You are currently viewing a new version of our website. To view the old version click .
Agronomy
  • Article
  • Open Access

26 June 2023

Utilization of Digestate as an Organic Manure in Corn Silage Culture: An In-Depth Investigation of Its Profound Influence on Soil’s Physicochemical Properties, Crop Growth Parameters, and Agronomic Performance

,
,
,
,
,
and
1
Department of Agronomy, National School of Agriculture, Km.10. Route Haj Kaddour, B.P.S/40, Meknes 50001, Morocco
2
Physics & Astronomy Department, Science College, King Saud University, P.O. Box 2455, Riyadh 11451, Saudi Arabia
3
Department of Biology, Faculty of Biology, “Alexandru Ioan Cuza” University, Bvd. Carol I, No. 20A, 700505 Iasi, Romania
*
Author to whom correspondence should be addressed.
This article belongs to the Section Water Use and Irrigation

Abstract

The agricultural valorization of organic waste, including digestate from anaerobic digestion, can be a good tool to remedy the problem of soil depletion by intensive crops. This study was conducted to evaluate the effect of digestate application on the chemical characteristics of the soil, including N, P, and K content, pH, and electrical conductivity, as well as the agronomic performance of forage corn (Zea mays L.). Digestate was applied and incorporated into the soil at different rates (0; 0+ recommended NPK rates; 15, 30, and 60 t dry weight (DW) ha−1). Digestate application at increasing doses improved soil chemical characteristics at harvest, and the application of 15, 30, and 60 t DW ha−1 significantly decreased soil pH by 0.15, 0.23, and 0.39 units, respectively. For electrical conductivity, the average values recorded are 196, 212, and 255 uS m−1, respectively, to 15, 30, and 60 t DW ha−1 doses. A significant organic matter enrichment of the topsoil layer was observed only for treatments receiving 30 and 60 t DW ha−1. Similarly, our results showed that the N, P, and K contents increased significantly with digestate application at both rates compared to the positive control. Morphological characteristics of the corn plants (height, leaf number, and collar diameter) and ecophysiology (stomatal conductance and chlorophyll) increased in a global manner compared to the negative control. Indeed, the obtained results showed that this improvement was not proportional to the applied doses for all analyzed parameters. However, there was no significant difference between the obtained values in amended plants with 15 t DW ha−1 and those in the positive control (recommended dose in NPK). In comparison to this previous one, height, leaf number, and collar diameter increased by 15%, 13%, and 20%, respectively, with a 30 t DW ha−1 dose and by 34%, 20%, and 24% with a 60 t DW ha−1 dose. Concerning the relative chlorophyll content and stomatal conductance, the values recorded in the plants amended with 60 t DW ha−1 are 1.7 and 2.2 times higher compared with the positive control. The fresh biomass, dry biomass, and root length parameters increased proportionally to the applied dose.

1. Introduction

It is widely recognized that interest in environmental and biodiversity protection issues is growing. At the same time, these issues have been progressively broadened and expanded by concepts such as sustainable development, which implies not only ecological but also economic and social responsibilities. In addition, the production of solid waste continues to increase. In 2015, the world generated 2 billion metric tons of solid waste. This figure is expected to reach 3.4 billion metric tons by 2050 and, for low-income countries, the amount of waste is expected to more than triple by 2050 [1].
By 2025, solid waste generation will reach 2.2 billion tons worldwide, with a management cost that exceeds USD 375.5 billion [2]. Thus, the need to adopt and implement an innovative waste management system and modern methods to manage and valorize waste is fundamental, not only to conserve the environment and its resources but also to generate economic profits in a sustainable context. In developing countries, the largest percentage of this waste is of organic origin. In the case of Morocco, approximately 62 million tons of organic waste, with varying dry matter contents, are produced annually. This waste comes mainly from agriculture, agribusiness, and households [3].
Organic recovery with all the modes of management of biodegradable waste such as food waste, green waste, urban sludge, industrial sludge, food industry waste, and agricultural waste, is important. These techniques are recovered via two main treatment modes: composting and methanization [4]. Composting, which is an aerobic biological process of organic matter conversion into a stabilized product, allows for a reduction in air, water, and soil pollution, as well as the amount of greenhouse gases emanating from this waste [5]. However, it is a time-consuming process requiring space and equipment and presents risks of contamination by pathogens. Hence, there is a compelling need for a technique that overcomes the constraints posed by the previous one, which is methanization or anaerobic digestion [6].
The natural decomposition process of organic matter by microorganisms (bacteria) is activated under anaerobic conditions. On an industrial scale, this process takes place in a closed bioreactor. The digestion of organic matter generates both biogases composed of methane and carbon dioxide and a solid called digestate. This organic matter valorization process can, therefore, produce renewable energy and compost [6], retaining its fertilizing value and eliminating pathogens and contaminants that can lead to environmental pollution [7]. However, this technique aims at the transformation of biogas into electrical and/or thermal energy, and the use of digestate in agriculture as fertilizer [8]. Indeed, the methanization of digestate contains a woody fraction that contributes to the improvement of the soil structure by forming humus and mineralized nitrogen in the form of ammonium (NH4+), and the nitrogenous form is easily assimilated by plants after nitrification [9]. Among the most frequent sources of waste destined for agricultural valorization by methanization, we find that sewage sludge is considered the residue produced by the wastewater treatment process [10].
To comprehensively assess both the advantages and potential drawbacks of digestate application, numerous studies have investigated its effects on a range of crops, including watermelon [11], ryegrass [12], corn [13], and barley [14]. Within the scope of this study, our primary objective is to evaluate the impact of digestate application specifically on corn forage production. This overarching goal can be further divided into two specific objectives. Firstly, we aim to examine the influence of digestate input on key soil chemical characteristics. This analysis will focus on elucidating the effects of digestate application on essential soil parameters, including pH, electrical conductivity, and organic matter content, as well as the concentrations of crucial macroelements such as nitrogen (N), phosphorus (P), and potassium (K). Secondly, we seek to analyze the effects of digestate application on the growth and agronomic performance of corn plants. The central question under consideration is whether the utilization of digestate leads to superior growth and development outcomes for corn plants compared to traditional mineral fertilization methods. In order to explore this inquiry, we intend to establish a connection between agronomic performance and a range of physicochemical parameters of clay soil.

