfang Experimental Station, Chinese Academy of Agricultural Sciences (CAAS; 39°30′29″ N, 116°36′8″ E), in Hebei Province in 2019. The adults were fed with 10% v/v honey water and a mixture of pollen (rape:corn = 3:1) in nylon gauze cages (50 × 40 × 30 cm). Broad bean plantlets infested with mixed aphids (A. craccivora:M. persicae:M. japonica ≈ 1:1:1) were placed in the cages for laying eggs. The larvae were fed on mixed aphids in plastic containers (50 × 40 × 15 cm) for 20 consecutive generations in a greenhouse at 25 ± 1 °C, 50 ± 5% RH, and 16:8 (L:D) h.

2.3. Spawning Selection

The adults of E. corollae (♀:♂ = 5:5) were reared in 1 × 1 × 1 m cages (200-mesh nylon) with broad bean plantlets infested with A. craccivora, M. persicae, or M. japonica individually (200 aphids/plantlet, 5 plantlets/pot), and were also provided daily with 10% v/v honey water and a mixture of pollen (rape:corn = 3:1). The broad bean plantlets were grown in vermiculite and nutrient soil in plastic pots (12 cm upper diameter × 9 cm lower diameter × 10 cm height). The number of E. corollae eggs on the broad bean plantlets was recorded daily. The spawning selection rate was (no. of eggs on a type of aphid plantlet)/(total no. of eggs) × 100. The experiment was repeated five times.

2.4. Predatory Selection

Eupeodes corollae larvae were starved for 24 h and then transferred onto an excised Cucurbita pepo leaf disc (same area as Petri dish) individually. The leaf disc was placed on a layer of 2% agarose (to slow leaf water loss) within a Petri dish (9 cm diameter × 1.5 cm height). Three species of aphids (A. craccivora:M. persicae:M. japonica = 1:1:1) were attached to the Petri dish; for 2nd-instar larvae, 10 aphids of each species were placed, and for 3rd-instar larvae, 30 aphids of each species were placed. The amount of predation by the larvae on each species of aphid was recorded separately after 24 h, and the experiment was repeated three times. When a variety of prey coexist, the predation preference (Ci) is expressed by the equation proposed by Zhou et al. [35]:
Ci = (QiFi)/(Qi + Fi),
where Fi is the proportion of the ith prey in the environment, and Qi is the predation ratio of the predator to the ith prey. When Ci = 0, it means that the predator has no preference for the ith prey; 0 < Ci < 1 indicates that the predator has a positive preference for the ith prey; and −1 < Ci < 0 indicates that the predator has a negative preference for the ith prey.

2.5. Predatory Response

The method was the same as described in Section 2.4. Adult aphids of a similar size (A. craccivora, M. persicae, or M. japonica) were inserted into Petri dishes as prey, and the number of larvae preying on aphids was recorded 24 h later. Each treatment was repeated 5 times. The prey density settings are shown in Table 1.

2.6. The Control Effect of E. corollae on Aphids in Enclosed Spaces

One five-day-old female adult of E. corollae that was starting to lay eggs was reared in a cage (50 cm × 35 cm × 45 cm, 200-mesh nylon) with broad bean plantlets infested with aphids (A. craccivora, M. persicae, or M. japonica). The initial density of the aphids was set to 5 gradients to form different hoverfly–aphid release ratios (Table 2). The experiment was repeated 3 times per treatment; 3 pots of broad bean seedlings were used per replicate, and there were 20 plants per pot. The numbers of aphids, eggs, larvae, and pupae were investigated on days 3, 6, 9, and 12, and the rate of aphid population decline was calculated. Population decline rate (%) = [(No. of pre-treatment insect population − No. of post-treatment insect population)/No. of pre-treatment insect population] × 100.

2.7. Data Analysis

There are two main steps in the research analysis of predatory functional responses. First, based on prey density and actual predation quantity, the type of functional response is determined according to the following binomial logistic regression equation:
Na/N0 = exp (P0 + P1N0 + P2N02 + P3N03)/1 + exp (P0 + P1N0 + P2N02 + P3N03),
where Na is the number of prey individuals consumed; N0 is the initial prey number, and P0 (intercept), P1 (linear), P2 (quadratic), and P3 (cubic) are the estimated coefficients. Type I responses are characterized by a constant positive slope and an intercept. Type II responses are characterized by a proportion of prey consumption that decreases monotonically with the initial prey number (P1 < 0). In type III responses, P1 > 0, and P2 < 0, and this type of response is described by a proportion that first increases and then decreases with an increasing initial prey number [36]. Second, the parameter estimation was performed according to the type of predatory functional response (type II or type III).
Na = aNT/(1 + aNTh) (type II),
Na = (d + bN) NT/[1 + cN + (d + bN) NTh] (type III),
S = a/(1 + aNTh),
where Na is the number of prey individuals consumed; N is the prey density; a is the instantaneous attack rate; Th is the prey handling time; T is the available time for the predator to feed (1 d); S is the searching efficiency, and b, c, and d are the fitted constants [37].
Differences in the spawning selection rate, the amount of predation, the predation preference, and the population decline rate were determined using a one-way analysis of variance (ANOVA), followed by Tukey’s honestly significant difference (HSD) test, with proportional data first arcsine square-root-transformed to meet the assumptions of normality and heteroscedasticity. All tests were performed in the program SPSS version 25 (IBM, Armonk, NY, USA), except for the polynomial function, which was fitted using the glm function in R version 2.0.1 (R Development Core Team 2008). The charts were generated using OriginPro 2021 (OriginLab Corporation, Northampton, MA, USA).

3. Results

3.1. Spawning Preferences

There were significant differences in the spawning selection rate of E. corollae adults in the populations of different species of aphids (F2,12 = 145.945, p < 0.001). The average spawning selection rates on A. craccivora, M. persicae, and M. japonica were 54.09%, 14.53%, and 31.37%, respectively (Figure 1).

3.2. Predation Preferences

There were significant differences between predation values and prey preference for second-instar larvae (F2,6 = 13.000, p = 0.007; F2,6 = 25.831, p = 0.001) and third-instar larvae (F2,6 = 30.500, p = 0.001; F2,6 = 49.239, p < 0.001) (Table 3). The second- and third-instar larvae had a positive preference for A. craccivora (Ci > 0) and a negative preference for M. persicae and M. japonica (Ci < 0).

