Local Agro-Environmental Conditions Impact Fruit Quality, Sensory Properties and Consumer Acceptance of Long Shelf-Life Tomatoes
Abstract
1. Introduction
2. Materials and Methods
2.1. Plant Material
2.2. Physicochemical Analyses at Harvest
2.3. Phenotypic Characterization during Postharvest
2.4. Descriptive Analysis
2.5. Consumer Tests
2.6. Statistical Analyses
3. Results
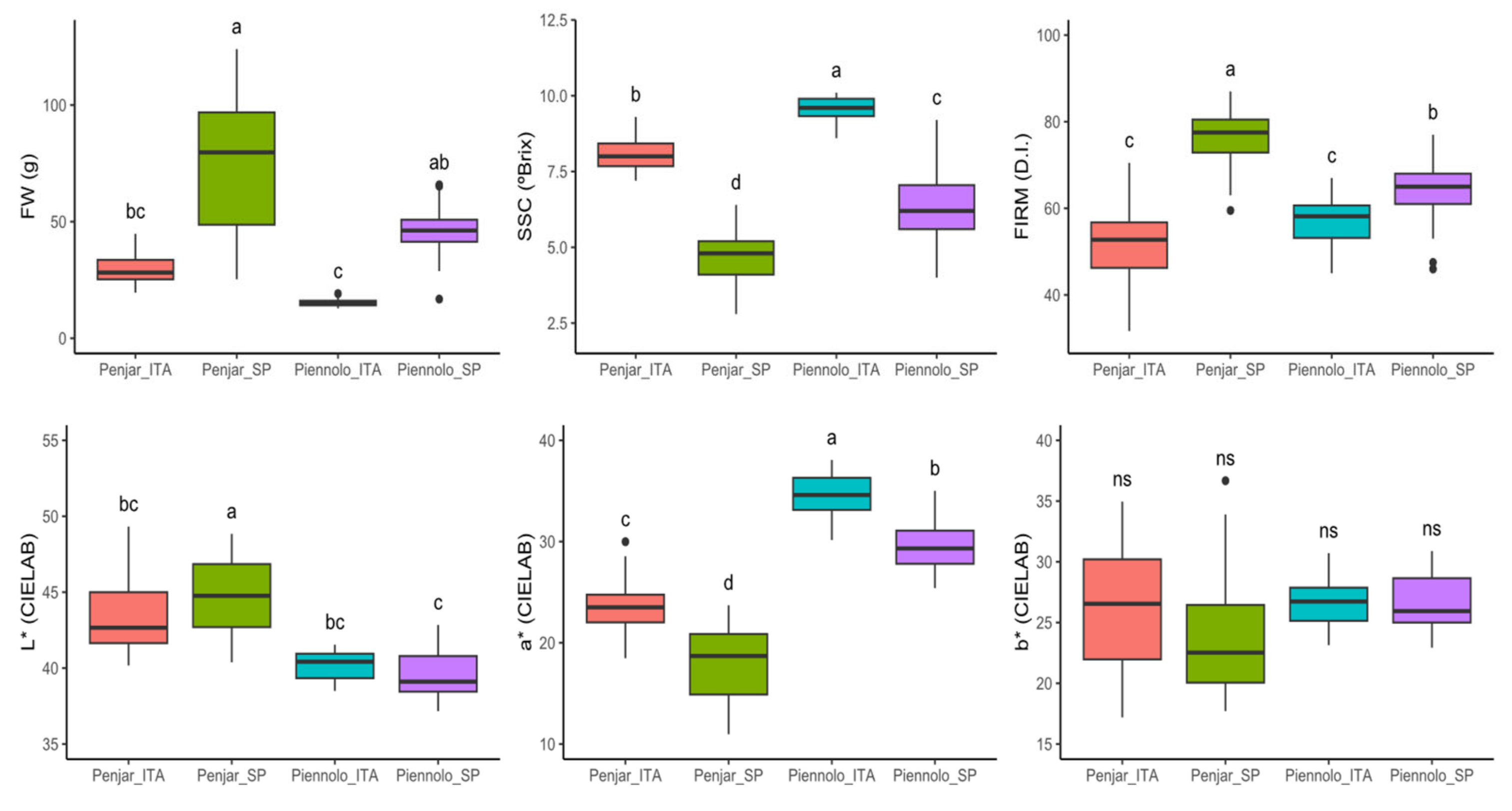
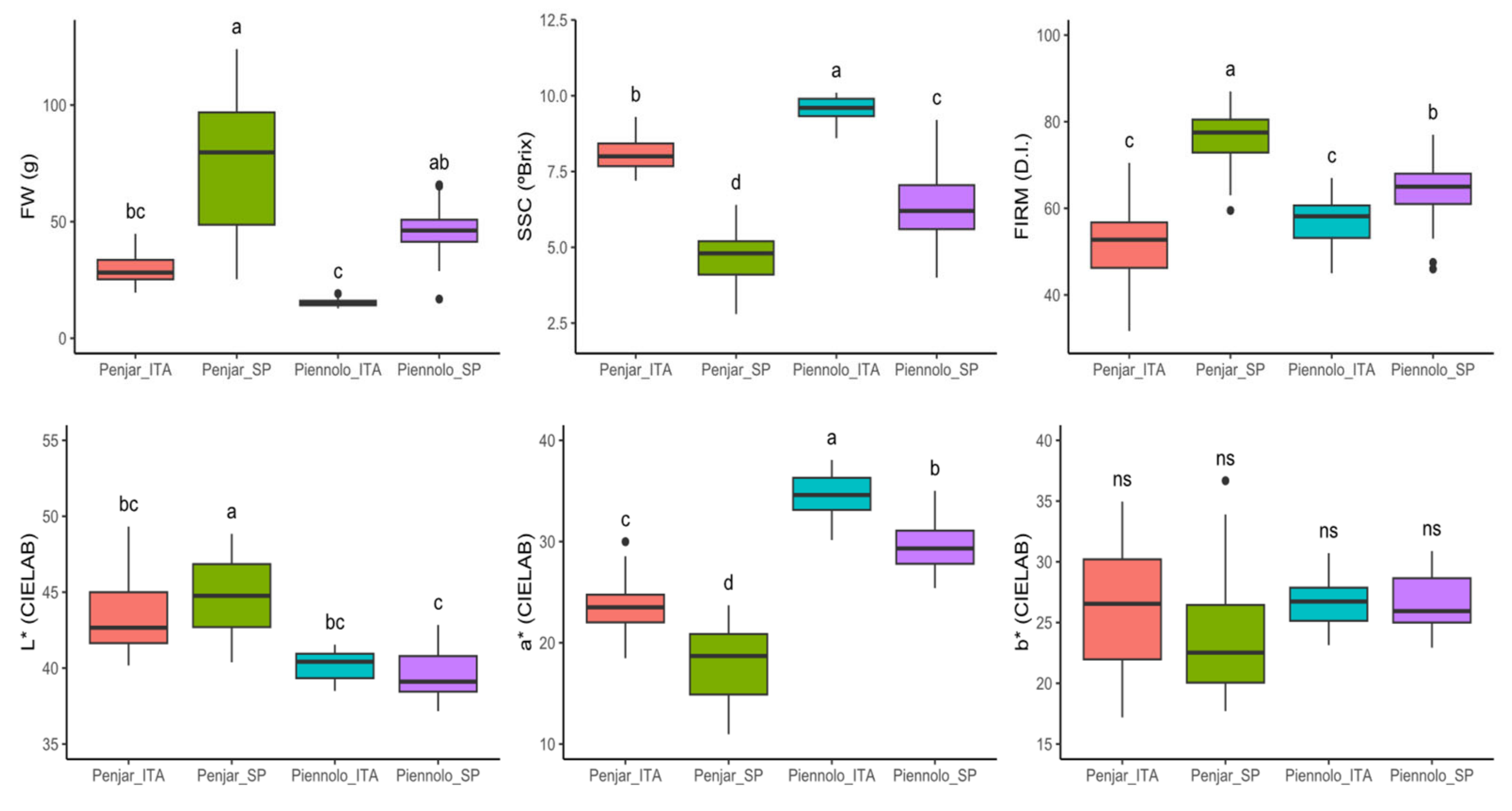
3.1. Characterization of LSL Tomato Varieties at Harvest
3.2. Shelf-Life and Effect of Postharvest on Fruit Quality Traits
3.3. Sensory Quality and Consumer Preferences in Postharvest
3.3.1. Italian Evaluation
3.3.2. Spanish Evaluation
4. Discussion
5. Conclusions and Future Work
Supplementary Materials
Author Contributions
Funding
Institutional Review Board Statement
Data Availability Statement
Acknowledgments
Conflicts of Interest
References
- Blanca, J.; Pons, C.; Montero-Pau, J.; Sanchez-Matarredona, D.; Ziarsolo, P.; Fontanet, L.; Fisher, J.; Plazas, M.; Casals, J.; Rambla, J.L.; et al. European Traditional Tomatoes Galore: A Result of Farmers’ Selection of a Few Diversity-Rich Loci. J. Exp. Bot. 2022, 73, 3431–3445. [Google Scholar] [CrossRef] [PubMed]
- Pons, C.; Casals, J.; Palombieri, S.; Fontanet, L.; Riccini, A.; Rambla, J.L.; Ruggiero, A.; de Rosario Figás, M.; Plazas, M.; Koukounaras, A.; et al. Atlas of Phenotypic, Genotypic and Geographical Diversity Present in the European Traditional Tomato. Hortic. Res. 2022, 9, uhac112. [Google Scholar] [CrossRef] [PubMed]
- Rodriguez, G.R.; Munos, S.; Anderson, C.; Sim, S.-C.; Michel, A.; Causse, M.; Gardener, B.B.M.; Francis, D.; van der Knaap, E. Distribution of SUN, OVATE, LC, and FAS in the Tomato Germplasm and the Relationship to Fruit Shape Diversity. Plant Physiol. 2011, 156, 275–285. [Google Scholar] [CrossRef] [PubMed]
- Robertson, L.D.; Labate, J.A. Genetic Resources of Tomato (Lycopersicon Esculentum Mill.) and Wild Relatives. In Genetic Improvement of Solanaceous Crops. Volume 2: Tomato; Razdan, M.K., Mattoo, A.K., Eds.; Science Publishers: Enfield, NH, USA, 2007; Volume 2, pp. 25–75. [Google Scholar]
- Peralta, I.; Spooner, D. History, Origin and Early Cultivation of Tomato (Solanaceae). In Genetic Improvement of Solanaceous Crops: Tomato; Razdan, M., Mattoo, A., Eds.; Science Publishers: Enfield, NH, USA, 2006; pp. 1–24. [Google Scholar]
- Casañas, F.; Simó, J.; Casals, J.; Prohens, J. Toward an Evolved Concept of Landrace. Front. Plant Sci. 2017, 08, 145. [Google Scholar] [CrossRef] [PubMed]
