Abstract
Salt-affected arable land is distributed widely in China, especially in the North China Plain. Crop residue management under appropriate tillage is critical to improving salt-affected soil organic carbon and reducing the carbon footprint. This study conducted four-year field experiments including two treatments (residue incorporated into soil with plough tillage (CT+); residue mulching with no-till (NT+)) in two sites (non-saline soil and salt-affected soil); the carbon footprint of wheat production was analyzed by life cycle assessment. The results showed that the carbon footprint of wheat production in the salt-affected soil was significantly larger than that in the non-saline soil, because the salt-affected soil exhibited higher N2O emission than the non-saline soil. CT+ has lower carbon footprint than the NT+, mainly due to the lower N2O emission and higher carbon sequestration in the CT+ compared to NT+. As for the salt-affected soil, the largest contributor of the carbon footprint per unit area was soil N2O emission, with a relative contribution of 40%; the largest contributor of the carbon footprint per unit yield was carbon sequestration, with a relative importance of 47–50%. Our results indicated that wheat production in salt-affected land has a high carbon footprint, while it can be decreased by incorporating crop residue into the soil under the plough tillage.
1. Introduction
Agricultural activities (e.g., crop production and straw burning) are considered the essential sources of global greenhouse gas (GHG) emissions besides energy and industrial activities, accounting for 12% of global GHG emissions [1]. In China, GHG emissions from crop production are 0.48 GTCO2-eq·yr−1, accounting for 57.3% of the total GHG emission [2]. Therefore, reducing GHG emissions from agriculture is vital for mitigating climate change.
The carbon footprint is defined as the total amount of direct and indirect GHG emissions generated during the life cycle of agricultural products [3]. The carbon footprint can be used to effectively assess the impact of GHGs in agricultural production on climate change [4]. In agricultural production, direct emissions of GHGs come from the soil, and indirect emissions are from mechanical fuels, irrigation, and the production and transport of seeds, fertilizers, and herbicides [5]. In rain-fed crops, fertilizer, crop grain yield, and soil carbon sequestration are critical factors affecting the crop carbon footprint [5,6,7]. Fertilizer production and use are the most important emission source of GHG emissions and major contributors to the carbon footprint, especially in wheat growing [8]. Some farming practices, including rational crop rotation, conservation tillage, residual retention, and rational fertilization have capabilities of effectively reducing the carbon footprint by reducing nitrogen fertilizer input and improving soil carbon sequestration and crop yield [4,5,7,9,10]. The above practices are in favor of promoting sustainable agricultural development and are helpful to achieve carbon peaking and carbon neutrality goals.
At present, there are more than 900 million hectares of salt-affected soil arable land worldwide [11]. In China, the area of arable soil affected by salt is about 99.13 million hectares, accounting for 77% of the arable extent [12]. Soil salinization decreases crop productivity and affects soil GHG emissions [11,13]. Previous studies have shown that soil CO2 and N2O emission significantly increased with increasing salinity levels [13,14,15,16]. The study of Ghosh et al. [17] indicated that saline-sodic soils can be a significant contributor of N2O to the environment compared to non-saline soils. As a potent greenhouse gas, N2O leads to ozone depletion, having 298 times the warming potential of CO2 [18], so the slight changes in N2O will cause profound impacts on climate change. Therefore, it is necessary to pay attention to GHG emissions from salt-affected soil of reclamation and utilization [13].
Crop residue management is widely used to the salt-affected soil, effectively decreasing soil salinity and enriching soil organic carbon [11,19]. In the non-saline soil, crop residues can effectively reduce the carbon footprint of crop production. However, there has been a scarcity of studies focusing on the carbon footprint of crop production on salt-affected farmland. Some studies prove that crop residue releases a large amount of GHG emissions from the soil while increasing carbon fixation in the salt-affected soil [12,20]. Additionally, the study of Lin et al. [21] pointed out that maize residue incorporation increased the N2O emission from salt-affected soils by 17.5%. The study of Yu et al. [22] suggested that soil salinization led to a high risk of N2O emission in the field following cotton residue amendment. Crop residue management impacts the emission of GHGs from the soil, and thus produces changes in the carbon footprint [23]. Under such a context, it is necessary to study the carbon footprint in crop production during the reclamation of the salt-affected soil under crop residue management.
Crop residues with conventional tillage or no-till are two commonly used approaches to increase soil organic carbon content. Conventional tillage incorporates residues into the soil, stimulating microbial activity and facilitating the straw carbon converse into microbial biomass, thus ultimately increasing soil organic carbon. Crop residue mulching with no-till, providing ideal physical protection for soil organic carbon and preventing loss and decomposition, enhances the organic carbon content in the surface soil. Some studies have shown that the increase in soil organic carbon was higher under crop residues and conventional tillage than the residue mulching with no-till [24,25]. However, other studies have found that crop residue mulching with no-till was more conducive to carbon sequestration as it causes minimal soil disturbance [26,27]. These opposite results impact the carbon footprint of crop production. Yang et al. [10] indicated that crop residue mulching with no-till positively improved soil quality, maintained crop growth, and reduced the carbon footprint in crop production. The study of He et al. [4] showed that crop residue with conservation tillage (i.e., no-tillage and subsoil tillage) was the optimal way to promote crop yield and reduce the carbon footprint in the Loess Plateau. However, some studies reported that maize crop residue with tillage increased soil carbon sequestration and the lowest crop carbon footprint [28,29]. Thus, further studies are still needed to investigate the effects of crop residue management on the carbon footprint of crops due to site-specific conditions, especially in salt-affected soil areas.
This study will answer the following question: (1) how is the carbon footprint of wheat production with crop residue management and tillage in salt-affected arable land? (2) Which elements are important to reduce the carbon footprint of wheat production in salt-affected arable land in the North China Plain?
2. Materials and Methods
2.1. Study Area
The field experiments were conducted from 2016 to 2019 at two sites in the North China Plain-the Yucheng agriculture experiment station of the Chinese Academy Sciences (116°36′ E, 36°57′ N) and the Wudi experimental demonstration station (117°9′ E, 37°9′ N) (Figure 1). The climate of these two areas is the continental monsoon. During the four-year experiment, the annual average precipitations of Yucheng and Wudi were 581.8–598.2 mm and 570.1–591.3 mm, respectively. Nearly 70% of precipitation falls in the summer–autumn season, and the spring is dry. The four-year mean air temperatures are 13.9–14.2 °C and 12.5–12.9 °C in Yucheng and Wudi, respectively. During the wheat growing season in the time period of 2016 to 2019, no extreme climate events happened. The soil of the two sites is classified as the fluvisoil; the soil in Yucheng is non-saline, whereas the soil in Wudi is salt-affected. The soil properties at 0–20 cm layer of two sites at the start time are shown in (Table 1).
Figure 1.
Locations of two experimental sites: Wudi and Yucheng.
Table 1.
The initial soil properties at 0–20 cm layer in the Yucheng (2008) and Wudi (2015).
Both sites adopted the typical cropping system of the North China Plain, i.e., winter wheat–summer maize double cropping. Wheat (Triticum aestivum L., Jimai-22) is sown in October and harvested in June of the following year; maize (Zea mays L., Zhengdan-958) is sown in June and harvested in October. Residuals of wheat and maize were retention in the soil after the crop harvest.
The experiment in Wudi was carried out from 2015 to 2019. Owing to shallow underground water tables, and the seawater back-up leading to groundwater salinization, the soil salinization here is obvious and complicated [11]. Soil salinity there ranged from 0.2% to 0.6%, and NaCl was the dominant salt. The Wudi experiment has four treatments, including chisel tillage (tillage depth is 35–40 cm) with crop residue mulching (denoted as SP+), rotary tillage (tillage depth is 10 cm) with crop residue incorporated into the soil (RT+), plough tillage (tillage depth is 25–30 cm) with crop residue incorporated into the soil (CT+), no-till with crop residue mulching (NT+). The area of each plot was 10 m × 100 m.
