Co-Composting of Hop Bines and Wood-Based Biochar: Effects on Composting and Plant Growth in Copper-Contaminated Soils
Abstract
:1. Introduction
2. Materials and Methods
2.1. Biochar, Hop Bines and Composting Procedure
2.2. Plant Response Test
2.2.1. Experimental Setup
2.2.2. Origin of Test Soils
2.2.3. Soil Amendments and Soil Properties
2.2.4. Plant Cultivation
2.3. Data Collection
2.4. Statistical Analysis
3. Results
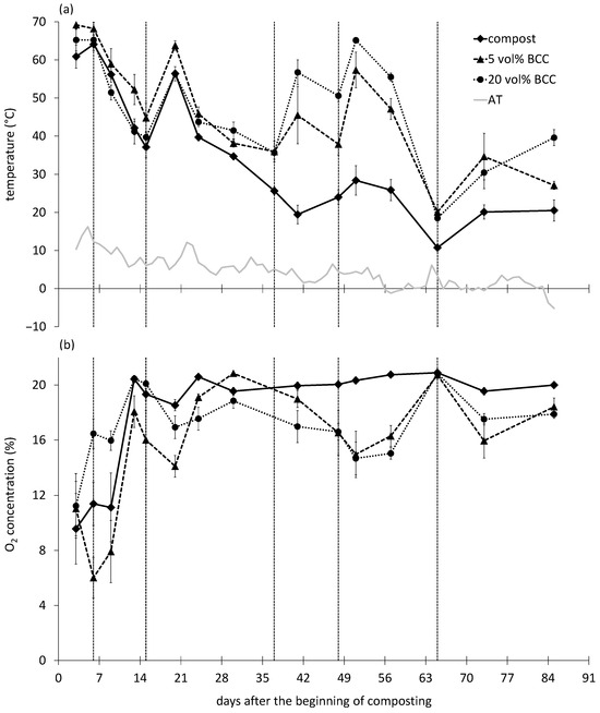
3.1. Composting
3.2. Plant Response Test
3.2.1. Effect of Composts on Artificially Copper-Spiked Soils
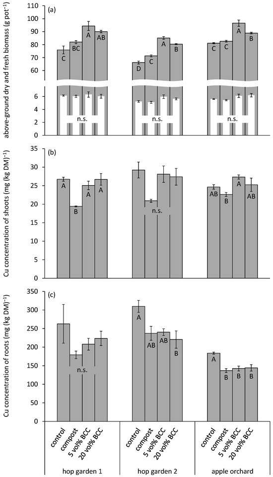
3.2.2. Effect of Composts on Hop Garden and Apple Orchard Soils
3.2.3. Effect of Pure Biochar Alone and in Combination with Biochar-Free Compost
4. Discussion
4.1. Effect of Biochar on Composting
4.2. Effect of Co-Composted Biochar Compost on Plant Growth and Phyto-Availability of Copper
4.3. Difference in Efficacy of Co-Composted Biochar Compost Compared to Biochar Alone and in Combination with Biochar-Free Compost
5. Conclusions
Author Contributions
Funding
Data Availability Statement
Acknowledgments
Conflicts of Interest
References
- Kühne, S.; Strassemeyer, J.; Roßberg, D. Anwendung Kupferhaltiger Pflanzenschutzmittel in Deutschland. J. Kult. 2009, 61, 126–130. [Google Scholar]
- Amelung, W.; Blume, H.-P.; Fleige, H.; Horn, R.; Kandeler, E.; Kögel-Knabner, I.; Kretzschmar, R.; Stahr, K.; Wilke, B.-M. Scheffer/Schachtschabel Lehrbuch der Bodenkunde, 17th ed.; Springer eBook Collection; Springer Spektrum: Heidelberg, Germany, 2018; ISBN 978-3-662-55871-3. [Google Scholar]
- Mengel, K.; Kirkby, E.A. Principles of Plant Nutrition, 5th ed.; Springer: Dordrecht, The Netherlands, 2001; ISBN 978-1-4020-0008-9. [Google Scholar]
- Reed, S.T.; Martens, D.C. Copper and Zinc. In Methods of Soil Analysis Part 3 Chemical Methods; Sparks, D.L., Page, A.L., Helmke, P.A., Loeppert, R.H., Soltanpour, P.N., Tabatabai, M.A., Johnston, C.T., Sumner, M.E., Eds.; Soil Science Society of America, American Society of Agronomy: Madison, WI, USA, 1996; pp. 703–722. ISBN 978-0-89118-866-7. [Google Scholar]
- Strumpf, T.; Engelhard, B.; Weihrauch, F.; Riepert, F.; Steindl, A. Erhebung von Kupfergesamtgehalten in ökologisch und konventionell bewirtschafteten Böden. Teil 2: Gesamtgehalte in Böden deutscher Hopfenanbaugebiete. J. Kult. 2011, 63, 144–155. [Google Scholar] [CrossRef]
- Brun, L.A.; Le Corff, J.; Maillet, J. Effects of Elevated Soil Copper on Phenology, Growth and Reproduction of Five Ruderal Plant Species. Environ. Pollut. 2003, 122, 361–368. [Google Scholar] [CrossRef] [PubMed]
- Mackie, K.A.; Müller, T.; Kandeler, E. Remediation of Copper in Vineyard—A Mini Review. Environ. Pollut. 2012, 167, 16–26. [Google Scholar] [CrossRef] [PubMed]
- Mir, A.R.; Pichtel, J.; Hayat, S. Copper: Uptake, Toxicity and Tolerance in Plants and Management of Cu-Contaminated Soil. Biometals 2021, 34, 737–759. [Google Scholar] [CrossRef] [PubMed]
- Ambrosini, V.G.; Rosa, D.J.; Bastos de Melo, G.W.; Zalamena, J.; Cella, C.; Simão, D.G.; Souza da Silva, L.; Pessoa Dos Santos, H.; Toselli, M.; Tiecher, T.L.; et al. High Copper Content in Vineyard Soils Promotes Modifications in Photosynthetic Parameters and Morphological Changes in the Root System of “Red Niagara” Plantlets. Plant Physiol. Biochem. 2018, 128, 89–98. [Google Scholar] [CrossRef]