- Sacco, A.; Ruggieri, V.; Parisi, M.; Festa, G.; Rigano, M.M.; Picarella, M.E.; Mazzucato, A.; Barone, A. Exploring a Tomato Landraces Collection for Fruit-Related Traits by the Aid of a High-Throughput Genomic Platform. PLoS ONE 2015, 10, e0137139. [Google Scholar] [CrossRef]
- Corrado, G.; Caramante, M.; Piffanelli, P.; Rao, R. Genetic Diversity in Italian Tomato Landraces: Implications for the Development of a Core Collection. Sci. Hortic. 2014, 168, 138–144. [Google Scholar] [CrossRef]
- Terzopoulos, P.J.; Bebeli, P.J. Phenotypic Diversity in Greek Tomato (Solanum lycopersicum L.) Landraces. Sci. Hortic. 2010, 126, 138–144. [Google Scholar] [CrossRef]
- Cebolla-Cornejo, J.; Roselló, S.; Nuez, F. Phenotypic and Genetic Diversity of Spanish Tomato Landraces. Sci. Hortic. 2013, 162, 150–164. [Google Scholar] [CrossRef]
- Tieman, D.; Zhu, G.; Resende, M.; Lin, T.; Nguyen, C.; Bies, D.; Rambla, J.L.; Beltran, K.S.O.; Taylor, M.; Zhang, B.; et al. A Chemical Genetic Roadmap to Improved Tomato Flavor. Science 2017, 355, 391–394. [Google Scholar] [CrossRef]
- Dono, G.; Picarella, M.E.; Pons, C.; Santangelo, E.; Monforte, A.; Granell, A.; Mazzucato, A. Characterization of a Repertoire of Tomato Fruit Genetic Variants in the San Marzano Genetic Background. Sci. Hortic. 2020, 261, 108927. [Google Scholar] [CrossRef]
- Mazzucato, A.; Ficcadenti, N.; Caioni, M.; Mosconi, P.; Piccinini, E.; Sanampudi, V.R.R.; Sestili, S.; Ferrari, V. Genetic Diversity and Distinctiveness in Tomato (Solanum lycopersicum L.) Landraces: The Italian Case Study of “A Pera Abruzzese”. Sci. Hortic. 2010, 125, 55–62. [Google Scholar] [CrossRef]
- Sinesio, F.; Moneta, E.; Peparaio, M. Sensory Characteristics of Traditional Field Grown Tomato Genotypes in Southern Italy. J. Food Qual. 2007, 30, 878–895. [Google Scholar] [CrossRef]
- Sinesio, F.; Cammareri, M.; Cottet, V.; Fontanet, L.; Jost, M.; Moneta, E.; Palombieri, S.; Peparaio, M.; Romero del Castillo, R.; Saggia Civitelli, E.; et al. Sensory Traits and Consumer’s Perceived Quality of Traditional and Modern Fresh Market Tomato Varieties: A Study in Three European Countries. Foods 2021, 10, 2521. [Google Scholar] [CrossRef] [PubMed]
- Parisi, M.; Lo Scalzo, R.; Migliori, C.A. Postharvest Quality Evolution in Long Shelf-Life “Vesuviano” Tomato Landrace. Sustainability 2021, 13, 11885. [Google Scholar] [CrossRef]
- Casals, J.; Pascual, L.; Canizares, J.; Cebolla-Cornejo, J.; Casanas, F.; Nuez, F. The Risks of Success in Quality Vegetable Markets: Possible Genetic Erosion in Marmande Tomatoes (Solanum lycopersicum L.) and Consumer Dissatisfaction. Sci. Hortic. 2011, 130, 78–84. [Google Scholar] [CrossRef]
- Alonso, A.; Garcia-Aliaga, R.; Garcia-Martinez, S.; Ruiz, J.J.; Carbonell-Barrachina, A.A. Characterization of Spanish Tomatoes Using Aroma Composition and Discriminant Analysis. Food Sci. Technol. Int. 2009, 15, 47–55. [Google Scholar] [CrossRef]
