Effects of Organic Matter Addition on Soil Carbon Contents, CO2 Emissions, and Bacterial Compositions in a Paddy Field in South China
Abstract
1. Introduction
2. Materials and Methods
2.1. Site of Experiment and Climatic Conditions
2.2. Experiment Design and Field Management
2.3. Soil Sampling and Analysis
2.3.1. Soil Sampling
2.3.2. Analysis of Soil Properties
2.3.3. Determination of C Fluxes and Mineralization
2.3.4. Detection of Microbial Diversity and Abundance
2.4. Data Analysis
2.4.1. Bioinformatic Analysis of Microbiome Data
2.4.2. Data Analysis
3. Results
3.1. Rice Yield Variations
3.2. Soil C Contents, Emissions, and Mineralization
3.3. Soil Microbial Diversity and Functions
3.3.1. Alpha and Beta Diversity
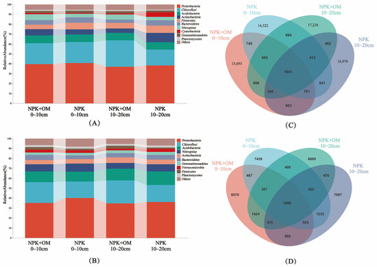
3.3.2. Bacterial Community Structure
3.3.3. Bacterial Compositions and Functions
3.4. Relationships of Soil Bacterial Functions with the C Contents and Emissions
4. Discussion
4.1. SOC and CO2 Fluxes
4.2. Soil Microbial Diversity and Abundance
4.3. Relationships of the Soil Microbial Composition with the SOC Contents and C Fluxes
5. Implications and Limitations
6. Conclusions
Author Contributions
Funding
Data Availability Statement
Conflicts of Interest
References
- Oldfield, E.E.; Bradford, M.A.; Wood, S.A. Global meta-analysis of the relationship between soil organic matter and crop yields. Soil 2019, 5, 15–32. [Google Scholar] [CrossRef]
- Minasny, B.; Malone, B.P.; McBratney, A.B.; Angers, D.A.; Arrouays, D.; Chambers, A.; Chaplot, V.; Chen, Z.-S.; Cheng, K.; Das, B.S. Soil carbon 4 per mille. Geoderma 2017, 292, 59–86. [Google Scholar] [CrossRef]
- Walker, W.S.; Gorelik, S.R.; Cook-Patton, S.C.; Baccini, A.; Farina, M.K.; Solvik, K.K.; Ellis, P.W.; Sanderman, J.; Houghton, R.A.; Leavitt, S.M. The global potential for increased storage of carbon on land. Proc. Natl. Acad. Sci. USA 2022, 119, e2111312119. [Google Scholar] [CrossRef]
- Tang, H.; Liu, Y.; Li, X.; Muhammad, A.; Huang, G. Carbon sequestration of cropland and paddy soils in China: Potential, driving factors, and mechanisms. Greenh. Gases Sci. Technol. 2019, 9, 872–885. [Google Scholar] [CrossRef]
- Liu, Y.; Ge, T.; van Groenigen, K.J.; Yang, Y.; Wang, P.; Cheng, K.; Zhu, Z.; Wang, J.; Li, Y.; Guggenberger, G. Rice paddy soils are a quantitatively important carbon store according to a global synthesis. Commun. Earth Environ. 2021, 2, 154. [Google Scholar] [CrossRef]
- Qi, J.-Y.; Yao, X.-B.; Duan, M.-Y.; Huang, X.-W.; Fan, M.-Y.; Yang, Y.; Luo, H.-W.; Tang, X.-R. Effects of contrasting tillage managements on the vertical distribution of plant-and microbial-derived carbon in rice paddy. Sci. Total Environ. 2023, 892, 164348. [Google Scholar] [CrossRef]
- Guo, L.; Zhao, S.; Song, Y.; Tang, M.; Li, H. Green finance, chemical fertilizer use and carbon emissions from agricultural production. Agriculture 2022, 12, 313. [Google Scholar] [CrossRef]