- Bosnić, D.; Bosnić, P.; Nikolić, D.; Nikolić, M.; Samardžić, J. Silicon and Iron Differently Alleviate Copper Toxicity in Cucumber Leaves. Plants 2019, 8, 554. [Google Scholar] [CrossRef]
- Feigl, G.; Kumar, D.; Lehotai, N.; Pető, A.; Molnár, Á.; Rácz, É.; Ördög, A.; Erdei, L.; Kolbert, Z.; Laskay, G. Comparing the Effects of Excess Copper in the Leaves of Brassica Juncea (L. Czern) and Brassica napus (L.) Seedlings: Growth Inhibition, Oxidative Stress and Photosynthetic Damage. Acta Biol. Hung. 2015, 66, 205–221. [Google Scholar] [CrossRef]
- Feil, S.B.; Pii, Y.; Valentinuzzi, F.; Tiziani, R.; Mimmo, T.; Cesco, S. Copper Toxicity Affects Phosphorus Uptake Mechanisms at Molecular and Physiological Levels in Cucumis Sativus Plants. Plant Physiol. Biochem. 2020, 157, 138–147. [Google Scholar] [CrossRef]
- Gong, Q.; Wang, L.; Dai, T.; Zhou, J.; Kang, Q.; Chen, H.; Li, K.; Li, Z. Effects of Copper on the Growth, Antioxidant Enzymes and Photosynthesis of Spinach Seedlings. Ecotoxicol. Environ. Saf. 2019, 171, 771–780. [Google Scholar] [CrossRef]
- Bogomolov, D.M.; Chen, S.-K.; Parmelee, R.W.; Subler, S.; Edwards, C.A. An Ecosystem Approach to Soil Toxicity Testing: A Study of Copper Contamination in Laboratory Soil Microcosms. Appl. Soil Ecol. 1996, 4, 95–105. [Google Scholar] [CrossRef]
- Naveed, M.; Moldrup, P.; Arthur, E.; Holmstrup, M.; Nicolaisen, M.; Tuller, M.; Herath, L.; Hamamoto, S.; Kawamoto, K.; Komatsu, T.; et al. Simultaneous Loss of Soil Biodiversity and Functions Along a Copper Contamination Gradient: When Soil Goes to Sleep. Soil Sci. Soc. Am. J. 2014, 78, 1239–1250. [Google Scholar] [CrossRef]
- Van-Zwieten, L.; Merrington, G.; Van-Zwieten, M. Review of Impacts on Soil Biota Caused by Copper Residues from Fungicide Application. Environ. Consult. 2004, 1, 5–9. [Google Scholar]
- Mackie, K.A.; Schmidt, H.P.; Müller, T.; Kandeler, E. Cover Crops Influence Soil Microorganisms and Phytoextraction of Copper from a Moderately Contaminated Vineyard. Sci. Total Environ. 2014, 500–501, 34–43. [Google Scholar] [CrossRef]
- Robinson, B.H.; Anderson, C.W.N.; Dickinson, N.M. Phytoextraction: Where’s the Action? J. Geochem. Explor. 2015, 151, 34–40. [Google Scholar] [CrossRef]
- Ambrosini, V.G.; Rosa, D.J.; Corredor Prado, J.P.; Borghezan, M.; Bastos de Melo, G.W.; Fonsêca de Sousa Soares, C.R.; Comin, J.J.; Simão, D.G.; Brunetto, G. Reduction of Copper Phytotoxicity by Liming: A Study of the Root Anatomy of Young Vines (Vitis labrusca L.). Plant Physiol. Biochem. 2015, 96, 270–280. [Google Scholar] [CrossRef] [PubMed]
- Ambrosini, V.; Rosa, D.; Basso, A.; Borghezan, M.; Pescador, R.; Miotto, A.; Melo, G.; Soares, C.; Comin, J.; Brunetto, G. Liming as an Ameliorator of Copper Toxicity in Black Oat (Avena Strigosa Schreb.). J. Plant Nutr. 2017, 40, 404–416. [Google Scholar] [CrossRef]
- Chatzistathis, T.; Alifragis, D.; Papaioannou, A. The Influence of Liming on Soil Chemical Properties and on the Alleviation of Manganese and Copper Toxicity in Juglans regia, Robinia pseudoacacia, Eucalyptus sp. and Populus sp. Plantations. J. Environ. Manag. 2015, 150, 149–156. [Google Scholar] [CrossRef]
- Harter, R.D. Micronutrient Adsorption-Desorption Reactions in Soils. In Micronutrients in Agriculture; John Wiley & Sons, Ltd.: Chichester, UK, 1991; pp. 59–87. ISBN 978-0-89118-878-0. [Google Scholar]