- Brugarolas, M.; Martinez-Carrasco, L.; Martinez-Poveda, A.; Ruiz, J.J. A Competitive Strategy for Vegetable Products: Traditional Varieties of Tomato in the Local Market. Span. J. Agric. Res. 2009, 7, 294–304. [Google Scholar] [CrossRef]
- Folta, K.M.; Klee, H.J. Sensory Sacrifices When We Mass-Produce Mass Produce. Hortic. Res. 2016, 3, 16032. [Google Scholar] [CrossRef]
- Rubio, F.; Alonso, A.; García-Martínez, S.; Ruiz, J.J. Introgression of Virus-Resistance Genes into Traditional Spanish Tomato Cultivars (Solanum lycopersicum L.): Effects on Yield and Quality. Sci. Hortic. 2016, 198, 183–190. [Google Scholar] [CrossRef]
- Tieman, D.; Bliss, P.; McIntyre, L.; Blandon-Ubeda, A.; Bies, D.; Odabasi, A.Z.; Rodríguez, G.R.; van der Knaap, E.; Taylor, M.G.; Goulet, C.; et al. The Chemical Interactions Underlying Tomato Flavor Preferences. Curr. Biol. 2017, 22, 1035–1039. [Google Scholar] [CrossRef]
- Schouten, H.J.; Tikunov, Y.; Verkerke, W.; Finkers, R.; Bovy, A.; Bai, Y.; Visser, R.G.F. Breeding Has Increased the Diversity of Cultivated Tomato in the Netherlands. Front. Plant Sci. 2019, 10, 1606. [Google Scholar] [CrossRef] [PubMed]
- Causse, M.; Zhao, J.; Diouf, I.; Qang, J.; Lefebvre, V.; Caromel, B.; Génard, M.; Bertin, N. Genomic Designing for Climate-Smart Tomato. In Genomic Designing of Climate-Smart Vegetable Crops; Kole, C., Ed.; Springer International Publishing: Berlin/Heidelberg, Germany, 2020; pp. 47–159. ISBN 978-3-319-97415-6. [Google Scholar]
- Causse, M.; Friguet, C.; Coiret, C.; LéPicier, M.; Navez, B.; Lee, M.; Holthuysen, N.; Sinesio, F.; Moneta, E.; Grandillo, S. Consumer Preferences for Fresh Tomato at the European Scale: A Common Segmentation on Taste and Firmness. J. Food Sci. 2010, 75, S531–S541. [Google Scholar] [CrossRef]
- Piombino, P.; Sinesio, F.; Moneta, E.; Cammareri, M.; Genovese, A.; Lisanti, M.T.; Mogno, M.R.; Peparaio, M.; Termolino, P.; Moio, L.; et al. Investigating Physicochemical, Volatile and Sensory Parameters Playing a Positive or a Negative Role on Tomato Liking. Food Res. Int. 2013, 50, 409–419. [Google Scholar] [CrossRef]
- Carli, P.; Arima, S.; Fogliano, V.; Tardella, L.; Frusciante, L.; Ercolano, M.R. Use of Network Analysis to Capture Key Traits Affecting Tomato Organoleptic Quality. J. Exp. Bot. 2009, 60, 3379–3386. [Google Scholar] [CrossRef]
- Causse, M.; Buret, M.; Robini, K.; Verschave, P. Inheritance of Nutritional and Sensory Quality Traits in Fresh Market Tomato and Relation to Consumer Preferences. J. Food Sci. 2003, 68, 2342–2350. [Google Scholar] [CrossRef]
