Comparison of Evapotranspiration Partitioning and Dual Crop Coefficients of Direct-Seeded and Transplanted Rice in the Poyang Lake Basin, China
Abstract
1. Introduction
2. Materials and Methods
2.1. Site Description
2.2. Field Measurements
2.3. Data Processing, Gap Filling and Flux Partitioning
2.4. Calculation of Parameters
2.5. Statistical Analysis
3. Results
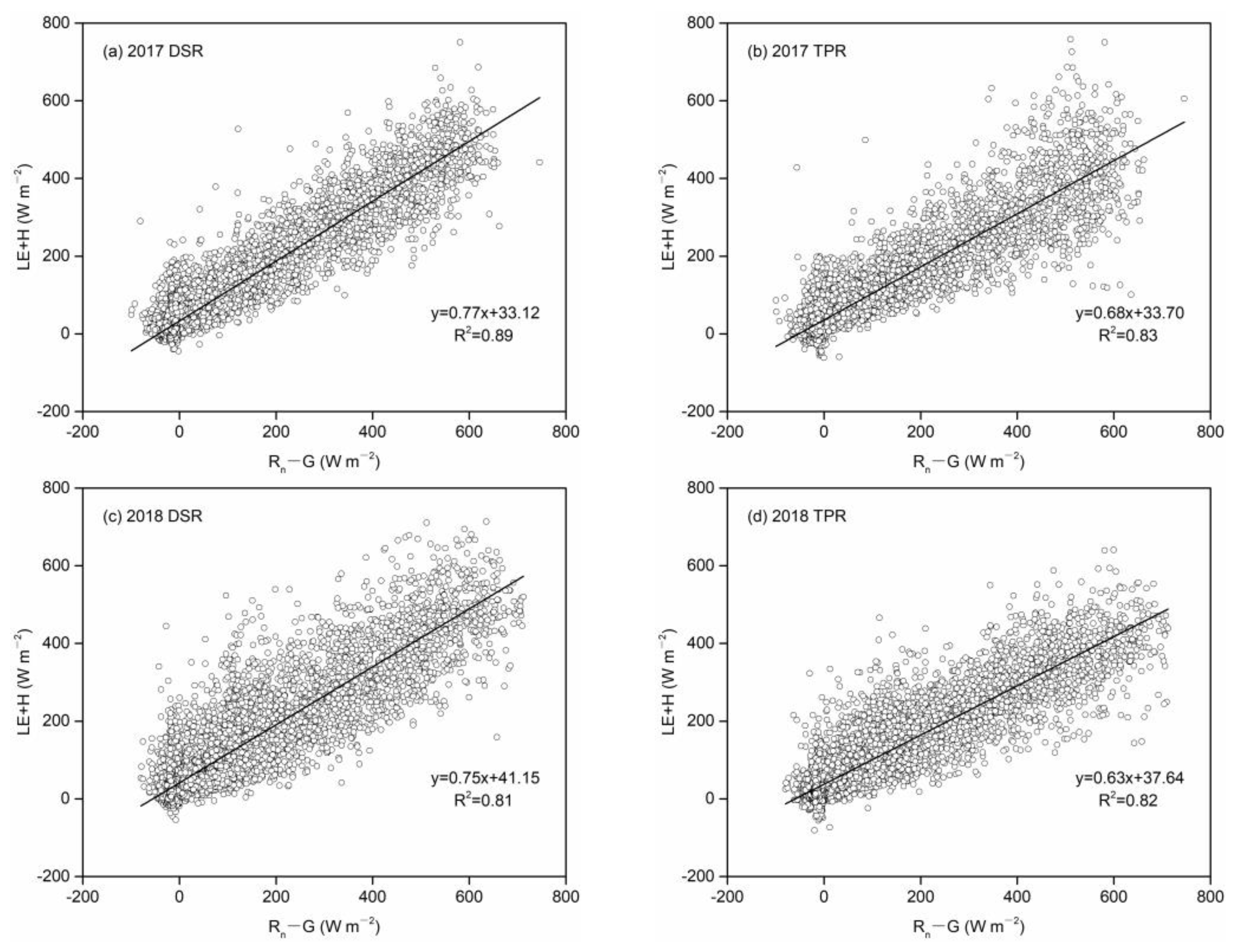
3.1. Meteorological Conditions and Energy Balance Closure
3.2. Seasonal Variation in Evapotranspiration, Evaporation, and Transpiration
3.3. Single and Dual Crop Coefficients
4. Discussion
4.1. Comparison of Evapotranspiration Partitioning for Direct-Seeded and Transplanted Rice
4.2. Variation in Crop Coefficients of Direct-Seeded and Transplanted Rice
5. Conclusions
Author Contributions
Funding
Data Availability Statement
Acknowledgments
Conflicts of Interest
References
- Ma, N.; Zhang, Y.; Guo, Y.; Gao, H.; Zhang, H.; Wang, Y. Environmental and biophysical controls on the evapotranspiration over the highest alpine steppe. J. Hydrol. 2015, 529, 980–992. [Google Scholar] [CrossRef]
- Qiu, R.; Liu, C.; Cui, N.; Wu, Y.; Wang, Z.; Li, G. Evapotranspiration estimation using a modified Priestley-Taylor model in a rice-wheat rotation system. Agric. Water Manag. 2019, 224, 105755. [Google Scholar] [CrossRef]
- Djaman, K.; Koudahe, K.; Mohammed, A.T. Dynamics of Crop Evapotranspiration of Four Major Crops on a Large Commercial Farm: Case of the Navajo Agricultural Products Industry, New Mexico, USA. Agronomy 2022, 12, 2629. [Google Scholar] [CrossRef]
- Sun, X.; Wilcox, B.P.; Zou, C.B. Evapotranspiration partitioning in dryland ecosystems: A global meta-analysis of in situ studies. J. Hydrol. 2019, 576, 123–136. [Google Scholar] [CrossRef]
- Hu, X.; Lei, H. Evapotranspiration partitioning and its interannual variability over a winter wheat-summer maize rotation system in the North China Plain. Agric. For. Meteorol. 2021, 310, 108635. [Google Scholar] [CrossRef]
- Wei, Z.; Lee, X.; Wen, X.; Xiao, W. Evapotranspiration partitioning for three agro-ecosystems with contrasting moisture conditions: A comparison of an isotope method and a two-source model calculation. Agric. For. Meteorol. 2018, 252, 296–310. [Google Scholar] [CrossRef]
- Jha, P.K.; Kumar, S.N.; Ines, A.V.M. Responses of soybean to water stress and supplemental irrigation in upper Indo-Gangetic plain: Field experiment and modeling approach. Field Crop. Res. 2018, 219, 76–86. [Google Scholar] [CrossRef]
- Xu, Z.; Zhu, Z.; Liu, S.; Song, L.; Wang, X.; Zhou, S.; Yang, X.; Xu, T. Evapotranspiration partitioning for multiple ecosystems within a dryland watershed: Seasonal variations and controlling factors. J. Hydrol. 2021, 598, 126483. [Google Scholar] [CrossRef]
- Seck, P.A.; Diagne, A.; Mohanty, S.; Wopereis, M.C.S. Crops that feed the world7: Rice. Food Secur. 2012, 4, 7–24. [Google Scholar] [CrossRef]
- Ray, D.K.; Ramankutty, N.D.; Mueller, P.C.; West, W.J.; Foley, J.A. Recent patterns of crop yield growth and stagnation. Nat. Commun. 2012, 3, 1293. [Google Scholar] [CrossRef]
