Improving the Allocation of Light-Temperature Resources and Increasing Yield of Rice through Early Sowing and Increasing Nitrogen
Abstract
:1. Introduction
2. Materials and Methods
2.1. Experimental Environment and Materials
2.2. Field Experimental Details
2.3. Measurement Items and Methods
2.3.1. Measurement of Grain Yield, Yield Components, and HI
2.3.2. Measurement of Above-Ground Biomass Production and LAI
2.4. Collect Climate Data
2.5. Statistical Analysis
3. Results
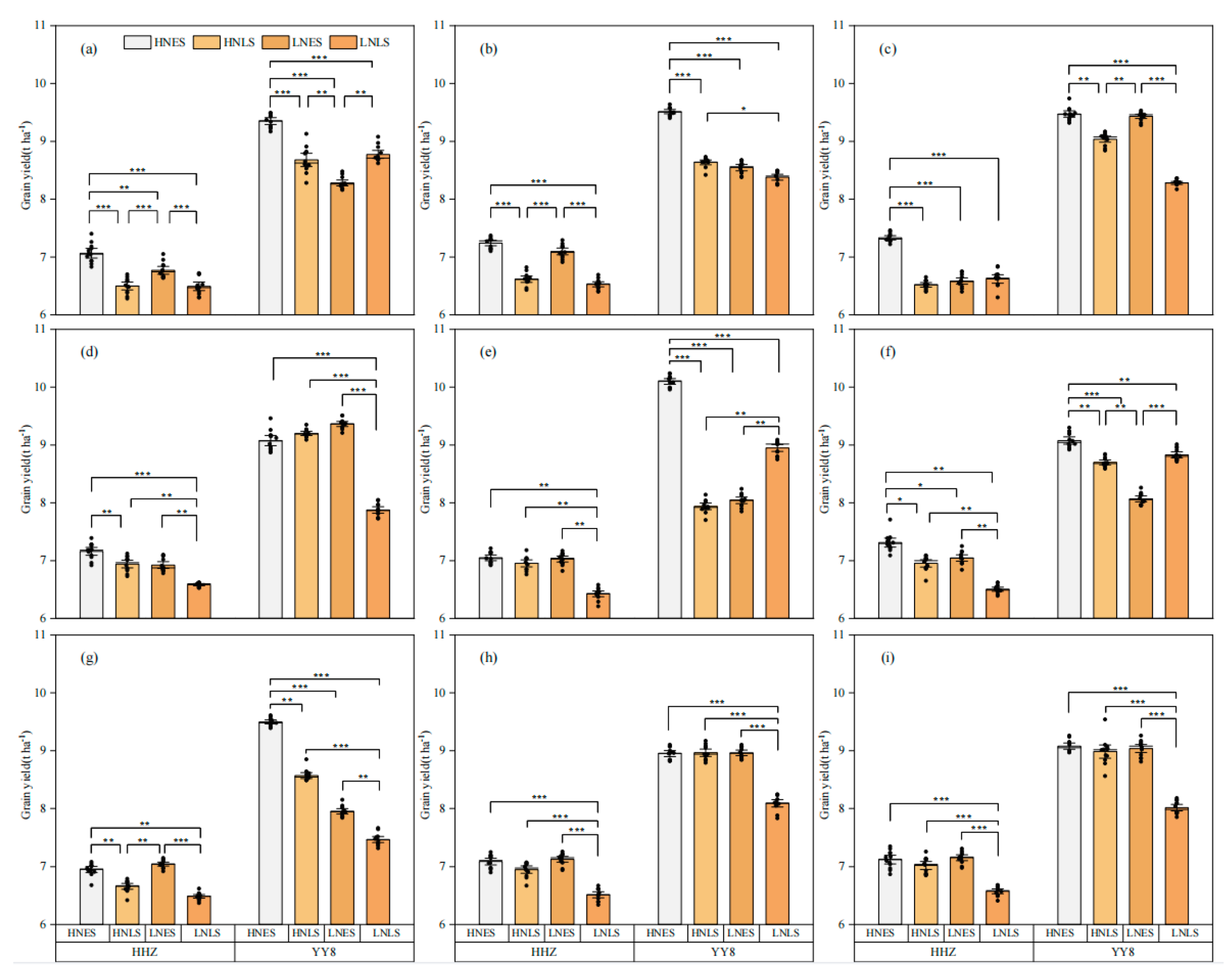
3.1. Yield and Yield Components under Different Sowing Stages and Nitrogen Treatments
3.2. Growth Stage and Effective Accumulative Temperature under Different Sowing Stages and Nitrogen Treatments
3.3. Dry Matter Accumulated, LAI, and HI under Different Sowing Stages and Nitrogen Treatments
3.4. Principal Component Analysis Results
3.5. Relationships between Effective Accumulative Temperature and Grain Yield
4. Discussion
5. Conclusions
Supplementary Materials
Author Contributions
Funding
Data Availability Statement
Conflicts of Interest
References
- Zhou, Y.; Li, Y.; Xu, C. Land consolidation and rural revitalization in China: Mechanisms and paths. Land Use Policy 2020, 91, 104379. [Google Scholar] [CrossRef]
- Du, B.; Luo, H.W.; He, L.X.; Zhang, L.H.; Liu, Y.F.; Mo, Z.W.; Pan, S.G.; Tian, H.; Duan, M.Y.; Tang, X.R. Rice seed priming with sodium selenate: Effects on germination, seedling growth, and biochemical attributes. Sci. Rep. 2019, 9, 4311. [Google Scholar] [CrossRef] [PubMed]
- FAOSTAT. FAO Statistical Databases; Food and Agriculture Orgnization (FAO) of the United Nations: Rome, Italy, 2018. [Google Scholar]
- Tilman, D.; Balzer, C.; Hill, J.; Befort, B.L. Global food demand and the sustainable intensification of agriculture. Proc. Natl. Acad. Sci. USA 2011, 108, 20260–20264. [Google Scholar] [CrossRef] [PubMed]
- Peng, S.B.; Tang, Q.Y.; Zou, Y.B. Current Status and Challenges of Rice Production in China. Plant Prod. Sci. 2018, 12, 3–8. [Google Scholar] [CrossRef]
- Yu, Y.Q.; Huang, Y.; Zhang, W. Changes in rice yields in China since 1980 associated with cultivar improvement, climate and crop management. Field Crop. Res. 2012, 136, 65–75. [Google Scholar] [CrossRef]
- Zhang, W.J.; Zhao, Y.; Li, L.Y.; Xu, X.; Yang, L.; Luo, Z.; Wang, B.B.; Ma, S.Y.; Fan, Y.H.; Huang, Z.L. The Effects of Short-Term Exposure to Low Temperatures During the Booting Stage on Starch Synthesis and Yields in Wheat Grain. Front. Plant Sci. 2021, 12, 684784. [Google Scholar] [CrossRef] [PubMed]
- Pal, R.; Mahajan, G.; Sardana, V.; Chauhan, B.S. Impact of sowing date on yield, dry matter and nitrogen accumulation, and nitrogen translocation in dry-seeded rice in north-west India. Field Crop. Res. 2017, 206, 138–148. [Google Scholar] [CrossRef]
- Yu, P.; Li, X.H.; Ye, S.H.; Zhao, X.Y.; Zhai, R.R.; Jin, Q.S.; Zhang, X.M. Effects of sowing date on agronomic characters and yield of conventional late japonica rice varieties in Zhejiang Province. Acta Agric. Nucl. Sin. 2016, 30, 978–987. [Google Scholar]
- Dou, Z.; Tang, S.; Li, G.H.; Liu, Z.H.; Ding, C.Q.; Chen, L.; Wang, S.H.; Ding, Y.F. Application of nitrogen fertilizer at heading stage improves rice quality under elevated temperature during grain-filling stage. Crop Sci. 2017, 57, 2183–2192. [Google Scholar] [CrossRef]
- Jiang, S.C.; Wang, J.M.; Luo, H.W.; Xie, Y.M.; Feng, D.H.; Zhou, L.; Shi, L.; Chen, H.; Xu, Y.Y.; Wang, M.; et al. Effect of meteorology and soil fertility on direct-seeded rice (Oryza sativa L.) performance in central China. Appl. Ecol. Environ. Res. 2019, 17, 12397–12406. [Google Scholar] [CrossRef]