- Serrano-Megías, M.; López-Nicolás, J.M. Application of Agglomerative Hierarchical Clustering to Identify Consumer Tomato Preferences: Influence of Physicochemical and Sensory Characteristics on Consumer Response. J. Sci. Food Agric. 2005, 86, 493–499. [Google Scholar] [CrossRef]
- Le, S.; Ledauphin, S. You like Tomato, I like Tomato: Segmentation of Consumers with Missing Values. Food Qual. Prefer. 2006, 17, 228–233. [Google Scholar] [CrossRef]
- Bucheli, P.; Voirol, E.; de la Torre, R.; Lopez, J.; Rytz, A.; Tanksley, S.D.; Petiard, V. Definition of Nonvolatile Markers for Flavor of Tomato (Lycopersicon Esculentum Mill.) as Tools in Selection and Breeding. J. Agric. Food Chem. 1999, 47, 659–664. [Google Scholar] [CrossRef]
- Grandillo, S.; Zamir, D.; Tanksley, S.D. Genetic Improvement of Processing Tomatoes: A 20 Years Perspective. Euphytica 1999, 110, 85–97. [Google Scholar] [CrossRef]
- Conesa, M.À.; Fullana-Pericàs, M.; Granell, A.; Galmés, J. Mediterranean Long Shelf-Life Landraces: An Untapped Genetic Resource for Tomato Improvement. Front. Plant Sci. 2020, 10, 1651. [Google Scholar] [CrossRef]
- Aiese Cigliano, R.; Aversano, R.; Di Matteo, A.; Palombieri, S.; Termolino, P.; Angelini, C.; Bostan, H.; Cammareri, M.; Consiglio, F.M.; Della Ragione, F.; et al. Multi-Omics Data Integration Provides Insights into the Post-Harvest Biology of a Long Shelf-Life Tomato Landrace. Hortic. Res. 2022, 9, uhab042. [Google Scholar] [CrossRef] [PubMed]
- Bota, J.; Conesa, M.À.; Ochogavia, J.M.; Medrano, H.; Francis, D.M.; Cifre, J. Characterization of a Landrace Collection for Tomàtiga de Ramellet (Solanum lycopersicum L.) from the Balearic Islands. Genet. Resour. Crop Evol. 2014, 61, 1131–1146. [Google Scholar] [CrossRef]
- Casals, J.; Rull, A.; Giné-Bordonaba, J. Changes in Ripening-Related Quality Traits of Long Shelf Life Tomatoes as Influenced by Water Deficit and Short-Term Postharvest Storage. Agronomy 2021, 11, 2304. [Google Scholar] [CrossRef]
- Casals, J.; Pascual, L.; Canizares, J.; Cebolla-Cornejo, J.; Casanas, F.; Nuez, F. Genetic Basis of Long Shelf Life and Variability into Penjar Tomato. Genet. Resour. Crop Evol. 2012, 59, 219–229. [Google Scholar] [CrossRef]
- Esposito, S.; Cardi, T.; Campanelli, G.; Sestili, S.; Díez, M.J.; Soler, S.; Prohens, J.; Tripodi, P. DdRAD Sequencing-Based Genotyping for Population Structure Analysis in Cultivated Tomato Provides New Insights into the Genomic Diversity of Mediterranean ‘Da Serbo’ Type Long Shelf-Life Germplasm. Hortic. Res. 2020, 7, 134. [Google Scholar] [CrossRef]
- Gao, Y.; Wei, W.; Fan, Z.; Zhao, X.; Zhang, Y.; Jing, Y.; Zhu, B.; Zhu, H.; Shan, W.; Chen, J.; et al. Re-Evaluation of the nor Mutation and the Role of the NAC-NOR Transcription Factor in Tomato Fruit Ripening. J. Exp. Bot. 2020, 71, 3560–3574. [Google Scholar] [CrossRef]