- Martínez, C.E.; Motto, H.L. Solubility of Lead, Zinc and Copper Added to Mineral Soils. Environ. Pollut. 2000, 107, 153–158. [Google Scholar] [CrossRef]
- Paradelo, R.; Virto, I.; Chenu, C. Net Effect of Liming on Soil Organic Carbon Stocks: A Review. Agric. Ecosyst. Environ. 2015, 202, 98–107. [Google Scholar] [CrossRef]
- Brewer, C.E.; Brown, R.C. Biochar. In Comprehensive Renewable Energy; Sayigh, A., Ed.; Elsevier: Oxford, UK, 2012; pp. 357–384. [Google Scholar]
- Glaser, B.; Birk, J.J. State of the Scientific Knowledge on Properties and Genesis of Anthropogenic Dark Earths in Central Amazonia (Terra Preta de Índio). Geochim. Cosmochim. Acta 2012, 82, 39–51. [Google Scholar] [CrossRef]
- Rizwan, M.; Ali, S.; Qayyum, M.F.; Ibrahim, M.; Zia-ur-Rehman, M.; Abbas, T.; Ok, Y.S. Mechanisms of Biochar-Mediated Alleviation of Toxicity of Trace Elements in Plants: A Critical Review. Environ. Sci. Pollut. Res. 2016, 23, 2230–2248. [Google Scholar] [CrossRef] [PubMed]
- Wang, Y.; Wang, H.-S.; Tang, C.-S.; Gu, K.; Shi, B. Remediation of Heavy Metal Contaminated Soils by Biochar: A Review. Environ. Geotech. 2020, 9, 135–148. [Google Scholar] [CrossRef]
- Wang, J.; Shi, L.; Zhai, L.; Zhang, H.; Wang, S.; Zou, J.; Shen, Z.; Lian, C.; Chen, Y. Analysis of the Long-Term Effectiveness of Biochar Immobilization Remediation on Heavy Metal Contaminated Soil and the Potential Environmental Factors Weakening the Remediation Effect: A Review. Ecotoxicol. Environ. Saf. 2021, 207, 111261. [Google Scholar] [CrossRef] [PubMed]
- Borchard, N.; Prost, K.; Kautz, T.; Moeller, A.; Siemens, J. Sorption of Copper (II) and Sulphate to Different Biochars before and after Composting with Farmyard Manure. Eur. J. Soil Sci. 2011, 63, 399–409. [Google Scholar] [CrossRef]
- Tong, X.; Li, J.; Yuan, J.; Xu, R. Adsorption of Cu(II) by Biochars Generated from Three Crop Straws. Chem. Eng. J. 2011, 172, 828–834. [Google Scholar] [CrossRef]
- Guo, X.; Liu, H.; Zhang, J. The Role of Biochar in Organic Waste Composting and Soil Improvement: A Review. Waste Manag. 2020, 102, 884–899. [Google Scholar] [CrossRef] [PubMed]
- Wu, S.; He, H.; Inthapanya, X.; Yang, C.; Lu, L.; Zeng, G.; Han, Z. Role of Biochar on Composting of Organic Wastes and Remediation of Contaminated Soils-a Review. Environ. Sci. Pollut. Res. 2017, 24, 16560–16577. [Google Scholar] [CrossRef]
- Institute for Crop Science and Plant Breeding, Hops Department. Annual Report 2022. Special Crop: Hops; Bavarian State Research Center for Agriculture: Freising, Germany, 2022. [Google Scholar]
- Talboys, P.W. Verticillium Wilt in English Hops: Retrospect and Prospect. Can. J. Plant Physiol. 1987, 9, 68–77. [Google Scholar] [CrossRef]
- Lutz, K.; Euringer, S.; Schlagenhaufer, A. Verticillium: Thermal Treatment of Hop Waste—Bioassay Using the Indicator Plant Eggplant. In Proceedings of the Scientific Commission/International Hop Growers’ Convention, Lugo, Spain, 3–7 July 2022; Volume 59. [Google Scholar]
- Talboys, P.W. Time-Temperature Requirements for Killing Verticillium Albo-Atrum in Hop Bine. Plant Pathol. 1961, 10, 162–163. [Google Scholar] [CrossRef]
- Lohr, D.; Görl, J.; Meinken, E. Nitrogen Dynamics of Chopped Hop Bines-Effect of Leaf: Stem Ratio. Acta Hortic. 2021, 1328, 127–134. [Google Scholar] [CrossRef]
- Luskar, L.; Polanšek, J.; Hladnik, A.; Čeh, B. On-Farm Composting of Hop Plant Green Waste—Chemical and Biological Value of Compost. Appl. Sci. 2022, 12, 4190. [Google Scholar] [CrossRef]
