Combination of Organic and Inorganic Fertilizers to Counteract Climate Change Effects on Cultivation of Oilseed Flax (Linum usitatissimum L.) Using the APSIM Model in Arid and Semiarid Environments
Abstract
:1. Introduction
2. Materials and Methods
2.1. Site and Field Experiment
2.2. Data Collection
2.3. Soil and Weather Data
2.4. Model Development
2.5. Model Calibration and Evaluation
2.6. Model Application
3. Results
3.1. Model Calibration
3.2. Model Evaluation
3.3. Utilizing Model to Address Climate Change
3.3.1. Enhance of SWC to Counteract Climate Change Effects
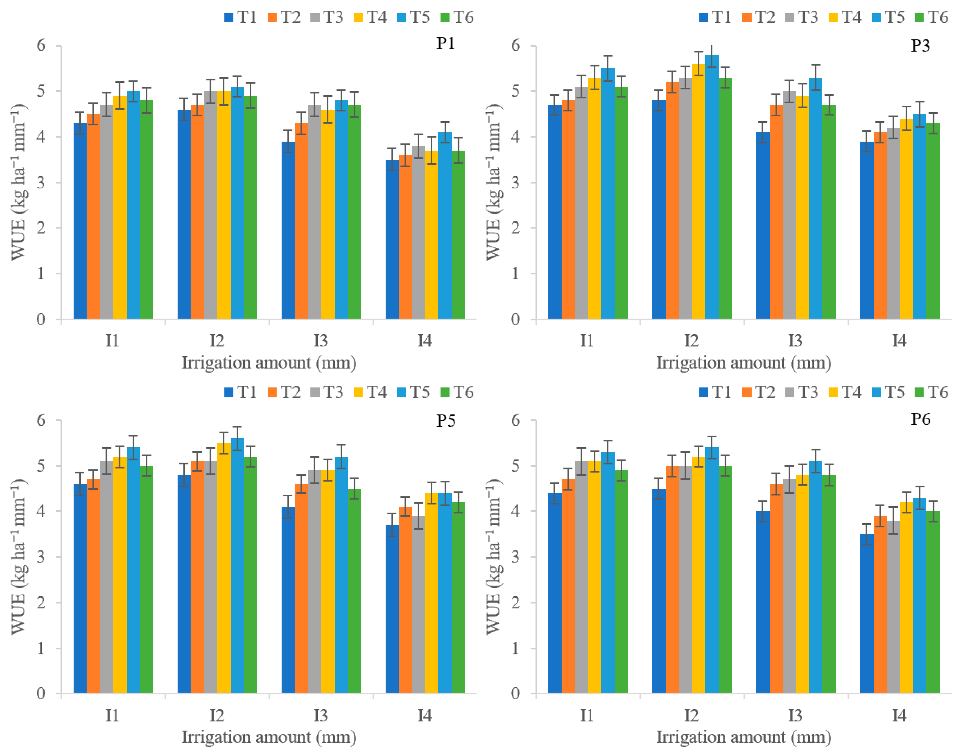
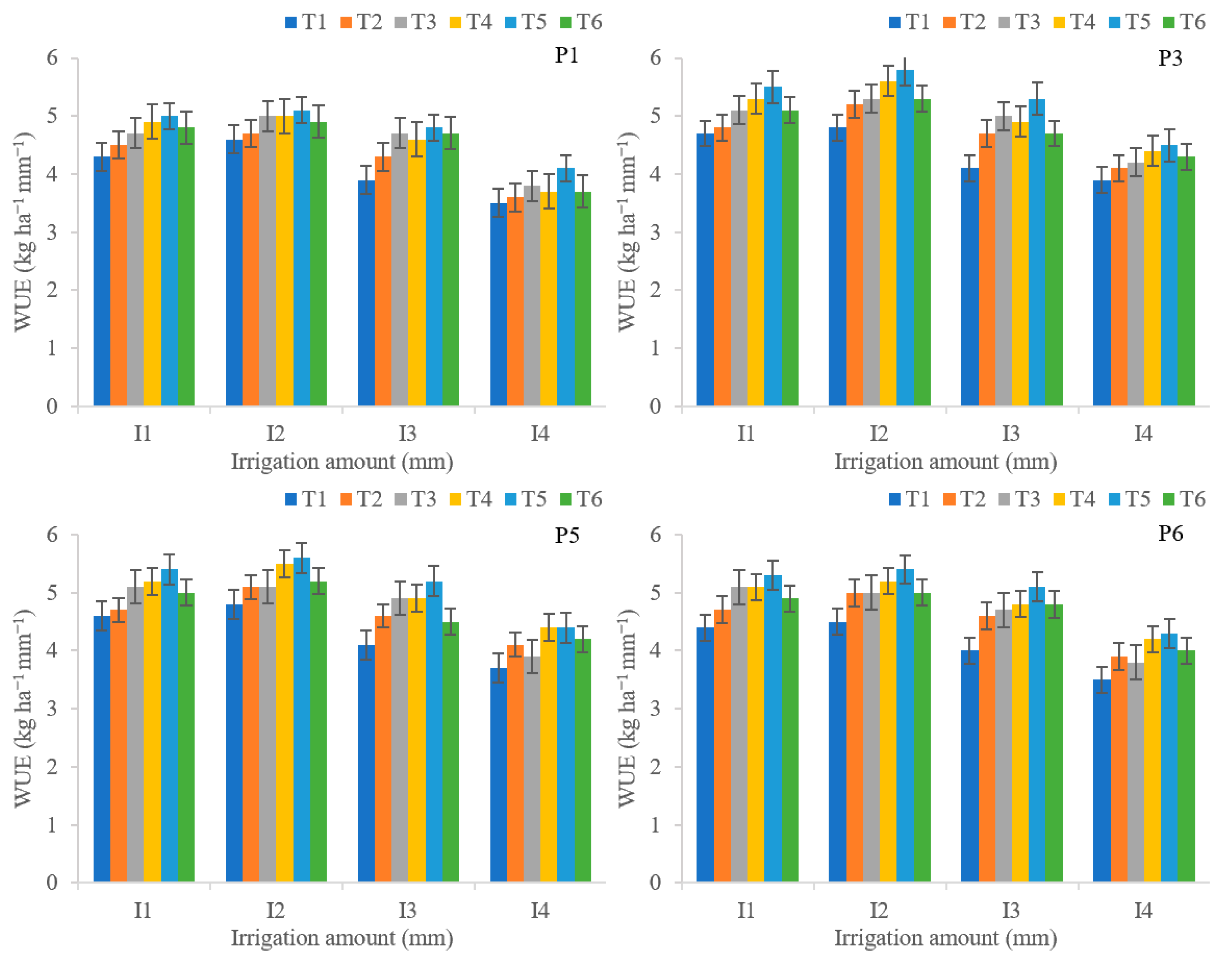
3.3.2. Enhance of Flax Yield and WUE to Counteract Climate Change Effects
4. Discussion
4.1. APSIM Model Simulations
4.2. Effects of Combined Application of Organic and Inorganic Fertilizers and Deficit Irrigation on Water Balance and Yield of Flax
4.3. Optimized Irrigation and Fertilizer Management Recommendations in Arid and Semiarid Areas
4.3.1. Deficit Irrigation
4.3.2. Combined Application of Organic and Inorganic Fertilizers