- Tranchida-Lombardo, V.; Aiese Cigliano, R.; Anzar, I.; Landi, S.; Palombieri, S.; Colantuono, C.; Bostan, H.; Termolino, P.; Aversano, R.; Batelli, G.; et al. Whole-Genome Re-Sequencing of Two Italian Tomato Landraces Reveals Sequence Variations in Genes Associated with Stress Tolerance, Fruit Quality and Long Shelf-Life Traits. DNA Res. 2018, 25, 149–160. [Google Scholar] [CrossRef]
- Casals, J.; Martí, R.; Casañas, F.; Cebolla, J. Sugar-and-Acid Profile of Penjar Tomatoes and Its Evolution during Storage. Sci. Agric. 2015, 72, 314–321. [Google Scholar] [CrossRef]
- Renna, M.; Durante, M.; Gonnella, M.; Buttaro, D.; D’Imperio, M.; Mita, G.; Serio, F. Quality and Butritional Evaluation of Regina Tomato, a Traditional Long-Storage Landrace of Puglia (Southern Italy). Agriculture 2018, 8, 83. [Google Scholar] [CrossRef]
- Manzo, N.; Pizzolongo, F.; Meca, G.; Aiello, A.; Marchetti, N.; Romano, R. Comparative Chemical Compositions of Fresh and Stored Vesuvian PDO “Pomodorino Del Piennolo” Tomato and the Ciliegino Variety. Molecules 2018, 23, 2871. [Google Scholar] [CrossRef]
- Casals, J.; Cebolla-Cornejo, J.; Rosello, S.; Beltran, J.; Casanas, F.; Nuez, F. Long-Term Postharvest Aroma Evolution of Tomatoes with the Alcobaça (Alc) Mutation. Eur. Food Res. Technol. 2011, 233, 331–342. [Google Scholar] [CrossRef]
- Romero del Castillo, R.; Puig-Pey, M.; Biarnés, J.; Vilaseca, H.; Simó, J.; Plans, M.; Massanés, T.; Casañas, F. Using Trendsetting Chefs to Design New Culinary Preparations with the “Penjar” Tomato. J. Culin. Sci. Technol. 2014, 12, 196–214. [Google Scholar] [CrossRef]
- Juan-Cabot, A.; Galmés, J.; Conesa, M.À. The Tomato Long Shelf-Life Fruit Phenotype: Knowledge, Uncertainties and Prospects. Sci. Hortic. 2022, 291, 110578. [Google Scholar] [CrossRef]
- Casals, J.; Martí, M.; Rull, A.; Pons, C. Sustainable Transfer of Tomato Landraces to Modern Cropping Systems: The Effects of Environmental Conditions and Management Practices on Long-Shelf-Life Tomatoes. Agronomy 2021, 11, 533. [Google Scholar] [CrossRef]
- Navez, B.; Letard, M.; Graselly, D.; Jost, J. Les Critères de Qualité de La Tomate. Infos-CTIFL 1999, 155, 41–47. [Google Scholar]
- Sinesio, F.; Cammareri, M.; Moneta, E.; Navez, B.; Peparaio, M.; Causse, M.; Grandillo, S. Sensory Quality of Fresh French and Dutch Market Tomatoes: A Preference Mapping Study with Italian Consumers. J. Food Sci. 2010, 75, S55–S67. [Google Scholar] [CrossRef]
- ISO 8589:2007; Sensory Analysis—General Guidance for the Design of Test Rooms. ISO: Genova, Italy, 2017.