2. Material and Methods

2.1. Digestate and Soil Characterizations

For this experiment, conducted in 2022, we utilized clay soil with an alkaline pH that was highly abundant in nitrogen and moderately rich in potassium and organic matter. This soil was collected from the experimental farm located at the National School of Agriculture (ENA) in Meknes, Morocco, specifically at coordinates 33°50′34″ N latitude and 5°28′31″ W longitude. Soil samples were taken from the top 30 cm layer and sifted through a 1 cm mesh. Additionally, digestate was collected from the methanization unit at the Centrale Danone plant, which is situated at 33°84’50″ N latitude and 5°47’28″ W longitude in Meknes. This digestate was not heated or chemically treated, it was produced through the methanization process of the sludge from the sewage treatment plant of the production unit of Meknes and Fkih Ben Saleh, in addition to the damaged expired products intended for destruction and the non-conforming milk. The physicochemical characteristics of the soil and digestate are provided in Table 1.
Table 1. Physicochemical characterization of the soil and digestate used in the experiment.

2.2. Plant Material, Growth Conditions, and Experimental Setup

The experiment was carried out in a glass greenhouse at ENA (Meknes-Saïs Region, Morocco) with a natural photoperiod. The temperature and hygrometry fluctuate according to the weather conditions outside. Certified seeds of corn (Zea mays L.) with a a hydride forage variety that was coded P1524 and produced by the seed company Pioneer seeds (France) with a high germination capacity (98%) were used. Drying soil was distributed in pots, 28 cm in diameter and 35 cm high, with 13 kg of soil per pot. These pots contained 2 kg of gravel at the bottom to facilitate the drainage of excess water. After digestate was applied on the surface of the pots, it was incorporated into the surface soil to homogenize the seedbed. On 14 March 2022, four corn seeds were sowed in each pot. Throughout the entire crop cycle, the pots were irrigated with groundwater sourced from the ENA well in Meknes, which has a conductivity level of approximately 0.731 dS m−1 and a pH of 7.1. In the beginning, all the pots were brought and maintained at a constant weight corresponding to about 70% of the moisture at field capacity. Although there is currently no legislation governing the use of digestate in agriculture in Morocco, the doses applied in this experiment are based on French legislation for spreading in agricultural areas. The maximum quantity of digestate authorized in an agricultural context is 30 tons of dry matter per hectare over a period of 10 years [15]. The experiment consisted of five treatments:
-
0: unamended soil used as a negative control (NC);
-
0 + NPK: without digestate and with recommended fertilizers (NPK: 227, 122, 230 kg ha−1) were applicated at the four-leaf stage by fertigation [16]. This treatment was used as a positive control (PC);
-
Three digestate application rates: 15, 30, and 60 t DW ha−1.
Each treatment was replicated five times. A schematic illustration of the experimental setup is summarized in Figure 1. During cultivation, plant height, stem diameter, and leaf number were measured at 7-day intervals. Great attention was paid to the possible incidence of insect pests and diseases. Stomatal conductance measurements were carried out on 3 dates during the cycle: 22 April 2022 (6-leaf stage), 17 May 2022 (10-leaf stage), and 22 July 2022 (early filling stage) by an AP4 porometer (Delta-T Devices, United Kingdom) to elucidate the transpiration mechanism. Measurements were made on one leaf per plant on the same floor, chosen randomly. At the same three dates mentioned above, photosynthetic pigments were measured by the DUALEX SCIENTIFIC sensor (FORCE-A, France), which measured chlorophyll surface content in µg cm−2 to analyze the light flux transmitted through the leaves. The epidermal flavonoid index in relative absorbance units (from 0 to 3) was used by testing the screening effect on the chlorophyll fluorescence. The Nitrogen Balance Index (NBI) in mg g−1, which indicates the nitrogen status of plants, directly correlated with the mass concentration of nitrogen and epidermal anthocyanin index in units of relative absorbance (from 0 to 1.5) by analyzing the screening effect on chlorophyll fluorescence.
Figure 1. Schematic illustration of the experimental setup.

2.3. Sampling

At harvest, the aerial parts of each plant are separated from the roots. The fresh biomass of the aerial and root parts was directly determined for each plant. The dry biomass of each plant was determined after steaming at 65 °C for 36 h. Once the roots were stripped, rinsing with a light water jet followed by superficial drying to remove excess water was performed before length measurement. In addition, soil samples were collected at the same time inside each jar from the top layer and air dry before being crushed with a sieve to 2 mm.