- Ding, Y.M.; Wang, W.G.; Zhuang, Q.L.; Luo, Y.F. Adaptation of paddy rice in China to climate change: The effects of shifting sowing date on yield and irrigation water requirement. Agric. Water Manag. 2020, 228, 105890. [Google Scholar] [CrossRef]
- Xu, G.W.; Lu, D.K.; Wang, H.Z.; Li, Y.J. Morphological and physiological traits of rice roots and their relationships to yield and nitrogen utilization as influenced by irrigation regime and nitrogen rate. Agric. Water Manag. 2018, 203, 385–394. [Google Scholar] [CrossRef]
- Mueller, N.D.; Gerber, J.S.; Johnston, M.; Ray, D.K.; Ramankutty, N.; Foley, J.A. Closing yield gaps through nutrient and water management. Nature 2012, 490, 254–257. [Google Scholar] [CrossRef] [PubMed]
- Fiaz, S.; Wang, X.K.; Khan, S.A.; Ahmar, S.; Noor, M.A.; Riaz, A.; Ali, K.; Abbas, F.; Mora-Poblete, F.; Figueroa, C.R.; et al. Novel plant breeding techniques to advance nitrogen use efficiency in rice: A review. GM Crop. Food. 2021, 12, 627–646. [Google Scholar] [CrossRef] [PubMed]
- Wang, J.S.; Chen, Q.; Ge, X.F. Effect of nitrogen fertilizer application on rice yield. Mod Agri. 2015, 12, 44–45. [Google Scholar]
- Zhou, J.; Liang, S.; Ponce, K.; Marundon, S.; Ye, G.Y.; Zhao, X.Q. Factors affecting head rice yield and chalkiness in indica rice. Field Crop. Res. 2015, 172, 1–10. [Google Scholar] [CrossRef]
- Cong, X.H.; Shu, F.Z.; Ruan, X.M.; Luo, Y.X.; Wang, Y.L.; Xu, Y.Z.; Luo, Z.X. Effects of nitrogen application rate on nitrogen utilization and key enzymes of carbon and nitrogen metabolism in different rice varieties. J. Henan Agric. Univ. 2019, 53, 325–330. [Google Scholar]
- Wang, Y.L.; Zhang, Y.P.; Zeng, Y.H.; Wu, H.; Xiang, J.; Chen, H.Z.; Zhang, Y.K.; Zhu, D.F. Effect of high temperature on differentiation and degradation of spikelets during panicle differentiation of rice. Agri. China 2015, 36, 724–731. [Google Scholar]
- Ju, C.X.; Buresh, R.J.; Wang, Z.Q.; Zhang, H.; Liu, L.J.; Yang, J.C.; Zhang, J.H. Root and shoot traits for rice varieties with higher grain yield and higher nitrogen use efficiency at lower nitrogen rates application. Field Crop. Res. 2015, 175, 47–55. [Google Scholar] [CrossRef]
- Yuan, S.; Nie, L.X.; Wang, F.; Huang, J.L.; Peng, S.B. Agronomic performance of inbred and hybrid rice cultivars under simplified and reduced-input practices. Field Crop. Res. 2017, 210, 129–135. [Google Scholar] [CrossRef]
- Chen, T.Y.; Yuan, J.Q.; Liu, Y.Y.; Xu, K.; Guo, B.W.; Dai, Q.G.; Huo, Z.Y.; Zhang, H.C.; Li, G.H.; Wei, H.Y. Effects of different sowing dates on annual rice-wheat crop yield, quality and utilization of temperature and light resources in the lower reaches of Jianghuai River. Acta Agron. Sin. 2020, 46, 1566–1578. [Google Scholar]
- Liu, K.; Yang, R.; Lu, J.; Wang, X.; Lu, B.; Tian, X.; Zhang, Y. Radiation use efficiency and source-sink changes of super hybrid rice under shade stress during grain-filling stage. Agron. J. 2019, 111, 1788–1798. [Google Scholar] [CrossRef]
- Zhang, Y.; Tang, Q.; Zou, Y.; Li, D.; Qin, J.; Yang, S.; Chen, L.; Xia, B.; Peng, S. Yield potential and radiation use efficiency of super hybrid rice grown under subtropical conditions. Field Crop. Res. 2009, 114, 91–98. [Google Scholar] [CrossRef]
- Liu, Q.H.; Wu, X.; Ma, J.Q.; Li, T.; Zhou, X.B.; Guo, T. Effects of high air temperature on rice grain quality and yield under field condition. Agron.J. 2013, 105, 446–454. [Google Scholar] [CrossRef]
- Liang, C.G.; Chen, L.P.; Wang, Y.; Liu, J.; Xu, G.L.; Tian, L. High temperature at grain-filling stage affects nitrogen metabolism enzyme activities in grains and grain nutritional quality in rice. Rice Sci. 2011, 18, 210–216. [Google Scholar] [CrossRef]