- Tuong, P.; Bouman, B.A.M.; Mortimer, M. More Rice, Less Water-Integrated Approaches for Increasing Water Productivity in Irrigated Rice-Based Systems in Asia. Plant Prod. Sci. 2005, 8, 231–241. [Google Scholar]
- Allen, R.G.; Pereira, L.S.; Raes, D.; Smith, M. Crop Evapotranspiration Guidelines for Computing Crop Water Requirements. FAO Irrig. Drain. Pap. 1998, 300, D05109. [Google Scholar]
- Jiang, X.; Kang, S.; Tong, L.; Li, F.; Li, D.; Ding, R.; Qiu, R. Crop coefficient and evapotranspiration of grain maize modified by planting density in an arid region of northwest China. Agric. Water Manag. 2014, 142, 135–143. [Google Scholar] [CrossRef]
- Xu, L.; Zhan, X.; Yu, T.; Nie, L.; Huang, J.; Cui, K.; Wang, F.; Li, Y.; Peng, S. Yield performance of direct-seeded, double-season rice using varieties with short growth durations in central China. Field Crop. Res. 2018, 227, 49–55. [Google Scholar] [CrossRef]
- Zhao, Y.; Mao, X.M.; Shukla, M.K.; Tian, F.; Hou, M.J.; Zhang, T.; Li, S.E. How does film mulching modify available energy, evapotranspiration, and crop coefficient during the seed-maize growing season in northwest China? Agric. Water Manag. 2021, 245, 106666. [Google Scholar] [CrossRef]
- Facchi, A.; Gharsallah, O.; Corbari, C.; Masseroni, D.; Mancini, M.; Gandolfi, C. Determination of maize crop coefficients in humid climate regime using the eddy covariance technique. Agric. Water Manag. 2013, 130, 131–141. [Google Scholar] [CrossRef]
- Guo, H.; Li, S.E.; Kang, S.Z.; Du, T.S.; Tong, L.; Hao, X.M.; Ding, R.S. Crop coefficient for spring maize under plastic mulch based on 12-year eddy covariance observation in the arid region of Northwest China. J. Hydrol. 2020, 588, 125108. [Google Scholar] [CrossRef]
- Mao, Z.; Dong, B.; Pereira, L.S. Assessment and water saving issues for Ningxia paddies, upper Yellow River Basin. Paddy Water Environ. 2004, 2, 99–110. [Google Scholar] [CrossRef]
- Choudhury, B.U.; Singh, A.K. Estimation of crop coefficient of irrigated transplanted puddled rice by field scale water balance in the semi-arid Indo-gangetic Plains, India. Agric. Water Manag. 2016, 176, 142–150. [Google Scholar] [CrossRef]
- Lv, Y.P.; Xu, J.Z.; Yang, S.H.; Liu, X.Y.; Zhang, J.G.; Wang, Y.J. Inter-seasonal and cross-treatment variability in single-crop coefficients for rice evapotranspiration estimation and their validation under drying-wetting cycle conditions. Agric. Water Manag. 2018, 196, 154–161. [Google Scholar] [CrossRef]
- Alberto, M.C.R.; Wassmann, R.; Hirano, T.; Miyata, A.; Hatano, R.; Kumar, A.; Padre, A.; Amante, M. Comparisons of energy balance and evapotranspiration between flooded and aerobic rice fields in the Philippines. Agric. Water Manag. 2011, 98, 1417–1430. [Google Scholar] [CrossRef]
- Kumari, A.; Upadhyaya, A.; Jeet, P.; AI-Ansari, N.; Rajput, J.; Sundaram, P.K.; Saurabh, K.; Prakash, V.; Singh, A.K.; Raman, R.K.; et al. Estimation of actual evapotranspiration and crop coefficient of transplanted puddled rice using a modified non-weighing paddy lysimeter. Agronomy 2022, 12, 2850. [Google Scholar] [CrossRef]