The experiment in Yucheng has been operational since 2008. A randomized complete block design was adopted with four treatments, including the plough tillage (tillage depth is 25–30 cm) without crop residue (CT-), no-till without residue (NT-), plough tillage (tillage depth is 25–30 cm) with crop residue incorporated into the soil (CT+), no-till with crop residue mulching (NT+). Each treatment has three replicates, with a size of 10 m × 10 m.
The harvested maize straw was automatically cut up into 1 cm pieces (denoted as residue) using a machine. In the CT+ treatment, the residue was incorporated into the soil layer at 25–30 cm, while the residue was mulched on the surface of the soil in the NT+ treatment. Standard crop management practices such as irrigation and pesticides were carried out at two sites. The fertilizer management was kept consistent at the two sites. During the wheat growing season, the total nitrogen (N) application rate for each treatment was 200 kg Nha−1 yr−1, and the compound fertilizer (N-P-K:15:15:15, base fertilization) was applied at sowing. The urea fertilizer with 46% N content was applicated before irrigation at the regreening stage of wheat in March. In 2016–2019, irrigation was applied once with the amount of eight mm at the regreening stage of winter wheat in Yucheng and Wudi, while the precipitation could provide enough water for wheat growth in normal conditions during other phenological phases.
2.2. Ground Measurement of Gain Yield and Soil Attributes
At wheat maturity, crop samples with uniform growth were harvested from each plot, and three sampling subplots were selected at each plot with an area of 1 m × 1 m. The wheat grain was air-dried until consistent weight. The moisture content of the wheat grains was around 5%.
Then, the grain weight (g) was rescaled to yield (kg·ha−1) according to the sampling plot size.
Soil organic carbon (SOC) was measured two times annually, i.e., after the maize harvest in October and after the wheat harvest in June. In each plot, three soil samples at 0–20 cm layer within the central part of each plot were collected, air-dried, grounded, and sieved using a 0.25 mm filtering. The SOC concentration was determined using the K2Cr2O7-H2SO4 digestion method [30]. The soil bulk density was measured by the cutting ring method [31]. The calculation of soil carbon sequestration is as follows [32]:
where SOC (g·kg−1) is the soil organic carbon concentration; H (cm) is the soil depth of 20 cm; BD (g·cm−3) is soil bulk density; SOCS (kg·ha−1) is soil organic carbon sequestration; δSOC (kg·ha−1·yr−1) is the annual change in SOC sequestration at the 0–20 cm soil layer in 2015–2019; the 4 represents years of cultivation; the 44/12 represents the conversion factor of carbon to CO2.
SOCS = SOC × H × BD × 100
δSOC = (SOCS2019 − SOCS2015)/4 × 44/12
2.3. Direct GHG Emissions
Soil GHG fluxes were determined using the static chamber gas chromatography (Agilent 6890, Kyoto, Japan) analysis The collection time was between 9:00 a.m. and 11:00 a.m. The calculation of GHG fluxes is as follows:
where F is the gas flux (µg·m−2·h−1); M is the molar mass of the gas (g·mol−1); V0 is the molar volume (22.4 L·mol−1) of the gas under standard conditions (temperature at 273.15 K, air pressure at 101.325 kPa); P0 and T0 are the air pressure and temperature under standard conditions, respectively. P and T are the air pressure and temperature of the sampling site, respectively. H is the height of the sampling chamber. The dCt/dt is the slope of the straight line of the gas concentration in the chamber during observation, with positive values indicating emission and negative values indicating absorption.
During the reproductive life of the wheat, gas was measured every two weeks from seeding to the tillering stage before winter, while being measured weekly from regreening to harvest. No observation was conducted during the overwintering period. Cumulative emissions over the entire reproductive period were calculated as follows:
where Fi is the mean gas flux (mg·kg−1·h−1) of the two successive sampling dates, Di is the number of days in the sampling interval, and n is the sampling sequence.
2.4. Indirect GHG Emissions
Most indirect GHG emissions in wheat production are from the carbon input of agricultural management, mainly including (1) the processing and production of agro-production means such as seeds, fertilizers, and pesticides; (2) diesel consumption from the machinery operation, for instance, farming, sowing, harvesting, and returning straw to the field; and (3) electricity consumption of irrigation (Formula (5)) [7,33]:
where Eindirect (kg CO2-eq·ha−1) is the total amount of GHG emissions from agro-management. Ai is the input quantity of the ith agro-management (kg·ha−1 or kWh·ha−1) (Table 2); δi is the GHG emission factor (kg CO2-eq·kg−1 or kg CO2-eq·kWh−1) of the input for the ith agro-management (Table 2). The δi values of seed, herbicide, and pesticide were obtained from the Ecoinvent v2.2 (Swiss Centre for Life Cycle Inventories, Dubendorf, Switzerland). Other δi values were from the Chinese Life Cycle Database (CLCD v0.7, IKE Environmental Technology CO., Ltd., Chengdu, China).
Table 2.
Agricultural inputs in wheat production and CO2 emission factors (δi in kg CO2-eq·kg−1 or kg CO2-eq·kWh−1).
2.5. Calculation of Carbon Footprint
According to the method provided by Gan et al. (2014) [5], the carbon footprint in crop production can be determined using two metrics. The first is the amount of GHGs emitted per unit area, denoted as CFa (kg CO2-eq·ha−1, Formula (6)). Another is the amount of GHGs produced per kg of the grain, denoted as CFy (kg CO2-eq·kg−1, Formula (7)) [5]. According to the Life Cycle Assessment method, the life cycle of the carbon footprint in wheat production is calculated from wheat sowing to harvest. When calculating the carbon footprint, the total direct emission of N2O from the soil in crop fields was taken into account, while the total CO2 emission was not considered because the assimilation of CO2 in plants was higher than its emission [34].
where Y represents the dry weight of wheat grain yield (kg·ha−1).
CFa = Eindirect + EN2O − δSOC
CFy = CFa/Y
2.6. Statistical Analysis
The analysis of variance (ANOVA) was carried out to test the significant levels of differences in wheat yield, soil N2O emission, SOC sequestration, CFa, and CFy across tillage treatments and experimental sites, using the SPSS 20.0 software package (SPSS Inc., Chicago, IL, USA) at a significant level of variation of p < 0.05.
The recursive feature elimination was conducted to quantify the contributions of each agricultural factor to the carbon footprint of yield. The recursive feature elimination is a wrapper method that selects the informative variables for model construction and evaluates the relative importance of each variable. The sum of the relative importance values of all variables equals to 100%. High relative importance values indicate the high importance of variables to model outputs. This study applied three machine learning algorithms in recursive feature elimination, including the classification and regression tree (CART), random forest (RF), and extreme gradient boosting (XGB) models using Python 3.9.