- Yin, M.; Liu, S.W.; Chu, G.; Xu, C.M.; Wang, D.Y.; Zhang, X.F.; Chen, S. Differences in yield and growth traits of different japonica varieties in the double cropping late season in the lower reaches of the Yangtze River. Sci. Agric. Sin. 2020, 53, 890–903. [Google Scholar]
- Khalifa, A. Physiological evaluation of some hybrid rice varieties under different sowing dates. Aust. J. Crop Sci. 2009, 3, 178–183. [Google Scholar]
- Zhang, J.; Zhang, H.C.; Huo, Z.Y.; Li, G.Y.; Dong, X.B.; Hua, J.; Guo, B.W.; Zhou, P.J.; Cheng, F.H.; Huang, D.S.; et al. Effects of cultivation methods on yield and utilization of temperature and light of late Japonica rice in southern double cropping rice areas. Sci. Agric. Sin. 2013, 46, 2130–2141. [Google Scholar]
- Bai, H.Z.; Xiao, D.P.; Zhang, H.; Tao, F.L.; Hu, Y.H. Impact of warming climate, sowing date, and cultivar shift on rice phenology across China during 1981–2010. Int. J. Biometeorol. 2019, 63, 1077–1089. [Google Scholar] [CrossRef]
- Lu, W.S.; Zeng, Y.J.; Shi, Q.H.; Pan, X.H.; Huang, S.; Shang, Q.Y.; Tan, X.M.; Li, M.Y.; Hu, S.X.; Zeng, Y.H. Changes in safe production dates and heat–light of resources of double cropping rice in Jiangxi province in recent 30 years. Chin. J. Rice Sci. 2016, 30, 323–334. [Google Scholar]
- Xie, Y.Y.; Huang, S.E.; Tian, J.; Wang, Y.; Ye, Q. Spatial-temporal characteristics of thermal resources and its influence on the growth of double cropping rice in the middle and lower reaches of the Yangtze River. Chin. J. Appl. Ecol. 2016, 27, 2950–2958. [Google Scholar]
- Wang, M.J.; Yin, M.; Chu, G.; Liu, Y.H.; Xu, C.M.; Zhang, X.F.; Wang, D.Y.; Chen, S. Ecological differences in yield, growth period and the utilization of temperature and light resources of double–cropping late japonica rice in the middle and lower reaches of the Yangtze River. Chin. J. Rice Sci. 2021, 35, 475–486. [Google Scholar]
- Zhou, Y.J.; Li, X.X.; Cao, J.; Li, Y.; Huang, J.L.; Peng, S.B. High nitrogen input reduces yield loss from low temperature during the seedling stage in early-season rice. Field Crop. Res. 2018, 228, 68–75. [Google Scholar] [CrossRef]
- Wei, X.J.; Xu, J.F.; Jiang, L.; Wang, H.J.; Zhou, Z.L.; Zhai, H.Q.; Wan, J.M. Genetic analysis for the diversity of heading date of cultivated rice in China. Acta Agron. Sin. 2012, 38, 10–22. [Google Scholar] [CrossRef]
- Chen, S.; Ge, Q.Y.; Chu, G.; Xu, C.M.; Yan, J.X.; Zhang, X.F.; Wang, D.Y. Seasonal differences in the rice grain yield and nitrogen use efficiency response to seedling establishment methods in the Middle and Lower reaches of the Yangtze River in China. Field Crop. Res. 2017, 205, 157–169. [Google Scholar] [CrossRef]
- Liu, J.; Wang, X.L.; Zhang, Y.L.; Deng, B.; Wang, Z.; Zeng, K. Effects of sowing date on growth, development and yield formation of one-season rice in Jianghuai. Jiangsu Agric. Sci. 2020, 48, 49–55. [Google Scholar]
- Yao, Z.L.; Zhou, B.Y.; Zhang, H. Effects of staging sowing on rice growth characteristics and yield in central Guizhou. Guizhou Agric. Sci. 2019, 47, 13–17. [Google Scholar]
- Yuan, J.Q.; Liu, Y.Y.; Xu, K.; Li, G.H.; Chen, T.Y.; Zhou, Y.H.; Guo, B.W.; Huo, Z.Y.; Dai, Q.G.; Zhang, H.C. Nitrogen density treatment improved resource utilization and yield of late planting japonica rice. Acta Agron. Sin. 2022, 48, 667–681. [Google Scholar] [CrossRef]
- Sun, J.J.; Zhang, H.C.; Yin, H.Q.; Chen, B.; Guo, B.W.; Wei, H.Y.; Dai, Q.G.; Wang, S.X.; Chen, X.G.; Jiang, Y.H.; et al. Effects of planting date on yield, growth period and temperature and light utilization of machine-inserted rice in different ecological regions. Trans. Chin. Soc. Agric. Eng. 2015, 31, 113–121. [Google Scholar]