3.3. Predatory Response and Searching Efficiency

The predation of the second and third instar of E. corollae on the three aphid species resulted in negative P1 values, which were consistent with a type II functional response (Table 4). The attacking efficiency (a) of the second- (1.322) and third- (1.563) instar E. corollae larvae on A. craccivora was higher than that on M. persicae or M. japonica. The second- and third-instar E. corollae larvae had the shortest handling time on M. persicae (0.006 d and 0.005 d, respectively) and had the longest handling time on M. japonica (0.021 d and 0.011 d, respectively). The order of daily maximum theoretical predation (1/Th) and the predation capacity (a/Th) of second- and third-instar E. corollae larvae on the three aphid species, from highest to lowest, was M. persicae > A. craccivora > M. japonica.
For all three aphid species, predation growth rates generally increase with higher prey density, although these rates gradually decrease as prey density increases. Furthermore, when the prey density reached a certain level, the predation rate of E. corollae larvae basically tended to be stable, which is a typical pattern of type II functional response (Figure 2).
The searching efficiency of second- and third-instar E. corollae larvae for the three aphid species gradually decreased with an increase in prey density, and the searching efficiency was negatively correlated with the density of the prey target (Figure 3).

3.4. Attack Efficiency Evaluation

3.4.1. Attack Efficiency of E. corollae on A. craccivora

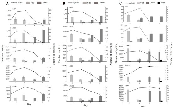
The growth of the A. craccivora population was inhibited under different hoverfly–aphid release ratios, while it was on an upward trend in the control group (CK) (Figure 4A). Under different hoverfly–aphid release ratios, the population of A. craccivora continued to increase in the early stage (<6 d), reaching a peak of 2996.667 (1:1000), 4020 (1:2000), 8250 (1:4000), 12,533.33 (1:6000), and 16,403.33 (1:8000) on the 6th day, respectively. The population of A. craccivora for the ratios of 1:1000 and 1:2000 remained at a low level, and the number decreased significantly on the 9th day, with almost no aphids on the 12th day. Similarly, in the 1:4000 and 1:6000 ratios, the populations of A. craccivora began to decline on the 9th day and were still at a high level on the 12th day, but they were lower than the initial number. For the 1:8000 ratio, the population of A. craccivora increased significantly, and the number of aphids (8376.67) was still high on the 12th day.
There were significant differences in the population decline rate of A. craccivora on the 3rd (F5,12 = 54.742, p < 0.001), 6th (F5,12 = 42.207, p < 0.001), 9th (F5,12 = 215.775, p < 0.001), and 12th (F5,12 = 201.687, p < 0.001) days between treatment groups (Table 5). On the 9th day, the population decline rates of A. craccivora for the ratios of 1:1000 (23.33%) and 1:2000 (17.00%) were significantly higher than those of the other treatment groups. On the 12th day, the population decline rates for the ratios of 1:1000 (100.00%), 1:2000 (98.17%), and 1:4000 (77.42%) were significantly higher than that of the 1:8000 ratio.
In terms of different hoverfly–aphid release ratios, there were eggs on the 3rd day and larvae on the 6th day, after which the larvae were in a dominant state. For the 1:2000 ratio, the number of E. corollae eggs (88.67) was the highest on the 6th day, and the number of larvae (116.33) was the highest on the 12th day (Figure 5A).

3.4.2. Attack Efficiency of E. corollae on M. persicae

Under different hoverfly–aphid release ratios, E. corollae had a certain inhibitory effect on the population growth rate of M. persicae (Figure 4B). The population growth of M. persicae for the ratios of 1:2000 and 1:4000 increased slowly, and the population numbers began to decrease on the 3rd day, with 24 and 141.67 aphids on the 12th day, respectively. The population sizes of M. persicae for the ratios of 1:6000, 1:8000, and 1:10,000 increased rapidly, reaching the extreme values of 8796.67, 11,253.33, and 13,233.33 on the 6th day, respectively. Then, the numbers began to decrease continuously and were 426.67, 1546.67, and 6710 on the 12th day, respectively.
There were significant differences in the population decline rate of M. persicae on the 6th (F5,12 = 12.800, p < 0.001), 9th (F5,12 = 50.910, p < 0.001), and 12th (F5,12 = 532.053, p < 0.001) days between treatment groups (Table 6). The population decline rate of M. persicae for the 1:4000 ratio (13.67%) was significantly higher than that of the other treatment groups on the 6th day. On the 12th day, the population decline rates for the 1:2000 (98.80%), 1:4000 (96.46%), 1:6000 (92.89%), and 1:8000 (13.67%) ratios were significantly higher than that for the 1:10,000 ratio (32.90%).
For each hoverfly–aphid release ratio, larvae began to appear and increased gradually on the 6th day. There were eggs for the 1:2000, 1:8000, and 1:10,000 ratios in 3~9 days and for the 1:4000 and 1:6000 ratios in 3~12 days. For the 1:4000 ratio, the number of E. corollae eggs (45.67) was the highest on the 3rd day, and the number of larvae (75.33) was the highest on the 12th day (Figure 5B).

3.4.3. Attack Efficiency of E. corollae on M. japonica

There was an inhibitory effect of E. corollae on the population growth of M. japonica under the condition of different hoverfly–aphid release ratios (Figure 4C). The population sizes of M. japonica for the ratios of 1:1500 and 1:2000 increased rapidly in the first 6 days, reaching a peak on the 9th day (3863.33 and 4146.67, respectively), and then began to decrease slowly, with population numbers of 3670 and 3773.33 on the 12th day, respectively. The number of aphids for the ratios of 1:250, 1:500, and 1:1000 increased slowly in the first 6 days but then decreased rapidly, with 0 aphids for the ratios of 1:250 and 1:500 on the 9th day and 0 for the ratio of 1:1000 on the 12th day.
There were significant differences in the population decline rate of M. japonica on the 6th (F5,12 = 11.026, p < 0.001), 9th (F5,12 = 79.506, p < 0.001), and 12th (F5,12 = 193.435, p < 0.001) days between treatment groups (Table 7). On the 6th day, the population decline rate of M. japonica for the ratio of 1:500 (39.40%) was the highest, and the 1:1500 ratio (−135.11%) had the lowest decline rate. The population decline rates of the 1:250 (100.00%) and 1:500 (100.00%) ratios were significantly higher than those of other treatment groups on the 9th day. On the 12th day, the population decline rate of the 1:1000 ratio (100.00%) was significantly higher than those of other treatment groups. On the 9th and 12th days, the population decline rates of the 1:1500 (−157.56%, −144.67%) and 1:2000 (−107.33%, −88.67%) ratios were significantly higher than that of the CK.
There were eggs for the 1:250, 1:500, 1:1500, and 1:2000 ratios in 3~6 days and for the 1:1000 ratio in 3~9 days. For the 1:1000 ratio, the number of E. corollae eggs (58) was the highest on the 3rd day. There were pupae for the 1:1000, 1:1500, and 1:2000 ratios on the 12th day (Figure 5C).