2.4. Physicochemical Analyses

A total of 24 g of soil is mixed with 60 mL of distilled water. The mixture is then stirred with a shaker at 200 rpm for half an hour and left to stand for 24 h before the pH is read [17] using a pH meter SevenCompact-S210-Kit (Mettler Toledo, Zurich). Soil EC was determined in a 1:5 (mass/volume) suspension of soil and distilled water prepared and stirred for half an hour [18]. The mixture is then left to stand for 10 h before measuring the conductivity with a conductivity meter SevenCompact-S230-Kit (Mettler Toledo, Zurich). Humidity was measured using a COMBI 5000 (Nordmeccanica Group, Italy). The principal measuring relies on Frequency Domain Reflectometry (FDR) technology and is unaffected by the pH or salt content of the soil and substrates.
For the determination of the OM content of the soil, we used the Walkley–Black method. This method relies on a reduction in potassium dichromate (K2Cr2O7) by organic carbon compounds present in the soil, followed by the measurement of the unreduced potassium dichromate through redox titration with sulfuric acid [19]. This involves preparing a 1:10:20:100 suspension of soil or digestate, potassium dichromate, sulfuric acid, and distilled water (mass/volume/volume). The mixture is then allowed to stand for 18 h before analysis by colorimetry at 610 nm. Available phosphorus was extracted by the Olsen method using sodium hydrogen carbonate and analyzed by colorimetry. A 1:20 suspension of the soil or digestate and sodium hydrogen carbonate (volume/volume) is prepared. The mixture is then stirred for 30 min before filtering [20]. A total of 5 mL are then taken from the filtrate and mixed with 2 mL of 10-time diluted sulfuric acid, 14 mL of distilled water, and a few drops of ascorbic acid, which gives the mixture a blue color. The reading is subsequently conducted using a spectrophotometer colorimeter at a wavelength of 882 nm. Potassium was extracted with ammonium acetate at pH 7 and then determined by atomic absorption spectrophotometry. For this purpose, a 1:20 (mass/volume) suspension of soil or digestate and an ammonium acetate solution was prepared [21]. The mixture is then stirred for 2 h before being filtered. A total of 2 mL of filtrate is put into flasks and made up to 100 mL with 2% nitric acid before being run through an atomic absorption spectrophotometer. Mineral nitrogen was extracted from the soil or digestate by the Kjeldhal method, which is based on the extraction of ammonium NH4+ and nitrates NO3 present in the soil or digestate. The sample is mineralized by concentrated sulfuric acid in the presence of a catalyst prepared from a 100:20:1 suspension of potassium sulfate (K2SO4), copper sulfate (CuSO4), and selenium (Se). The solution is then subjected to distillation where the ammonia is displaced by soda ash and titrated with a boric acid solution [22].

2.5. Statistical Analysis

The values are reported as mean ± standard deviation with a sample size of n = 5. Data entry and graphical presentation were performed using Excel 2021. Analysis of variance (ANOVA) was conducted using SPSS software, with a significance level set at 5%. In case of a significant effect, a post hoc comparison of means was conducted using the Student–Newman–Keuls (SNK) test at a 5% significance level.

3. Results

3.1. Digestate Application Effects on Soil

The effects of digestate on soil parameters upon harvest are shown in Table 2.
Table 2. Changes in pH, EC, humidity (Hu), organic matter (OM), and available micronutrients of post-harvest soil after corn cultivation in pots without digestate (NC: negative control), with recommended NPK (PC: positive control), and amended with different digestate doses (D15: 15 t ha−1, D30: 30 t ha−1, and D60: 60 t ha−1). The data represent mean ± SD (n = 5); different letters indicate significant differences according to the SNK test at p < 0.05.

3.1.1. pH, EC, Humidity, and OM

The pH value revealed that digestate application reduced soil pH inversely proportional to the doses. Indeed, the application of 15, 30, and 60 t DW ha−1 significantly reduced the soil pH by 0.15, 0.23, and 0.39 units, respectively. On the other hand, the PC slightly increased soil pH; however, this difference was not statistically significant. Digestate application led also to an increase in the electrical conductivity of the amended soils proportionally to the doses. However, the mineral fertilized soil showed no difference from the initial soil. In fact, after the application of digestate at doses of 15, 30, and 60 t DW ha−1, the average electrical conductivity became 196, 212, and 255 uS m−1, respectively. However, the value recorded for the soil of the negative control was 189 uS m−1.
The application of digestate at rates of 30 and 60 t DW ha−1 significantly increased the soil humidity to 75% and 82%, respectively. However, there was no significant difference observed with the application of 15 t DW ha−1 compared to the two control groups (NC and PC). The analysis of the soil revealed that the application of 30 and 60 t DW ha−1 of digestate significantly enriched the organic matter content of the surface horizon in proportion to the applied dosage. The average organic matter content reached 5.1% and 7.2% after the application of digestate at rates of 30 and 60 t DW ha−1, respectively, whereas no significant difference was observed with the application of 15 t DW ha−1 compared to the two control groups.

3.1.2. Mineral Nitrogen, Phosphorus, and Potassium

Digestate application and mineral fertilization increased the soil content of mineral nitrogen. Indeed, the mineral N content, which was 80 ppm in the initial soil, increased by 47, 96, and 148% after digestate application at 15, 30, and 60 t DW ha−1, respectively. However, no difference was noted between the negative control (87 ppm) and the initial soil (80 ppm). As for available phosphorus, the application of digestate raised the initial soil content to the order of 80 and 115% for 30 and 60 t DWha−1 doses, respectively. Nevertheless, the content measured after the 15 t ha−1 application remains similar to that obtained in the PC. It should be noted that the pots of the negative control show lower levels than the initial level in the soil (20 ppm). Post-harvest soil analysis shows that chemical fertilization as well as digestate application improved the K content of the initial soil. However, no significant difference was observed between the PC and D15. In the case of 30 and 60 t DW ha−1 of digestate, the content of this element increased significantly by 10 and 12%, respectively, compared to the treatment that received the recommended dose of chemical fertilizer.