- Sun, J.J.; Zhang, H.C.; Wang, S.X.; Guo, B.W.; Chen, B.; Wei, H.Y.; Dai, Q.G.; Xu, K.; Yin, H.Q.; Huo, Z.Y.; et al. Effect of sowing date on growth characteristics of different varieties of machine-inserted rice. Trans. Chin. Soc. Agric. Eng. 2015, 31, 76–86. [Google Scholar]
- Deng, F.; Zhang, C.; He, L.H.; Liao, S.; Li, Q.P.; Li, B.; Zhu, S.L.; Gao, Y.T.; Tao, Y.F.; Zhou, W.; et al. Delayed sowing date improves the quality of mechanically transplanted rice by optimizing temperature conditions during growth season. Field Crop. Res. 2022, 281, 108493. [Google Scholar] [CrossRef]
- Huang, M.; Fang, S.L.; Cao, F.B.; Chen, J.N.; Shan, S.L.; Liu, Y.; Lei, T.; Tian, A.; Tao, Z.; Zhou, Y.B. Early sowing increases grain yield of machine-transplanted late-season rice under single-seed sowing. Field Crop. Res. 2020, 253, 107832. [Google Scholar] [CrossRef]
- Huang, M.; Cao, J.L.; Zhang, R.C.; Chen, J.N.; Cao, F.B.; Liu, L.S.; Fang, S.L.; Zhang, M. Delayed sowing does not improve palatability-related traits in high-quality rice. Food Chem. Adv. 2022, 1, 100096. [Google Scholar] [CrossRef]
- Jiang, D.; Yu, W.Y.; Lu, H.C.; Liu, G.; Chao, D.P. Effects of seeding time on the population growth characteristics and yield in direct-seeded rice-Nanjing9108. Shanghai Agric. Sci. Tech. 2020, 1, 48–49. [Google Scholar]
- Li, X.F.; Jia, Y.; Huang, Y.C.; Zang, X. Effects of seeding time on grain yield components and growth duration in different rice varieties. Chin. J. Ecol. 2004, 05, 98–100. [Google Scholar]
- Yao, Y.; Huo, Z.Y.; Zhang, H.C.; Xia, Y.; Ni, X.C.; Dai, Q.G.; Xu, K.; Wei, H.Y. Effects of sowing dates in different ecological regions on growth period and utilization of temperature and light in direct sowing rice. Sci. Agric. Sin. 2012, 45, 633–647. [Google Scholar]
- Zhou, Z.L.; Wei, X.J.; Jiang, L.; Liu, K.; Xu, D.Y.; Zhai, H.Q.; Wan, J.M. Genetic analysis of heading date of Japonic a rice varieties in southwest China. Chin. J. Rice Sci. 2011, 18, 287–296. [Google Scholar] [CrossRef]
- Hu, X.V.; Huang, Y.; Sun, W.J.; Yu, L.F. Shifts in cultivar and planting date have regulated rice growth duration under climate warming in China since the early 1980s. Agric. For. Meteorol. 2017, 247, 34–41. [Google Scholar] [CrossRef]
- Xu, K.; Sun, Z.; Huo, Z.Y.; Dai, Q.G.; Zhang, H.C.; Liu, J.; Song, Y.S.; Yang, D.L.; Wei, H.Y.; Wu, A.G.; et al. Effects of seeding date and variety type on yield, growth stage and utilization of temperature and sunshine in rice. Sci. Agric. Sin. 2013, 46, 4222–4233. [Google Scholar]
- Zhao, C.; Huang, H.; Qian, Z.H.; Jiang, H.X.; Liu, G.M.; Xu, K.; Hu, Y.J.; Dai, Q.G.; Huo, Z.Y. Effect of side deep placement of nitrogen on yield and nitrogen use efficiency of single season late japonica rice. J. Integr. Agric. 2021, 20, 1487–1502. [Google Scholar] [CrossRef]
- Lin, D.X.; Fan, X.H.; Hu, F.; Zhao, H.T.; Luo, J.F. Ammonia Volatilization and Nitrogen Utilization Efficiency in Response to Urea Application in Rice Fields of the Taihu Lake Region, China. Pedosphere 2007, 17, 639–645. [Google Scholar] [CrossRef]
- Liu, L.J.; Liu, C.Y.; Wang, Z.H. Effects of different cultivation methods and nitrogen application on rice yield. Hebei Agric. Sci. 2015, 54, 2061–2064. [Google Scholar]
- Wu, S.N. Effect of nitrogen application on yield of high-quality japonica rice. North Rice 2017, 47, 33–35. [Google Scholar]
- Guo, X.H.; Lan, Y.C.; Xu, L.Q.; Yin, D.W.; Li, H.Y.; Qian, Y.D.; Zheng, G.P.; Dong, Y. Effects of nitrogen application rate and hill density on rice yield and nitrogen utilization in sodic saline-alkaline paddy fields. J. Integr. Agric. 2021, 20, 540–553. [Google Scholar] [CrossRef]
- Melissa, A.F.; Susan, R.M.; Robert, D.H. Not just a grain of rice: The quest for quality. Trends Plant Sci. 2008, 14, 133–139. [Google Scholar]