3. Results
3.1. The Contributors to Carbon Footprint
3.1.1. N2O Emission
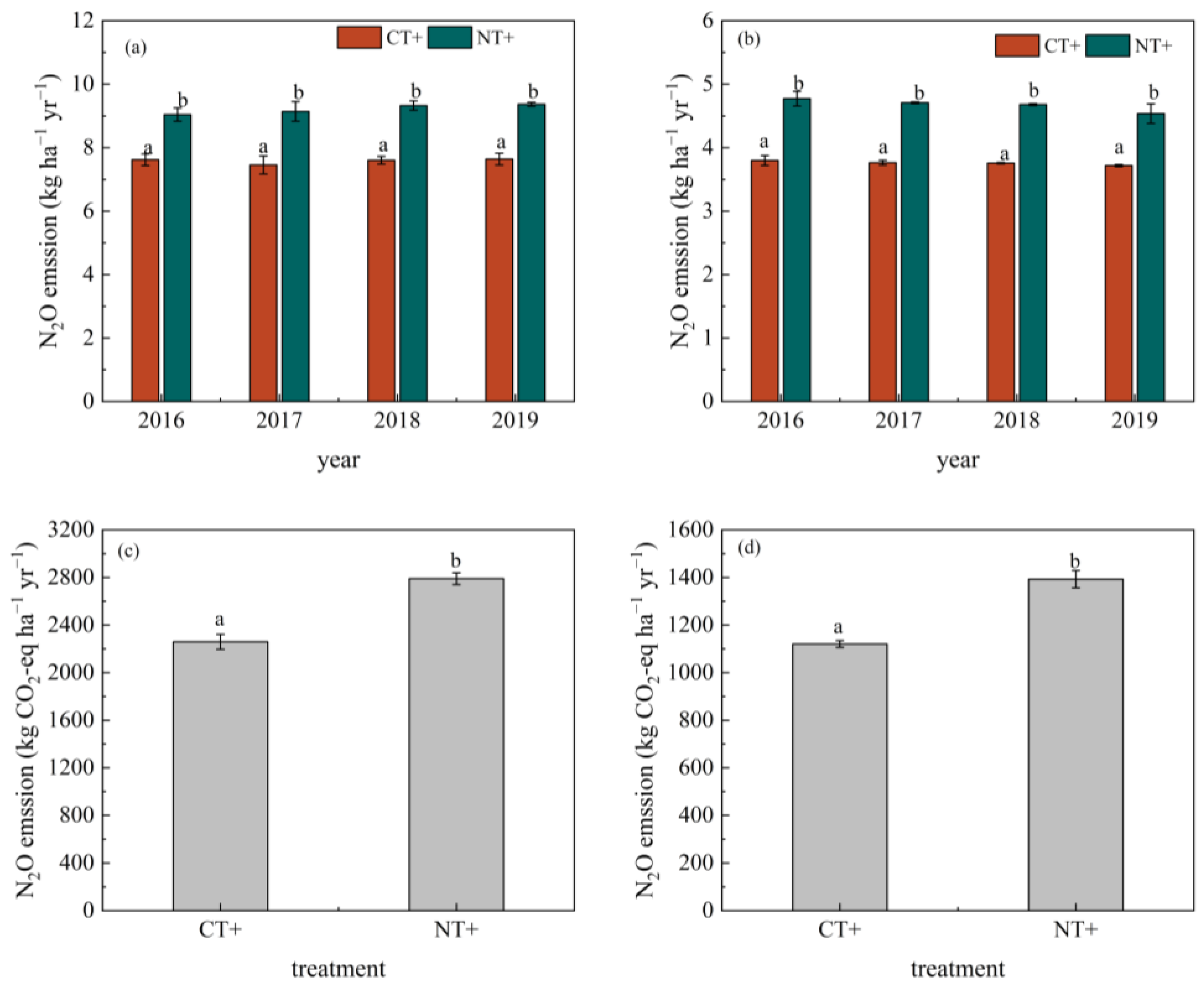
Comparing the two sites, the annual cumulative soil N2O emissions from 2016 to 2019 were 7.62–9.37 and 3.71–4.77 kg·ha−1·yr−1 at Wudi and Yucheng, respectively (Figure 2a,b). The higher N2O emission in Wudi compared to Yucheng indicated that the N2O emission was boosted in the salt-affected soil.
Figure 2.
Soil N2O emissions from 2016 to 2019 at Wudi (a) and Yucheng (b); four-year average N2O emissions at Wudi (c) and Yucheng sites (d). CT+ is crop residue incorporated into soil with plough tillage, NT+ is crop residue mulching soil with no-till. The small letters indicate the significant differences across treatments at p < 0.05 level.
Comparing two crop residue management, the annual cumulative soil N2O emissions in the CT+ and NT+ treatments at Wudi were 2259 and 2790 kg CO2-eq·ha−1·yr−1, respectively (Figure 2c); whereas the annual cumulative soil N2O emissions were 1120 and 1393 kg CO2-eq·ha−1·yr−1 in the CT+ and NT+ treatments at Yucheng, respectively (Figure 2d). The results that higher N2O emissions in the NT+ treatment suggested that crop residue incorporated into the soil with the plough tillage significantly reduced N2O emissions.
3.1.2. Carbon Sequestration
From 2015 to 2019, the SOC values at Wudi under the CT+ treatment increased from 7.27 to 8.69 g·kg−1, and those under the NT+ increased from 7.21 to 7.79 g·kg−1 in 2019 (Figure 3a). At the Yucheng site, the SOC values were initially 10.51 and 10.13 g·kg−1 in 2015 under the CT+ and NT+ treatments, respectively, while increasing to 11.44 and 10.79 g·kg−1 in 2019, respectively (Figure 3a). The δSOC was higher in the CT+ than in the NT+ treatments at two experimental sites, and the δSOC of the CT+ treatment in Wudi was higher than in Yucheng (Figure 3b). The above-mentioned results indicated that, with the increasing time of reclaiming, crop residue contributed to the improvement of the SOC in the salt-affected soil. In particular, incorporating crop residue into the soil with the plough tillage was able to sequestrate more carbon into the soil.
Figure 3.
SOC (a) and δSOC (b) in the CT+ and NT+ treatments at Wudi (WD) and Yucheng (YC) sites CT+ is crop residue incorporated into the soil with plough tillage, NT+ is crop residue mulching soil with no-till. The small letters indicate the significant differences across treatments at p < 0.05 level.
3.1.3. Wheat Grain Yield
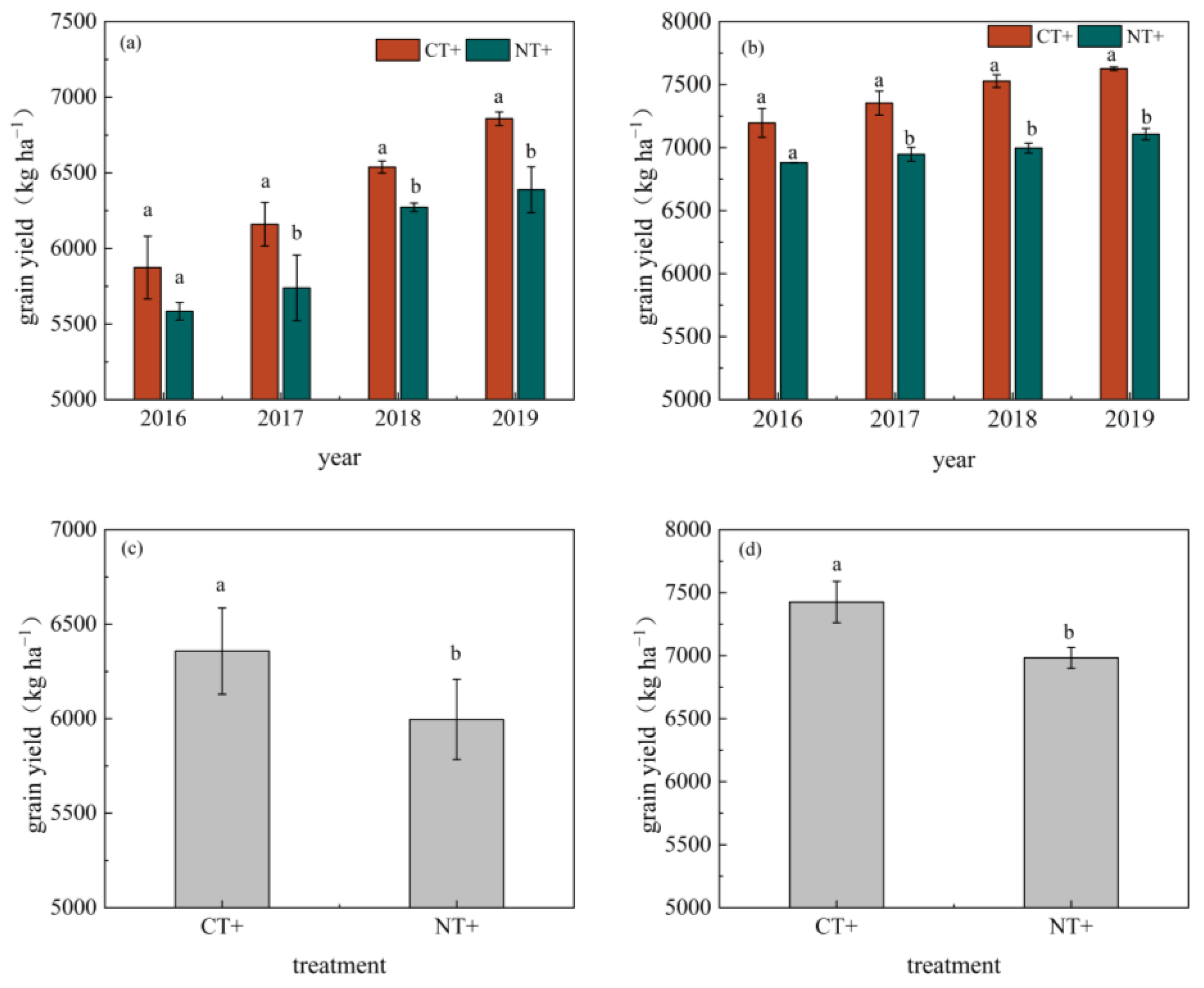
The wheat grain yield values at both Wudi and Yucheng increased steadily from 2016 to 2019 (Figure 4a,b). Specifically, the wheat yield values at Wudi and Yucheng were 5584–6858 kg·ha−1 and 6881–7426 kg·ha−1, respectively. The reason why wheat yield at Wudi was lower than that at Yucheng (p = 0.00, p < 0.05) could be explained by the soil being salt-affected in Wudi.