5. Conclusions
Author Contributions
Funding
Data Availability Statement
Conflicts of Interest
References
- Fahad, S.; Bajwa, A.A.; Nazir, U.; Anjum, S.A.; Farooq, A.; Zohaib, A.; Sadia, S.; Nasim, W.; Adkins, S.; Saud, S.; et al. Crop Production under Drought and Heat Stress: Plant Responses and Management Options. Front. Plant Sci. 2017, 8, 1147. [Google Scholar] [CrossRef] [PubMed]
- Kole, C. Genomic Designing of Climate-Smart Cereal Crops; Springer: Cham, Switzerland, 2020. [Google Scholar] [CrossRef]
- Keith, W.J.; Qi, A.; Ober, E.S. Possible Changes to Arable Crop Yields by 2050. Philos. Trans. R. Soc. B Biol. Sci. 2010, 365, 2835–2851. [Google Scholar] [CrossRef]
- Yadav, B.; Kaur, V.; Narayan, O.P.; Yadav, S.K.; Kumar, A.; Wankhede, D.P. Integrated omics approaches for flax improvement under abiotic and biotic stress: Current status and future prospects. Rev. Front. Plant Sci. 2022, 13, 931275. [Google Scholar] [CrossRef] [PubMed]
- FAOSTAT. 2023. Available online: https://www.fao.org/faostat/en/#data/QCL (accessed on 20 August 2022).