| Year | Variety | Treat | Panicles | Skiketes per Panicle | Grain Filling Rate | 1000-Grain Weight |
|---|---|---|---|---|---|---|
| (m−2) | (%) | (g) | ||||
| 2011 | HHZ | LNLS | 222.14 a | 183.83 a | 82.09 a | 21.33 a |
| LNES | 209.08 a | 196.25 ab | 78.31 a | 22.21 a | ||
| HNLS | 227.53 b | 210.83 b | 80.92 a | 22.20 a | ||
| HNES | 229.40 b | 191.25 b | 82.32 a | 21.21 b | ||
| YY8 | LNLS | 149.92 a | 238.17 a | 79.83 a | 28.55 a | |
| LNES | 157.75 ab | 218.75 a | 85.33 ab | 27.45 a | ||
| HNLS | 175.46 ab | 211.33 a | 82.23 ab | 27.62 b | ||
| HNES | 186.27 b | 215.00 a | 86.35 b | 28.15 b | ||
| Mean | 194.69 | 208.18 | 82.17 | 24.84 | ||
| 2012 | HHZ | LNLS | 218.99 a | 192.33 a | 85.09 a | 22.03 a |
| LNES | 218.04 ab | 199.00 ab | 80.01 a | 21.69 a | ||
| HNLS | 228.36 ab | 198.42 ab | 81.02 a | 20.92 a | ||
| HNES | 228.20 b | 215.92 b | 82.18 a | 21.53 a | ||
| YY8 | LNLS | 150.90 a | 222.50 a | 82.13 a | 27.80 a | |
| LNES | 155.25 a | 229.42 a | 82.02 ab | 27.14 a | ||
| HNLS | 187.53 a | 223.83 a | 83.77 b | 27.7 b | ||
| HNES | 216.10 a | 205.33 a | 84.77 b | 22.06 b | ||
| Mean | 200.42 | 210.84 | 82.62 | 23.86 | ||
| 2013 | HHZ | LNLS | 221.33 a | 195.75 a | 83.94 a | 21.16 a |
| LNES | 214.31 ab | 189.58 a | 80.16 a | 22.15 a | ||
| HNLS | 223.03 ab | 207.50 a | 81.57 a | 22.12 a | ||
| HNES | 233.22 b | 193.75 a | 81.27 a | 22.67 b | ||
| YY8 | LNLS | 157.48 a | 219.92 a | 83.37 a | 27.57 a | |
| LNES | 160.35 a | 234.25 a | 86.29 ab | 28.86 ab | ||
| HNLS | 166.50 ab | 257.00 a | 83.51 bc | 28.32 b | ||
| HNES | 146.77 b | 247.33 a | 86.69 c | 27.79 b | ||
| Mean | 190.37 | 218.14 | 83.35 | 25.08 | ||
| 2014 | HHZ | LNLS | 211.03 a | 195.75 a | 81.45 a | 23.17 a |
| LNES | 221.69 a | 180.00 ab | 82.02 a | 22.15 ab | ||
| HNLS | 229.03 ab | 185.42 ab | 82.35 a | 22.46 b | ||
| HNES | 233.02 b | 202.50 b | 78.78 a | 21.70 b | ||
| YY8 | LNLS | 155.12 a | 229.67 a | 82.68 a | 28.25 a | |
| LNES | 153.43 b | 226.33 a | 83.91 a | 27.81 ab | ||
| HNLS | 157.29 b | 216.42 a | 80.74 a | 27.97 b | ||
| HNES | 184.82 b | 227.17 a | 80.85 a | 28.80 b | ||
| Mean | 193.18 | 207.91 | 81.60 | 25.29 | ||
| 2015 | HHZ | LNLS | 214.38 a | 182.17 a | 85.60 a | 21.39 a |
| LNES | 221.28 a | 189.50 a | 78.84 ab | 21.87 ab | ||
| HNLS | 231.93 ab | 199.42 a | 84.10 ab | 22.41 b | ||
| HNES | 232.95 b | 188.08 a | 82.23 b | 21.16 b | ||
| YY8 | LNLS | 153.20 a | 224.50 a | 81.45 a | 27.94 a | |
| LNES | 153.48 b | 242.42 a | 85.83 a | 27.63 ab | ||
| HNLS | 178.00 c | 224.92 a | 80.77 a | 27.42 ab | ||
| HNES | 167.11c | 233.75 a | 84.29 a | 28.36b | ||
| Mean | 194.04 | 210.59 | 82.89 | 24.77 | ||
| 2016 | HHZ | LNLS | 219.56 a | 183.00 a | 82.72 a | 22.92 a |
| LNES | 221.05 a | 183.33 ab | 80.44 a | 23.21 a | ||
| HNLS | 233.44 a | 196.08 b | 81.57 a | 22.01 ab | ||
| HNES | 231.77 a | 202.33 b | 82.97 a | 22.74 b | ||
| YY8 | LNLS | 162.40 a | 218.50 a | 83.13 a | 28.41 a | |
| LNES | 160.24 ab | 222.17 a | 82.02 a | 27.04 ab | ||
| HNLS | 149.16 bc | 238.75 a | 80.72 a | 27.39 bc | ||
| HNES | 172.46 c | 222.25 a | 83.70 a | 28.26 c | ||
| Mean | 193.76 | 208.30 | 82.16 | 25.25 | ||
| 2017 | HHZ | LNLS | 216.00 a | 193.50 a | 79.75 a | 21.37 a |
| LNES | 218.95 a | 191.83 a | 79.95 a | 22.41 ab | ||
| HNLS | 230.69 a | 185.67 a | 80.86 a | 21.51 b | ||
| HNES | 233.46 a | 174.58 a | 79.03 a | 21.98 b | ||
| YY8 | LNLS | 148.64 a | 217.92 a | 78.26 a | 28.24 a | |
| LNES | 155.22 a | 211.83 a | 85.26 a | 28.27 a | ||
| HNLS | 186.17 b | 220.58 a | 83.71 a | 27.98 a | ||
| HNES | 180.03 b | 214.17 a | 85.33 a | 28.44 a | ||
| Mean | 196.15 | 201.26 | 81.52 | 25.02 | ||