- Savci, S. Investigation of effect of chemical fertilizers on environment. APCBEE Proc. 2012, 1, 287–292. [Google Scholar] [CrossRef]
- Dan, W.; Qian, Y.; Zhang, J.-Z.; Shuang, W.; Chen, X.-L.; Zhang, X.-L.; Wei-Qun, L. Bacterial community structure and diversity in a black soil as affected by long-term fertilization. Pedosphere 2008, 18, 582–592. [Google Scholar]
- Bhatt, M.K.; Labanya, R.; Joshi, H.C. Influence of long-term chemical fertilizers and organic manures on soil fertility—A review. Univers. J. Agric. Res. 2019, 7, 177–188. [Google Scholar]
- Liu, E.; Yan, C.; Mei, X.; He, W.; Bing, S.H.; Ding, L.; Liu, Q.; Liu, S.; Fan, T. Long-term effect of chemical fertilizer, straw, and manure on soil chemical and biological properties in northwest China. Geoderma 2010, 158, 173–180. [Google Scholar] [CrossRef]
- Assefa, S.; Tadesse, S. The principal role of organic fertilizer on soil properties and agricultural productivity—A review. Agric. Res. Technol. Open Access J. 2019, 22, 556192. [Google Scholar] [CrossRef]
- Zhengchao, Z.; Zhuoting, G.; Zhouping, S.; Fuping, Z. Effects of long-term repeated mineral and organic fertilizer applications on soil organic carbon and total nitrogen in a semi-arid cropland. Eur. J. Agron. 2013, 45, 20–26. [Google Scholar] [CrossRef]
- Sharma, A.; Chetani, R. A review on the effect of organic and chemical fertilizers on plants. Int. J. Res. Appl. Sci. Eng. Technol. 2017, 5, 677–680. [Google Scholar] [CrossRef]
- Giraud, G. The world market of fragrant rice, main issues and perspectives. Int. Food Agribus. Manage. Rev. 2013, 16, 1–20. [Google Scholar]
- Ruan, S.; Luo, H.; Wu, F.; He, L.; Lai, R.; Tang, X. Organic cultivation induced regulation in yield formation, grain quality attributes, and volatile organic compounds of fragrant rice. Food Chem. 2023, 405, 134845. [Google Scholar] [CrossRef]
- Qi, J.-Y.; Yao, X.-B.; Lu, J.; He, L.-X.; Cao, J.-L.; Kan, Z.-R.; Wang, X.; Pan, S.-G.; Tang, X.-R. A 40% paddy surface soil organic carbon increase after 5-year no-tillage is linked with shifts in soil bacterial composition and functions. Sci. Total Environ. 2023, 859, 160206. [Google Scholar] [CrossRef]
- Fontaine, S.; Mariotti, A.; Abbadie, L. The priming effect of organic matter: A question of microbial competition? Soil Biol. Biochem. 2003, 35, 837–843. [Google Scholar] [CrossRef]
- Schmidt, M.W.; Torn, M.S.; Abiven, S.; Dittmar, T.; Guggenberger, G.; Janssens, I.A.; Kleber, M.; Kögel-Knabner, I.; Lehmann, J.; Manning, D.A. Persistence of soil organic matter as an ecosystem property. Nature 2011, 478, 49–56. [Google Scholar] [CrossRef]
- Tian, J.; Lou, Y.; Gao, Y.; Fang, H.; Liu, S.; Xu, M.; Blagodatskaya, E.; Kuzyakov, Y. Response of soil organic matter fractions and composition of microbial community to long-term organic and mineral fertilization. Biol. Fertil. Soils 2017, 53, 523–532. [Google Scholar] [CrossRef]