- Chatterjee, S.; Stoy, P.C.; Debnath, M.; Nayak, A.K.; Swain, C.K.; Tripathi, R.; Chatterjee, D.; Mahapatra, S.S.; Talib, A.; Pathak, H. Actual evapotranspiration and crop coefficients for tropical lowland rice (Oryza sativa L.) in eastern India. Thero. Appl. Climatol. 2021, 146, 155–171. [Google Scholar] [CrossRef]
- Alberto, M.C.R.; Quilty, J.R.; Buresh, R.J.; Wassmann, R.; Haidar, S.; Correa, T.Q., Jr.; Sandro, J.M. Actual evapotranspiration and dual crop coefficients for dry-seeded rice and hybrid maize grown with overhead sprinkler irrigation. Agric. Water Manag. 2014, 136, 1–12. [Google Scholar] [CrossRef]
- Vories, E.D.; Stevens, W.E.; Tacker, P.L.; Griffin, T.W.; Counce, P.A. Rice production with center pivot irrigation. Appl. Eng. Agric. 2013, 29, 51–60. [Google Scholar] [CrossRef]
- Liu, B.; Cui, Y.; Tan, J.; Luo, Y.; Xiang, Z. CO2 fluxes over two paddy fields with different management practices in Southern China. Agric. For. Meteorol. 2021, 310, 108650. [Google Scholar] [CrossRef]
- Linder, S.; Xue, W.; Nay-Htoon, B.; Choi, J.; Ege, Y.; Lichtenwald, N.; Fischer, F.; Ko, J.H.; Tenhunen, J.; Otieno, D. Canopy scale CO2 exchange and productivity of transplanted paddy and direct seeded rainfed rice production systems in S. Korea. Agric. For. Meteorol. 2016, 228–229, 229–238. [Google Scholar] [CrossRef]
- Xu, L.; Yuan, S.; Wang, X.; Chen, Z.; Li, X.; Cao, J.; Wang, F.; Huang, J.; Peng, S. Comparison of yield performance between direct-seeded and transplanted double-season rice using ultrashort-duration varieties in central China. Crop J. 2022, 10, 515–523. [Google Scholar] [CrossRef]
- Linquist, B.; Snyder, R.; Anderson, F.; Espino, L.; Inglese, G.; Marras, S.; Moratiel, R.; Mutters, R.; Nicolosi, P.; Rejmanek, H.; et al. Water balances and evapotranspiration in water- and dry seeded rice systems. Irrig. Sci. 2015, 33, 375–385. [Google Scholar] [CrossRef]
- Pereira, L.S.; Paredes, P.; Hunsaker, D.J.; López-Urrea, R.; Shad, Z.M. Standard single and basal crop coefficients for field crops. Updates and advances to the FAO56 crop water requirements method. Agric. Water Manag. 2021, 243, 106466. [Google Scholar] [CrossRef]
- Jiao, L.; Ding, R.; Kang, S.; Du, T.; Tong, L.; Li, S. A comparison of energy partitioning and evapotranspiration over closed maize and sparse grapevine canopies in northwest China. Agric. Water Manag. 2018, 203, 251–260. [Google Scholar] [CrossRef]
- Hu, X.; Chen, M.; Liu, D.; Li, D.; Jin, L.; Liu, S.; Cui, Y.; Dong, B.; Khan, S.; Luo, Y. Reference evapotranspiration change in Heilongjiang Province, China from 1951 to 2018: The role of climate change and rice area expansion. Agric. Water Manag. 2021, 253, 106912. [Google Scholar] [CrossRef]
- Liu, B.; Cui, Y.; Shi, Y.; Cai, X.; Luo, Y.; Zhang, L. Comparison of evapotranspiration measurements between eddy covariance and lysimeters in paddy fields under alternate wetting and drying irrigation. Paddy Water Environ. 2019, 17, 725–739. [Google Scholar] [CrossRef]