| 2018 | HHZ | LNLS | 215.69 a | 189.33 a | 82.63 a | 21.53 a |
| LNES | 224.08 a | 193.92 a | 80.17 a | 22.91 ab | ||
| HNLS | 230.09 ab | 188.83 a | 81.92 a | 22.59 bc | ||
| HNES | 229.98 b | 195.83 a | 83.13 a | 22.10 c | ||
| YY8 | LNLS | 158.87 a | 217.50 a | 81.27 a | 27.89 a | |
| LNES | 154.69 b | 229.25 a | 82.64 a | 28.18 a | ||
| HNLS | 160.69 b | 224.33 a | 82.50 a | 27.30 a | ||
| HNES | 177.71 b | 239.83 a | 84.53 a | 27.42 a | ||
| Mean | 193.97 | 209.85 | 82.35 | 24.99 | ||
| 2019 | HHZ | LNLS | 215.63 a | 185.58 a | 80.75 a | 21.68 a |
| LNES | 217.74 ab | 193.50 ab | 82.73 a | 22.30 b | ||
| HNLS | 225.40 ab | 184.42 ab | 79.38 a | 23.14 b | ||
| HNES | 229.32 b | 173.83 b | 80.51 a | 22.30 b | ||
| YY8 | LNLS | 162.02 a | 216.50 a | 82.44 a | 27.85 a | |
| LNES | 161.13 a | 224.67 b | 79.69 a | 27.32 a | ||
| HNLS | 147.14 ab | 260.67 b | 82.47 a | 28.14 a | ||
| HNES | 154.95 b | 227.83 b | 84.64 a | 27.95 a | ||
| Mean | 189.17 | 208.38 | 81.57 | 25.09 | ||
| Y | ns | 8.46 ** | ns | 8.20 ** | ||
| V | 4265.80 *** | 561.31 *** | 13.95 *** | 9322.19 *** | ||
| T | 67.42 *** | 4.51 ** | ns | ns | ||
| Y × V | 6.10 * | 5.93 * | ns | 13.56 *** | ||
| Y × T | 5.01 ** | ns | ns | ns | ||
| V × T | ns | ns | 6.37 *** | 11.11 *** | ||
| Y × V × T | 7.11 *** | 6.63 *** | ns | ns |
| HHZ | YY8 | ||||||||
|---|---|---|---|---|---|---|---|---|---|
| Year | Treatments | Vegetative Stage | Reproductive Stage | Grain Filling Stage | Whole Growth Stages | Vegetative Stage | Reproductive Stage | Grain Filling Stage | Whole Growth Stages |
| 2011 | LNLS | 47 a | 45 b | 36 b | 128 b | 53 a | 43 b | 50 a | 146 b |
| LNES | 47 a | 47 a | 39 a | 133 a | 53 a | 50 a | 47 ab | 150 a | |
| HNLS | 48 a | 41 c | 39 a | 128 b | 54 a | 44 b | 47 ab | 145 b | |
| HNES | 48 a | 47 a | 38 a | 133 a | 55 a | 50 a | 45 b | 150 a | |
| Mean | 47.5 | 45 | 38 | 130.5 | 53.75 | 46.75 | 47.25 | 147.75 | |
| 2012 | LNLS | 45 b | 41 b | 40 b | 126 b | 51 b | 47 ab | 50 a | 148 ab |
| LNES | 49 a | 45 a | 37 a | 131 a | 56 a | 50 a | 46 b | 152 a | |
| HNLS | 46 b | 41 b | 40 b | 127 b | 52 b | 45 b | 51 a | 148 ab | |
| HNES | 49 a | 45 a | 37 a | 131 a | 55 a | 49 a | 47 b | 151 a | |
| Mean | 47.25 | 43 | 38.5 | 128.75 | 53.5 | 47.75 | 48.5 | 149.75 | |
| 2013 | LNLS | 44 b | 47 a | 38 a | 129 b | 51 b | 45 ab | 49 b | 145 b |
| LNES | 49 a | 48 a | 36 a | 133 a | 56 a | 46 ab | 45 c | 147 b | |
| HNLS | 45 b | 43 bc | 41 bc | 129 b | 51 b | 42c | 53 a | 146 b | |
| HNES | 51 a | 45 b | 37 b | 133 a | 58 a | 49 a | 46c | 153 a | |
| Mean | 47.25 | 45.75 | 38 | 131 | 54 | 45.5 | 48.25 | 147.75 | |
| 2014 | LNLS | 47 a | 39 cd | 44 cd | 130 b | 54 a | 43 b | 49 a | 146 b |
| LNES | 44 b | 53 a | 38 a | 135 a | 50 b | 55 a | 46 b | 151 a | |
| HNLS | 47 a | 41 c | 42 c | 130 b | 54 a | 43 b | 49 a | 146 b | |
| HNES | 45 b | 45 b | 44 b | 134 a | 51 b | 53 a | 49 a | 153 a | |
| Mean | 45.75 | 44.5 | 42 | 132.25 | 52.25 | 48.5 | 48.25 | 149 | |
| 2015 | LNLS | 48 a | 38 b | 42 b | 128 b | 54 a | 41 b | 51 a | 146 b |
| LNES | 47 a | 45 a | 40 a | 132 a | 54 a | 50 a | 48 b | 152 a | |
| HNLS | 49 a | 37 b | 42 b | 128 b | 55 a | 42 b | 50 a | 147 b | |
| HNES | 48 a | 45 a | 40 a | 133 a | 54 a | 51 a | 48 a b | 153 a | |
| Mean | 48 | 41.25 | 41 | 130.25 | 54.25 | 46 | 49.25 | 149.5 | |
| 2016 | LNLS | 48 a | 40 b | 39 b | 127 b | 54 a | 43 b | 51 a | 148 b |
| LNES | 48 a | 48 a | 34 a | 130 a | 54 a | 50 a | 48 ab | 152 a | |
| HNLS | 48 a | 40 b | 39 b | 127 b | 54 a | 44 b | 50 a | 148 b | |
| HNES | 48 a | 49 a | 34 a | 131 a | 54 a | 50 a | 49 a | 153 a | |
| Mean | 48 | 44.25 | 36.5 | 128.75 | 54 | 46.75 | 49.5 | 150.25 | |