- Han, Y.; Zhang, Z.; Li, T.; Chen, P.; Nie, T.; Zhang, Z.; Du, S. Straw return alleviates the greenhouse effect of paddy fields by increasing soil organic carbon sequestration under water-saving irrigation. Agric. Water Manag. 2023, 287, 108434. [Google Scholar] [CrossRef]
- Shi, X.; Yu, D.; Xu, S.; Warner, E.; Wang, H.; Sun, W.; Zhao, Y.; Gong, Z. Cross-reference for relating Genetic Soil Classification of China with WRB at different scales. Geoderma 2010, 155, 344–350. [Google Scholar] [CrossRef]
- Olsen, S.R.; Cole, C.V.; Watanabe, F.S.; Dean, L.A. Estimation of Available Phosphorus in Soils by Extraction with Sodium Bicarbonate (No. 939); Department of Agriculture Circular: Washington, DC, USA, 1954. [Google Scholar]
- Peverill, K.I. Soil Analysis: An Interpretation Manual, Reprinted Edition; CSIRO Publishing: Melbourne, Australia, 2005. [Google Scholar]
- Kan, Z.-R.; Liu, Q.-Y.; Virk, A.L.; He, C.; Qi, J.-Y.; Dang, Y.P.; Zhao, X.; Zhang, H.-L. Effects of experiment duration on carbon mineralization and accumulation under no-till. Soil Tillage Res. 2021, 209, 104939. [Google Scholar] [CrossRef]
- Qi, J.-Y.; Jing, Z.-H.; He, C.; Liu, Q.-Y.; Wang, X.; Kan, Z.-R.; Zhao, X.; Xiao, X.-P.; Zhang, H.-L. Effects of tillage management on soil carbon decomposition and its relationship with soil chemistry properties in rice paddy fields. J. Environ. Manag. 2021, 279, 111595. [Google Scholar] [CrossRef]
- Sundberg, C.; Al-Soud, W.A.; Larsson, M.; Alm, E.; Yekta, S.S.; Svensson, B.H.; Sørensen, S.J.; Karlsson, A. 454 pyrosequencing analyses of bacterial and archaeal richness in 21 full-scale biogas digesters. FEMS Microbiol. Ecol. 2013, 85, 612–626. [Google Scholar] [CrossRef]
- Caporaso, J.G.; Lauber, C.L.; Walters, W.A.; Berg-Lyons, D.; Lozupone, C.A.; Turnbaugh, P.J.; Fierer, N.; Knight, R. Global patterns of 16S rRNA diversity at a depth of millions of sequences per sample. Proc. Natl. Acad. Sci. USA 2011, 108, 4516–4522. [Google Scholar] [CrossRef]
- Bolyen, E.; Rideout, J.R.; Dillon, M.R.; Bokulich, N.A.; Abnet, C.C.; Al-Ghalith, G.A.; Alexander, H.; Alm, E.J.; Arumugam, M.; Asnicar, F. Reproducible, interactive, scalable and extensible microbiome data science using QIIME 2. Nat. Biotechnol. 2019, 37, 852–857. [Google Scholar] [CrossRef]
- Martin, M. Cutadapt removes adapter sequences from high-throughput sequencing reads. EMBnet. J. 2011, 17, 10–12. [Google Scholar] [CrossRef]
- Callahan, B.J.; McMurdie, P.J.; Rosen, M.J.; Han, A.W.; Johnson, A.J.A.; Holmes, S.P. DADA2: High-resolution sample inference from Illumina amplicon data. Nat. Methods 2016, 13, 581–583. [Google Scholar] [CrossRef] [PubMed]
- Katoh, K.; Misawa, K.; Kuma, K.I.; Miyata, T. MAFFT: A novel method for rapid multiple sequence alignment based on fast Fourier transform. Nucleic Acids Res. 2002, 30, 3059–3066. [Google Scholar] [CrossRef] [PubMed]
- Chao, A. Nonparametric estimation of the number of classes in a population. Scand. J. Stat. 1984, 11, 265–270. [Google Scholar]
- Shannon, C.E. A mathematical theory of communication. Bell Syst. Tech. J. 1948, 27, 379–423. [Google Scholar] [CrossRef]