- Antonangelo, J.A.; Sun, X.; Zhang, H. The Roles of Co-Composted Biochar (COMBI) in Improving Soil Quality, Crop Productivity, and Toxic Metal Amelioration. J. Environ. Manag. 2021, 277, 111443. [Google Scholar] [CrossRef]
- Schmidt, H.P.; Bucheli, T.; Kammann, C.; Glaser, B.; Abiven, S.; Leifeld, J.; Soja, G.; Hagemann, N. European Biochar Certificate—Guidelines for a Sustainable Production of Biochar; Version 10.1; European Biochar Foundation (EBC): Arbaz, Switzerland, 2022. [Google Scholar]
- VDLUFA-Verlag. VDLUFA Method Book I: Analysis of Soils, 4th ed.; with 1–7 Suppl.; VDLUFA-Verlag: Darmstadt, Germany, 2016; ISBN 978-3-941273-13-9. [Google Scholar]
- VDLUFA-Verlag. VDLUFA Method Book VII: Environmental Analysis, 4th ed.; with 1–7 Suppl.; VDLUFA-Verlag: Darmstadt, Germany, 2016; ISBN 978-3-941273-10-8. [Google Scholar]
- Agegnehu, G.; Bass, A.M.; Nelson, P.N.; Muirhead, B.; Wright, G.; Bird, M.I. Biochar and Biochar-Compost as Soil Amendments: Effects on Peanut Yield, Soil Properties and Greenhouse Gas Emissions in Tropical North Queensland, Australia. Agric. Ecosyst. Environ. 2015, 213, 72–85. [Google Scholar] [CrossRef]
- Kammann, C.I.; Schmidt, H.-P.; Messerschmidt, N.; Linsel, S.; Steffens, D.; Müller, C.; Koyro, H.-W.; Conte, P.; Joseph, S. Plant Growth Improvement Mediated by Nitrate Capture in Co-Composted Biochar. Sci. Rep. 2015, 5, 11080. [Google Scholar] [CrossRef]
- Schmidt, H.-P.; Kammann, C.; Niggli, C.; Evangelou, M.W.H.; Mackie, K.A.; Abiven, S. Biochar and Biochar-Compost as Soil Amendments to a Vineyard Soil: Influences on Plant Growth, Nutrient Uptake, Plant Health and Grape Quality. Agric. Ecosyst. Environ. 2014, 191, 117–123. [Google Scholar] [CrossRef]
- Pandit, N.R.; Schmidt, H.P.; Mulder, J.; Hale, S.E.; Husson, O.; Cornelissen, G. Nutrient Effect of Various Composting Methods with and without Biochar on Soil Fertility and Maize Growth. Arch. Agron. Soil Sci. 2020, 66, 250–265. [Google Scholar] [CrossRef]
- Chen, L.; de Haro Marti, M.; Moore, A.; Falen, C. The Composting Process. Dairy Manure Compost. Prod. Use Ida. 2011, 2, 513–532. [Google Scholar]
- van der Wurff, A.W.G.; Fuchs, J.G.; Raviv, M.; Termorshuizen, A. (Eds.) Handbook for Composting and Compost Use in Organic Horticulture; BioGreenhouse: Madrid, Spain, 2016; ISBN 978-94-6257-749-7. [Google Scholar]
- Arias-Estévez, M.; Nóvoa-Muñoz, J.C.; Pateiro, M.; López-Periago, J. Influence of Aging on Copper Fractionation in An Acid Soil. Soil Sci. 2007, 172, 225–232. [Google Scholar] [CrossRef]
- Schmidt, H.P.; Pandit, B.H.; Martinsen, V.; Cornelissen, G.; Conte, P.; Kammann, C.I. Fourfold Increase in Pumpkin Yield in Response to Low-Dosage Root Zone Application of Urine-Enhanced Biochar to a Fertile Tropical Soil. Agriculture 2015, 5, 723–741. [Google Scholar] [CrossRef]
- Houba, V.J.G.; Novozamsky, I.; Lexmond, T.M.; van der Lee, J.J. Applicability of 0.01 M CaCl2 as a Single Extraction Solution for the Assessment of the Nutrient Status of Soils and Other Diagnostic Purposes. Commun. Soil Sci. Plant Anal. 1990, 21, 2281–2290. [Google Scholar] [CrossRef]
- DIN EN 16087-2:2012-01; Soil Improvers and Growing Media—Determination of the Aerobic Biological Activity—Part 2: Self Heating Test for Compost. Beuth-Verlag: Berlin, Germany, 2012.