| 2017 | LNLS | 49 a | 38 b | 43 a | 130 b | 55 a | 45 b | 47 a | 147 b |
| LNES | 47 ab | 50 a | 39 b | 136 a | 53 b | 56 a | 43 b | 152 a | |
| HNLS | 49 a | 39 b | 43 a | 131 b | 56 a | 45 b | 47 a | 148 b | |
| HNES | 48 a | 49 a | 39 b | 136 a | 55 a | 54 a | 43 b | 152 a | |
| Mean | 48.25 | 44 | 41 | 133.25 | 54.75 | 50 | 45 | 149.75 | |
| 2018 | LNLS | 48 a | 37 b | 44 a | 129 ab | 54 b | 46 b | 46 a | 146 b |
| LNES | 50 a | 45 a | 38 b | 133 a | 56 a | 54 a | 40 b | 150 a | |
| HNLS | 48 a | 37 b | 44 a | 129 ab | 55 b | 46 b | 46 a | 147 b | |
| HNES | 50 a | 44 a | 39 b | 133 a | 57 a | 53 a | 41 b | 151 a | |
| Mean | 49 | 40.75 | 41.25 | 131 | 55.5 | 49.75 | 43.25 | 148.5 | |
| 2019 | LNLS | 46 a | 37 b | 42 a | 125 b | 53 b | 45 b | 49 a | 147 b |
| LNES | 44 b | 48 a | 38 ab | 130 a | 51 a | 56 a | 45 b | 152 a | |
| HNLS | 47 a | 36 b | 42 a | 125 b | 54 b | 45 b | 48 a | 147 b | |
| HNES | 45 ab | 47 a | 39 ab | 131 a | 51 a | 56 a | 46 ab | 153 a | |
| Mean | 46 | 42 | 40 | 128 | 52 | 51 | 47 | 150 | |
| HHZ | YY8 | ||||||||
|---|---|---|---|---|---|---|---|---|---|
| Year | Treatments | Vegetative Stage | Reproductive Stage | Grain Filling Stage | Whole Growth Stages | Vegetative Stage | Reproductive Stage | Grain Filling Stage | Whole Growth Stages |
| (°C) | (°C) | (°C) | (°C) | (°C) | (°C) | (°C) | |||
| 2011 | LNLS | 1421.3 a | 1266.7 a | 872.9 b | 3560.9 a | 1363.4 a | 1207.5 c | 1106.9 a | 3677.8 ab |
| LNES | 1122.7 b | 1298.7 a | 1054.6 a | 3476 a | 1268.1 b | 1390.8 b | 1166.4 a | 3825.3 a | |
| HNLS | 1213.5 b | 1143 b | 965.9 a b | 3322.4 b | 1389 a | 1257.1 c | 1036.7 ab | 3657.2 ab | |
| HNES | 1148.8 b | 1304.6 a | 1022.6 a | 3476 a | 1069.9 c | 1638.9 a | 1116.5 a | 3825.3 a | |
| Mean | 1226.6 | 1253.3 | 979.0 | 3458.8 | 1272.6 | 1373.6 | 1106.6 | 3746.4 | |
| 2012 | LNLS | 1144.3 a | 1201.2 a | 1034.6 a | 3380.1 a | 1314.3 a | 1381.3 a | 1151 a | 3846.6 a |
| LNES | 1133 a | 1292.8 a | 1041.6 a | 3467.4 a | 1332.8 a | 1448.7 a | 1172 a | 3953.5 a | |
| HNLS | 1171.7 a | 1203.4 a | 1027.1 a | 3402.2 a | 1343.8 a | 1324.1 ab | 1178.7 a | 3846.6 a | |
| HNES | 1133 a | 1292.8 a | 1017.3 a | 3467.4 a | 1303 a | 1420.1 a | 1207.7 a | 3930.8 a | |
| Mean | 1145.5 | 1247.6 | 1030.2 | 3429.3 | 1323.5 | 1393.6 | 1177.4 | 3894.4 | |
| 2013 | LNLS | 1585.8 a | 1435.9 a | 988.3 a | 3577 a | 1362.5 a | 1382.4 ab | 1163.4 a | 3908.3 a |
| LNES | 1156.7 b | 1429.7 a | 1034.2 a | 3620.6 a | 1370.6 a | 1365.5 a | 1220.9 a | 3957 a | |
| HNLS | 1180.6 b | 1315.4 ab | 1081 a | 3577 a | 1362.5 a | 1290.2 a | 1278.3 a | 3931 a | |
| HNES | 1210.8 b | 1344.1 a | 1065.7 a | 3620.6 a | 1430.1 a | 1466.3 a | 1197.1 a | 4093.5 a | |
| Mean | 1283.5 | 1381.3 | 1042.3 | 3598.8 | 1381.4 | 1376.1 | 1214.9 | 3972.5 | |
| 2014 | LNLS | 1175.2 a | 1087.1 b | 1049.7 a b | 3312 a | 1350.1 a | 1175.8 b | 1147.2 a | 3673.1 a |
| LNES | 976.9 b | 1400.9 a | 983.1 b | 3360.9 a | 1140.6 b | 1484.8 a | 1095.5 a | 3720.9 a | |
| HNLS | 1175.2 a | 1133.9 b | 1002.9 b | 3312 a | 1350.1 a | 1175.8 b | 1147.2 a | 3673.1 a | |
| HNES | 1005.2 b | 1166.9 b | 1164.6 a | 3336.7 a | 1165.4 b | 1429.7 a | 1172.3 a | 3767.4 a | |
| Mean | 1083.1 | 1197.2 | 1050.1 | 3330.4 | 1251.6 | 1316.5 | 1140.6 | 3708.6 | |
| 2015 | LNLS | 1196.5 a | 1057.9 b | 1070.8 a | 3325.2 a | 1346.6 a | 1144.6 b | 1222.2 a | 3713.4 b |
| LNES | 1122.9 a | 1170.3 a | 1107.4 a | 3400.6 a | 1291.4 a | 1358 a | 1216.3 a | 3865.7 a | |
| HNLS | 1220.5 a | 1033.9 a | 1070.8 a | 3325.2 a | 1374.7 a | 1171.6 b | 890.9 b | 3889.3 a | |
| HNES | 1148.4 a | 1175 b | 1103.2 a | 3426.6 a | 1291.4 a | 1386.3 a | 1211.6 a | 3889.3 a | |