- Goyal, A.; Sharma, V.; Upadhyay, N.; Gill, S.; Sihag, M. Flax and flaxseed oil: An ancient medicine & modern functional food. J. Food Sci. Technol. 2014, 51, 1633–1653 . [Google Scholar] [CrossRef]
- Kajla, P.; Sharma, A.; Sood, D.R. Flaxseed—A potential functional food source. J. Food Sci. Technol. 2015, 52, 1857–1871. [Google Scholar] [CrossRef]
- Singh, P.K.; Wu, C.-C.; Zimmerli, L. β-aminobutyric acid priming by stress imprinting. Plant Signal. Behav. 2010, 5, 878–880. [Google Scholar] [CrossRef]
- Gitay, H.; Suarez, A.; Watson, R.T. Climate Change and Biodiversity: Ipcc Technical Paper V; Intergovernmental Panel on Climate Change: Geneva, Switzerland, 2002; Available online: https://www.eldis.org/document/A56092 (accessed on 25 August 2022).
- Hosseinian, F.S.; Muir, A.D.; Westcott, N.D.; Krol, E.S. Antioxidant capacity of flaxseed lignans in two model systems. J. Am. Oil Chem. Soc. 2006, 83, 835–840. [Google Scholar] [CrossRef]
- Westcott, N.D.; Muir, A.D. Flax seed lignan in disease prevention and health promotion. Phytochem. Rev. 2003, 2, 401–417. [Google Scholar] [CrossRef]
- Fofana, B.; Cloutier, S.; Duguid, S.; Ching, J.; Rampitsch, C. Gene expression of stearoyl-ACP desaturase and Δ12 fatty acid desaturase 2 is modulated during seed development of flax (Linum usitatissimum). Lipids 2006, 41, 705–712. [Google Scholar] [CrossRef]
- Heller, K.; Byczyńska, M. The Impact of Environmental Factors and Applied Agronomy on Quantitative and Qualitative Traits of Flax Fiber. J. Nat. Fibers 2015, 12, 26–38. [Google Scholar] [CrossRef]
- Hu, H.; Xiong, L. Genetic Engineering and Breeding of Drought-Resistant Crops. Annu. Rev. Plant Biol. 2014, 65, 715–741. [Google Scholar] [CrossRef] [PubMed]
- Chen, S.; Parsons, D.; Du, T.; Kumar, U.; Wang, S. Simulation of yield and water balance using WHCNS and APSIM combined with geostatistics across a heterogeneous field. Agric. Water Manag. 2021, 258, 107174. [Google Scholar] [CrossRef]
- Soldevilla-Martinez, M.; Quemada, M.; López-Urrea, R.; Muñoz-Carpena, R.; Lizaso, J. Soil water balance: Comparing two simulation models of different levels of complexity with lysimeter observations. Agric. Water Manag. 2014, 139, 53–63. [Google Scholar] [CrossRef]
- Khan, M.I. Application of Crop Growth Simulation Models in Agriculture with Special Reference to Water Management Planning. Int. J. Core Eng. Manag. 2015, 2, 113–130. Available online: http://www.ijcem.in/wp-content/uploads/2015/09/Paper-Crop-Simulation-models.pdf (accessed on 25 August 2022).
- Eitzinger, J.; Štastná, M.; Žalud, Z.; Dubrovský, M. A simulation study of the effect of soil water balance and water stress on winter wheat production under different climate change scenarios. Agric. Water Manag. 2003, 61, 195–217. [Google Scholar] [CrossRef]
- Mahendra, S.; Srivastava, J.P.; Kumar, A. Effect of Water Stress on Water Potential Components in Wheat Genotypes. Indian J. Plant Physiol. 1990, 33, 312–317. Available online: https://www.cabdirect.org/cabdirect/abstract/19921632717 (accessed on 28 August 2022).