- Steiner, C.; Das, K.C.; Melear, N.; Lakly, D. Reducing Nitrogen Loss during Poultry Litter Composting Using Biochar. J. Environ. Qual. 2010, 39, 1236–1242. [Google Scholar] [CrossRef]
- Bernai, M.P.; Paredes, C.; Sánchez-Monedero, M.A.; Cegarra, J. Maturity and Stability Parameters of Composts Prepared with a Wide Range of Organic Wastes. Bioresour. Technol. 1998, 63, 91–99. [Google Scholar] [CrossRef]
- Wei, L.; Shutao, W.; Jin, Z.; Tong, X. Biochar Influences the Microbial Community Structure during Tomato Stalk Composting with Chicken Manure. Bioresour. Technol. 2014, 154, 148–154. [Google Scholar] [CrossRef]
- Jain, M.S.; Jambhulkar, R.; Kalamdhad, A.S. Biochar Amendment for Batch Composting of Nitrogen Rich Organic Waste: Effect on Degradation Kinetics, Composting Physics and Nutritional Properties. Bioresour. Technol. 2018, 253, 204–213. [Google Scholar] [CrossRef]
- Czekała, W.; Malińska, K.; Cáceres, R.; Janczak, D.; Dach, J.; Lewicki, A. Co-Composting of Poultry Manure Mixtures Amended with Biochar—The Effect of Biochar on Temperature and C-CO2 Emission. Bioresour. Technol. 2016, 200, 921–927. [Google Scholar] [CrossRef]
- Zhang, J.; Lü, F.; Shao, L.; He, P. The Use of Biochar-Amended Composting to Improve the Humification and Degradation of Sewage Sludge. Bioresour. Technol. 2014, 168, 252–258. [Google Scholar] [CrossRef] [PubMed]
- Godlewska, P.; Schmidt, H.P.; Ok, Y.S.; Oleszczuk, P. Biochar for Composting Improvement and Contaminants Reduction. A Review. Bioresour. Technol. 2017, 246, 193–202. [Google Scholar] [CrossRef]
- Sanchez-Monedero, M.A.; Cayuela, M.L.; Roig, A.; Jindo, K.; Mondini, C.; Bolan, N. Role of Biochar as an Additive in Organic Waste Composting. Bioresour. Technol. 2018, 247, 1155–1164. [Google Scholar] [CrossRef] [PubMed]
- Zhang, L.; Sun, X. Changes in Physical, Chemical, and Microbiological Properties during the Two-Stage Co-Composting of Green Waste with Spent Mushroom Compost and Biochar. Bioresour. Technol. 2014, 171, 274–284. [Google Scholar] [CrossRef]
- Agegnehu, G.; Srivastava, A.K.; Bird, M.I. The Role of Biochar and Biochar-Compost in Improving Soil Quality and Crop Performance: A Review. Appl. Soil Ecol. 2017, 119, 156–170. [Google Scholar] [CrossRef]
- Thelen-Jüngling, M. Kompostierung Und Phytohygiene. H&K Aktuell 2010, 6, 1–3. [Google Scholar]
- Phillips, D.H. The Destruction of Didymella Lycopersici Kleb. in Tomato Haulm Composts. Ann. Appl. Biol. 1959, 47, 240–253. [Google Scholar] [CrossRef]
- Tiquia, S.M.; Tam, N.F.Y.; Hodgkiss, I.J. Effects of Turning Frequency on Composting of Spent Pig-Manure Sawdust Litter. Bioresour. Technol. 1997, 62, 37–42. [Google Scholar] [CrossRef]
- Pegg, G.F. The Impact of Verticillium Diseases in Agriculture. Phytopathol. Mediterr. 1984, 23, 176–192. [Google Scholar]
- Khan, N.; Clark, I.; Sánchez-Monedero, M.A.; Shea, S.; Meier, S.; Bolan, N. Maturity Indices in Co-Composting of Chicken Manure and Sawdust with Biochar. Bioresour. Technol. 2014, 168, 245–251. [Google Scholar] [CrossRef]
- Deutsches Institut für Gütesicherung und Kennzeichnung e.V. (RAL) (Ed.) Kompost Gütesicherung RAL-GZ 251; Beuth-Verlag: Berlin, Germany, 2016. [Google Scholar]
- Buss, W.; Kammann, C.; Koyro, H.-W. Biochar Reduces Copper Toxicity in Chenopodium Quinoa Willd in a Sandy Soil. J. Environ. Qual. 2012, 41, 1157–1165. [Google Scholar] [CrossRef]
- Jones, S.; Bardos, R.P.; Kidd, P.S.; Mench, M.; de Leij, F.; Hutchings, T.; Cundy, A.; Joyce, C.; Soja, G.; Friesl-Hanl, W.; et al. Biochar and Compost Amendments Enhance Copper Immobilisation and Support Plant Growth in Contaminated Soils. J. Environ. Manag. 2016, 171, 101–112. [Google Scholar] [CrossRef]
- Karami, N.; Clemente, R.; Moreno-Jiménez, E.; Lepp, N.W.; Beesley, L. Efficiency of Green Waste Compost and Biochar Soil Amendments for Reducing Lead and Copper Mobility and Uptake to Ryegrass. J. Hazard. Mater. 2011, 191, 41–48. [Google Scholar] [CrossRef]