3.2. Digestate Application Effects on Corn

3.2.1. Growth Parameters

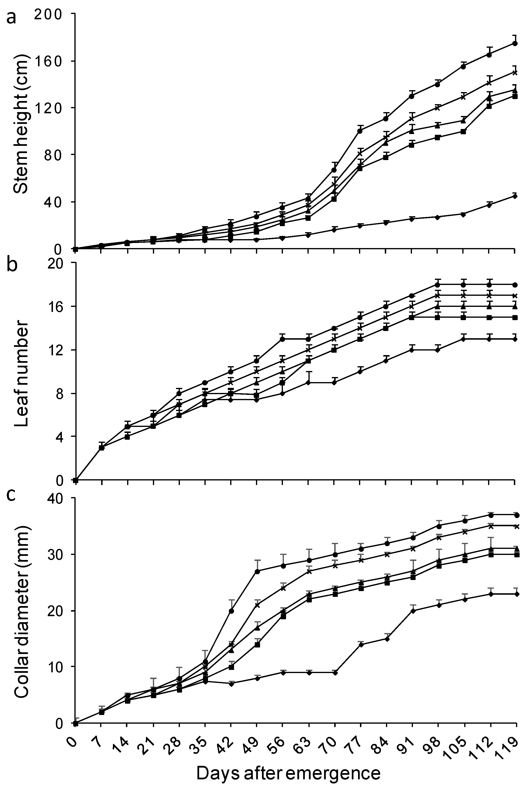
Stem height growth of the corn seedlings receiving digestate increased significantly compared to the two controls. Statistical analysis of the results shows that there is a significant difference between treatments from day 28 after emergence. This increase is, respectively, 34 and 15% for the doses 30 and 60 t DW ha−1 compared to the mineral fertilization. However, the increase observed in plants receiving 15 t DW ha−1 of digestate was not significant compared to the positive control. Concerning the evolution of the number of leaves, we observed in our study that from the 28th day after the emergence, there was a significant increase in the application of digestate. However, the treatments that received digestate doses of 30 and 60 t DW ha−1 resulted in a significant increase in the leaf number with an average of 17 and 18, respectively, compared to the control with chemical fertilizers, whose leaf number was an average of 15. Our results revealed that from the 35th day after emergence, the collar showed a significant increase in diameter with the addition of digestate. Compared to PC plants, plants amended with digestate at 30 and 60 t DW ha−1 had 20 and 24% larger collar diameters, respectively. The application of 15 t DW ha−1 showed a slight increase of 3% but this was statistically insignificant compared to the positive control (Figure 2).
Figure 2. Stem height (a), leaf number (b), collar diameter (c), and the evolution of Zea mays L. grown in pots without digestate (♦), with recommended NPK (■), and amended with different digestate doses (▲: 15 t ha−1, x: 30 t ha−1, and ●: 60 t ha−1). The data represent the mean of five replicates; the vertical bars indicate standard deviations.
Aerial and root fresh biomasses were measured for the different treatments at the time of harvest. Our results showed that the recorded variations of the fresh weight of the aerial and root parts of the corn plants have the same pattern (Figure 3). In fact, digestate input resulted in a significant increase in fresh biomass production compared to the negative control. No difference was detected between the positive control (PC) and the D15 treatment. This parameter increases proportionally with the applied digestate doses. Indeed, the 30 and 60 t DW ha−1 inputs induced, respectively, a 20 and 40% higher production of fresh root biomass compared to the mineral fertilization with a fresh root weight of 263.5 g at harvest. Regarding the aerial part, there was an increase in fresh weight of approximately 161% and 316% in the D30 and D60 treatments, respectively, compared to the NC treatment. Similarly, the values of recorded fresh biomass produced followed a similar trend for dry biomass.
Figure 3. Aerial and root fresh biomass of corn (Zea mays L.) grown in pots without digestate (NC), with recommended NPK (PC), and amended with different digestate doses (D15:15 t ha−1, D30: 30 t ha−1, and D60: 60 t ha−1). The data represent the mean of five replicates; the vertical bars indicate standard deviations. Different letters above bars (a, b, c, and d) indicate significant differences (Student–Newman–Keuls test, p < 0.05).

3.2.2. Ecophysiological Parameters

The statistical analyses indicate a significant increase in stomatal conductance with the use of digestate or chemical fertilizers compared to the negative control. However, the values recorded in the plants amended with 15 t DW ha−1 were higher (58 mmol H2O m−2 s−1) than the plants that received mineral fertilization (35 mmol H2O m−2 s−1). For the other two measurement dates (60th and 90th days after emergence), the variations are similar between treatments, except that no significant difference was detected between the PC and D15 treatments (Figure 4). Irrespective of the measurement date, the chlorophyll levels followed the same trend as stomatal conductance. The findings indicate a significant increase in chlorophyll levels upon the addition of digestate or chemical fertilizers. However, no difference was observed between D15 and the PC. Flavonoid index contents vary inversely to chlorophyll. Indeed, the results show that these were significantly reduced with the contribution of digestate and were inversely proportional to the dose applied whatever the date of measurement. For the anthocyanin index, the values show a similar evolution to the flavonoid contents. Regardless of the date of measurement, the anthocyanin content was significantly reduced with the application of digestate or chemical fertilizers. This reduction is inversely proportional to the applied doses of digestate.
Figure 4. Stomatal conductance (a), chlorophyll content (b), flavonoid (c), anthocyanin index (d), and variation at the 35th ■, 60th ■, and 90th ■ days after the emergence of Zea mays L. grown in pots without digestate (NC), with recommended NPK (PC), and amended with different digestate doses (D15:15 t ha−1, D30: 30 t ha−1, and D60: 60 t ha−1). The data represent the mean of five replicates; the vertical bars indicate standard deviations. Different letters above bars (a, b, c, d, and e) indicate significant differences (Student–Newman–Keuls test, p < 0.05).