- Bates, D.; Mächler, M.; Bolker, B.; Walker, S. Fitting Linear Mixed-Effects Models Using Lme4. J. Stat. Softw. 2015, 67, 1–48. [Google Scholar] [CrossRef]
- Villanueva, R.A.M.; Chen, Z.J. Ggplot2: Elegant Graphics for Data Analysis (2nd Ed.). Meas. Interdiscip. Res. Perspect. 2019, 17, 160–167. [Google Scholar] [CrossRef]
- Rosa-Martínez, E.; Adalid, A.M.; Alvarado, L.E.; Burguet, R.; García-Martínez, M.D.; Pereira-Dias, L.; Casanova, C.; Soler, E.; Figàs, M.R.; Plazas, M.; et al. Variation for Composition and Quality in a Collection of the Resilient Mediterranean ‘de Penjar’ Long Shelf-Life Tomato under High and Low N Fertilization Levels. Front. Plant Sci. 2021, 12, 441. [Google Scholar] [CrossRef]
- Patanè, C.; Scordia, D.; Testa, G.; Cosentino, S.L. Physiological Screening for Drought Tolerance in Mediterranean Long-Storage Tomato. Plant Sci. 2016, 249, 25–34. [Google Scholar] [CrossRef]
- Fullana-Pericàs, M.; Conesa, M.À.; Douthe, C.; El Aou-ouad, H.; Ribas-Carbó, M.; Galmés, J. Tomato Landraces as a Source to Minimize Yield Losses and Improve Fruit Quality under Water Deficit Conditions. Agric. Water Manag. 2019, 223, 105722. [Google Scholar] [CrossRef]
- Siracusa, L.; Patane, C.; Avola, G.; Ruberto, G. Polyphenols as Chemotaxonomic Markers in Italian “Long-Storage” Tomato Genotypes. J. Agric. Food Chem. 2012, 60, 309–314. [Google Scholar] [CrossRef] [PubMed]
- Conesa, M.À.; Galmés, J.; Ochogavía, J.M.; March, J.; Jaume, J.; Martorell, A.; Francis, D.M.; Medrano, H.; Rose, J.K.C.; Cifre, J. The Postharvest Tomato Fruit Quality of Long Shelf-Life Mediterranean Landraces Is Substantially Influenced by Irrigation Regimes. Postharvest Biol. Technol. 2014, 93, 114–121. [Google Scholar] [CrossRef]
- Casals, J.; Rivera, A.; Sabaté, J.; Romero del Castillo, R.; Simó, J. Cherry and Fresh Market Tomatoes: Differences in Chemical, Morphological, and Sensory Traits and Their Implications for Consumer Acceptance. Agronomy 2018, 9, 9. [Google Scholar] [CrossRef]
- Hongsoongnern, P. Understanding the Sensory Characteristics of Fresh and Processed Tomatoes Using Descriptive Sensory Analysis; Kansas State University: Manhattan, KS, USA, 2007. [Google Scholar]
- Kumar, R.; Tamboli, V.; Sharma, R.; Sreelakshmi, Y. NAC-NOR Mutations in Tomato Penjar Accessions Attenuate Multiple Metabolic Processes and Prolong the Fruit Shelf Life. Food Chem. 2018, 259, 234–244. [Google Scholar] [CrossRef]
- Rambla, J.L.; Tikunov, Y.M.; Monforte, A.J.; Bovy, A.G.; Granell, A. The Expanded Tomato Fruit Volatile Landscape. J. Exp. Bot. 2014, 65, 4613–4623. [Google Scholar] [CrossRef]
- Carbonell-Barrachina, A.A.; Agusti, A.; Ruiz, J.J. Analysis of Flavor Volatile Compounds by Dynamic Headspace in Traditional and Hybrid Cultivars of Spanish Tomatoes. Eur. Food Res. Technol. 2006, 222, 536–542. [Google Scholar] [CrossRef]
- Cortina, P.R.; Santiago, A.N.; Sance, M.M.; Peralta, I.E.; Carrari, F.; Asis, R. Neuronal Network Analyses Reveal Novel Associations between Volatile Organic Compounds and Sensory Properties of Tomato Fruits. Metabolomics 2018, 14, 57. [Google Scholar] [CrossRef]
- D’Angelo, M.; Zanor, M.I.; Sance, M.; Cortina, P.R.; Boggio, S.B.; Asprelli, P.; Carrari, F.; Santiago, A.N.; Asís, R.; Peralta, I.E.; et al. Contrasting Metabolic Profiles of Tasty Andean Varieties of Tomato Fruit in Comparison with Commercial Ones. J. Sci. Food Agric. 2018, 98, 4128–4134. [Google Scholar] [CrossRef]
- Dawson, J.; Healy, G. Flavour Evaluation for Flant Breeders. In Plant Breeding Reviews; John Wiley & Sons, Inc.: Hoboken, NJ, USA, 2018; pp. 215–261. [Google Scholar]





| Variety | TRADITOM Pedigree N. | Code | Varietal a Group | Origin/Seed Company | Tested in Italy | Tested in Spain |