4. Discussion

Eupeodes corollae, a well-documented beneficial insect group in agricultural ecosystems [30], provides biological control and pollination services that help maintain biodiversity and improve crop yield [38]. The results of this experiment showed that the spawning and predation preferences of E. corollae were consistent and that the second- and third-instar larvae all had a predation ability and showed a Holling’s type II functional response when feeding on A. craccivora, M. persicae, and M. japonica. At the same time, E. corollae had a certain inhibitory effect on the growth of these three aphid populations. Therefore, E. corollae can be considered a natural enemy insect with a high biocontrol potential and field application value.
Predators often have predatory preferences under the condition of many kinds of prey or different morphological types of the same prey [39]. Neoseiulus californicus prefers to prey on the Eotetranychus lewisi rather than Tetranychus urticae [40]. Neoseiulus bicaudus prefers to prey on the Tetranychus turkestani rather than Bemisia tabaci [41]. The predatory preference of predatory insects is affected by multiple factors, such as prey size, nutrient level, exoskeleton “hardness”, and genetic characteristics [42,43,44,45], and predators usually choose prey with the best energy return [46]. The predation rate for the summer form of Cacopsylla chinensis (higher levels of protein) by Harmonia axyridis was higher than that of the winter forms [39]. The spiders that had been maintained on high-quality flies exhibited significant positive selection for the high-quality flies (higher levels of nitrogen and protein) compared to the low-quality flies [44]. The highest Ci was found for A. craccivora in the study, probably due to its higher nutritional return among these three species of aphids. At the same time, the spawning selection rate of E. corollae adults in A. craccivora populations was the highest, and the predation and spawning preferences were consistent, which also existed in a study on Spodoptera frugiperda (both favoring maize) by Zhang et al. [47]. The Ci of the third-instar larvae for A. craccivora was higher than that of the second-instar larvae (0.15 > 0.08), which may be due to the differences of the insects themselves at different growth stages, as was also found in a study on the predation selection of C. undecimpunctata by Cao et al. [48].
The predatory functional response is often used to quantitatively assess the ability of predatory natural enemies to control pests [49,50]. In general, predatory insects tend to have a Holling’s type II functional response [51,52]. As a natural enemy of aphids, the functional response of E. corollae can better evaluate its ability to control aphids. The second- and third-instar larvae of E. corollae all showed a Holling’s type II functional response when feeding on A. craccivora, M. persicae, or M. japonica, which was consistent with the predation trend of E. corollae on Brevicoryne brassicae, Lipaphis erysimi, and M. persicae found by Li et al. The 1/Th values of the second- and third-instar larvae of E. corollae on M. persicae were 142.86 and 200.00 in our study, respectively, while the numbers reported by Li et al. were 55.71 and 166.67, respectively. This difference is likely related to the different geographical populations [53]. The predators’ voracity on prey increased with their ontogenetic development, as shown in previous studies [54,55]. For these three aphid species, the 1/Th of the third-instar larvae was higher than that of the second-instar larvae. Thus, it is recommended to select third-instar larvae for the control of aphids in field applications. The data on the functional response cannot be fully used to reflect the foraging behavior of predators in the wild due to the complexity of wild spaces [56,57], but they can be used under conditions of high-density prey [58]. Therefore, our results provide a valuable theoretical basis for the biological control of aphids using E. corollae. The S of the second- and third-instar larvae on these three species of aphids gradually decreased with an increase in prey density, and when the prey density was the same, the S of the third-instar larvae was greater than that of the second-instar larvae, as also found for H. axyridis and C. undecimpunctata [59,60].
Natural enemies that exhibit a Holling’s type II response can be applied for the biological control of pests [61]. The benefit–harm ratio of natural enemy placement is an important parameter for this application. This study showed that the control effect and release ratios of E. corollae on three species of aphids were positively correlated, which is consistent with a study on the effects of E. corollae on the cotton aphid Aphis gossypii by Li et al. [62]. The more natural enemies are released, the better the control effect under certain conditions. Considering the application cost, the recommended release ratios of E. corollae for the control of A. craccivora, M. persicae, and M. japonica are 1:2000, 1:6000, and 1:1000, respectively. Sun et al. found that the benefit–harm ratio of E. corollae larvae to aphids needed to be as high as 1:30 to achieve a 91.05% control effect [63]. In comparison, it can be considered that the adults of E. corollae have great biocontrol potential. Adult hoverflies lay eggs; the eggs hatch into larvae, and the larvae feed on the aphids to control the growth of their populations. The density of the aphid population is too large in the late stages of the treatment, and the feeding of a large number of aphids leads to a wilted and dry state of broad bean seedlings. This also causes the E. corollae adults to lay very few eggs or even stop laying eggs, and the population development of aphids and E. corollae affects each other, as also found between aphids and Hippodamia variegata [64].
Aphids are extremely harmful to agricultural production, and biological control is an important part of comprehensive aphid control and plays a vital role [65]. Among the natural enemies of aphids, hoverflies do not have a summer diapause as large ladybugs, such as H. axyridis and Coccinella septempunctata [66,67], so they are more suitable predators in the summer, especially when large ladybugs are inactive. This study on the predation and control effect of E. corollae on three species of aphids enriched the biological control theory of “insect control” in order to provide a reference for the application and promotion of the use of E. corollae to control aphids.
This experiment was performed in a greenhouse that represented a semi-closed condition with a constant temperature and humidity, which is not fully representative of the behavior of hoverflies under complex conditions in the wild [68]. The predation behavior of hoverflies on aphids is not only related to the insects’ own characteristics but is also affected by such environmental factors as temperature, humidity, and light under natural conditions. At the same time, the intraspecific competition and interference should also be of concern because the occurrence of hoverflies is highly overlapping with other natural enemies of aphids (ladybirds and grass flies) [69]. Under natural conditions, unfavorable environmental conditions are easy to have a negative impact on the mating and egg-laying behaviors of adult hoverflies [70], and the lack of food (aphids, pollen, or nectar) and host plant species are also susceptible to influence [71]. The study by Li et al. found that hoverfly adults did not forage or lay eggs on tomato plants (flowerless), and the E. corollae populations may not be able to sustain themselves in greenhouse systems [62]. Using chemical pesticides is currently the main means of control of aphids, which not only pollutes biological habitats but also directly causes certain lethal effects on hoverflies [72,73]. Every problem in the practical application of E. corollae as natural enemies requires our attention, and further research is necessary to identify best practice applications.