4. Discussion

4.1. Digestate Application Effects on Clay Soil

Digestate application significantly alters soil’s chemical properties [11]. In our conducted study, post-harvest soil analysis revealed that digestate application at the rates of 15, 30, and 60 t DW ha−1 reduced soil pH by 0.15, 0.23, and 0.39 units, respectively, compared to the initial soil. For all three doses, the pH reduction was significant. This trend can be attributed to the organic acids produced in the mineralization process [23] that can contribute to soil acidification [24].
Electrical conductivity increased with the increase in digestate doses compared to the initial soil and the one that received the mineral fertilization. The increase was statistically significant for all doses except for the 15 t DW ha−1 dose. This could be probably due to the high salinity of digestate [25]. In addition, the results of the analysis of digestate showed that its pH is neutral and lower than the pH of the initially alkaline soil, but its electrical conductivity remained high. These characteristics influenced both parameters at the soil level after land application. Our results are in agreement with another study that found the soil pH decreased with the application of digestate by one unit and electrical conductivity, in turn, increased from 0.3 to 0.9 mS cm−1 after application [11].
After the application of digestate at 15, 30, and 60 t DW ha−1, soil organic matter content became 4.4, 5.1, and 7.2%, respectively. The addition of digestate to the soil provided readily available and mainly short-term degradable organic matter [11]. In fact, positive effects on soil biological activity were emphasized after digestate amendment [26], which had a positive effect on soil organic matter and, consequently, improved soil quality and productivity [27]. Indeed, microbial biomass constitutes a reservoir of nutrients that contributes to the maintenance of long-term sustainable agriculture [26].
Regarding macronutrients N, P, and K, organic amendments can enhance soil fertility and productivity, thus improving plant nutrient status for potentially limiting nutrients, such as N, P, and K, as well as for several micronutrients [18]. Our results revealed that their levels in the soil were increased after digestate application. Compared to mineral fertilization, this application enriched the soil with mineral nitrogen. Digestate contains a high proportion of NH4-N, which can be nitrified rapidly in the soil [11]. Indeed, the application of digestate at rates of 15, 30, and 60 t DW ha−1 increased the mineral N content of the initial soil by 47, 96, and 148%, respectively. Similarly, the application of 18 t DW ha−1 of raw digestate increased the mineral N content in the soil by 45.3% compared to the initial soil [28]. Additionally, an increase in soil N content was noted regardless of digestate application [29], and the esteemed enrichment of the soil in mineral N was 40% in the case of digestate application at 17 t DW ha−1 compared to the initial soil [30].
As for P, our results showed that digestate applied at doses of 15, 30, and 60 t DW ha−1 significantly enriched the soil in this element compared to the negative control. Additionally, for the doses 30 and 60 t DW ha−1, there was a significant increase in bioavailable P, at 80 and 115%, respectively, compared to the mineral fertilization. In this sense, Alburquerque et al. [11] confirmed that digestate addition was more effective than manure or mineral fertilizers in increasing the bioavailable P content of the soil during the crop cycles, stimulating crop productivity. Furthermore, a significant and positive correlation was found between available P in the soil and the marketable yield of watermelon (p < 0.05). This fact should be emphasized since P deficiency is one of the main nutritional problems in calcareous soils where the high pH and carbonate content of the soil make P less available. The addition of organic amendments is an adequate strategy to mitigate P deficiency [27,31]. However, the increase in available P concentration in the soil amended with digestate did not correspond to an increase in the yield of cultivated cauliflower [27].
Regarding K, post-harvest soil analysis shows that digestate application improved the initial soil K content. Moreover, the application of 30 and 60 t DW ha−1 of digestate significantly increased the K content by 10 and 12%, respectively, compared to the treatment with the recommended dose of chemical fertilizer. Our results are in agreement with several studies that showed that soil K content increased proportionally with applied digestate doses [11,32]. As mentioned previously, digestate showed good fertilizing properties for watermelon, cauliflower, and corn crops and, therefore, it can be used in fertilization regimes as a base fertilizer [11].

4.2. Digestate Application Effects Corn Silage Culture

Digestate is a reliable source of N, P, and K for plants [11]. Nitrogen is an essential nutrient that enters into the composition of proteins, including enzymes, and nucleic acids, including DNA [33], and is acquired in various metabolic processes of energy conversion [34]. Therefore, it is one of the main key factors in plant growth and crop production [35]. P promotes root system development and regulates flowering, fruit development, and ripening [36]. It has structural functions in macromolecules such as nucleic acids, energy transfer functions in metabolic pathways of biosynthesis, and degradation [37]. Unlike the elements already mentioned, potassium is not involved in the structural synthesis of molecules biochemically, but it contributes to strengthening plant cell walls and increasing leaf area and chlorophyll content in leaves, resulting in delayed leaf senescence, as it acts as an enzyme activator [38].
Due to its high content of N, P, and K, the application of digestate had a positive impact on the growth and production parameters of corn plants. In fact, compared to the control group that received recommended amounts of N, P, and K via chemical fertilizers, the plants treated with digestate exhibited superior growth. This was manifested in increased height growth, root elongation, leaf number, crown diameter, and consequently, final aboveground and root biomass. In agreement with our results, Jordan et al. [12] reported that digestate application at different rates improved ryegrass growth parameters, namely height growth, number of leaves, and total biomass, with a gain of 10 kg DM for each kg of N supplied. Similar results were observed on watermelon crops with higher yields since digestate provides the necessary bioavailable N requirement for the summer crop [11]. In the same sense, the application of 18 t DW ha−1 of digestate on corn (Zea mays) plants does not generate any significant difference in growth parameters compared to mineral fertilization [39].
As is cited lately, digestate richness in fertilizing elements positively impacts biomass production and also ear quality [40]. An improvement in the ear aspect (size and kernel row number) of corn plants amended was observed (Figure 5), and it is proportional to digestate doses (15, 30, and 60 t DW ha−1). This deference is due to an extension of the male flowering date of corn plants, resulting in different grain folding and cob size.
Figure 5. Corn cobs of Zea mays L. at harvest grown in pots without digestate (NC), with recommended NPK (PC), and amended with different digestate doses (D15:15 t ha−1, D30: 30 t ha−1, and D60: 60 t ha−1).
Stomatal conductance is an indicator of plant water status [41]. In our study, the results showed that this parameter increases significantly with the contribution of digestate, and this increase is proportional to the doses applied. This contribution increased the content of organic matter in the soil that participates in the conservation of moisture, which puts the plant under less water stress and consequently a high stomatal conductance [42,43,44]. Similar results were detected. Stomatal conductance in watermelon plants amended with raw digestate increases by approximately twofold compared to the control soil (without input).
The leaf chlorophyll content is a key determinant of plant dry matter [45]. It allows light energy to be used to convert carbon in the air into sugars, producing assimilates needed for biomass production [46]. An increase in leaf size and chlorophyll content of plants amended with digestate was observed in our study, and it is proportional to digestate doses (15, 30, and 60 t DW ha−1). The size and green appearance of the leaf are presented in Figure 6, which confirms our result. This can be attributed to digestate richness in mineral elements, especially N, without which the chlorophyll pigments disappear, leading to chlorosis [47]. These results are consistent with other research that highlighted the significant increase in chlorophyll content in rice and watermelon, respectively, with digestate spreading [11,18].
Figure 6. Leaf size and green appearance at the same stage of corn plants (Zea mays L.) grown in pots without digestate (NC), with recommended NPK (PC), and amended with different digestate doses (D15:15 t ha−1, D30: 30 t ha−1, and D60: 60 t ha−1).
Regarding the content of flavonoids and anthocyanins, secondary plant metabolites and stress indicators vary in the same direction [48]. Our data showed that these two parameters decreased significantly, with digestate input ranging from 60 t DW ha−1 to the PC. Similar results are observed and explained by digestate richness in major elements (NPK) [11]. In the absence of these elements, the response of the plants tends toward the autumn color of the leaves when photosynthesis has stopped, and chlorophyll has disappeared.