- Liu, B.; Cui, Y.; Luo, Y.; Shi, Y.; Liu, M.; Liu, F. Energy partitioning and evapotranspiration over a rotated paddy field in Southern China. Agric. For. Meteorol. 2019, 276–277, 107626. [Google Scholar] [CrossRef]
- LI-COR Biosciences. EddyPro 5.0: Help and User’s Guide; LI-COR Biosciences: Lincoln, NE, USA, 2013. [Google Scholar]
- Webb, E.K.; Pearman, G.I.; Leuning, R. Correction of flux measurements for density effects due to heat and water vapour transfer. Quart. J. R. Met. Soc. 1980, 106, 85–100. [Google Scholar] [CrossRef]
- Fratini, G.; Ibrom, A.; Arriga, N.; Burba, G.; Papale, D. Relative humidity effects on water vapour fluxes measured with closed-path eddy-covariance systems with short sampling lines. Agric. For. Meteorol. 2012, 165, 53–63. [Google Scholar] [CrossRef]
- Wutzler, T.; Lucas-Moffat, A.; Migliavacca, M.; Knauer, J.; Sickel, K.; Šigut, L.; Menzer, O.; Reichstein, M. Basic and extensible post-processing of eddy covariance flux data with REddyProc. Biogeoscience 2018, 15, 5015–5030. [Google Scholar] [CrossRef]
- Falge, E.; Baldocchi, D.; Olson, R.; Anthoni, P.; Aubinet, M.; Bernhofer, C.; Burba, G.; Ceulemans, R.; Clement, R.; Dolman, H.; et al. Gap filling strategies for defensible annual sums of net ecosystem exchange. Agric. For. Meteorol. 2001, 107, 43–69. [Google Scholar] [CrossRef]
- Schmidt, M.; Reichenau, T.G.; Fiener, P.; Schneider, K. The carbon budget of a winter wheat field: An eddy covariance analysis of seasonal and inter-annual variability. Agric. For. Meteorol. 2012, 165, 114–126. [Google Scholar] [CrossRef]
- Zhou, S.; Yu, B.; Zhang, Y.; Huang, Y.; Wang, G. Partitioning evapotranspiration based on the concept of underlying water use efficiency. Water Resour. Res. 2016, 52, 1160–1175. [Google Scholar] [CrossRef]
- Zhou, S.; Yu, B.; Zhang, Y.; Huang, Y.; Wang, G. Water use efficiency and evapotranspiration partitioning for three typical ecosystems in the Heihe River Basin, northwestern China. Agirc. For. Meteorol. 2018, 253–254, 261–273. [Google Scholar] [CrossRef]
- Chen, Y.; Ding, Z.; Yu, P.; Yang, H.; Song, L.; Fan, L.; Han, X.; Ma, M.; Tang, X. Quantifying the variability in water use efficiency from the canopy to ecosystem scale across main croplands. Agric. Water Manag. 2022, 262, 107427. [Google Scholar] [CrossRef]
- Jiang, S.; Liang, C.; Cui, N.; Zhao, L.; Liu, C.; Feng, Y.; Hu, X.; Gong, D.; Zou, Q. Water use efficiency and its drivers in four typical agroecosystems based on flux tower measurements. Agric. For. Meteorol. 2020, 295, 108200. [Google Scholar] [CrossRef]
- Wang, Y.; Cai, H.; Yu, L.; Peng, X.; Xu, J.; Wang, X. Evapotranspiration partitioning and crop coefficient of maize in dry semi-humid climate regime. Agric. Water Manag. 2020, 236, 106164. [Google Scholar] [CrossRef]
- Liu, B.; Wang, W.; Cui, Y.; Xu, T. Partitioning evapotranspiration using the water-carbon flux coupling in a paddy field in the Middle and Lower Reaches of the Yangtze River in China. Trans. CSAE 2021, 37, 94–101, (In Chinese with English abstract). [Google Scholar]