- Huang, Y.; Yu, X.; Li, E.; Chen, H.; Li, L.; Wu, X.; Li, X. A process-based water balance model for semi-arid ecosystems: A case study of psammophytic ecosystems in Mu Us Sandland, Inner Mongolia, China. Ecol. Model. 2017, 353, 77–85. [Google Scholar] [CrossRef]
- Hammad, H.M.; Abbas, F.; Ahmad, A.; Farhad, W.; Anothai, J.; Hoogenboom, G. Predicting Water and Nitrogen Requirements for Maize under Semi-Arid Conditions Using the Csm-Ceres-Maize Model. Eur. J. Agron. 2018, 100, 56–66. [Google Scholar] [CrossRef]
- Grossman-Clarke, S.; Pinter, P.J., Jr.; Kartschall, B.T.; Kimball, A.; Hunsaker, D.J.; Wall, G.W.; Garcia, R.L.; LaMorte, R.L. Modelling a Spring Wheat Crop under Elevated Co2 and Drought. New Phytol. 2001, 150, 315–335. [Google Scholar] [CrossRef]
- Heng, L.; Asseng, S.; Mejahed, K.; Rusan, M. Optimizing wheat productivity in two rain-fed environments of the West Asia–North Africa region using a simulation model. Eur. J. Agron. 2007, 26, 121–129. [Google Scholar] [CrossRef]
- Chen, C.; Wang, E.; Yu, Q. Modelling the effects of climate variability and water management on crop water productivity and water balance in the North China Plain. Agric. Water Manag. 2010, 97, 1175–1184. [Google Scholar] [CrossRef]
- Chimonyo, V.; Modi, A.; Mabhaudhi, T. Simulating yield and water use of a sorghum–cowpea intercrop using APSIM. Agric. Water Manag. 2016, 177, 317–328. [Google Scholar] [CrossRef]
- Moghaddam, H.; Oveisi, M.; Mehr, M.K.; Bazrafshan, J.; Naeimi, M.H.; Kaleibar, B.P.; Müller-Schärer, H. Earlier sowing combined with nitrogen fertilization to adapt to climate change effects on yield of winter wheat in arid environments: Results from a field and modeling study. Eur. J. Agron. 2023, 146, 126825. [Google Scholar] [CrossRef]
- Yang, X.; Jia, P.; Hou, Q.; Zhu, M. Quantitative sensitivity of crop productivity and water productivity to precipitation during growth periods in the Agro-Pastoral Ecotone of Shanxi Province, China, based on APSIM. Agric. Water Manag. 2023, 283, 108309. [Google Scholar] [CrossRef]
- Gaydon, D.; Singh, B.; Wang, E.; Poulton, P.; Ahmad, B.; Ahmed, F.; Akhter, S.; Ali, I.; Amarasingha, R.; Chaki, A.; et al. Evaluation of the APSIM model in cropping systems of Asia. Field Crops Res. 2017, 204, 52–75. [Google Scholar] [CrossRef]
- Yue, L.; Niu, J.Y.; Wu, B.; Xie, Y.P.; Yan, B. Simulation of Oilseed Flax Development Duration Based on Apsim. J. Nucl. Agric. Sci. 2015, 29, 972–979. [Google Scholar]
- Yue, L.; Niu, J.Y.; Xie, Y.P.; Wu, B.; Gao, Z.N.; Liu, D.; Yan, B. Simulation of Oilseed Flax Leaf Area Index Based on Apsim. Chin. J. Oil Crop Sci. 2015, 37, 329–335. [Google Scholar]
- Yue, L.; Wu, B.; Liu, D.; Gao, Z.N.; Xie, Y.P.; Yan, B.; Zhang, Z.K.; Niu, J.Y. Simulation Model for Yield Formation of Oilseed Flax Based on Apsim. Chin. J. Eco-Agric. 2016, 24, 1246–1253. [Google Scholar] [CrossRef]
- Yue, L.; Wu, L.; Gao, Z.N.; Niu, J.Y. Modeling of Dry Matter Distribution and Organ Growth of Flax Using Apsim and Validation. Agric. Res. Arid. Areas 2018, 36, 110–119. Available online: http://en.cnki.com.cn/Article_en/CJFDTotal-GHDQ201806018.htm (accessed on 1 September 2022).
- Yue, L.; Wu, L.; Gao, Z.N.; Niu, J.Y. Simulation Model of Photosynthesis and Dry Matter Accumulation in Oilseed Flax Based on Apsim. Acta Pratacult. Sin. 2018, 27, 57–66. [Google Scholar]
- Li, Y.; Hoogenboom, G.; Asseng, S.; Niu, J.-Y.; Wu, L.; Kang, L.-H. Adaptation of the SIMPLE Model to Oilseed Flax (Linum usitatissimum L.) for Arid and Semi-Arid Environments. Agronomy 2022, 12, 1267. [Google Scholar] [CrossRef]
- Singh, S.; Boote, K.J.; Angadi, S.V.; Grover, K.K. Estimating water balance, evapotranspiration and water use efficiency of spring safflower using the CROPGRO model. Agric. Water Manag. 2017, 185, 137–144. [Google Scholar] [CrossRef]
- Iosfuzhu. How Do You Calculate Water Productivity. In Iosfuzhu; 2022; Available online: https://iosfuzhu.com/how-do-you-calculate-water-productivity/# (accessed on 6 January 2023).