Figure 4.
Grain yield of wheat from 2016 to 2019 at (a) Wudi and (b) Yucheng; four-year average grain yield at (c) Wudi and (d) Yucheng sites. CT+ is crop residue incorporated into the soil with plough tillage, NT+ is crop residue mulching soil with no-till. The small letters indicate the significant differences across treatments at p < 0.05 level.
The four-year average grain yield values in the CT+ treatment and NT+ treatment in Wudi were 6357 and 5996 kg·ha−1, respectively (Figure 4c), whereas the four-year average grain yield values in the CT+ treatment and NT+ treatment in Yucheng were 7426 and 6983 kg·ha−1, respectively (Figure 4d). The results above indicated that crop residue incorporated into the soil with the plough tillage substantially enhanced wheat grain yield.
3.2. The Carbon Footprint in Wheat Production
3.2.1. Carbon Footprint per Unit Area in Wheat Production
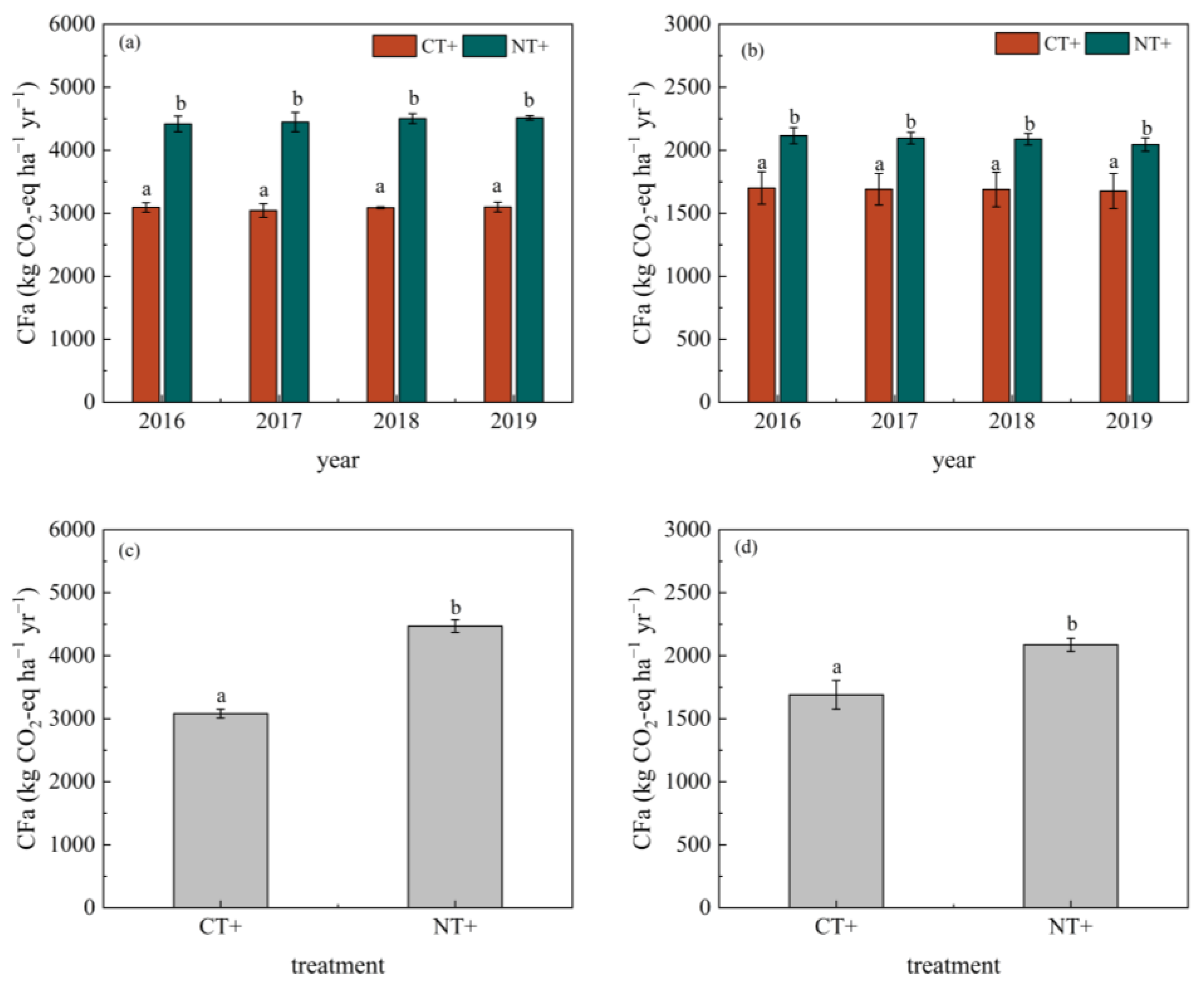
The CFa of wheat production at Wudi ranged from 3094 to 4514 kg CO2-eq·ha−1·yr−1, and that at Yucheng ranged from 1677 kg to 2046 kg CO2-eq·ha−1·yr−1(Figure 5a,b). The results suggested that wheat production in the salt-affected soil tended to have a higher carbon footprint per unit area than in the non-saline soil.
Figure 5.
CFa of wheat production from 2016 to 2019 at (a) Wudi and (b) Yucheng; four-year average CFa at (c) Wudi and (d) Yucheng sites. CT+ is crop residue incorporated into the soil with plough tillage, NT+ is crop residue mulching soil with no-till. The small letters indicate the significant differences across treatments at p < 0.05 level.
From 2016 to 2019, the mean CFa of wheat production in the CT+ treatment and NT+ treatment at Wudi was 3081 and 4471 kg CO2-eq·ha−1·yr−1, respectively (Figure 5c); the mean CFa of wheat production in the CT+ treatment and NT+ treatment at Yucheng was 1689 and 2087 kg CO2-eq·ha−1·yr−1, respectively (Figure 5d). Compared to the NT+ treatment, the reduction in the CFa in the CT+ treatment was 31.1% and 19% at Wudi and Yucheng, respectively. The results indicated that crop residue incorporated into the soil with plough tillage could significantly reduce the CFa of wheat production in salt-affected and non-salinized farmland, especially with a slightly higher reduction in salt-affected farmland
3.2.2. Carbon Footprint per Unit Yield in Wheat Production
The CFy values of wheat production at Wudi and Yucheng were 0.45–0.71 and 0.22–0.29 kg CO2-eq·kg−1·yr−1, respectively (Figure 6a,b). The CFy of wheat production at Wudi was notably higher than that at Yucheng (p = 0.00, p < 0.05), indicating that wheat production in the salt-affected soil was prone to higher carbon emission per unit yield than in the non-saline soil.