- Cooper, J.; Greenberg, I.; Ludwig, B.; Hippich, L.; Fischer, D.; Glaser, B.; Kaiser, M. Effect of Biochar and Compost on Soil Properties and Organic Matter in Aggregate Size Fractions under Field Conditions. Agric. Ecosyst. Environ. 2020, 295, 106882. [Google Scholar] [CrossRef]
- Şeker, C.; Manirakiza, N. Effectiveness of Compost and Biochar in Improving Water Retention Characteristics and Aggregation of a Sandy Clay Loam Soil Under Wind Erosion. Carpathian J. Earth Environ. Sci. 2020, 15, 5–18. [Google Scholar] [CrossRef]
- Oldfield, T.L.; Sikirica, N.; Mondini, C.; López, G.; Kuikman, P.J.; Holden, N.M. Biochar, Compost and Biochar-Compost Blend as Options to Recover Nutrients and Sequester Carbon. J. Environ. Manag. 2018, 218, 465–476. [Google Scholar] [CrossRef] [PubMed]
- Ibrahim, A.; Marie, H.A.M.E.; Elfaki, J. Impact of Biochar and Compost on Aggregate Stability in Loamy Sand Soil. Agric. Res. J. 2021, 58, 34–44. [Google Scholar] [CrossRef]
- Forján, R.; Rodríguez-Vila, A.; Cerqueira, B.; Covelo, E.F. Comparison of the Effects of Compost versus Compost and Biochar on the Recovery of a Mine Soil by Improving the Nutrient Content. J. Geochem. Explor. 2017, 183, 46–57. [Google Scholar] [CrossRef]
- Sánchez-Monedero, M.A.; Cayuela, M.L.; Sánchez-García, M.; Vandecasteele, B.; D’Hose, T.; López, G.; Martínez-Gaitán, C.; Kuikman, P.J.; Sinicco, T.; Mondini, C. Agronomic Evaluation of Biochar, Compost and Biochar-Blended Compost across Different Cropping Systems: Perspective from the European Project FERTIPLUS. Agronomy 2019, 9, 225. [Google Scholar] [CrossRef]
- Abujabhah, I.S.; Bound, S.A.; Doyle, R.; Bowman, J.P. Effects of Biochar and Compost Amendments on Soil Physico-Chemical Properties and the Total Community within a Temperate Agricultural Soil. Appl. Soil Ecol. 2016, 98, 243–253. [Google Scholar] [CrossRef]
- Knöferl, R.; Diepolder, M.; Offenberger, K.; Raschbacher, S.; Brandl, M.; Kavka, A.; Hippich, L.; Schmücker, R.; Sperger, C.; Kalmbach, S. Leitfaden für die Düngung von Acker- und Grünland; Bayerische Landesanstalt für Landwirtschaft (LfL); Ortmaier Druck: Frontenhausen, Germany, 2022. [Google Scholar]
- Påhlsson, A.-M.B. Toxicity of Heavy Metals (Zn, Cu, Cd, Pb) to Vascular Plants: A Literature Review. Water Air Soil Pollut. 1989, 47, 287–319. [Google Scholar] [CrossRef]
- Davis, R.D.; Beckett, P.H.T. Upper Critical Levels of Toxic Elements in Plants. II. Critical Levels of Copper in Young Barley, Wheat, Rape, Lettuce and Ryegrass, And of Nickel And Zinc In Young Barley And Ryegrass. New Phytol. 1978, 80, 23–32. [Google Scholar] [CrossRef]
- Fernandes, J.C.; Henriques, F.S. Biochemical, Physiological, and Structural Effects of Excess Copper in Plants. Bot. Rev. 1991, 57, 246–273. [Google Scholar] [CrossRef]
- Kabata-Pendias, A.; Pendias, H. Trace Elements in Soils and Plants, 4th ed.; CRC Press: Boca Raton, FL, USA, 2010; ISBN 978-0-429-19203-6. [Google Scholar]
- Shahbaz, M.; Hwei Tseng, M.; Stuiver, C.E.E.; Koralewska, A.; Posthumus, F.S.; Venema, J.H.; Parmar, S.; Schat, H.; Hawkesford, M.J.; De Kok, L.J. Copper Exposure Interferes with the Regulation of the Uptake, Distribution and Metabolism of Sulfate in Chinese Cabbage. J. Plant Physiol. 2010, 167, 438–446. [Google Scholar] [CrossRef]
- Xiong, Z.-T.; Liu, C.; Geng, B. Phytotoxic Effects of Copper on Nitrogen Metabolism and Plant Growth in Brassica Pekinensis Rupr. Ecotoxicol. Environ. Saf. 2006, 64, 273–280. [Google Scholar] [CrossRef] [PubMed]
- Huang, M.; Zhu, Y.; Li, Z.; Huang, B.; Luo, N.; Liu, C.; Zeng, G. Compost as a Soil Amendment to Remediate Heavy Metal-Contaminated Agricultural Soil: Mechanisms, Efficacy, Problems, and Strategies. Water Air Soil Pollut. 2016, 227, 359. [Google Scholar] [CrossRef]
- Soja, G.; Wimmer, B.; Rosner, F.; Faber, F.; Dersch, G.; von Chamier, J.; Pardeller, G.; Ameur, D.; Keiblinger, K.; Zehetner, F. Compost and Biochar Interactions with Copper Immobilisation in Copper-Enriched Vineyard Soils. Appl. Geochem. 2018, 88, 40–48. [Google Scholar] [CrossRef]