5. Conclusions

The present study demonstrated the positive effects of digestate on both morphological and ecophysiological parameters of corn silage plants, as well as the chemical characteristics of the soil. The addition of digestate provided readily available nitrogen, phosphorus, and potassium, surpassing the performance of crops and soil receiving no input and even outperforming those treated with recommended rates of chemical fertilizers N, P, and K. Notably, these improvements were dose-dependent, with doses of 15, 30, and 60 t DW ha−1 exhibiting proportional enhancements. However, it is crucial to acknowledge the potential risks associated with digestate application, including the contamination of soil and plants by trace metal elements, pathogenic microorganisms, and organic contaminants. These risks pose threats to both agroecosystem compartments and public health. To complement our findings, further studies on the composition of heavy metals and pathogens are warranted. Additionally, conducting in-depth investigations on the impacts of frequent digestate application on different soil types and crop varieties would provide valuable insights. By expanding our knowledge in these areas, we can contribute comprehensive data to authorities for informed decision-making regarding the feasibility of digestate utilization at a national level in Morocco. Furthermore, the development of appropriate regulations for the use and spreading of digestate will ensure its safe and responsible implementation. Continued research efforts will help mitigate potential risks while harnessing the full potential of digestate as an organic fertilizer, promoting sustainable agricultural practices.

Author Contributions

O.Z. and M.B. (Mustapha Baroudi): writing—original draft; S.D.: methodology, O.H.A.-E.: funding acquisition and conceptualization, G.P.: software, A.A. and M.B. (Mohamed Bourioug): supervision and formal analysis. All authors have read and agreed to the published version of the manuscript.

Funding

This research was funded by [King Saud University, Riyadh, Saudi Arabia] grant number [RSP2023R468].

Institutional Review Board Statement

Not applicable.

Data Availability Statement

The data are not to be shared due to restrictions, e.g., privacy and regulation.

Acknowledgments

The authors extend their appreciation to the Researchers supporting project number RSP2023R468, King Saud University, Riyadh, Saudi Arabia.

Conflicts of Interest

The authors declare no conflict of interest.