Figure 6.
The CFy of wheat production from 2016 to 2019 at (a) Wudi and (b) Yucheng; four-year average CFy at (c) Wudi and (d) Yucheng sites. CT+ is crop residue incorporated into the soil with plough tillage, NT+ is crop residue mulching soil with no-till. The small letters indicate the significant differences across treatments at p < 0.05 level.
From 2016 to 2019, the Cfy of wheat production decreased with increasing the time of reclaiming in the salt-affected soil (Figure 6a,b). This suggested that crop residue was able to reduce CFy effectively with the increasing time of reclaiming. The average CFy of wheat production in the CT+ treatment and NT+ treatment at Wudi was 0.47 and 0.75 kg CO2-eq·kg−1·yr−1, respectively (Figure 6c), whereas those at Yucheng were 0.23 and 0.30 kg CO2-eq·kg−1·yr−1, respectively (Figure 6d). Compared to the NT+ treatment, the reduction in CFy in the CT+ treatment at Wudi and Yucheng was 37% and 23%, respectively. These results showed that crop residue incorporated into the soil with the plough tillage could remarkably reduce the CFy of wheat production in salt-affected and non-salinized farmland, especially with a slightly higher reduction occurring in salt-affected farmland.
3.3. Correlations between Carbon Footprint and Contributors
3.3.1. The Relative Contributions of Factors to Carbon Footprint per Unit Area in Wheat Production
Among the CFa components of wheat production, N2O emission contributed the most, accounting for 40% and 29% at Wudi and Yucheng, respectively (Figure 7). Nitrogen fertilizer production was the second contributor, with relative contributions of 29% and 28% at Wudi and Yucheng, respectively (Figure 7). Soil carbon sequestration was the third contributor, with negative shares of 20% (Wudi) and 28% (Yucheng) (Figure 7). Diesel for machinery, seeds, and pesticides contributed less to the CFa, accounting for less than 20% (Figure 7). These results showed that N2O emission, nitrogen fertilizer production, and soil organic carbon sequestration were essential factors of the CFa in wheat production.
Figure 7.
The relative contributions of factors to the CFa of wheat production at Wudi (a) and Yucheng (b). CT+ is crop residue incorporated into the soil with plough tillage, NT+ is crop residue mulching soil with no-till.
The relative contributions of N2O emission in the CT+ treatment were 34% and 25% at Wudi and Yucheng, respectively, significantly lower than that in the NT+ treatment (Figure 7). By contrast, the relative contributions of carbon sequestration in the CT+ treatment were 27% and 31% at Wudi and Yucheng, considerably higher than that in the NT+ treatment (Figure 7). These results indicated that crop residue incorporated into the soil with the plough tillage could reduce the CFa of wheat production by reducing N2O emission and increasing soil organic carbon sequestration.
3.3.2. The Relative Contributions of Contributors to the Carbon Footprint per Unit Yield of Wheat Production
The results of the recursive feature elimination with three machine learning approaches showed that soil organic carbon sequestration was the most crucial factor for the CFy in Wudi, with relative importance values ranging from 47% to 50% for the three models (Table 3). This was followed by wheat grain yield and the N2O emission, with relative importance values of 24–25% and 22–24%, respectively (Table 3). In Yucheng, N2O emission played a decisive role in Cfy, with a relative importance value of 45–50%, followed by soil organic carbon sequestration (25–26%) and grain yield (25–25%) (Table 3). Overall, the relative importance of soil organic carbon sequestration was the highest, with a value of 40–42%, followed by grain yield (29–31%) and N2O emission (25–27%) (Table 3). This result indicated that soil organic carbon was the most critical factor to the CFy, followed by wheat grain yield and N2O emission.
Table 3.
Relative importance values of each contributor to the CFy of wheat production.
4. Discussion
4.1. Crop Residue Management Affecting Carbon Footprint Contributors
4.1.1. Crop Residue Management Affecting N2O Emission
In this study, the salt-affected soils had a higher N2O emission than the non-saline soils across the treatments, which was consistent with previous studies that soil salinity boosted N2O emission, and N2O emission improved with the increasing soil salt, especially under crop residue management [13,35]. It has been proven that soil salinity increased the contribution of nitrification to N2O emission and inhibited N2O reductase activity, and that the N2O emission therefore increased [13,35]. In addition, the salt solution reduced the dissolved N2O, and thus more N2O was released into the atmosphere [36].
Our results showed that soil N2O emissions were lower in the CT+ treatment than in NT+ treatment, indicating that crop residue incorporated into the soil with the plough tillage significantly reduced N2O emission. Soil with good aeration under tillage practice was able to eliminate the effect of denitrification on N2O emission. Moreover, straw incorporated into the soil could stimulate the multiplication of fungi and fix exogenous nitrogen in the soil [37,38]. Therefore, the soil N2O emission was reduced in the CT+ treatment. Regarding the NT+ treatment, the high moisture content and the poor aeration increased the soil denitrification rates [39,40,41], so a large amount of N2O was emitted from the soil. N2O emission is closely related to soil texture under different tillage practices. No-till did not increase N2O emissions on sandy soils with high aeration [42]. In this study, the test soil belongs to fluvo-aquic soil with 66% chalky sand and 22% clay with poor aeration [43]. Therefore, crop residue incorporated into the soil with the plough tillage decreases the N2O emission.
4.1.2. Crop Residue Management Affecting Carbon Sequestration
Compared to 2016, the SOC significantly increased in the salt-affected and non-saline soils in 2019; this might be caused by the crop residues increasing soil-activated and insoluble organic carbon [44,45]. The result of this study indicated that carbon sequestration was significantly higher in the CT+ than NT+ treatment both in salt-affected and non-saline soils, which agreed with the previous study [4,24,25]. The plough tillage incorporated crop residue into soil stimulated microbial activity and facilitated the soil aggregate formation so as to increase carbon sequestration [24]. In addition, the tillage loosened the soil down to the depth of 15–35 cm (sometimes down to 50–60 cm), and crop roots grew vigorously, so the carbon input from the roots contributed to the soil carbon sequestration [25,46]. By contrast, some studies also found that the SOC was higher under the NT+ than the CT+ treatment [45], which might be explained by the fact that crop residue mulching on the soil with no-till reduced the frequency of soil disturbance and protected the SOC from loss and decomposition, resulting in SOC enhancement in the topsoil [47]. However, it has been established that the decomposition of the SOC due to tillage disturbance can be offset by the input of carbon [25]. Thus, the carbon sequestration was still significantly increased when crop residue was incorporated into the soil by the plough tillage [48].
We further note that δSOC under the CT+ treatment in the salt-affected soil was higher compared with the non-saline soils, which is because the salinity could inhibit microbial activity and decrease the decomposition of straw and SOC in the CT+ treatment; thus, CO2 emissions were reduced, and more carbon was fixed in the soil [49]. Under such a context, crop residue incorporated into the soil with the plough tillage can be an effective practice for enhancing carbon sequestration and the reclamation of salt-affected soil. Other tillage methods (e.g., use cultivator) may cause similar or better impacts on the SOC or yield. Hence, the impacts of different tillage methods on carbon footprint should be further analyzed in future research.