- Schulz, H.; Dunst, G.; Glaser, B. Positive Effects of Composted Biochar on Plant Growth and Soil Fertility. Agron. Sustain. Dev. 2013, 33, 817–827. [Google Scholar] [CrossRef]
- Liu, X.; Zhang, A.; Ji, C.; Joseph, S.; Bian, R.; Li, L.; Pan, G.; Paz-Ferreiro, J. Biochar’s Effect on Crop Productivity and the Dependence on Experimental Conditions—A Meta-Analysis of Literature Data. Plant Soil 2013, 373, 583–594. [Google Scholar] [CrossRef]
- Hijbeek, R.; van Ittersum, M.K.; ten Berge, H.F.M.; Gort, G.; Spiegel, H.; Whitmore, A.P. Do Organic Inputs Matter—A Meta-Analysis of Additional Yield Effects for Arable Crops in Europe. Plant Soil 2017, 411, 293–303. [Google Scholar] [CrossRef]
- Chigbo, C.; Batty, L. Phytoremediation Potential of Brassica Juncea in Cu-Pyrene Co-Contaminated Soil: Comparing Freshly Spiked Soil with Aged Soil. J. Environ. Manag. 2013, 129, 18–24. [Google Scholar] [CrossRef]
- de la Fuente, C.; Clemente, R.; Martínez-Alcalá, I.; Tortosa, G.; Bernal, M.P. Impact of Fresh and Composted Solid Olive Husk and Their Water-Soluble Fractions on Soil Heavy Metal Fractionation; Microbial Biomass and Plant Uptake. J. Hazard. Mater. 2011, 186, 1283–1289. [Google Scholar] [CrossRef]
- Liu, L.; Chen, H.; Cai, P.; Liang, W.; Huang, Q. Immobilization and Phytotoxicity of Cd in Contaminated Soil Amended with Chicken Manure Compost. J. Hazard. Mater. 2009, 163, 563–567. [Google Scholar] [CrossRef]
- Zhou, Y.-F.; Haynes, R.J.; Naidu, R. Use of Inorganic and Organic Wastes for in Situ Immobilisation of Pb and Zn in a Contaminated Alkaline Soil. Environ. Sci. Pollut. Res. 2012, 19, 1260–1270. [Google Scholar] [CrossRef]
- Seehausen, M.; Gale, N.; Dranga, S.; Hudson, V.; Liu, N.; Michener, J.; Thurston, E.; Williams, C.; Smith, S.; Thomas, S. Is There a Positive Synergistic Effect of Biochar and Compost Soil Amendments on Plant Growth and Physiological Performance? Agronomy 2017, 7, 13. [Google Scholar] [CrossRef]
- Fischer, D.; Glaser, B. Synergisms between Compost and Biochar for Sustainable Soil Amelioration. In Management of Organic Waste; Kumar, S., Ed.; InTech: Rijeka, Croatia, 2012; pp. 167–198. ISBN 978-953-307-925-7. [Google Scholar]
- Liu, J.; Schulz, H.; Brandl, S.; Miehtke, H.; Huwe, B.; Glaser, B. Short-term Effect of Biochar and Compost on Soil Fertility and Water Status of a Dystric Cambisol in NE Germany under Field Conditions. J. Plant. Nutr. Soil Sci. 2012, 175, 698–707. [Google Scholar] [CrossRef]
- Fetjah, D.; Ainlhout, L.F.Z.; Idardare, Z.; Ihssane, B.; Bouqbis, L. Effect of Banana-Waste Biochar and Compost Mixtures on Growth Responses and Physiological Traits of Seashore Paspalum Subjected to Six Different Water Conditions. Sustainability 2022, 14, 1541. [Google Scholar] [CrossRef]
- Xiang, L.; Liu, S.; Ye, S.; Yang, H.; Song, B.; Qin, F.; Shen, M.; Tan, C.; Zeng, G.; Tan, X. Potential Hazards of Biochar: The Negative Environmental Impacts of Biochar Applications. J. Hazard. Mater. 2021, 420, 126611. [Google Scholar] [CrossRef]
- Ding, Y.; Liu, Y.-X.; Wu, W.-X.; Shi, D.-Z.; Yang, M.; Zhong, Z.-K. Evaluation of Biochar Effects on Nitrogen Retention and Leaching in Multi-Layered Soil Columns. Water Air Soil Pollut. 2010, 213, 47–55. [Google Scholar] [CrossRef]
- Jin, H. Characterization of Microbial Life Colonizing Biochar and Biochar-Amended Soils. Ph.D. Thesis, Cornell University, Ithaca, NY, USA, 2010. [Google Scholar]
- Qian, S.; Zhou, X.; Fu, Y.; Song, B.; Yan, H.; Chen, Z.; Sun, Q.; Ye, H.; Qin, L.; Lai, C. Biochar-Compost as a New Option for Soil Improvement: Application in Various Problem Soils. Sci. Total Environ. 2023, 870, 162024. [Google Scholar] [CrossRef]
pH (CaCl2) | Surface Area (BET) | Ntotal | Ptotal | Ktotal | Corg | Molar H/Corg Ratio |
---|---|---|---|---|---|---|
m2 g−1 | g kg−1 | g kg−1 | g kg−1 | g kg−1 | ||
9.3 | 282 | 5 | 1 | 11 | 849 | 0.1 |
Ntotal | Ptotal | Ktotal | Ctotal | C/N |
---|---|---|---|---|
g kg−1 | g kg−1 | g kg−1 | g kg−1 | |