Author Contributions

Conceptualization, S.J., H.L. and K.W.; methodology, S.J., H.L. and K.W.; software, S.J. and H.L.; validation, H.L. and K.W.; resources, K.W.; writing—original draft preparation, S.J.; writing, all authors; visualization, all authors; supervision, K.W.; project administration, K.W. All authors have read and agreed to the published version of the manuscript.

Funding

This study was funded by The Key R&D Program of Shandong Province (2020CXGC010802) and the China Agriculture Research System (CARS-02).

Institutional Review Board Statement

Not applicable.

Informed Consent Statement

Not applicable.

Data Availability Statement

Data sharing was not applicable.

Acknowledgments

We are very grateful to Lituo Liu, Shijiao Chu, Xinhang Wang, and Yue Sun for their help with data collation.

Conflicts of Interest

The authors declare no conflict of interest.

References

  1. Kenicer, G. Legumes of the world. Edinb. J. Bot. 2005, 62, 195–196. [Google Scholar] [CrossRef]
  2. Stagnari, F.; Maggio, A.; Galieni, A.; Pisante, M. Multiple benefits of legumes for agriculture sustainability: An overview. Chem. Biol. Technol. Agric. 2017, 4, 2. [Google Scholar] [CrossRef]
  3. Michael, J.C.; Kadambot, H.M.S.; Christine, H.F. Nature’s pulse power: Legumes, food security and climate change. J. Exp. Bot. 2017, 68, 1815–1818. [Google Scholar]
  4. Gao, D.; Wang, X.; Fu, S.; Zhao, J. Legume plants enhance the resistance of soil to ecosystem disturbance. Front. Plant. Sci. 2017, 8, 1295. [Google Scholar] [CrossRef]
  5. Boasiako, A.; Wang, Y.; Kwame, D.H.; Zhao, T. Mitigating against sclerotinia diseases in legume crops: A comprehensive review. Agronomy 2022, 12, 3140. [Google Scholar] [CrossRef]
  6. Akpapunam, M.; Sefa, D. Jack bean (Canavalia ensiformis): Nutrition related aspects and needed nutrition research. Plant. Foods Hum. Nutr. 1997, 50, 93–99. [Google Scholar] [CrossRef] [PubMed]
  7. Amjad, I.; Iqtidar, A.K.; Nadia, A.; Sayyar, M. Nutritional quality of important food legumes. Food Chem. 2005, 97, 331–335. [Google Scholar]
  8. Case, T.J. Travelers and their fate: Ecology of biological invasions of North America and Hawaii. Science 1987, 236, 1000–1002. [Google Scholar] [CrossRef]
  9. Emden, H.F.V.; Eastop, V.F.; Hughes, R.D.; Way, M.J. The ecology of Myzus persicae. Annu. Rev. Entomol. 1969, 14, 197–270. [Google Scholar] [CrossRef]
  10. Obopile, M.; Ositile, B. Life table and population parameters of cowpea aphid, Aphis craccivora Koch (Homoptera: Aphididae) on five cowpea Vigna unguiculata (L. Walp.) varieties. J. Pest. Sci. 2010, 83, 9–14. [Google Scholar] [CrossRef]
  11. Trinh, D.N.; Ha, T.K.L.; Qiu, D. Biocontrol potential of some entomopathogenic fungal strains against bean aphid Megoura japonica (Matsumura). Agriculture 2020, 10, 114. [Google Scholar] [CrossRef]
  12. Beata, B.S.; Roma, D.; Barbara, W. Morphology, biology and behavioral aspects of Aphis craccivora (Hemiptera: Aphididae) on robinia pseudoacacia. Acta Sci. Pol. Hortorum Cultus 2017, 16, 39–49. [Google Scholar]
  13. Samy, S.; Ashraf, E.S.; Esmat, A. Suitability of five plant species extracts for their compatibility with indigenous Beauveria bassiana against Aphis gossypii Glov. (Hemiptera: Aphididae). Egypt. J. Biol. Pest. Control. 2021, 31, 11. [Google Scholar]
  14. Liu, X.; Ban, N.; Fu, Z.; Gao, X.; Liu, T.; Liang, P. Persistent toxicity and dissipation dynamics of afidopyropen against the green peach aphid Myzus persicae (Sulzer) in cabbage and chili. Ecotoxicol. Environ. Saf. 2023, 252, 114584. [Google Scholar] [CrossRef]
  15. Weber, G. Genetic variability in host plant adaptation of the green peach aphid, Myzus persicae. Entomol. Exp. Appl. 1985, 38, 49–56. [Google Scholar] [CrossRef]
  16. Nancy, A.M. Aphids: Their biology, natural enemies and control. Q. Rev. Biol. 1988, 63, 98–99. [Google Scholar]
  17. Zhang, S.; Cao, Z.; Wang, Q.; Zhang, F.; Liu, T. Exposing eggs to high temperatures affects the development, survival and reproduction of Harmonia axyridis. J. Therm. Biol. 2014, 39, 40–44. [Google Scholar] [CrossRef]
  18. Yin, J.; Li, Y.; Li, X.; Mo, W.; Zhang, C.; Wang, J.; Xin, T.; Zou, Z.; Xia, B. Predation of Cheyletus malaccensis (Acari: Cheyletidae) on Megoura japonica (Hemiptera: Aphididae) under five different temperatures. Int. J. Acarol. 2019, 45, 176–180. [Google Scholar]
  19. Poehling, K.H.H. Effects of different intensities of fertilisers and pesticides on aphids and aphid predators in winter wheat. Agric. Ecosyst. Environ. 1995, 52, 45–50. [Google Scholar]
  20. Jadhav, Y.T.; Mane, S.R.; Shinde, D.S. Effect of different newer pesticides on aphid population of summer okra. Int. J. Plant. Prot. 2016, 9, 418–423. [Google Scholar] [CrossRef]
  21. Diaz, B.M.; Oggerin, M.; Claudia, C.L.L.; Rubio, V.; Alberto, F. Characterization and virulence of Lecanicillium lecanii against different aphid species. Biocontrol 2009, 54, 825–835. [Google Scholar] [CrossRef]
  22. Aaron, B.; Beate, R.; Catharina, W.; Beane, F.L. Pesticides and human health. Occup. Environ. Med. 2015, 72, 81–82. [Google Scholar]
  23. Zhao, Z.; Hui, C.; He, D.; Li, B. Corrigendum: Effects of agricultural intensification on ability of natural enemies to control aphids. Sci. Rep. 2017, 7, 46806. [Google Scholar] [CrossRef] [PubMed]
  24. Zaki, F.N.; El-Shaarawy, M.F.; Farag, N.A. Release of two predators and two parasitoids to control aphids and whiteflies. J. Pest. Sci. 1999, 72, 19–20. [Google Scholar] [CrossRef]
  25. Brigitie, T. Estimating predatory efficiency of Episyrphus balteatus (Diptera: Syrphidae) in cereal fields. Environ. Entomol. 1995, 24, 687–691. [Google Scholar]
  26. Pu, D.; Liu, H.; Gong, Y.; Ji, P.; Li, Y.; Mou, F.; Wei, S. Mitochondrial genomes of the hoverflies Episyrphus balteatus and Eupeodes corollae (Diptera: Syrphidae), with a phylogenetic analysis of muscomorpha. Sci. Rep. 2017, 7, 44300. [Google Scholar] [CrossRef]