References

  1. Kaza, S.; Yao, L.; Bhada-Tata, P.; Van Woerden, F. What a Waste 2.0: A Global Snapshot of Solid Waste Management to 2050; World Bank Publications: Herndon, VA, USA, 2018; pp. 34–41. [Google Scholar]
  2. Hoornweg, D.; Bhada-Tata, P. Quel Gâchis: Un Examen Global de la Gestion des Déchets Solides; Banque mondiale: Washington, DC, USA, 2012; pp. 64–69. [Google Scholar]
  3. Banque Mondiale. Morocco Lets Nothing Go to Waste. 2016. Available online: https://www.banquemondiale.org/fr/news/feature/2016/02/16/morocco-lets-nothing-go-to-waste (accessed on 22 December 2021).
  4. Fnade (Federation Nationale des Activites de la Depollution et de l’Environnement). Valorisation Organique. 2015. Available online: https://www.fnade.org/fr/produire-matieres-energie/valorisation-organique (accessed on 23 December 2021).
  5. Malerius, O.; Werther, J. Modelling the adsorption of mercury in the flue gas of sewage sludge incineration. Chem. Eng. 2003, 96, 197–205. [Google Scholar] [CrossRef]
  6. René, M. La Méthanisation; ed Lavoisier: Paris, France, 2011; 532p. [Google Scholar]
  7. Seruga, P. Potentiel de réduction des agents pathogènes dans la digestion anaérobie de la fraction organique des déchets solides municipaux et déchets alimentaires. Glob. Change Biol. Bioenergy 2020, 122–132. [Google Scholar]
  8. Möller, K. Effects of biogas digestion on soil organic matter and nitrogeninputs, flows and budgets in organic cropping systems. Nutr. Cycl. Agroecosyst. 2009, 84, 179–202. [Google Scholar] [CrossRef]
  9. Chambre d’agriculture Aquitaine. La Méthanisation: Production et Valorisations à la Ferme; Programme SOLEA; Chambre d’agriculture Aquitaine: Limoges, France, 2008; 223p. [Google Scholar]
  10. Fytili, D.; Zabaniotou, A. Utilization of sewage sludge in EU application of old and new methods: A Review. Renew. Sustain. Energy Rev. 2008, 12, 116–140. [Google Scholar] [CrossRef]
  11. Alburquerque, J.A.; de la Fuente, C.; Campoy, L.; Carrasco, L.; Nájera, L.I.; Baixauli, C.; Caravaca, F.; Roldán, A.; Cegarra, J. Bernal, Agricultural use of digestate for horticultural crop production and improvement of soil properties. Eur. J. Agron. 2012, 43, 119–128. [Google Scholar] [CrossRef]
  12. Jordan, M.L.; Morel, C.; Salducci, X.; Michaud, J. Valeur Agronomique (C, N, P) de Digestats d’origine Agricole et Agro-Alimentaire de Dordogne. 2017. 13emes Rencontres de la Fertilisation Raisonnée et de L’analyse; Centre de Congrès: Nantes, France, 2017. [Google Scholar]
  13. Loria, E.R.; Sawyer, J.E.; Barker, D.W.; Lundvall, J.P.; Loromor, J.C. Use of anaerobically digested swine manure as a nitrogen source in corn production. J. Agron. 2007, 99, 1119–1129. [Google Scholar] [CrossRef]
  14. Haraldsen, T.K.; Andersen, U.; Krogstad, T.; Sørheim, R. Liquid digestate from anaerobic treatment of source separated household waste as fertilizer to barley. Waste Manag. Res. 2011, 29, 1271–1276. [Google Scholar] [CrossRef]
  15. Decree No. 97-1133; French Regulatory Limits for Concentration of TMs in Digestate for Agricultural Use Reference. Department of Information: Paris, France, 1998.
  16. Aït Houssa, A.; Moutia, S.; Belbasri, M.; Hsayni, M.; Loultiti, M.R. Productivité et rentabilité du maïs ensilage conduit en goutte à goutte dans les sables de Larache. Transf. Technol. Agric. 2008, 169, 4. [Google Scholar]
  17. Giroux, M.; Tran, T.S. Evaluation du phosphore assimilable des sols acides avec différentes méthodes d’extraction en relation avec le rendement de l’avoine et les propriétés du sol. Can. J. Soil Sci. 1985, 65, 47–60. [Google Scholar] [CrossRef]
  18. Liu, M.; Hu, F.; Chen, X.; Huang, Q.; Jiao, J.; Zhang, B.; Li, H. Organic amendments with reduced chemical fertilizer promote soil microbial development and nutrient availability in a subtropical paddy field. The influence of quantity, type and application time of organic amendments. Appl. Soil Ecol. 2009, 42, 166–175. [Google Scholar] [CrossRef]
  19. Walkley, A.; Black, C.A. An examination of the Degtjareff method for determining soil organic matter and a proposed modification of the chromic acid titration method. Soil Sci. 1934, 37, 29–38. [Google Scholar] [CrossRef]
  20. Olsen, S.R.; Sommers, L.E. Phosphorus, 403-430. In Methods of Soil Analysis, Agron. No 9, Part 2; Chemical and Microbiological Properties, 2nd ed.; American Society of Agronomy: Madison, WI, USA, 1982. [Google Scholar]
  21. Richards, L.A. Diagnosis and improvement of saline and alkalin soils. In USDA Agriculture Handbook 60; USDA Agriculture: Washington, DC, USA, 1954. [Google Scholar]
  22. Bremner, J.M.; Keeney, D.R. Steam distillation methods for determination of ammonium, nitrate and nitrite. Anal. Chim. Acta 1965, 32, 163–215. [Google Scholar] [CrossRef]
  23. Angin, I.; Aslantas, R.; Kose, M.; Karakurt, H.; Ozkan, G. Changes in chemical properties of soil and sour cherry as a result of sewage sludge application. Hortic. Sci. 2012, 39, 61–66. [Google Scholar] [CrossRef]
  24. Moreira, R.S.; Mincato, R.L.; Santos, B.R. Heavy metals availability and soil fertility after land application of sewage sludge on dystroferric red latosol. Cienc. Agrotecnologia 2013, 37, 512–520. [Google Scholar] [CrossRef]
  25. Hussein, A. Impact of sewage sludge as organic manure on some soil properties, growth, yield and nutrient contents of cucumber crop. J. Appl. Sci. 2009, 9, 1401–1411. [Google Scholar] [CrossRef]
  26. Fuchs, J.C.; Berner, A.; Mayer, J.; Smidt, E.; Schleiss, K. Influence of compost and digestates on plant growth and health: Potentials and limits. In Proceedings of the International Congress CODIS 2008, Solothurn, Switzerland, 27–29 February 2008. [Google Scholar]
  27. Melero, S.; Ruiz Porras, J.C.; Herencia, J.F.; Madejón, E. Chemical and biochemical properties in a silty loam soil under conventional and organic management. Soil Tillage Res. 2006, 90, 162–170. [Google Scholar] [CrossRef]