| Mean | 1172.1 | 1109.3 | 1088.1 | 3369.4 | 1326.0 | 1265.1 | 1135.3 | 3839.4 | |
| 2016 | LNLS | 1436 a | 840.2 c | 1044.1 b | 3374.1 b | 1316 a | 1271.9 ab | 1255.6 a | 3843.5 a |
| LNES | 1070.5 b | 1319.2 a | 1406.1 a | 3795.8 a | 1234.8 a | 1377.6 a | 1305.7 a | 3918.1 a | |
| HNLS | 1154.4 b | 1152.7 b | 1067 b | 3374.1 b | 1316 a | 1301.2 ab | 1226.3 a | 3843.5 a | |
| HNES | 1070.5 b | 1351.6 a | 964.4c | 3386.5 b | 1234.8 a | 1377.6 a | 1329.7 a | 3942.1 a | |
| Mean | 1182.9 | 1165.9 | 1120.4 | 3482.6 | 1275.4 | 1332.1 | 1279.3 | 3886.8 | |
| 2017 | LNLS | 1236.9 a | 1133.5 b | 1107.4 a | 3477.8 a | 1412.3 a | 1329.4 b | 1079.7 a | 3821.4 a |
| LNES | 1085 b | 1397.1 a | 1058.7 a | 3540.8 a | 1221.5 b | 1616.9 a | 1093.3 a | 3931.7 a | |
| HNLS | 1236.9 a | 1163.4 b | 1100 a | 3500.3 a | 1437.8 a | 1334 b | 1091.6 a | 3863.4 a | |
| HNES | 1109.9 b | 1372.2 a | 1058.7 a | 3540.8 a | 1271 b | 1567.4 a | 1093.3 a | 3931.7 a | |
| Mean | 1167.2 | 1266.6 | 1081.2 | 3514.9 | 1335.7 | 1461.9 | 1089.5 | 3887.1 | |
| 2018 | LNLS | 1259.1 a | 1091.9 a | 1227.3 a | 3578.3 a | 1422.2 a | 1386.3 b | 1129.7 a | 3938.2 a |
| LNES | 1189.6 a | 1293.8 b | 1126.1 a b | 3609.5 a | 1356.4 a | 1576.6 a | 1096.5 a | 4029.5 a | |
| HNLS | 1259.1 a | 1091.9 a | 1227.3 a | 3578.3 a | 1448.2 a | 1389.9 b | 1121.4 a | 3959.5 a | |
| HNES | 1189.6 a | 1262.3 b | 1157.6 a b | 3609.5 a | 1380.9 a | 1552.1 a | 1118.9 a | 4051.9 a | |
| Mean | 1224.4 | 1185.0 | 1184.6 | 3593.9 | 1401.9 | 1476.2 | 1116.6 | 3994.8 | |
| 2019 | LNLS | 1165 a | 1066.9 b | 1184.4 a | 3416.3 a | 1361.3 a | 1331.7 b | 1232.6 a | 3925.6 a |
| LNES | 980 b | 1294.5 a | 1124.2 a | 3398.7 a | 1152.5 b | 1576.3 a | 1232.9 a | 3961.7 a | |
| HNLS | 1193.9 a | 1038 b | 1184.4 a | 3416.3 a | 1386.8 a | 1335.7 b | 1203.1 a | 3925.6 a | |
| HNES | 1009.2 b | 1265.3 a | 1151 a | 3425.5 a | 1152.5 b | 1576.3 a | 1258.4 a | 3987.2 a | |
| Mean | 1087.0 | 1166.2 | 1161.0 | 3414.2 | 1263.3 | 1455.0 | 1231.8 | 3950.0 | |
Disclaimer/Publisher’s Note: The statements, opinions and data contained in all publications are solely those of the individual author(s) and contributor(s) and not of MDPI and/or the editor(s). MDPI and/or the editor(s) disclaim responsibility for any injury to people or property resulting from any ideas, methods, instructions or products referred to in the content. |
© 2023 by the authors. Licensee MDPI, Basel, Switzerland. This article is an open access article distributed under the terms and conditions of the Creative Commons Attribution (CC BY) license (https://creativecommons.org/licenses/by/4.0/).
Share and Cite
Ren, N.; Lu, J.; Zhu, S.; Shen, C.; Du, B.; Chen, K. Improving the Allocation of Light-Temperature Resources and Increasing Yield of Rice through Early Sowing and Increasing Nitrogen. Agronomy 2023, 13, 2989. https://doi.org/10.3390/agronomy13122989
Ren N, Lu J, Zhu S, Shen C, Du B, Chen K. Improving the Allocation of Light-Temperature Resources and Increasing Yield of Rice through Early Sowing and Increasing Nitrogen. Agronomy. 2023; 13(12):2989. https://doi.org/10.3390/agronomy13122989
Chicago/Turabian StyleRen, Ningning, Jian Lu, Shuangbing Zhu, Congcong Shen, Bin Du, and Kai Chen. 2023. "Improving the Allocation of Light-Temperature Resources and Increasing Yield of Rice through Early Sowing and Increasing Nitrogen" Agronomy 13, no. 12: 2989. https://doi.org/10.3390/agronomy13122989
APA StyleRen, N., Lu, J., Zhu, S., Shen, C., Du, B., & Chen, K. (2023). Improving the Allocation of Light-Temperature Resources and Increasing Yield of Rice through Early Sowing and Increasing Nitrogen. Agronomy, 13(12), 2989. https://doi.org/10.3390/agronomy13122989