  27. Lian, Y.; Wang, A.; Peng, S.; Jia, J.; Yang, X.; Li, J.; Yang, S.; Zheng, R.; Zhou, S. Potential global distribution area projections of the aphid Lipaphis erysimi and its predator Eupeodes corollae in the context of climate change. Front. Plant. Sci. 2022, 13, 1019693. [Google Scholar] [CrossRef]
  28. Rob, M.; Sten, B.; Felix, L.W.; Apostolos, P. Aphidophagous hoverflies reduce foxglove aphid infestations and improve seed set and fruit yield in sweet pepper. Pest. Manag. Sci. 2021, 77, 2690–2696. [Google Scholar]
  29. Lucinda, D.; Manuel, L.; Chris, R.R.; Tanya, L. Dual ecosystem services of syrphid flies (Diptera: Syrphidae): Pollinators and biological control agents. Pest. Manag. Sci. 2020, 76, 1973–1979. [Google Scholar]
  30. Liu, W.; Li, H.; Wang, G.; Cao, H.; Wang, B. Conserved odorant receptor, EcorOR4, mediates attraction of mated female Eupeodes corollae to 1-Octen-3-ol. J. Agric. Food Chem. 2023, 71, 1837–1844. [Google Scholar] [CrossRef]
  31. Li, H.; Jiang, S.; Zhang, H.; Geng, T.; Kris, A.G.W.; Wu, K. Two-way predation between immature stages of the hoverfly Eupeodes corollae and the invasive fall armyworm (Spodoptera frugiperda J. E. Smith). J. Integr. Agric. 2021, 20, 829–839. [Google Scholar] [CrossRef]
  32. Wang, J.; Yang, Y.; Li, Y.; Jin, Z.; Nicolas, D.; Han, P.; Wang, S.; Li, S. Direct and indirect effects of banker plants on population establishment of Harmonia axyridis and aphid control on pepper crop. Front. Plant. Sci. 2022, 13, 38–48. [Google Scholar] [CrossRef]
  33. Dou, S.; Liu, B.; Liu, Y.; Zhang, J.; Lu, Y. Intraguild predation of Hippodamia variegata on aphid mummies in cotton field. Insects 2023, 14, 81. [Google Scholar] [CrossRef]
  34. Pervez, A.; Maia, A.d.H.N.; Hakan, B. Reproduction and demography of an aphidophagous ladybird, Hippodamia variegata on six aphid species. Int. J. Trop. Insect Sci. 2020, 40, 541–548. [Google Scholar] [CrossRef]
  35. Zhou, J.; Chen, C. Methods for determining the quantity of predator selectivity for prey. Acta Ecol. Sin. 1987, 01, 50–56. [Google Scholar]
  36. Clercq, P.D.; Jafar, M.; Tirry, L. Effect of host plant on the functional response of the predator podisus nigrispinus (Heteroptera: Pentatomidae). Biol. Control. 2000, 18, 65–70. [Google Scholar] [CrossRef]
  37. Holling, C.S. Some characteristics of simple types of predation and parasitism. Can. Entomol. 1959, 91, 385–398. [Google Scholar]
  38. Jiang, S.; Li, H.; He, L.; Wu, K. Population fitness of Eupeodes corollae Fabricius (Diptera: Syrphidae) feeding on different species of aphids. Insects 2022, 13, 494. [Google Scholar] [CrossRef] [PubMed]
  39. Ge, Y.; Zhang, L.; Qin, Z.; Wang, Y.; Liu, P.; Tan, S.; Fu, Z.; Olivia, M.S.; Shi, W. Different predation capacities and mechanisms of Harmonia axyridis (Coleoptera: Coccinellidae) on two morphotypes of pear psylla Cacopsylla chinensis (Hemiptera: Psyllidae). PLoS ONE 2019, 14, e0215834. [Google Scholar] [CrossRef] [PubMed]
  40. Kaur, P.; Frank, G.Z. Consumption rate and predatory preference of the predaceous mite, Neoseiulus californicus to Tetranychus urticae and Eotetranychus lewisi on strawberry in California, USA. Curr. Sci. 2019, 116, 2097–2101. [Google Scholar] [CrossRef]
  41. Guodong, H.; Siqiong, T.; Jie, S.; Jing, C.; Jianping, Z. Predation selectivity of Neoseiulus bicaudus Wainstein against Bemisia tabaci and Tetranychus turkestani. J. Biol. Control. 2020, 36, 347–352. [Google Scholar]
  42. Farhad, F.; Hossein, A.; Mohammad, T.S.; Majid, G. Prey preference of aphidoletes aphidimyza on acyrthosiphon pisum: Effect of prey color and size. J. Insect Behav. 2014, 27, 776–785. [Google Scholar] [CrossRef]
  43. Kim, J.; David, M.; Søren, T.; Fiona, J.C.; John, H.; David, R.; Stephen, J.S. Optimal foraging for specific nutrients in predatory beetles. Proc. R. Soc. B 2012, 279, 2212–2218. [Google Scholar]
  44. Jason, M.S.; Peter, S.; Shawn, M.W.; Ann, L.R. The nutritional content of prey affects the foraging of a generalist arthropod predator. PLoS ONE 2018, 7, e49223. [Google Scholar]
  45. David, M.; David, R.; Mor, S.; Søren, T.; Stephen, J.S. Nutrient specific foraging in invertebrate predators. Science 2005, 307, 111–113. [Google Scholar]
  46. Sarina, M.; Andrew, P.D.; Myron, P.Z. Assessing the impact of arthropod natural enemies on crop pests at the field scale. Insect Sci. 2015, 22, 20–34. [Google Scholar]
  47. Zhang, Y.; Zhang, Z.; Liu, J.; Jiang, Y.; Li, X.; Chen, Z.; Lin, P.; Huang, H. Selectivity of Spodoptera frugiperda to spawn and feed grasses in the field. J. Plant. Prot. 2021, 47, 117–122+147. [Google Scholar]
  48. Cao, W.; Su, Y.; Ma, X.; Yao, Y. Predation selectivity of Coccinella undecimpunctata Linnaeus against Aphis gossypii Glover and Acyrthosiphom gossypii Mordviiko. Xinjiang Agric. Sci. 2019, 56, 472–480. [Google Scholar]
  49. Yang, N.; Zang, L.; Wang, S.; Guo, J.; Xu, H.; Zhang, F.; Wan, F. Biological pest management by predators and parasitoids in the greenhouse vegetables in China. Biol. Control. 2014, 68, 92–102. [Google Scholar] [CrossRef]
  50. Marilyn, A.H.; Richard, E.S. The comparative study of functional responses: Experimental design and statistical interpretation. Can. Entomol. 1985, 117, 617–629. [Google Scholar]
  51. Spitze, K. Functional response of an ambush predator: Chaoborus americanus Predation on Daphnia pulex. Ecology 1985, 66, 938–949. [Google Scholar] [CrossRef]
  52. Kohno, K.; Thi, N.B.; Fujiwara, M. Predation of Dysdercus cingulatus (Heteroptera: Pyrrhocoridae) by the specialist predator Antilochus coqueberti (Heteroptera: Pyrrhocoridae). Appl. Entomol. Zool. 2004, 39, 661–667. [Google Scholar] [CrossRef]