  28. Askri, A. Valorization of anaerobic digestates in agriculture: Effects on Carbon and Nitrogen biogeochimical cycles. Agric. Sci. 2021, 40–59. Available online: https://www.google.com/url?sa=t&rct=j&q=&esrc=s&source=web&cd=&ved=2ahUKEwjLs-Sm7d__AhUDCt4KHVjIAeYQFnoECBMQAQ&url=https%3A%2F%2Fpastel.archives-ouvertes.fr%2Ftel-03117470v1%2Fdocument&usg=AOvVaw1mWNatDCxaGR1M1sms8Bxw&opi=89978449 (accessed on 6 June 2023).
  29. Bonmati, A.; Flotats, X. Air stripping of ammonia from pig slurry: Characterizations and feasibility as a pre or post treatement to mesophilic anaérobic digestion. Waste Manag. 2003, 23, 261–272. [Google Scholar] [CrossRef]
  30. Victor, M. Conséquences de l’introduction de la Méthanisation Dans une Exploitation de Polyculture-élevage sur les Cycles du Carbone et de l’azote. Combinaison de l’expérimentation et de la Modélisation à l’échelle de la Ferme; Ingénierie de l’environnement, Université Paris-Saclay: Paris, France, 2021; pp. 105–147. [Google Scholar]
  31. Bustamante, M.A.; Said-Pullicino, D.; Agulló, E.; Andreu, J.; Paredes, C.; Moral, R. Application of winery and distillery waste composts to a Jumilla (SE Spain) vineyard: Effects on the characteristics of a calcareous sandy-loam soil. Agric. Ecosyst. Environ. 2011, 140, 80–87. [Google Scholar] [CrossRef]
  32. Marm. Anuario de Estadística Ministerio de Medio Ambiente y Medio Rural y Marino; Secretaría General Técnica Subdirección General de Estadística Madrid: Madrid, Spain, 2010. [Google Scholar]
  33. Stark, S.A.; Clapp, C.E. Residual nitrogen availability from soils treated with sewage sludge in a field experiment. J. Environ. Qual. 1980, 9, 505–512. [Google Scholar] [CrossRef]
  34. Street, J.J.; Kidder, G. Soils and Plant Nutrition, Corporative Extension Service, Volume 8; Institute of Food and Agriculture Sciences, University of Florida: Gainesville, FL, USA, 1997; pp. 1–4. [Google Scholar]
  35. Nadeem, S.M.; Ahmadb, M.; Zahir, Z.A.; Javaid, A.; Ashraf, M. The role of mycorrhizae and plant growth promoting rhizobacteria 3 (PGPR) in improving crop productivity under stressful environments. Biotechnol. Adv. 2013, 1000–1016. [Google Scholar] [CrossRef]
  36. Brown, D.; Weselby, C. NASA-Funded Research Discovers Life Built with Toxic Chemical. NASA Feature, Posted on NASA; 2010. Available online: http://www.nasa.gov/ (accessed on 1 July 2022).
  37. Tripathi, D.K.; Singh, V.P.; Chauhan, D.K.; Prasad, S.M.; Dubey, N.K. Role of Macronutrients in Plant Growth and Acclimation: Recent Advances and Future Prospective. Improv. Crops Era Clim. Changes 2014, 2, 197–215. [Google Scholar]
  38. Armstrong, D.L.; Griffin, K.P.; Danner, M.; Mees, C.; Nguyen, D. Function of Potassium. Potassium. Better Crops with Plant Foods. 1998, p. 4. Available online: www.ipni.net/publication/bettercrops.nsf/0/64ED48A22E45ABD48525798000820367/$FILE/Better%20Crops%201998-3%20p04.pdf (accessed on 23 July 2022).
  39. Vaca, R.; Lugo, J.; Martínez, R.; Esteller, M.; Zavaleta, H. Effects of sewage sludge and sewage sludge compost amendment on soil properties and zea mays plants (heavy metals, quality and productivity). Rev. Int. Contam. Ambie. 2011, 27, 303–311. [Google Scholar]
  40. Chantigny, M.H.; Angers, D.A.; Bélanger, G.; Rochette, P.; Eriksen-Hamel, N.; Bittman, S.; Gasser, M.O. Yield and Nutrient Export of Grain Corn Fertilized with Raw and Treated Liquid Swine Manure. J. Agron. 2008, 100, 1303–1309. [Google Scholar] [CrossRef]
  41. Ramírez, D.A.; Yactayo, W.; Rens, L.R.; Rolando, J.L.; Palacios, S.; De Mendiburu, F.; Quiroz, R. Defining biological thresholds associated to plant water status for monitoring water restriction effects: Stomatal conductance and photosynthesis recovery as key indicators in potato. Agric. Water Manag. 2016, 177, 369–378. [Google Scholar] [CrossRef]
  42. Kriedemann, P.E.; Smart, R.E. Effects of irradiance, temperature, and leaf water potential on photosynthesis of vine leaves. Photosynthetica 1971, 5, 15–19. [Google Scholar]
  43. Düring, H. Stomatal responses to alterations of soil and airhumidity in grapevines. Vitis 1987, 26, 9–18. [Google Scholar]
  44. Escalona, J.M.; Flexas, J.; Medrano, H. Stomatal andnon-stomatal limitations of photosynthesis under water stressin field-grown grapevines. J. Plant Physiol. 1999, 26, 421–433. [Google Scholar]
  45. Wydro, U.; Wolejko, E.; Butarewicz, A.; Loboda, T. Effect of sewage sludge on biomass production and content of macronutrients and chlorophyll in grass mixtures. J. Environ. Chem. Eng. 2012, 19, 1015–1028. [Google Scholar]
  46. Cieæko, Z.; Grzegorzewski, K.; Onowski, A.; Najmowicz, T. Oddzia ywanie nawo¿enia mineralnego na plonowanie i zawartooeæ cukru w korzeniach oraz zawartooeæ chlorofilu w lioeciach buraka cukrowego. Biul. Inst. Hod. Aklim. Rośl. 2004, 234, 137–143. [Google Scholar]
  47. Baryla, A.; Carrier, P.; Franck, F.; Coulomb, C.; Sahut, C.; Havaux, M. Leaf chlorosis in oilseed rape plants (Brassica napus) grown on cadmium-polluted soil: Causes and consequences for photosynthesis and growth. Planta 2001, 212, 696–709. [Google Scholar] [CrossRef]
  48. Čajánek, M.; Štroch, M.; Lachetová, I.; Kalina, J.; Spunda, V. Characterization of the photosystem II inactivation of heat-stressed barley leaves as monitored by the various parameters of chlorophyll a fluorescence and delayed fluorescence. J. Photochem. Photobiol. Biol. 1998, 47, 39–45. [Google Scholar] [CrossRef]
Disclaimer/Publisher’s Note: The statements, opinions and data contained in all publications are solely those of the individual author(s) and contributor(s) and not of MDPI and/or the editor(s). MDPI and/or the editor(s) disclaim responsibility for any injury to people or property resulting from any ideas, methods, instructions or products referred to in the content.

Article Metrics

Citations

Article Access Statistics

Multiple requests from the same IP address are counted as one view.