- Jiang, S.; Liang, C.; Cui, N.; Zhao, L.; Du, T.; Hu, X.; Feng, Y.; Guan, J.; Feng, Y. Impacts of climatic variables on reference evapotranspiration during growing season in Southwest China. Agric. Water Manag. 2019, 216, 365–378. [Google Scholar] [CrossRef]
- Reavis, C.W.; Suvočarev, K.; Reba, M.L.; Runkle, B.R.K. Impacts of alternate wetting and drying and delayed flood rice irrigation on growing season evapotranspiration. J. Hydrol. 2021, 596, 126080. [Google Scholar] [CrossRef]
- Monteith, J.L.; Unsworth, M.H. Principles of Environmental Physics; Academic Press: New York, NY, USA, 2008. [Google Scholar]
- Wilson, K.; Goldstein, A.; Falge, E.; Aubinet, M.; Baldocchi, D.; Berbigier, P.; Bernhofer, C.; Ceulemans, R.; Dolman, H.; Field, C.; et al. Energy balance closure at FLUXNET sites. Agric. For. Meteorol. 2002, 113, 223–243. [Google Scholar] [CrossRef]
- Li, Z.Q.; Yu, G.R.; Wen, X.F.; Zhang, L.M.; Ren, C.Y.; Fu, Y.L. Energy balance closure at ChinaFLUX sites. Sci. China Ser. D-Earth Sci. 2005, 48 (Suppl. I), 51–62. [Google Scholar]
- Wohlfahrt, G.; Haslwanter, A.; Hörtnagl, L.; Jasoni, R.L.; Fenstermaker, L.F.; Arnone III, J.A.; Hammerle, A. On the consequences of the energy imbalance for calculating surface conductance to water vapour. Agric. For. Meteorol. 2009, 149, 1556–1559. [Google Scholar] [CrossRef]
- Farooq, M.; Siddique, K.H.M.; Rehman, H.; Aziz, T.; Lee, D.J.; Wahid, A. Rice direct seeding: Experiences, challenges and opportunities. Soil Till. Res. 2011, 111, 87–98. [Google Scholar] [CrossRef]
- Tuong, T.P.; Bouman, B.A.M. Rice Production in Water-Scarce Environments; International Water Management Institute: Colombo, Sri Lanka, 2003. [Google Scholar]
- Chauhan, B.S.; Opeña, J. Effect of tillage systems and herbicides on weed emergence, weed growth, and grain yield in dry-seeded rice systems. Field Crop. Res. 2012, 137, 56–69. [Google Scholar] [CrossRef]
- Lahue, G.T.; Linquist, B.A. The contribution of percolation to water balances in water-seeded rice systems. Agric. Water Manag. 2021, 243, 106445. [Google Scholar] [CrossRef]
- Sharma, P.K.; Bhushan, L.; Ladha, J.K.; Naresh, R.K.; Gupta, R.K.; Balasubramanian, B.V.; Bouman, B.A.M. Crop–water relations in rice–wheat cropping under different tillage systems and water management practices in a marginally sodic medium textured soil. In Water-Wise Rice Production; Bouman, B.A.M., Hengsdijk, H., Hardy, B., Bihdraban, B., Toung, T.P., Ladha, J.K., Eds.; International Rice Research Institute: Los Baños, Philippines, 2002; pp. 223–235. [Google Scholar]
- Singh, A.K.; Choudhury, B.U.; Bouman, B.A.M. Effects of rice establishment methods on crop performance, water use and mineral nitrogen. In Water-Wise Rice Production; Bouman, B.A.M., Hengsdijk, H., Hardy, B., Bihdraban, B., Toung, T.P., Ladha, J.K., Eds.; International Rice Research Institute: Los Baños, Philippines, 2002; pp. 237–246. [Google Scholar]
- Kumar, S.; Narjary, B.; Kumar, K.; Jat, H.S.; Kamara, S.K.; Yadav, R.K. Developing soil matric potential based irrigation strategies of direct seeded rice for improving yield and water productivity. Agric. Water Manag. 2019, 215, 8–15. [Google Scholar] [CrossRef]