4.1.3. Crop Residue Management Affecting Wheat Yield
Wheat grain yield was lower in salt-affected farmland compared with non-saline farmland, presumably due to the effects of soil salinity. Soil salinity limits water and nutrient uptake by the plant roots, thus reducing crop productivity [11]. On the other hand, the toxic effects of ions (i.e., Na+, Cl−1) are the second type of stress to which plants may be subjected. Many studies found that soil salinity reduced food production in many countries, with a reduction ranging from 13.3 to 58.3% [16]. Our results showed that crop residue incorporated into the soil with the plough tillage significantly increased wheat grain yields, which presumable was attributed to the higher SOC in the CT+ treatment. Increasing the SOC could promote fertilization use efficiency and nutrient release, thereby enhancing crop production [50]. In particular, the SOC storage was positively correlated with crop yield in the 30 cm soil layer [51]. In addition, the tillage provided a beneficial environment for seed germination and emergence, as well as crop root growth, increasing wheat grain yield [52].
4.2. Carbon Footprint per Unit Area and Carbon Footprint per Unit Yield of Wheat Production in Salt-Affected and Non-Saline Soil
The carbon footprint per unit area and the carbon footprint per unit yield of wheat production are influenced by planting practices, crop management, nitrogen fertilizer, and by whether carbon sequestration is taken into account when calculating the carbon footprint, and they are related with soil quality in different sites [4,53,54]. We found that the CFa and CFy of wheat production in salt-affected farmland were higher compared with non-saline farmland, which was attributed to the higher carbon emission and the lower crop productivity. Carbon emissions are not only from agricultural carbon inputs but also from soil N2O emissions [5,6]. In this study, soil N2O emission, nitrogen fertilizer production, and soil organic carbon sequestration were important components of the CFa in wheat production, with relative contributions exceeding 80%. N2O emission was the first contributor, and the relative contribution was 40% in the salt-affected soils. Thus, the higher N2O emission led to a higher carbon footprint of wheat production in salt-affected farmland. Some studies also have shown that increased N2O emission can significantly contribute to the CFa [5,6,7]. Because the same fertilization inputs were used for all the crop management study herein, the differences in N2O emissions were primarily caused by the soil salinity. For the CFy of wheat production, carbon sequestration in the salt-affected soils ranked first with a relative importance value of 47–50%, followed by wheat yield, with relative importance ranging 24% to 25%. Thus, increased carbon sequestration and yield consequently could reduce the CFy in salt-affected farmland. Previous studies have shown that increases in soil carbon sequestration could reduce the CFa by offsetting total GHG emissions [5], and reduce the CFy by enhancing crop yields [55]. Liu et al. [56] indicated that higher crop yields and annual changes in SOC storage contributed to the reduction in CFy. Therefore, reducing N2O emission and increasing carbon sequestration are critical to decreasing the carbon footprint of wheat production in salt-affected farmland. The above result answers the second scientific question very well, and it has meaningful guidance to make reasonable agricultural measures for the reclamation of salt-affected land.
We found that crop residue incorporated into the soil with the plough tillage could remarkably reduce the CFa and CFy of wheat production in salt-affected and non-salinized farmland, although a slightly higher reduction occurred in salt-affected farmland. This explained the first scientific question, which can provide a reasonable agricultural strategy for reclamation and utilization in salt-affected soil. In this study, crop residue incorporated into the soil with the plough tillage can reduce the carbon footprint of wheat production by decreasing N2O emission, improving carbon sequestration and enhancing wheat yields. This is similar to previous studies [28,29,55]. Wang et al. [29] indicated that straw returned to soil with conventional tillage can produce a lower carbon footprint and higher grain yields, as a higher carbon sequestration. However, Yadav et al. reported that no-till cultivation required 48.5% less mechanical fuels compared to conventional tillage [57]. The contribution of diesel consumption to the CFa was 5–10% in this study, and did not affect the carbon footprint of wheat production. We further found that crop residue incorporated into the soil with the plough tillage was more beneficial to reduce the CFa and CFy of wheat production in salt-affected farmland, which was attributed to lower N2O emission and higher carbon sequestration in the CT+ treatment than in the NT+ treatment. Therefore, crop residue incorporated into the soil with the plough tillage is the most recommended agricultural practice for wheat production in the reclamation and utilization of salt-affected farmland, which can effectively reduce the carbon footprint and enhance the crop yield and is important for climate change mitigation and achieving carbon neutrality goal.
5. Conclusions
Both carbon footprint per unit area and carbon footprint per unit yield in wheat production were larger in salt-affected farmland compared with non-saline farmland. Soil N2O emission was the first largest contributor to the carbon footprint per unit area (40%), and soil organic carbon sequestration is the most important contributor for the carbon footprint per unit yield (47–50%) of wheat production in salt-affected farmland. Therefore, appropriate farming practices that are in favor to reduce soil N2O emission and increase carbon sequestration could be effective in decreasing the carbon footprint of wheat production in salt-affected farmland. We strongly recommend incorporating crop residue into the soil with the plough tillage as the results of significantly reduced soil N2O emission and increased carbon sequestration and enhanced wheat yield for reducing the carbon footprint of wheat production in salt-affected farmland.
Author Contributions
B.L.: Conceptualization, data curation, investigation, methodology, formal analysis, writing and editing, investigation. L.W.: methodology, supervision, project administration, writing and editing. W.Z.: software, writing and editing. C.Q.: methodology, writing and editing. J.Z.: investigation. W.H.: conceptualization, methodology, supervision, resources, writing and editing. All authors have read and agreed to the published version of the manuscript.
Funding
This research was supported by the National Key Research and Development Program of China (No. 2019YFD1002703), Hainan Provincial Natural Science Foundation of China (ZDYF2021SHFZ062), and the National Key Research and Development Program of China (No. 2013BAD05B03).
Data Availability Statement
Not applicable, for more needs can contact the first author.
Acknowledgments
We thank the station of Yucheng Comprehensive Experiment Station of the Chinese Academy of Sciences for field and lab assistance.
Conflicts of Interest
The authors declare no conflict of interest.
References
- IPCC. Climate change 2021: The physical science basis: Working Group I contribution to the Fifth assessment report of the Intergovernmental Panel on Climate Change. In Intergovernmental POCC; Cambridge University Press: New York, NY, USA, 2021. [Google Scholar]
- NDRC. Second Biennial Update on the Climate Change in the People’s Republic of China; NDRC: Beijing, China, 2018.