- Hoffmann, M.P.; Odhiambo, J.J.; Koch, M.; Ayisi, K.K.; Zhao, G.; Soler, A.S.; Rötter, R.P. Exploring adaptations of groundnut cropping to prevailing climate variability and extremes in Limpopo Province, South Africa. Field Crops Res. 2018, 219, 1–13. [Google Scholar] [CrossRef]
- Yi, X.; Zitong, G.; Qingkui, L.; Changpu, D.; Tianren, Y.; Jiafang, C. China Soil, 2nd ed.; Science Press: Beijing, China, 1986. [Google Scholar]
- Lunetta, R.S.; Greene, R.G.; Lyon, J.G. Modeling the Distribution of Diffuse Nitrogen Sources and Sinks in the Neuse River Basin of North Carolina, Usa1. JAWRA J. Am. Water Resour. Assoc. 2005, 41, 1129–1147. [Google Scholar] [CrossRef]
- Hoogenboom, G.; Porter, C.H.; Boote, K.J.; Shelia, V.; Wilkens, P.W.; Singh, U.; White, J.W.; Asseng, S.; Lizaso, J.I.; Moreno, L.P.; et al. The Dssat Crop Modeling Ecosystem. In Advances in Crop Modeling for a Sustainable Agriculture; Boote, K.J., Ed.; Burleigh Dodds Science Publishing: Cambridge, UK, 2019; Available online: https://dssat.net/wp-content/uploads/2020/03/The-DSSAT-Crop-Modeling-Ecosystem.pdf (accessed on 7 November 2023).
- Jiang, Y.; Zhang, L.; Zhang, B.; He, C.; Jin, X.; Bai, X. Modeling irrigation management for water conservation by DSSAT-maize model in arid northwestern China. Agric. Water Manag. 2016, 177, 37–45. [Google Scholar] [CrossRef]
- Robertson, M.J.; Carberry, P.S.; Huth, N.I.; Turpin, J.E.; Probert, M.E.; Poulton, P.L.; Bell, M.; Wright, G.C.; Yeates, S.J.; Brinsmead, R.B. Simulation of growth and development of diverse legume species in APSIM. Aust. J. Agric. Res. 2002, 53, 429–446. [Google Scholar] [CrossRef]
- Robertson, M.J.; Holland, J.F.; Kirkegaard, J.A.; Smith, C.J. Simulating Growth and Development of Canola in Australia. In Proceedings Tenth International Rapeseed Congress; CD-Rom Proceedings, 1999; Available online: http://www.regional.org.au/au/gcirc/2/143.htm (accessed on 6 January 2023).
- Robertson, M.J.; Lilley, J.M. Simulation of growth, development and yield of canola (Brassica napus) in APSIM. Crop Pasture Sci. 2016, 67, 332. [Google Scholar] [CrossRef]
- Robertson, M.; Carberry, P.; Chauhan, Y.; Ranganathan, R.; O’leary, G. Predicting growth and development of pigeonpea: A simulation model. Field Crops Res. 2001, 71, 195–210. [Google Scholar] [CrossRef]
- Fu, Q. Data Processing Method and Its Application in Agriculture; Science Press: Beijing, China, 2006; Available online: https://book.sciencereading.cn/shop/book/Booksimple/onlineRead.do?id=BE7ED18B31F184694B2E3F2667D0B124C000&readMark=1 (accessed on 7 January 2023).
- Yang, J.; Liu, S.; Hoogenboom, G. An evaluation of the statistical methods for testing the performance of crop models with observed data. Agric. Syst. 2014, 127, 81–89. [Google Scholar] [CrossRef]
- Deligios, P.A.; Farci, R.; Sulas, L.; Hoogenboom, G.; Ledda, L. Predicting growth and yield of winter rapeseed in a Mediterranean environment: Model adaptation at a field scale. Field Crops Res. 2013, 144, 100–112. [Google Scholar] [CrossRef]
- Jamieson, P.D.; Porter, J.R.; Wilson, D.R. A test of the computer simulation model ARCWHEAT1 on wheat crops grown in New Zealand. Field Crops Res. 1991, 27, 337–350. [Google Scholar] [CrossRef]
- CSIRO. Apsim: The Leading Software Framework for Agricultural Systems Modelling and Simulation. In APSIM; 2023. Available online: https://www.apsim.info/ (accessed on 7 January 2023).