- Liu, H.; Hussain, S.; Zheng, M.; Peng, S.; Huang, J.; Cui, K.; Nie, L. Dry direct-seeded rice as an alternative to transplanted-flooded rice in Central China. Agron. Sustain. Dev. 2015, 35, 285–294. [Google Scholar] [CrossRef]
- Tan, X.; Shao, D.; Liu, H.; Yang, F.; Xiao, C.; Yang, H. Effects of alternate wetting and drying irrigation on percolation and nitrogen leaching in paddy fields. Paddy Water Environ. 2013, 11, 381–395. [Google Scholar] [CrossRef]
- Xu, B.; Shao, D.; Fang, L.; Yang, X.; Chen, S.; Gu, W. Modelling percolation and lateral seepage in a paddy field-bund landscape with a shallow groundwater table. Agric. Water Manag. 2019, 214, 87–96. [Google Scholar] [CrossRef]
- Wu, D.; Cui, Y.; Luo, Y. Irrigation efficiency and water-saving potential considering reuse of return flow. Agric. Water Manag. 2019, 221, 519–527. [Google Scholar] [CrossRef]
- Wu, D.; Cui, Y.; Wang, Y.; Chen, M.; Luo, Y.; Zhang, L. Reuse of return flows and its scale effect in irrigation systems based on modified SWAT model. Agric. Water Manag. 2019, 213, 280–288. [Google Scholar] [CrossRef]
- Van Oort, P.A.J.; Dingkuhn, M. Feet in the water and hands on the keyboard: A critical retrospective of crop modelling at Africa Rice. Field Crop. Res. 2021, 263, 108074. [Google Scholar] [CrossRef]
- Li, H.; Guo, H.; Helbig, M.; Dai, S.; Zhang, M.; Zhao, M.; Peng, C.; Xiao, X.; Zhao, B. Does direct-seeded rice decrease ecosystem-scale methane emissions?—A case study from a rice paddy in southeast China. Agric. For. Meteorol. 2019, 272–273, 118–127. [Google Scholar] [CrossRef]
- Wang, Y.; Zhou, L.; Jia, Q.; Yu, W. Water use efficiency of a rice paddy field in Liaohe Delta, Northeast China. Agric. Water Manag. 2017, 187, 222–231. [Google Scholar] [CrossRef]
- Diaz, M.B.; Roberti, D.R.; Carneiro, J.V.; Souza, V.A.; Moraes, O.L.L. Dynamics of the superficial fluxes over a flooded rice paddy in southern Brazil. Agric. For. Meteorol. 2019, 276–277, 107650. [Google Scholar] [CrossRef]
- Vu, S.H.; Watanabe, H.; Takagi, K. Application of FAO-56 for evaluating evapotranspiration in simulation of pollutant runoff from paddy rice field in Japan. Agric. Water Manag. 2005, 76, 195–210. [Google Scholar] [CrossRef]
- Kadiyala, M.D.M.; Mylavarapu, R.S.; Li, Y.C.; Reddy, G.B.; Reddy, M.D. Impact of aerobic rice cultivation on growth, yield, and water productivity of rice-maize rotation in semiarid tropics. Agron. J. 2012, 104, 1757–1765. [Google Scholar] [CrossRef]
- Hatiye, S.D.; HariPrasad, K.S.; Ojha, C.S.P.; Kaushika, G.S.; Adeloye, A.J. Evaluating irrigation scheduling efficiency of paddy rice and berseem fodder crops in sandy loam soil. Irrig. Drain. Syst. Eng. 2015, 4, 147. [Google Scholar]
- Qiu, R.; Li, L.; Liu, C.; Wang, Z.; Zhang, B.; Liu, Z. Evapotranspiration estimation using a modified crop coefficient model in a rotated rice-winter wheat system. Agric. Water Manag. 2022, 264, 107501. [Google Scholar] [CrossRef]