|---|---|---|---|---|---|---|
| Acampora | TRPO0040 | ACA | T | Campania (ITA) | √ | √ |
| Riccia San Vito | TRPO0130 | RSV | T | Campania (ITA) | √ | |
| Lucariello | TRPO0140 | LUC | T | Campania (ITA) | √ | √ |
| Patanara | TRPO0160 | PAT | T | Campania (ITA) | √ | √ |
| Gran Borghese | TRMC0470 | GBO | M (OP) | Four Sementi (ITA) | √ | √ |
| Ramellet | TRBA1140 | RAM | T | Balearic Islands (SP) | √ | √ |
| Penjar | TRCA0860 | PEN1 | T | Catalonia (SP) | √ | |
| Penjar | TRCA1060 | PEN2 | T | Catalonia (SP) | √ | |
| De colgar | TRVA0030 | DEC | T | Valencia (SP) | √ | √ |
| Palamós de Penjar | TRMC0540 | PdP | M (Hyb) | Semillas Fitó (SP) | √ | √ |
| 545 | N/A | 545 | M (Hyb) | Semillas Fitó (SP) | √ |
| Category | Sensory Attribute | Definition | Endpoint Labels | Italy | Spain | |
|---|---|---|---|---|---|---|
| Appearance | Color intensity | Visual examination of the tomato placed on the peduncular side. For tomatoes with a color other than red (green, orange, yellow, pink, streaked, etc.), this criterion was not scored | light red | full red | √ | √ |
| Shriveling | Wrinkling due to loss of moisture | not at all | completely | √ | √ | |
| Seeds | Amount of seeds in the internal locular portion | none | many | √ | √ | |
| Texture | Resistance to cut | Resistance of tomato flesh to penetration with a knife | no resistance | high resistance | √ | √ |
| Olfactory | Overall odor | Overall impression perceived by receptors of the olfactory system (via ortho-nasal) after cutting | weak | strong | √ | √ |
| Green odor | Odor resembling green vegetables, grass, stalk, leaf | weak | strong | √ | √ | |
| Ripe odor | Odor of tomato at full ripeness | weak | strong | √ | √ | |
| In-mouth evaluation | Sweet taste | Basic taste produced by sugars (e.g., fructose or glucose) | weak | strong | √ | |
| Acid taste | Basic taste produced by organic acids (e.g., citric or malic acids) | weak | strong | √ | ||
| Off-Flavor | Presence of aromatic compounds not characteristic of ripe tomato (e.g., decaying vegetation, metallic, chemical) | null | strong | √ | ||
| Qualitative measure (presence/absence) | ||||||
| Pea, legume odor | yes | no | √ | √ | ||
| Herbaceous odor | yes | no | √ | √ | ||
| Stem (stalk, tomato leaf) odor | yes | no | √ | √ | ||
| Floral odor | yes | no | √ | √ | ||
| Fruity odor | yes | no | √ | √ | ||
| Baked tomato (over ripe, tomato paste, tomato juice/sauce) odor | yes | no | √ | √ | ||
| Undergrowth (hearty, musty, humus, mushroom) odor | yes | no | √ | √ | ||
| Diacetyl-like odor | yes | no | √ | √ | ||
| Other odor (to be specified) | ||||||
| Category | Sensory Attribute | Definition | Endpoint Labels | |
|---|---|---|---|---|
| Olfactory | Overall odor | Intensity of the overall olfactory impression perceived via ortho-nasal | weak | strong |
| Baked tomato odor | Ortho-nasal olfactory intensity sensation of baked tomato | weak | strong | |
| In-mouth evaluation | ||||
| with the skin | Sweet taste | Basic taste sensation caused by sugars (e.g., sucrose) | weak | strong |
| Bitter taste | Basic taste caused by bitter substances (e.g., quinine) | weak | strong | |
| Overall flavor | Intensity of overall olfactory sensations perceived retro-nasally while chewing | weak | strong | |
| Baked tomato flavor | Retro-nasal olfactory sensation of baked tomato | weak | strong | |
| Hardness | Tactile characteristic of hard and thick skin perceived through mechanical and tactile receptors | tender | hard | |
| Bitter persistence (after swallowing) a,b | Basic taste persisting in the mouth after the substance that caused it is no longer present a,b | brief | long-lasting | |