- ISO. Greenhouse Gases–Carbon Footprint of Products–Requirements and Guidelines for Quantification and Communication; ISO: Switzerland, Geneva, 2013; Volume 1. [Google Scholar]
- He, L.; Zhang, A.; Wang, X.; Li, J.; Hussain, Q. Effects of different tillage practices on the carbon footprint of wheat and maize production in the Loess Plateau of China. J. Clean. Prod. 2019, 234, 297–305. [Google Scholar] [CrossRef]
- Gan, Y.; Liang, C.; Chai, Q.; Lemke, R.L.; Campbell, C.A.; Zentner, R.P. Improving farming practices reduces the carbon footprint of spring wheat production. Nat. Commun. 2014, 5, 5012. [Google Scholar] [CrossRef]
- Dhaliwal, S.S.; Naresh, R.K.; Gupta, R.K.; Panwar, A.S.; Mahajan, N.C.; Singh, R.; Mandal, A. Effect of tillage and straw return on carbon footprints, soil organic carbon fractions and soil microbial community in different textured soils under rice–wheat rotation: A review. Rev. Environ. Sci. Bio/Technol. 2020, 19, 103–115. [Google Scholar] [CrossRef]
- Alhajj Ali, S.; Tedone, L.; Verdini, L.; De Mastro, G. Effect of different crop management systems on rainfed durum wheat greenhouse gas emissions and carbon footprint under Mediterranean conditions. J. Clean. Prod. 2017, 140, 608–621. [Google Scholar] [CrossRef]
- Bajgai, Y.; Yeshey, Y.; De Mastro, G.; Ghimiray, M.; Chhogyel, N.; Tshewang, S.; Alhajj Ali, S. Influence of nitrogen application on wheat crop performance, soil properties, greenhouse gas emissions and carbon footprint in central Bhutan. Environ. Dev. 2019, 32, 100469. [Google Scholar] [CrossRef]
- Bai, J.; Li, Y.; Zhang, J.; Xu, F.; Bo, Q.; Wang, Z.; Li, Z.; Li, S.; Shen, Y.; Yue, S. Straw returning and one-time application of a mixture of controlled release and solid granular urea to reduce carbon footprint of plastic film mulching spring maize. J. Clean. Prod. 2021, 280, 124478. [Google Scholar] [CrossRef]
- Yang, R.; Su, Y.; Kong, J. Effect of tillage, cropping, and mulching pattern on crop yield, soil C and N accumulation, and carbon footprint in a desert oasis farmland. Soil Sci. Plant Nutr. 2017, 63, 599–606. [Google Scholar] [CrossRef]
- Xie, W.; Wu, L.; Zhang, Y.; Wu, T.; Li, X.; Ouyang, Z. Effects of straw application on coastal saline topsoil salinity and wheat yield trend. Soil Tillage Res. 2017, 169, 1–6. [Google Scholar] [CrossRef]
- Shi, Y.; Liu, X.; Zhang, Q.; Li, G.; Wang, P. Biochar rather than organic fertilizer mitigated the global warming potential in a saline-alkali farmland. Soil Tillage Res. 2022, 219, 105337. [Google Scholar] [CrossRef]
- Zhang, L.; Song, L.; Wang, B.; Shao, H.; Zhang, L.; Qin, X. Co-effects of salinity and moisture on CO2 and N2O emissions of laboratory-incubated salt-affected soils from different vegetation types. Geoderma 2018, 332, 109–120. [Google Scholar] [CrossRef]
- Wong, V.N.L.; Dalal, R.C.; Greene, R.S.B. Carbon dynamics of sodic and saline soils following gypsum and organic material additions: A laboratory incubation. Appl. Soil Ecol. 2009, 41, 29–40. [Google Scholar] [CrossRef]
- Zhang, Z.S.; Chen, J.; Liu, T.Q.; Cao, C.G.; Li, C.F. Effects of nitrogen fertilizer sources and tillage practices on greenhouse gas emissions in paddy fields of central China. Atmos. Environ. 2016, 144, 274–281. [Google Scholar] [CrossRef]
- Haj-Amor, Z.; Araya, T.; Kim, D.; Bouri, S.; Lee, J.; Ghiloufi, W.; Yang, Y.; Kang, H.; Jhariya, M.K.; Banerjee, A.; et al. Soil salinity and its associated effects on soil microorganisms, greenhouse gas emissions, crop yield, biodiversity and desertification: A review. Sci. Total Environ. 2022, 843, 156946. [Google Scholar] [CrossRef] [PubMed]
- Ghosh, U.; Thapa, R.; Desutter, T.; He, Y.; Chatterjee, A. Saline–Sodic Soils: Potential Sources of Nitrous Oxide and Carbon Dioxide Emissions? Pedosphere 2017, 27, 65–75. [Google Scholar] [CrossRef]
- Zhang, L.; Shao, H.; Wang, B.; Zhang, L.; Qin, X. Effects of nitrogen and phosphorus on the production of carbon dioxide and nitrous oxide in salt-affected soils under different vegetation communities. Atmos. Environ. 2019, 204, 78–88. [Google Scholar] [CrossRef]
- Zhao, Y.; Li, Y.; Wang, J.; Pang, H.; Li, Y. Buried straw layer plus plastic mulching reduces soil salinity and increases sunflower yield in saline soils. Soil Tillage Res. 2016, 155, 363–370. [Google Scholar] [CrossRef]
- Ning, J.; Lou, S.; Guo, Y. Appropriate N fertilizer addition mitigates N2O emissions from forage crop fields. Sci. Total Environ. 2022, 829, 154628. [Google Scholar] [CrossRef]
- Lin, X.W.; Xie, Z.B.; Zheng, J.Y.; Liu, Q.; Bei, Q.C.; Zhu, J.G. Effects of biochar application on greenhouse gas emissions, carbon sequestration and crop growth in coastal saline soil. Eur. J. Soil Sci. 2015, 66, 329–338. [Google Scholar] [CrossRef]
- Yu, Y.; Zhao, C.; Zheng, N.; Jia, H.; Yao, H. Interactive effects of soil texture and salinity on nitrous oxide emissions following crop residue amendment. Geoderma 2019, 337, 1146–1154. [Google Scholar] [CrossRef]
- Lal, R. Soil carbon sequestration impacts on global climate change and food security. Science 2004, 304, 1623–1627. [Google Scholar] [CrossRef]
- Zhao, X.M.; He, L.; Zhang, Z.D.; Wang, H.B.; Zhao, L.P. Simulation of accumulation and mineralization (CO2 release) of organic carbon in chernozem under different straw return ways after corn harvesting. Soil Tillage Res. 2016, 156, 148–154. [Google Scholar] [CrossRef]
- Luo, Z.; Wang, E.; Sun, O.J. Can no-tillage stimulate carbon sequestration in agricultural soils? A meta-analysis of paired experiments. Agric. Ecosyst. Environ. 2010, 139, 224–231. [Google Scholar] [CrossRef]
- Tanveer, S.K.; Wen, X.; Lu, X.L.; Zhang, J.; Liao, Y.; Bond-Lamberty, B. Tillage, mulch and N fertilizer affect emissions of CO2 under the rain fed condition. PLoS ONE 2013, 8, e72140. [Google Scholar] [CrossRef] [PubMed]
- Liu, C.; Lu, M.; Cui, J.; Li, B.; Fang, C. Effects of straw carbon input on carbon dynamics in agricultural soils: A meta-analysis. Glob. Chang. Biol. 2014, 20, 1366–1381. [Google Scholar] [CrossRef] [PubMed]
- Li, S.; Hu, M.; Shi, J.; Tian, X.; Wu, J. Integrated wheat-maize straw and tillage management strategies influence economic profit and carbon footprint in the Guanzhong Plain of China. Sci. Total Environ. 2021, 767, 145347. [Google Scholar] [CrossRef] [PubMed]
- Wang, Z.; Zhang, H.; Lu, X.; Wang, M.; Chu, Q.; Wen, X.; Chen, F. Lowering carbon footprint of winter wheat by improving management practices in North China Plain. J. Clean. Prod. 2016, 112, 149–157. [Google Scholar] [CrossRef]
- Schumacher, B.A. Methods for the Determination of Total Organic Carbon (TOC) in Soils and Sediments; U. S. Environmental Protection Agency, Ecological Risk Assesment Support Center: Washington, DC, USA, 2002. [Google Scholar]
- Díaz-Zorita, M.; Grosso, G.A. Effect of soil texture, organic carbon and water retention on the compactability of soils from the Argentinean pampas. Soil Tillage Res. 2000, 54, 121–126. [Google Scholar] [CrossRef]