  53. Li, X.; Luo, Y. Study on the predation effect of Eupeodes corollae Fabricius on three species of aphids. J. Yunnan Agric. Univ. 2001, 2, 102–104+110. [Google Scholar]
  54. Yasuda, H. Effect of prey density on behaviour and development of the predatory mosquito, Toxorhynchites towadensis. Entomol. Exp. Appl. 1995, 76, 97–103. [Google Scholar] [CrossRef]
  55. James, B.E. Influence of prey species on immature survival, development, predation and reproduction of Coccinella transversalis Fabricius (Col. Coccinellidae). J. Appl. Entomol. 2004, 128, 150–157. [Google Scholar] [CrossRef]
  56. Michaud, J. Biological control of asian citrus psyllid, Diaphorina citri (Hemiptera: Psyllidae) in florida: A preliminary report. Entomol. News 2002, 113, 216–222. [Google Scholar]
  57. Michaud, J. Numerical response of olla v-nigrum (Coleoptera: Coccinellidae) to infestations of Asian citrus Psyllid, (Hemiptera: Psyllidae) in florida. Fla. Entomol. 2001, 84, 608–612. [Google Scholar] [CrossRef]
  58. Verónica, C.; Jaime, E.A. Functional response of Nabis punctipennis blanchard to Acyrthosiphon pisum harris in the laboratory. Chil. J. Agric. Anim. Sci. 2017, 33, 64–72. [Google Scholar]
  59. Yu, H.; Wang, Z.; Long, G.; Yang, H.; Feng, D. Predatory function responses of different insect states of Harmonia axyridis to three species of aphids. Jiangsu Agric. Sci. 2018, 46, 86–90. [Google Scholar]
  60. Li, Q.; Qi, Q.; Lai, Y. Study on the predation effect of Coccinella undecimpunctata Linnaeus on Aphis gossypi. J. Econ. Entomol. 2020, 42, 1472–1481. [Google Scholar]
  61. Joop, C.v.L.; Lia, H.; Juracy, C.L.; Vanda, H.P.B. Functional responses of three neotropical mirid predators to eggs of Tuta absoluta on Tomato. Insects 2016, 7, 34. [Google Scholar]
  62. Li, H.; Wyckhuys, K.A.G.; Wu, K. Hoverflies provide pollination and biological pest control in greenhouse-grown horticultural crops. Front. Plant. Sci. 2023, 14, 1118388. [Google Scholar] [CrossRef] [PubMed]
  63. Sun, X.; Chen, W.; Chen, Z.; Zhao, J.; He, J. Preliminary test of controlling together aphids on strawberry and pot marigold with Eupeodes corollae (fabricius) and Harmonia aryridis (pallas). J. Shanghai Agric. Univ. 1995, 03, 232–233. [Google Scholar]
  64. Guo, P.; Khan, P.U.; Ren, H.; Aisan, T.A.; Ma, D. The control efficacy and colonization effects of release of Hippodamia variegata with different benefit harm ratio on Aphis craccivora in facilities. J. Biol. Control. 2022, 38, 312–320. [Google Scholar]
  65. Bale, J.S.; Lenteren, J.C.v.; Bigler, F. Biological control and sustainable food production. Philos. Trans. R. Soc. B Biol. Sci. 2008, 363, 761–776. [Google Scholar] [CrossRef] [PubMed]
  66. Katsoyannos, P.; Kontodimas, D.C.; Stathas, G.J. Summer diapause and winter quiescence of Coccinella septempunctata (Col. Coccinellidae) in central greece. Biol. Control. 1997, 42, 483–491. [Google Scholar]
  67. Ohashi, K.; ShunEi, K.; Yasuyuki, S. Geographic and annual variation of summer-diapause expression in the ladybird beetle, Coccinella septempunctata (Coleoptera: Coccinellidae), in Japan. Appl. Entomol. Zool. 2003, 38, 187–196. [Google Scholar] [CrossRef]
  68. Hassall, C.; Owen, J.; Gilbert, F. Phenological shifts in hoverflies (Diptera: Syrphidae): Linking measurement and mechanism. Ecography 2017, 40, 853–863. [Google Scholar] [CrossRef]
  69. Lucas, É.; Coderre, D.; Brodeur, J. Intraguild predation among aphid predators: Characterization and influence of extraguild prey density. Ecology 1998, 79, 1084–1092. [Google Scholar] [CrossRef]
  70. Gao, W.; Zhang, L.; Wang, M.; Chen, H. Preliminary Study on the Nutritional Requirements of Hoverflies and Their Artificial Rearing; China Society of Plant Protection: Wuhan, China, 2009; p. 1027. [Google Scholar]
  71. Li, Q.; Wu, Z.; Li, X.; Luo, Y. Effects of four plant species on the growth, development and behavior of Eupeodes corollae Fabricius. J. Yunnan Agric. Univ. 2006, 05, 596–599. [Google Scholar]
  72. Joachim, M.; Patrick, D.C.; Luc, T. Side effects of pesticides on the larvae of the hoverfly Episyrphus balteatus in the laboratory. Phytoparasitica 2011, 39, 1–9. [Google Scholar]
  73. Colignon, P.; Haubruge, E.; Gaspar, C.; Francis, F. Effects of reducing recommended doses of insecticides and fungicides on the non-target insect Episyrphus balteatus (Diptera: Syrphidae). Phytopathology 2004, 84, 141–148. [Google Scholar]
Figure 1. Spawning selection of E. corollae adults. Different lowercase letters in the figure reflect significant differences (one-way ANOVA, Tukey’s HSD, p < 0.05).
Figure 1. Spawning selection of E. corollae adults. Different lowercase letters in the figure reflect significant differences (one-way ANOVA, Tukey’s HSD, p < 0.05).
Agronomy 13 01739 g001
Figure 2. Predation amount of 2nd-instar (A) and 3rd-instar (B) E. corollae larvae on A. craccivora, M. persicae, and M. japonica.
Figure 2. Predation amount of 2nd-instar (A) and 3rd-instar (B) E. corollae larvae on A. craccivora, M. persicae, and M. japonica.
Agronomy 13 01739 g002
Figure 3. Searching efficiency of 2nd-instar (A) and 3rd-instar (B) E. corollae larvae on A. craccivora, M. persicae, and M. japonica.
Figure 3. Searching efficiency of 2nd-instar (A) and 3rd-instar (B) E. corollae larvae on A. craccivora, M. persicae, and M. japonica.
Agronomy 13 01739 g003
Figure 4. Variation in A. craccivora (A), M. persicae (B), and M. japonica (C) population sizes under different hoverfly–aphid release ratios. Numbers in the X-axis refer to the days from the beginning of the experiment.
Figure 4. Variation in A. craccivora (A), M. persicae (B), and M. japonica (C) population sizes under different hoverfly–aphid release ratios. Numbers in the X-axis refer to the days from the beginning of the experiment.
Agronomy 13 01739 g004