- Wang, E.; Smith, C.J.; Bond, W.J.; Verburg, K. Estimations of vapour pressure deficit and crop water demand in APSIM and their implications for prediction of crop yield, water use, and deep drainage. Aust. J. Agric. Res. 2004, 55, 1227. [Google Scholar] [CrossRef]
- Keating, B.; Gaydon, D.; Huth, N.; Probert, M.; Verburg, K.; Smith, C.; Bond, W. Use of modelling to explore the water balance of dryland farming systems in the Murray-Darling Basin, Australia. Eur. J. Agron. 2002, 18, 159–169. [Google Scholar] [CrossRef]
- Yang, Y.; Liu, D.L.; Anwar, M.R.; O’leary, G.; Macadam, I.; Yang, Y. Water use efficiency and crop water balance of rainfed wheat in a semi-arid environment: Sensitivity of future changes to projected climate changes and soil type. Theor. Appl. Clim. 2016, 123, 565–579. [Google Scholar] [CrossRef]
- Cui, Z.; Yan, B.; Gao, Y.; Wu, B.; Wang, Y.; Wang, H.; Xu, P.; Zhao, B.; Cao, Z.; Zhang, Y.; et al. Agronomic cultivation measures on productivity of oilseed flax: A review. Oil Crop Sci. 2022, 7, 53–62. [Google Scholar] [CrossRef]
- Wang, H.; Li, X.; Xiao, J.; Ma, M. Evapotranspiration components and water use efficiency from desert to alpine ecosystems in drylands. Agric. For. Meteorol. 2021, 298–299, 108283. [Google Scholar] [CrossRef]
- Wang, L.; Yan, S. Using Crop Water Productivity to Agricultural Irrigation Water in Zhangye; CRC Press: Boca Raton, FL, USA, 2014. [Google Scholar] [CrossRef]
- Zou, X.Y.; Xiao, K.B.; Hu, F.B. Progress of Foreign Research on Deficit Irrigation. Water Resour. Plan. Des. 2019, 186, 93–96. [Google Scholar]
- Fereres, E.; Soriano, M.A. Deficit irrigation for reducing agricultural water use. J. Exp. Bot. 2006, 58, 147–159. [Google Scholar] [CrossRef]
- Karam, F.; Kabalan, R.; Breidi, J.; Rouphael, Y.; Oweis, T. Yield and water-production functions of two durum wheat cultivars grown under different irrigation and nitrogen regimes. Agric. Water Manag. 2009, 96, 603–615. [Google Scholar] [CrossRef]
- Payero, J.O.; Melvin, S.R.; Irmak, S.; Tarkalson, D. Yield response of corn to deficit irrigation in a semiarid climate. Agric. Water Manag. 2006, 84, 101–112. [Google Scholar] [CrossRef]
- Kottmann, L.; Wilde, P.; Schittenhelm, S. How do timing, duration, and intensity of drought stress affect the agronomic performance of winter rye? Eur. J. Agron. 2016, 75, 25–32. [Google Scholar] [CrossRef]
- Zhao, S.; Schmidt, S.; Gao, H.; Li, T.; Chen, X.; Hou, Y.; Chadwick, D.; Tian, J.; Dou, Z.; Zhang, W.; et al. A precision compost strategy aligning composts and application methods with target crops and growth environments can increase global food production. Nat. Food 2022, 3, 741–752. [Google Scholar] [CrossRef] [PubMed]
- Gram, G.; Roobroeck, D.; Pypers, P.; Six, J.; Merckx, R.; Vanlauwe, B. Combining organic and mineral fertilizers as a climate-smart integrated soil fertility management practice in sub-Saharan Africa: A meta-analysis. PLoS ONE 2020, 15, e0239552. [Google Scholar] [CrossRef] [PubMed]








| Treatments | N (kg ha−1) | P2O5 (kg ha−1) | K2O (kg ha−1) | Flax Oil Residue (kg ha−1) |
|---|---|---|---|---|
| T1 | 0 | 0 | 0 | 0 |
| T2 | 90 | 75 | 52.5 | 0 |
| T3 | 0 | 0 | 0 | 3100 |
| T4 | 67.5 | 62.6 | 43.2 | 775 |
| T5 | 45 | 50.2 | 33.9 | 1550 |