- Khan, K.S.; Mack, R.; Castillo, X.; Kaiser, M.; Joergensen, R.G. Microbial biomass, fungal and bacterial residues, and their relationships to the soil organic matter C/N/P/S ratios. Geoderma 2016, 271, 115–123. [Google Scholar] [CrossRef]
- Zhang, T.; Shi, X.-C.; Ding, R.; Xu, K.; Tremblay, P.-L. The hidden chemolithoautotrophic metabolism of Geobacter sulfurreducens uncovered by adaptation to formate. ISME J. 2020, 14, 2078–2089. [Google Scholar] [CrossRef]
- Choe, H.; Joo, J.C.; Cho, D.H.; Kim, M.H.; Lee, S.H.; Jung, K.D.; Kim, Y.H. Efficient CO2-reducing activity of NAD-dependent formate dehydrogenase from Thiobacillus sp. KNK65MA for formate production from CO2 gas. PLoS ONE 2014, 9, e103111. [Google Scholar] [CrossRef] [PubMed]
- Huang, Y.; Zou, J.; Zheng, X.; Wang, Y.; Xu, X. Nitrous oxide emissions as influenced by amendment of plant residues with different C: N ratios. Soil Biol. Biochem. 2004, 36, 973–981. [Google Scholar] [CrossRef]
- Perrin, E.; Ghini, V.; Giovannini, M.; Di Patti, F.; Cardazzo, B.; Carraro, L.; Fagorzi, C.; Turano, P.; Fani, R.; Fondi, M. Diauxie and co-utilization of carbon sources can coexist during bacterial growth in nutritionally complex environments. Nat. Commun. 2020, 11, 3135. [Google Scholar] [CrossRef] [PubMed]
- Huang, J.-M.; Baker, B.J.; Li, J.-T.; Wang, Y. New microbial lineages capable of carbon fixation and nutrient cycling in deep-sea sediments of the northern South China Sea. Appl. Environ. Microbiol. 2019, 85, e00523-19. [Google Scholar] [CrossRef] [PubMed]
- Blagodatskaya, E.; Kuzyakov, Y. Mechanisms of real and apparent priming effects and their dependence on soil microbial biomass and community structure: Critical review. Biol. Fertil. Soils 2008, 45, 115–131. [Google Scholar] [CrossRef]
- Ling, L.; Fu, Y.; Jeewani, P.H.; Tang, C.; Pan, S.; Reid, B.J.; Gunina, A.; Li, Y.; Li, Y.; Cai, Y. Organic matter chemistry and bacterial community structure regulate decomposition processes in post-fire forest soils. Soil Biol. Biochem. 2021, 160, 108311. [Google Scholar] [CrossRef]
- Bao, Y.; Dolfing, J.; Guo, Z.; Chen, R.; Wu, M.; Li, Z.; Lin, X.; Feng, Y. Important ecophysiological roles of non-dominant Actinobacteria in plant residue decomposition, especially in less fertile soils. Microbiome 2021, 9, 84. [Google Scholar] [CrossRef]
- Bazurto, J.V.; Nayak, D.D.; Ticak, T.; Davlieva, M.; Lee, J.A.; Hellenbrand, C.N.; Lambert, L.B.; Benski, O.J.; Quates, C.J.; Johnson, J.L. EfgA is a conserved formaldehyde sensor that leads to bacterial growth arrest in response to elevated formaldehyde. PLoS Biol. 2021, 19, e3001208. [Google Scholar] [CrossRef] [PubMed]
- Islam, S.M.M.; Gaihre, Y.K.; Islam, M.R.; Ahmed, M.N.; Akter, M.; Singh, U.; Sander, B.O. Mitigating greenhouse gas emissions from irrigated rice cultivation through improved fertilizer and water management. J. Environ. Manag. 2022, 307, 114520. [Google Scholar] [CrossRef] [PubMed]