18 | 2 | 13 | 23 | 24 |
Soil | Copper Load | Soil Amendment | pH (CaCl2) | Cutotal | Cu (CAT) | Cu (CaCl2) |
---|---|---|---|---|---|---|
mg kg−1 | mg kg−1 | mg kg−1 | ||||
unpolluted soil | 0 mg Cu | - | 6.2 | 30 | 1 | 0.05 |
(silty sand) | compost | 6.5 | 35 | 3 | 0.05 | |
5 vol% BCC | 6.5 | 34 | 3 | 0.05 | ||
20 vol% BCC | 6.7 | 37 | 2 | 0.04 | ||
40 mg Cu | - | 6.5 | 63 | 23 | 0.14 | |
compost | 6.5 | 67 | 23 | 0.19 | ||
5 vol% BCC | 6.6 | 66 | 23 | 0.19 | ||
20 vol% BCC | 6.6 | 68 | 22 | 0.20 | ||
140 mg Cu | - | 6.4 | 160 | 79 | 0.34 | |
compost | 6.5 | 147 | 71 | 0.45 | ||
5 vol% BCC | 6.6 | 147 | 72 | 0.39 | ||
20 vol% BCC | 6.7 | 150 | 74 | 0.35 | ||
240 mg Cu | - | 6.6 | 246 | 140 | 0.49 | |
compost | 6.4 | 230 | 124 | 0.45 | ||
5 vol% BCC | 6.5 | 240 | 133 | 0.58 | ||
20 vol% BCC | 6.6 | 247 | 135 | 0.53 | ||
BC | 6.4 | 219 | 114 | 0.26 | ||
BC + compost | 6.8 | 244 | 137 | 0.35 | ||
hop garden 1 | - | - | 6.9 | 202 | 85 | 0.46 |
(silty loam) | compost | 7.0 | 202 | 80 | 0.67 | |
5 vol% BCC | 7.1 | 203 | 88 | 0.55 | ||
20 vol% BCC | 7.2 | 198 | 85 | 0.40 | ||
hop garden 2 | - | - | 7.1 | 246 | 120 | 0.53 |
(silty loam) | compost | 7.2 | 247 | 110 | 0.57 | |
5 vol% BCC | 7.2 | 247 | 111 | 0.62 | ||
20 vol% BCC | 7.3 | 248 | 103 | 0.45 | ||
apple orchard | - | - | 6.5 | 283 | 115 | 0.41 |
(silty loam) | compost | 6.4 | 289 | 110 | 0.42 | |
5 vol% BCC | 6.6 | 271 | 104 | 0.52 | ||
20 vol% BCC | 6.7 | 280 | 106 | 0.37 |
Soil Amendment | Beginning of Composting | End of Composting | Dry Matter Loss | ||
---|---|---|---|---|---|
Hop Bines | Biochar | Total | Total | Hop Bines 1 | |
kg | kg | kg | % | % | |
Compost | 3181 | - | 1720 | 46 | 46 |
5 vol% BCC | 2235 | 443 | 1488 | 44 | 53 |
20 vol% BCC | 2132 | 1811 | 2707 | 31 | 58 |
Soil Amendment | pH (CaCl2) | Salts | NH4-N | NO3-N | N | P | K | Ntotal | Ptotal | Ktotal | Ctotal | C/N |
---|---|---|---|---|---|---|---|---|---|---|---|---|
(H2O) | (CaCl2) | (CaCl2) | (CaCl2) | (CAL) | (CAL) | g kg−1 | g kg−1 | g kg−1 | g kg−1 | |||
g L−1 | mg L−1 | mg L−1 | mg L−1 | mg L−1 | mg L−1 | |||||||
Compost | 8.0 | 2.3 | 4 | 164 | 168 | 107 | 1487 | 27 | 2.5 | 17 | 376 | 14 |
5 vol% BCC | 8.0 | 3.5 | 4 | 285 | 289 | 234 | 2462 | 25 | 2.2 | 19 | 466 | 19 |
20 vol% BCC | 8.0 | 2.7 | 1 | 138 | 139 | 137 | 2134 | 13 | 1.6 | 14 | 629 | 48 |
Disclaimer/Publisher’s Note: The statements, opinions and data contained in all publications are solely those of the individual author(s) and contributor(s) and not of MDPI and/or the editor(s). MDPI and/or the editor(s) disclaim responsibility for any injury to people or property resulting from any ideas, methods, instructions or products referred to in the content. |
© 2023 by the authors. Licensee MDPI, Basel, Switzerland. This article is an open access article distributed under the terms and conditions of the Creative Commons Attribution (CC BY) license (https://creativecommons.org/licenses/by/4.0/).
Share and Cite
Görl, J.; Lohr, D.; Meinken, E.; Hülsbergen, K.-J. Co-Composting of Hop Bines and Wood-Based Biochar: Effects on Composting and Plant Growth in Copper-Contaminated Soils. Agronomy 2023, 13, 3065. https://doi.org/10.3390/agronomy13123065
Görl J, Lohr D, Meinken E, Hülsbergen K-J. Co-Composting of Hop Bines and Wood-Based Biochar: Effects on Composting and Plant Growth in Copper-Contaminated Soils. Agronomy. 2023; 13(12):3065. https://doi.org/10.3390/agronomy13123065
Chicago/Turabian StyleGörl, Johannes, Dieter Lohr, Elke Meinken, and Kurt-Jürgen Hülsbergen. 2023. "Co-Composting of Hop Bines and Wood-Based Biochar: Effects on Composting and Plant Growth in Copper-Contaminated Soils" Agronomy 13, no. 12: 3065. https://doi.org/10.3390/agronomy13123065
APA StyleGörl, J., Lohr, D., Meinken, E., & Hülsbergen, K.-J. (2023). Co-Composting of Hop Bines and Wood-Based Biochar: Effects on Composting and Plant Growth in Copper-Contaminated Soils. Agronomy, 13(12), 3065. https://doi.org/10.3390/agronomy13123065