- Pereira, L.S.; Paredes, P.; Melton, F.; Johnson, L.; Mota, M.; Wang, T. Prediction of crop coefficients from fraction of ground cover and height: Practical application to vegetable, field and Fruit crops with focus on parameterization. Agric. Water Manag. 2021, 252, 106663. [Google Scholar] [CrossRef]
- Choudhury, B.U.; Singh, A.K.; Pradhan, S. Estimation of crop coefficients of dry-seeded irrigated rice–wheat rotation on raised beds by field water balance method in the Indo-Gangetic plains, India. Agric. Water Manag. 2013, 123, 20–31. [Google Scholar] [CrossRef]
- Montazar, A.; Rejmanek, H.; Tindula, G.; Little, C.; Shapland, T.; Anderson, F.; Inglese, G.; Mutters, R.; Linquist, B.; Greer, C.A.; et al. Crop Coefficient Curve for Paddy Rice from Residual Energy Balance Calculations. J. Irrig. Drain. Eng. 2017, 143, 04016076. [Google Scholar] [CrossRef]
- Allen, R.G.; Pereira, L.S. Estimating crop coefficients from fraction of ground cover and height. Irri. Sci. 2009, 28, 17–34. [Google Scholar] [CrossRef]
- Qiu, R.; Song, J.; Du, T.; Kang, S.; Tong, L.; Chen, R.; Wu, L. Response of evapotranspiration and yield to planting density of solar greenhouse grown tomato in northwest China. Agric. Water Manag. 2013, 130, 44–51. [Google Scholar] [CrossRef]
- Chen, Z.; Sun, S.; Zhu, Z.; Jiang, H.; Zhang, X. Assessing the effects of plant density and plastic film mulch on maize evaporation and transpiration using dual crop coefficient approach. Agric. Water Manag. 2019, 225, 105765. [Google Scholar] [CrossRef]
- Ding, R.; Tong, L.; Li, F.; Zhang, Y.; Hao, X.; Kang, S. Variations of crop coefficient and its influencing factors in an arid advective cropland of northwest China. Hydrol. Process. 2015, 29, 239–249. [Google Scholar] [CrossRef]









| Year | Rice | Stages | Days (d) | Rn (MJ m−2 d−1) | Ta (°C) | VPD (kPa) | Ws (m s−1) | P (mm) | ET (mm) | E (mm) | T (mm) | T/ET |
|---|---|---|---|---|---|---|---|---|---|---|---|---|
| 2017 | DSR | Ini * | 32 | 4.3 | 14.4 | 0.38 | 2.0 | 327 | 66 | 60 | 6 | 0.09 |
| Dev | 27 | 7.6 | 20.9 | 0.78 | 1.6 | 97 | 96 | 82 | 14 | 0.15 | ||
| Mid | 48 | 7.7 | 24.7 | 0.74 | 1.4 | 231 | 182 | 67 | 115 | 0.63 | ||
| Lat | 11 | 5.2 | 25.3 | 0.39 | 0.8 | 207 | 30 | 16 | 14 | 0.48 | ||
| Seasonal | 118 | 6.4 | 20.9 | 0.61 | 1.4 | 861 | 374 | 225 | 149 | 0.40 | ||
| TPR | Ini | 10 | 7.7 | 20.4 | 0.75 | 1.7 | 65 | 33 | 28 | 5 | 0.17 | |
| Dev | 15 | 9.3 | 23.5 | 0.95 | 1.3 | 69 | 60 | 39 | 21 | 0.35 | ||
| Mid | 39 | 6.7 | 24.9 | 0.65 | 1.5 | 244 | 123 | 46 | 77 | 0.62 | ||
| Lat | 21 | 9.6 | 28.1 | 0.78 | 0.7 | 165 | 93 | 44 | 49 | 0.53 | ||
| Seasonal | 85 | 8.0 | 24.9 | 0.74 | 1.3 | 542 | 309 | 157 | 152 | 0.49 | ||
| 2018 | DSR | Ini | 29 | 6.0 | 16.4 | 0.55 | 1.5 | 116 | 76 | 68 | 8 | 0.11 |
| Dev | 29 | 7.3 | 20.2 | 0.71 | 1.6 | 244 | 113 | 71 | 41 | 0.37 | ||
| Mid | 46 | 8.6 | 26.4 | 0.85 | 1.5 | 332 | 198 | 70 | 128 | 0.65 | ||
| Lat | 12 | 11.3 | 30.0 | 0.82 | 2.2 | 24 | 49 | 26 | 22 | 0.46 | ||
| Seasonal | 116 | 7.9 | 23 | 0.75 | 1.6 | 715 | 436 | 235 | 201 | 0.46 | ||
| TSR | Ini | 8 | 7.3 | 23 | 0.64 | 1.6 | 45 | 17 | 14 | 3 | 0.18 | |
| Dev | 19 | 10.4 | 25.8 | 0.87 | 1.6 | 79 | 87 | 57 | 30 | 0.34 | ||