Figure 5. Population structure dynamics of E. corollae on A. craccivora (A), M. persicae (B), and M. japonica (C) populations under different hoverfly–aphid release ratios. Numbers in the X-axis refeto the days from the beginning of the experiment.
Figure 5. Population structure dynamics of E. corollae on A. craccivora (A), M. persicae (B), and M. japonica (C) populations under different hoverfly–aphid release ratios. Numbers in the X-axis refeto the days from the beginning of the experiment.
Agronomy 13 01739 g005
Table 1. Species and density of aphids preyed by hoverfly larvae.
Table 1. Species and density of aphids preyed by hoverfly larvae.
PredatorPrey
SpeciesDensity (Individuals)
2nd E. corollaeA. craccivora10, 20, 30, 40, 50
M. persicae10, 20, 30, 40, 50
M. japonica5, 10, 15, 20, 25
3rd E. corollaeA. craccivora30, 60, 90, 120, 150
M. persicae20, 40, 60, 80, 100
M. japonica10, 20, 30, 40, 50
Table 2. The hoverfly–aphid release ratios.
Table 2. The hoverfly–aphid release ratios.
SpeciesCK (1)Treatment (2)
A. craccivora10001:1000, 1:2000, 1:4000, 1:6000, 1:8000
M. persicae20001:2000, 1:4000, 1:6000, 1:8000, 1:10,000
M. japonica2501:250, 1:500, 1:1000, 1:1500, 1:2000
(1) CK indicates that when there were no hoverflies and only aphids in the cage, the numbers of A. craccivora, M. persicae, and M. japonica were 1000, 2000, and 250, respectively. (2) “Treatment” means there are aphids and one E. corollae adult in the cage, resulting in different hoverfly–aphid release ratios.
Table 3. Predation preference of E. corollae larvae for different species of aphids.
Table 3. Predation preference of E. corollae larvae for different species of aphids.
Larval StagePreyPredation ValuesCi
2nd instarA. craccivora10.0 ± 0.00 a0.08 ± 0.02 a
M. persicae7.3 ± 0.34 b−0.07 ± 0.01 b
M. japonica8.0 ± 0.58 b−0.03 ± 0.02 b
3rd instarA. craccivora18 ± 0.58 a0.15 ± 0.01 a
M. persicae11.7 ± 0.88 b−0.07 ± 0.02 b
M. japonica10.7 ± 0.66 b−0.12 ± 0.03 b
Values are means ± SE. Data at the same state in the same column followed by different lowercase letters differed significantly (p < 0.05).
Table 4. Functional responses and related parameters of E. corollae on three species of aphids.
Table 4. Functional responses and related parameters of E. corollae on three species of aphids.
Larval StagePreyP1Holling ⅡaTh (d)1/Tha/ThR2
2nd instarA. craccivora−6.8447Na = 1.322N/(1 + 0.0159N)1.3220.01283.33110.170.903
M. persicae−1.9128Na = 1.150N/(1 + 0.0069N)1.1500.006166.67191.670.984
M. japonica−3.0661Na = 1.189N/(1 + 0.0250N)1.1890.02147.6256.620.914
3rd instarA. craccivora−6.2720Na = 1.563N/(1 + 0.0109N)1.5630.007142.86223.290.923
M. persicae−5.2440Na = 1.294N/(1 + 0.0065N)1.2940.005200.00258.800.971
M. japonica−0.0299Na = 1.089N/(1 + 0.0120N)1.0890.01190.9199.000.908
Table 5. The A. craccivora population decline rate due to E. corollae under different hoverfly–aphid release ratios.
Table 5. The A. craccivora population decline rate due to E. corollae under different hoverfly–aphid release ratios.
TreatmentPopulation Decline Rate (%)
3rd Day (1)6th Day9th Day12th Day
CK−179.00 ± 1.88 c−208.67 ± 6.43 b−378.67 ± 16.73 c−449.67 ± 27.86 c
1:1000−179.00 ± 10.71 c−199.67 ± 8.24 b23.33 ± 5.89 a100.00 ± 0.00 a
1:2000−92.50 ± 7.21 b−101.00 ± 7.26 a17.00 ± 6.98 a98.17 ± 0.36 a
1:4000−84.67 ± 4.23 ab−106.25 ± 8.14 a−54.67 ± 5.39 b77.42 ± 6.67 a
1:6000−77.33 ± 5.44 ab−108.89 ± 4.33 a−50.50 ± 0.21 b49.39 ± 7.78 ab
1:8000−50.50 ± 1.60 a−105.04 ± 1.21 a−74.83 ± 4.17 b−4.71 ± 4.60 b
(1) The 3, 6, 9, and 12 are days from the beginning of the experiment. Values are means ± SE. Different lowercase letters in the same column reflect significant differences (p < 0.05).
Table 6. The M. persicae population decline rate due to E. corollae under different hoverfly–aphid release ratios.
Table 6. The M. persicae population decline rate due to E. corollae under different hoverfly–aphid release ratios.
TreatmentPopulation Decline Rate
3rd Day (1)6th Day9th Day12th Day
CK−46.83 ± 3.81 a−59.50 ± 5.67 c−131.5 ± 6.28 b−152.50 ± 2.62 c
1:2000−31.75 ± 12.16 a−22.57 ± 9.84 b28.30 ± 3.27 a98.80 ± 0.27 a
1:4000−15.83 ± 3.57 a13.67 ± 4.70 a32.75 ± 2.90 a96.46 ± 0.71 a
1:6000−26.28 ± 4.05 a−46.61 ± 2.7 bc12.83 ± 3.89 a92.89 ± 1.64 a
1:8000−20.86 ± 5.27 a−40.67 ± 4.55 bc9.62 ± 14.68 a80.67 ± 6.66 a
1:10,000−31.00 ± 3.86 a−32.33 ± 4.65 bc3.63 ± 3.32 a32.90 ± 4.23 b
(1) The 3, 6, 9, and 12 are days from the beginning of the experiment. Values are means ± SE. Different lowercase letters in the same column reflect significant differences (p < 0.05).
Table 7. The M. japonica population decline rate due to E. corollae under different hoverfly–aphid release ratios.
Table 7. The M. japonica population decline rate due to E. corollae under different hoverfly–aphid release ratios.
TreatmentPopulation Decline Rate
3rd Day (1)6th Day9th Day12th Day
CK−34.67 ± 2.88 a−108.00 ± 5.66 cd−244.00 ± 16.11 d−304.00 ± 21.75 c
1:250−30.67 ± 6.62 a−74.67 ± 9.49 abc100.00 ± 0.00 a——
1:500−29.33 ± 5.95 a−39.40 ± 6.24 a100.00 ± 0.00 a——
1:1000−33.00 ± 6.53 a−45.87 ± 11.04 ad6.67 ± 24.61 b100.00 ± 0.00 a
1:1500−40.71 ± 2.63 a−135.11 ± 4.71 d−157.56 ± 3.08 c−144.67 ± 4.56 b
1:2000−47.33 ± 9.58 a−97.33 ± 13.97 bcd−107.33 ± 11.76 c−88.67 ± 9.63 b
(1) The 3, 6, 9, and 12 are days from the beginning of the experiment. Values are means ± SE. Different lowercase letters in the same column reflect significant differences (p < 0.05).
Disclaimer/Publisher’s Note: The statements, opinions and data contained in all publications are solely those of the individual author(s) and contributor(s) and not of MDPI and/or the editor(s). MDPI and/or the editor(s) disclaim responsibility for any injury to people or property resulting from any ideas, methods, instructions or products referred to in the content.