| T6 | 22.5 | 37.8 | 24.9 | 2325 |
| Parameter Types | Parameters | Description | Unit | Calibrated Value |
|---|---|---|---|---|
| Cultivar parameters | Grains_per_grain_stem | Grains of each grain stem | g | 1.26 |
| Potential_grain_filling_rate | Potential grain filling rate | g grain−1 day−1 | 0.21 | |
| Potential_grain_growth_rate | The potential grain growth rate from flowering to the start of grain fill | g grain−1 day−1 | 0.0012 | |
| Max_grain_size | Max grain size | g | 0.0083 | |
| tt_endjuv_to_init | TT from the end of juvenile to floral initiation | °C d | 430 | |
| tt_init_to_flower | TT from initiation to flowering | °C d | 645 | |
| tt_flower_to_start_grain | TT from flowering to start grain fill | °C d | 180 | |
| tt_start_to_end_grain | TT from start grain fill to end grain fill | °C d | 821 | |
| vern_sens | Vernalization sensitivity | − | 1.5 | |
| Photop_sens | Photoperiod sensitivity | − | 3 | |
| Soil parameters | DULi | Drainage upper limit | cm3 cm−3 | 0.256 (15 cm depth) |
| SATi | Saturated water content | cm3 cm−3 | 0.43 (15 cm depth) | |
| LLi | Lower limit | cm3 cm−3 | 0.171 (15 cm depth) | |
| Other parameters | RUE | Radiation utilization efficiency | g MJ−1 | 1.16 |
| Summer U Winter U | Amount of cumulative evaporation, since soil wetting, before soil supply becomes limiting [50] | mm mm | 6 5 | |
| Summer Cona Winter Cona | Soil evaporation is a fraction of the square root of time since the end of the first stage of evaporation [50] | mm mm | 3.5 3.5 |
| Year | Depth (m) | Obs. (cm3 cm−3) | Sim. (cm3 cm−3) | RMSE (cm3 cm−3) | d−Index | nRMSE (%) |
|---|---|---|---|---|---|---|
| 2019 | 0.15 | 0.17 | 0.16 | 0.01 | 0.81 | 4.77 |
| 0.30 | 0.18 | 0.18 | 0.01 | 0.37 | 8.65 | |
| 0.60 | 0.21 | 0.21 | 0.01 | 0.75 | 4.74 | |
| 0.90 | 0.19 | 0.20 | 0.02 | 0.70 | 11.87 | |
| 1.20 | 0.17 | 0.18 | 0.02 | 0.72 | 9.24 | |
| 1.50 | 0.18 | 0.19 | 0.02 | 0.65 | 9.79 | |
| 2020 | 0.15 | 0.17 | 0.16 | 0.02 | 0.53 | 11.10 |
| 0.30 | 0.18 | 0.18 | 0.01 | 0.69 | 8.03 | |
| 0.60 | 0.21 | 0.22 | 0.02 | 0.55 | 9.81 | |
| 0.90 | 0.19 | 0.20 | 0.02 | 0.63 | 8.61 | |
| 1.20 | 0.18 | 0.18 | 0.01 | 0.82 | 5.46 | |
| 1.50 | 0.20 | 0.20 | 0.01 | 0.79 | 7.10 |
| Irrigation | Yield (kg ha−1) | Biomass (kg ha−1) | ||||||
|---|---|---|---|---|---|---|---|---|
| Obs. | Sim. | RMSE | d-Index | Obs. | Sim. | RMSE | d-Index | |
| D0F1 | 2203 | 2215 | 29 | 0.51 | 5865 | 5829 | 39 | 0.54 |
| D1F1 | 2179 | 2178 | 8 | 0.75 | 5687 | 5670 | 17 | 0.70 |
| D2F1 | 1845 | 1871 | 26 | 0.64 | 4972 | 4976 | 16 | 0.56 |
| D3F1 | 1467 | 1490 | 24 | 0.54 | 4440 | 4496 | 75 | 0.67 |
| D0F2 | 2289 | 2284 | 16 | 0.47 | 5894 | 5927 | 41 | 0.64 |
| D1F2 | 2274 | 2289 | 16 | 0.74 | 5766 | 5861 | 97 | 0.49 |
| D2F2 | 1948 | 1907 | 41 | 0.53 | 4835 | 4829 | 28 | 0.71 |
| D3F2 | 1586 | 1553 | 33 | 0.53 | 4436 | 4440 | 85 | 0.49 |
| D0F3 | 2279 | 2260 | 19 | 0.77 | 5843 | 5823 | 56 | 0.62 |
| D1F3 | 2257 | 2212 | 46 | 0.52 | 5698 | 5685 | 98 | 0.71 |
| D2F3 | 1956 | 1967 | 23 | 0.67 | 4991 | 4980 | 37 | 0.57 |
| D3F3 | 1556 | 1495 | 62 | 0.62 | 4368 | 4474 | 29 | 0.65 |
| Average | 1987 | 1977 | 29 | 0.61 | 5233 | 5249 | 52 | 0.61 |
| Irrigation | ET (mm) | WUE (kg ha−1 mm−1) | WP (kg ha−1 mm−1) | |||||||||