| Mid | 37 | 8.3 | 27.1 | 0.87 | 1.6 | 221 | 147 | 49 | 98 | 0.67 | ||
| Lat | 20 | 10.5 | 30.3 | 1.01 | 1.7 | 107 | 91 | 45 | 46 | 0.51 | ||
| Seasonal | 84 | 9.2 | 27.2 | 0.89 | 1.6 | 451 | 342 | 165 | 177 | 0.52 |
| Year | Rice | Stages | Kc | Ke | Ks·Kcb |
|---|---|---|---|---|---|
| 2017 | DSR | Ini | 1.20 | 1.09 | 0.11 |
| Dev | 1.28 | 1.10 | 0.18 | ||
| Mid | 1.38 | 0.51 | 0.87 | ||
| Lat | 1.40 | 0.74 | 0.66 | ||
| Seasonal | 1.32 | 0.81 | 0.51 | ||
| TPR | Ini | 1.14 | 0.93 | 0.21 | |
| Dev | 1.18 | 0.78 | 0.40 | ||
| Mid | 1.29 | 0.49 | 0.80 | ||
| Lat | 1.37 | 0.64 | 0.73 | ||
| Seasonal | 1.27 | 0.63 | 0.64 | ||
| 2018 | DSR | Ini | 1.20 | 1.07 | 0.13 |
| Dev | 1.30 | 0.83 | 0.47 | ||
| Mid | 1.33 | 0.46 | 0.87 | ||
| Lat | 1.32 | 0.74 | 0.58 | ||
| Seasonal | 1.29 | 0.71 | 0.58 | ||
| TSR | Ini | 1.11 | 0.91 | 0.20 | |
| Dev | 1.21 | 0.81 | 0.40 | ||
| Mid | 1.27 | 0.40 | 0.87 | ||
| Lat | 1.24 | 0.61 | 0.63 | ||
| Seasonal | 1.23 | 0.59 | 0.65 |
| Year | Rice | ET (mm) | T (mm) | GPP (g C m−2) | WUE (g C kg−1 H2O) | tWUE (g C kg−1 H2O) |
|---|---|---|---|---|---|---|
| 2017 | DSR | 374 | 149 | 593 | 1.59 | 3.98 |
| TPR | 309 | 152 | 579 | 1.87 | 3.81 | |
| 2018 | DSR | 436 | 201 | 754 | 1.73 | 3.75 |
| TSR | 342 | 177 | 651 | 1.90 | 3.68 |
Disclaimer/Publisher’s Note: The statements, opinions and data contained in all publications are solely those of the individual author(s) and contributor(s) and not of MDPI and/or the editor(s). MDPI and/or the editor(s) disclaim responsibility for any injury to people or property resulting from any ideas, methods, instructions or products referred to in the content. |
© 2023 by the authors. Licensee MDPI, Basel, Switzerland. This article is an open access article distributed under the terms and conditions of the Creative Commons Attribution (CC BY) license (https://creativecommons.org/licenses/by/4.0/).
Share and Cite
Liu, B.; Hou, J.; Ge, H.; Liu, M.; Shi, L.; Li, C.; Cui, Y. Comparison of Evapotranspiration Partitioning and Dual Crop Coefficients of Direct-Seeded and Transplanted Rice in the Poyang Lake Basin, China. Agronomy 2023, 13, 1218. https://doi.org/10.3390/agronomy13051218
Liu B, Hou J, Ge H, Liu M, Shi L, Li C, Cui Y. Comparison of Evapotranspiration Partitioning and Dual Crop Coefficients of Direct-Seeded and Transplanted Rice in the Poyang Lake Basin, China. Agronomy. 2023; 13(5):1218. https://doi.org/10.3390/agronomy13051218
Chicago/Turabian StyleLiu, Bo, Jiajia Hou, Hengjun Ge, Meng Liu, Lijie Shi, Cheng Li, and Yuanlai Cui. 2023. "Comparison of Evapotranspiration Partitioning and Dual Crop Coefficients of Direct-Seeded and Transplanted Rice in the Poyang Lake Basin, China" Agronomy 13, no. 5: 1218. https://doi.org/10.3390/agronomy13051218
APA StyleLiu, B., Hou, J., Ge, H., Liu, M., Shi, L., Li, C., & Cui, Y. (2023). Comparison of Evapotranspiration Partitioning and Dual Crop Coefficients of Direct-Seeded and Transplanted Rice in the Poyang Lake Basin, China. Agronomy, 13(5), 1218. https://doi.org/10.3390/agronomy13051218