- Li, L.; Li, F.; Dong, Y. Greenhouse Gas Emissions and Global Warming Potential in Double-Cropping Rice Fields as Influenced by Two Water-Saving Irrigation Modes in South China. J. Soil Sci. Plant Nutr. 2020, 20, 2617–2630. [Google Scholar] [CrossRef]
- He, G.; Wang, Z.; Cui, Z. Managing irrigation water for sustainable rice production in China. J. Clean. Prod. 2020, 245, 118928. [Google Scholar] [CrossRef]







| Treatment | Soil Depth | Clay (%) | Silt (%) | Sand (%) | pH | Available N (mg kg−1) | Available P (mg kg−1) | Available K (mg kg−1) |
|---|---|---|---|---|---|---|---|---|
| NPK+OM | 0–10 cm | 52.3% (1.6%) | 24.7% (1.5%) | 23.0% (1.8%) | 5.00 (0.01) | 95.04 (0.14) | 3.29 (0.01) | 35.65 (0.39) |
| NPK+OM | 10–20 cm | 55.3% (0.4%) | 23.3% (2.5%) | 21.4% (2.3%) | 5.42 (0.02) | 80.70 (0.47) | 2.09 (0.02) | 31.90 (0.12) |
| NPK | 0–10 cm | 50.9% (1.6%) | 24.5% (1.0%) | 24.6% (1.1%) | 5.31 (0.01) | 109.37 (0.51) | 5.45 (0.05) | 28.90 (0.14) |
| NPK | 10–20 cm | 51.3% (2.3%) | 23.9% (0.9%) | 24.8% (1.4%) | 5.17 (0.01) | 101.32 (0.30) | 9.47 (0.06) | 27.51 (0.48) |
Disclaimer/Publisher’s Note: The statements, opinions and data contained in all publications are solely those of the individual author(s) and contributor(s) and not of MDPI and/or the editor(s). MDPI and/or the editor(s) disclaim responsibility for any injury to people or property resulting from any ideas, methods, instructions or products referred to in the content. |
© 2024 by the authors. Licensee MDPI, Basel, Switzerland. This article is an open access article distributed under the terms and conditions of the Creative Commons Attribution (CC BY) license (https://creativecommons.org/licenses/by/4.0/).
Share and Cite
Yao, X.; Zhang, X.; Duan, M.; Yang, Y.; Xie, Q.; Luo, H.; Peng, J.; Mo, Z.; Pan, S.; Tang, X. Effects of Organic Matter Addition on Soil Carbon Contents, CO2 Emissions, and Bacterial Compositions in a Paddy Field in South China. Agronomy 2024, 14, 443. https://doi.org/10.3390/agronomy14030443
Yao X, Zhang X, Duan M, Yang Y, Xie Q, Luo H, Peng J, Mo Z, Pan S, Tang X. Effects of Organic Matter Addition on Soil Carbon Contents, CO2 Emissions, and Bacterial Compositions in a Paddy Field in South China. Agronomy. 2024; 14(3):443. https://doi.org/10.3390/agronomy14030443
Chicago/Turabian StyleYao, Xiangbin, Xuechan Zhang, Meiyang Duan, Ya Yang, Qihuan Xie, Haowen Luo, Jiemei Peng, Zhaowen Mo, Shenggang Pan, and Xiangru Tang. 2024. "Effects of Organic Matter Addition on Soil Carbon Contents, CO2 Emissions, and Bacterial Compositions in a Paddy Field in South China" Agronomy 14, no. 3: 443. https://doi.org/10.3390/agronomy14030443
APA StyleYao, X., Zhang, X., Duan, M., Yang, Y., Xie, Q., Luo, H., Peng, J., Mo, Z., Pan, S., & Tang, X. (2024). Effects of Organic Matter Addition on Soil Carbon Contents, CO2 Emissions, and Bacterial Compositions in a Paddy Field in South China. Agronomy, 14(3), 443. https://doi.org/10.3390/agronomy14030443