| after removing the skin | Sweet taste | Basic taste sensation caused by sugars (e.g., sucrose) | weak | strong |
| Salty taste | Basic taste sensation caused by inorganic salts (e.g., sodium chloride) | weak | strong | |
| Acid taste | Basic taste sensation caused by acid substances (e.g., citric acid) | weak | strong | |
| Bitter taste | Basic taste caused by bitter substances (e.g., quinine) | weak | strong | |
| Overall flavor | Intensity of the overall olfactory impression perceived via retro-nasal | weak | strong | |
| Baked tomato flavor c,d | Retro-nasal olfactory sensation of baked tomato | weak | strong | |
| Category | Sensory Attribute | Definition | Endpoint Labels | |
|---|---|---|---|---|
| Olfactory | Overall odor | Intensity of the overall olfactory impression perceived via ortho-nasal | weak | strong |
| In-mouth evaluation | Sweet taste (on bread) | Basic taste produced by sugars (e.g., fructose or glucose) | weak | strong |
| Acid taste (on bread) | Basic taste produced by organic acids (e.g., citric or malic acids) | weak | strong | |
| Dish preparation | Spreadability (on bread) | Amount of bread (surface) that can be rubbed by one half of the fruit | low | high |
| Seeds (on bread) | Visual impression of the presence of seeds on the bread | none | many | |
| Color intensity (on bread) | Visual impression of the intensity of red color of the bread | light red | full red | |
| Overall flavor | Intensity of the overall olfactory impression perceived via retro-nasal | weak | strong | |
Disclaimer/Publisher’s Note: The statements, opinions and data contained in all publications are solely those of the individual author(s) and contributor(s) and not of MDPI and/or the editor(s). MDPI and/or the editor(s) disclaim responsibility for any injury to people or property resulting from any ideas, methods, instructions or products referred to in the content. |
© 2023 by the authors. Licensee MDPI, Basel, Switzerland. This article is an open access article distributed under the terms and conditions of the Creative Commons Attribution (CC BY) license (https://creativecommons.org/licenses/by/4.0/).
Share and Cite
Cammareri, M.; Sinesio, F.; Peparaio, M.; Pons, C.; Romero del Castillo, R.; Saggia Civitelli, E.; Vitiello, A.; Granell, A.; Casals, J.; Grandillo, S. Local Agro-Environmental Conditions Impact Fruit Quality, Sensory Properties and Consumer Acceptance of Long Shelf-Life Tomatoes. Agronomy 2023, 13, 1265. https://doi.org/10.3390/agronomy13051265
Cammareri M, Sinesio F, Peparaio M, Pons C, Romero del Castillo R, Saggia Civitelli E, Vitiello A, Granell A, Casals J, Grandillo S. Local Agro-Environmental Conditions Impact Fruit Quality, Sensory Properties and Consumer Acceptance of Long Shelf-Life Tomatoes. Agronomy. 2023; 13(5):1265. https://doi.org/10.3390/agronomy13051265
Chicago/Turabian StyleCammareri, Maria, Fiorella Sinesio, Marina Peparaio, Clara Pons, Roser Romero del Castillo, Eleonora Saggia Civitelli, Antonella Vitiello, Antonio Granell, Joan Casals, and Silvana Grandillo. 2023. "Local Agro-Environmental Conditions Impact Fruit Quality, Sensory Properties and Consumer Acceptance of Long Shelf-Life Tomatoes" Agronomy 13, no. 5: 1265. https://doi.org/10.3390/agronomy13051265
APA StyleCammareri, M., Sinesio, F., Peparaio, M., Pons, C., Romero del Castillo, R., Saggia Civitelli, E., Vitiello, A., Granell, A., Casals, J., & Grandillo, S. (2023). Local Agro-Environmental Conditions Impact Fruit Quality, Sensory Properties and Consumer Acceptance of Long Shelf-Life Tomatoes. Agronomy, 13(5), 1265. https://doi.org/10.3390/agronomy13051265