Share and Cite

MDPI and ACS Style

Jiang, S.; Li, H.; Wu, K. Predation and Control Effect of Eupeodes corollae Fabricius (Diptera: Syrphidae) on Leguminous Plant Aphids. Agronomy 2023, 13, 1739. https://doi.org/10.3390/agronomy13071739

AMA Style

Jiang S, Li H, Wu K. Predation and Control Effect of Eupeodes corollae Fabricius (Diptera: Syrphidae) on Leguminous Plant Aphids. Agronomy. 2023; 13(7):1739. https://doi.org/10.3390/agronomy13071739

Chicago/Turabian Style

Jiang, Shanshan, Hui Li, and Kongming Wu. 2023. "Predation and Control Effect of Eupeodes corollae Fabricius (Diptera: Syrphidae) on Leguminous Plant Aphids" Agronomy 13, no. 7: 1739. https://doi.org/10.3390/agronomy13071739

APA Style

Jiang, S., Li, H., & Wu, K. (2023). Predation and Control Effect of Eupeodes corollae Fabricius (Diptera: Syrphidae) on Leguminous Plant Aphids. Agronomy, 13(7), 1739. https://doi.org/10.3390/agronomy13071739

Note that from the first issue of 2016, this journal uses article numbers instead of page numbers. See further details here.

Article Metrics

Back to TopTop