|---|---|---|---|---|---|---|---|---|---|---|---|---|
| Obs. | Sim. | RMSE | d-Index | Obs. | Sim. | RMSE | d-Index | Obs. | Sim. | RMSE | d-Index | |
| D0F1 | 475 | 475 | 7 | 0.41 | 4.6 | 4.7 | 0.0 | 0.55 | 9.8 | 9.6 | 0.4 | 0.53 |
| D1F1 | 442 | 437 | 5 | 0.80 | 4.9 | 5.0 | 0.1 | 0.88 | 10.3 | 10.4 | 0.2 | 0.71 |
| D2F1 | 383 | 394 | 12 | 0.55 | 4.8 | 4.7 | 0.1 | 0.44 | 8.3 | 9.1 | 0.9 | 0.56 |
| D3F1 | 314 | 322 | 9 | 0.45 | 4.7 | 4.6 | 0.1 | 0.50 | 7.2 | 7.5 | 0.3 | 0.69 |
| D0F2 | 489 | 490 | 1 | 0.60 | 4.8 | 4.7 | 0.1 | 0.59 | 9.4 | 9.7 | 0.4 | 0.53 |
| D1F2 | 431 | 436 | 6 | 0.67 | 5.0 | 5.1 | 0.1 | 0.78 | 10.7 | 10.7 | 0.2 | 0.80 |
| D2F2 | 394 | 397 | 3 | 0.62 | 4.8 | 4.7 | 0.1 | 0.61 | 8.0 | 7.3 | 0.7 | 0.52 |
| D3F2 | 322 | 322 | 2 | 0.75 | 4.7 | 4.6 | 0.1 | 0.70 | 7.2 | 6.9 | 0.4 | 0.62 |
| D0F3 | 481 | 484 | 4 | 0.52 | 4.7 | 4.6 | 0.0 | 0.67 | 9.2 | 9.7 | 0.5 | 0.53 |
| D1F3 | 454 | 454 | 2 | 0.83 | 5.2 | 5.1 | 0.2 | 0.66 | 10.5 | 10.4 | 0.1 | 0.80 |
| D2F3 | 407 | 408 | 3 | 0.74 | 5.0 | 5.0 | 0.0 | 0.51 | 8.2 | 8.3 | 0.2 | 0.71 |
| D3F3 | 337 | 339 | 5 | 0.77 | 4.8 | 4.6 | 0.2 | 0.44 | 7.0 | 6.7 | 0.3 | 0.62 |
| Average | 411 | 413 | 5 | 0.64 | 4.8 | 4.8 | 0.1 | 0.61 | 8.8 | 8.9 | 0.4 | 0.64 |
Disclaimer/Publisher’s Note: The statements, opinions and data contained in all publications are solely those of the individual author(s) and contributor(s) and not of MDPI and/or the editor(s). MDPI and/or the editor(s) disclaim responsibility for any injury to people or property resulting from any ideas, methods, instructions or products referred to in the content. |
© 2023 by the authors. Licensee MDPI, Basel, Switzerland. This article is an open access article distributed under the terms and conditions of the Creative Commons Attribution (CC BY) license (https://creativecommons.org/licenses/by/4.0/).
Share and Cite
Li, Y.; Wu, B.; Gao, Y.; Wu, L.; Zhao, X.; Wu, L.; Zhou, H.; Tang, J. Combination of Organic and Inorganic Fertilizers to Counteract Climate Change Effects on Cultivation of Oilseed Flax (Linum usitatissimum L.) Using the APSIM Model in Arid and Semiarid Environments. Agronomy 2023, 13, 2995. https://doi.org/10.3390/agronomy13122995
Li Y, Wu B, Gao Y, Wu L, Zhao X, Wu L, Zhou H, Tang J. Combination of Organic and Inorganic Fertilizers to Counteract Climate Change Effects on Cultivation of Oilseed Flax (Linum usitatissimum L.) Using the APSIM Model in Arid and Semiarid Environments. Agronomy. 2023; 13(12):2995. https://doi.org/10.3390/agronomy13122995
Chicago/Turabian StyleLi, Yue, Bing Wu, Yuhong Gao, Ling Wu, Xia Zhao, Lili Wu, Hui Zhou, and Jie Tang. 2023. "Combination of Organic and Inorganic Fertilizers to Counteract Climate Change Effects on Cultivation of Oilseed Flax (Linum usitatissimum L.) Using the APSIM Model in Arid and Semiarid Environments" Agronomy 13, no. 12: 2995. https://doi.org/10.3390/agronomy13122995
APA StyleLi, Y., Wu, B., Gao, Y., Wu, L., Zhao, X., Wu, L., Zhou, H., & Tang, J. (2023). Combination of Organic and Inorganic Fertilizers to Counteract Climate Change Effects on Cultivation of Oilseed Flax (Linum usitatissimum L.) Using the APSIM Model in Arid and Semiarid Environments. Agronomy, 13(12), 2995. https://doi.org/10.3390/agronomy13122995