- Gong, H.; Li, J.; Sun, M.; Xu, X.; Ouyang, Z. Lowering carbon footprint of wheat-maize cropping system in North China Plain: Through microbial fertilizer application with adaptive tillage. J. Clean. Prod. 2020, 268, 122255. [Google Scholar] [CrossRef]
- Jiang, Z.; Zhong, Y.; Yang, J.; Wu, Y.; Li, H.; Zheng, L. Effect of nitrogen fertilizer rates on carbon footprint and ecosystem service of carbon sequestration in rice production. Sci. Total Environ. 2019, 670, 210–217. [Google Scholar] [CrossRef]
- IPCC. Climate change 2013: The physical science basis: Working Group I contribution to the Fifth assessment report of the Intergovernmental Panel on Climate Change. In Intergovernmental POCC; Cambridge University Press: New York, NY, USA, 2013. [Google Scholar]
- Zheng, N.; Yu, Y.; Li, Y.; Ge, C.; Chapman, S.J.; Yao, H. Can aged biochar offset soil greenhouse gas emissions from crop residue amendments in saline and non-saline soils under laboratory conditions? Sci. Total Environ. 2022, 806, 151256. [Google Scholar] [CrossRef]
- Cayuela, M.L.; Sánchez-Monedero, M.A.; Roig, A.; Hanley, K.; Enders, A.; Lehmann, J. Biochar and denitrification in soils: When, how much and why does biochar reduce N2O emissions? Sci. Rep. 2013, 3, 1732. [Google Scholar] [CrossRef] [PubMed]
- Liu, X.; Dong, W.; Jia, S.; Liu, Q.; Li, Y.; Hossain, M.E.; Liu, E.; Kuzyakov, Y. Transformations of N derived from straw under long-term conventional and no-tillage soils: A 15N labelling study. Sci. Total Environ. 2021, 786, 147428. [Google Scholar] [CrossRef]
- Yan, D.; Long, X.; Ye, L.; Zhang, G.; Hu, A.; Wang, D.; Ding, S. Effects of salinity on microbial utilization of straw carbon and microbial residues retention in newly reclaimed coastal soil. Eur. J. Soil Biol. 2021, 107, 103364. [Google Scholar] [CrossRef]
- Hu, N.; Chen, Q.; Zhu, L. The Responses of Soil N2O Emissions to Residue Returning Systems: A Meta-Analysis. Sustainability 2019, 11, 748. [Google Scholar] [CrossRef]
- Tenesaca, C.G.; Al-Kaisi, M.M. In-field management of corn cob and residue mix: Effect on soil greenhouse gas emissions. Appl. Soil Ecol. 2015, 89, 59–68. [Google Scholar] [CrossRef]
- Li, J.; Li, H.; Zhang, Q.; Shao, H.; Gao, C.; Zhang, X. Effects of fertilization and straw return methods on the soil carbon pool and CO2 emission in a reclaimed mine spoil in Shanxi Province, China. Soil Tillage Res. 2019, 195, 104361. [Google Scholar] [CrossRef]
- Zhang, W.; Zhou, G.; Li, Q.; Liao, N.; Guo, H.; Min, W.; Ma, L.; Ye, J.; Hou, Z. Saline water irrigation stimulate N2O emission from a drip-irrigated cotton field. Acta Agric. Scand. Sect. B Soil Plant Sci. 2016, 66, 141–152. [Google Scholar] [CrossRef]
- Rochette, P. No-till only increases N2O emissions in poorly-aerated soils. Soil Tillage Res. 2008, 101, 97–100. [Google Scholar] [CrossRef]
- Li, Y.; Duan, Y.; Wang, G.; Wang, A.; Shao, G.; Meng, X.; Hu, H.; Zhang, D. Straw alters the soil organic carbon composition and microbial community under different tillage practices in a meadow soil in Northeast China. Soil. Tillage Res. 2021, 208, 104879. [Google Scholar] [CrossRef]
- Kinoshita, R.; Schindelbeck, R.R.; van Es, H.M. Quantitative soil profile-scale assessment of the sustainability of long-term maize residue and tillage management. Soil Tillage Res. 2017, 174, 34–44. [Google Scholar] [CrossRef]
- Baker, J.M.; Ochsner, T.E.; Venterea, R.T.; Griffis, T.J. Tillage and soil carbon sequestration—What do we really know? Agric. Ecosyst. Environ. 2007, 118, 1–5. [Google Scholar] [CrossRef]
- Abbas, F.; Hammad, H.M.; Ishaq, W.; Farooque, A.A.; Bakhat, H.F.; Zia, Z.; Fahad, S.; Farhad, W.; Cerdà, A. A review of soil carbon dynamics resulting from agricultural practices. J. Environ. Manag. 2020, 268, 110319. [Google Scholar] [CrossRef] [PubMed]
- Huang, T.; Yang, N.; Lu, C.; Qin, X.; Siddique, K.H.M. Soil organic carbon, total nitrogen, available nutrients, and yield under different straw returning methods. Soil Tillage Res. 2021, 214, 105171. [Google Scholar] [CrossRef]
- Hu, Y.; Wang, L.; Fu, X.; Yan, J.; Wu, J.; Tsang, Y.; Le, Y.; Sun, Y. Salinity and nutrient contents of tidal water affects soil respiration and carbon sequestration of high and low tidal flats of Jiuduansha wetlands in different ways. Sci. Total Environ. 2016, 565, 637–648. [Google Scholar] [CrossRef]
- Jha, P.; Lakaria, B.L.; Biswas, A.K.; Saha, R.; Mahapatra, P.; Agrawal, B.K.; Sahi, D.K.; Wanjari, R.H.; Lal, R.; Singh, M.; et al. Effects of carbon input on soil carbon stability and nitrogen dynamics. Agric. Ecosyst. Environ. 2014, 189, 36–42. [Google Scholar] [CrossRef]
- Liu, T.Q.; Li, S.H.; Guo, L.G.; Cao, C.G.; Li, C.F.; Zhai, Z.B.; Zhou, J.Y.; Mei, Y.M.; Ke, H.J. Advantages of nitrogen fertilizer deep placement in greenhouse gas emissions and net ecosystem economic benefits from no-tillage paddy fields. J. Clean. Prod. 2020, 263, 121322. [Google Scholar] [CrossRef]
- Van den Putte, A.; Govers, G.; Diels, J.; Gillijns, K.; Demuzere, M. Assessing the effect of soil tillage on crop growth: A meta-regression analysis on European crop yields under conservation agriculture. Eur. J. Agron. 2010, 33, 231–241. [Google Scholar] [CrossRef]
- Dachraoui, M.; Sombrero, A. Effect of tillage systems and different rates of nitrogen fertilization on the carbon footprint of irrigated maize in a semiarid area of Castile and Leon, Spain. Soil Tillage Res. 2020, 196, 104472. [Google Scholar] [CrossRef]
- Chen, Z.; Xu, C.; Ji, L.; Feng, J.; Li, F.; Zhou, X.; Fang, F. Effects of multi-cropping system on temporal and spatial distribution of carbon and nitrogen footprint of major crops in China. Glob. Ecol. Conserv. 2020, 22, e895. [Google Scholar] [CrossRef]
- Cui, H.; Wang, Y.; Luo, Y.; Jin, M.; Chen, J.; Pang, D.; Li, Y.; Wang, Z. Tillage strategies optimize SOC distribution to reduce carbon footprint. Soil Tillage Res. 2022, 223, 105499. [Google Scholar] [CrossRef]
- Liu, Q.; Xu, C.; Han, S.; Li, X.; Kan, Z.; Zhao, X.; Zhang, H. Strategic tillage achieves lower carbon footprints with higher carbon accumulation and grain yield in a wheat-maize cropping system. Sci. Total Environ. 2021, 798, 149220. [Google Scholar] [CrossRef] [PubMed]
- Yadav, G.S.; Babu, S.; Das, A.; Mohapatra, K.P.; Singh, R.; Avasthe, R.K.; Roy, S. No-till and mulching enhance energy use efficiency and reduce carbon footprint of a direct-seeded upland rice production system. J. Clean. Prod. 2020, 271, 122700. [Google Scholar] [CrossRef]
Disclaimer/Publisher’s Note: The statements, opinions and data contained in all publications are solely those of the individual author(s) and contributor(s) and not of MDPI and/or the editor(s). MDPI and/or the editor(s) disclaim responsibility for any injury to people or property resulting from any ideas, methods, instructions or products referred to in the content. |
© 2023 by the authors. Licensee MDPI, Basel, Switzerland. This article is an open access article distributed under the terms and conditions of the Creative Commons Attribution (CC BY) license (https://creativecommons.org/licenses/by/4.0/).






