Yield Performance of Intercropped Marantha arundinacea L. (Arrowroot) in Two Rubber Plantation Designs
Abstract
:1. Introduction
2. Materials and Methods
2.1. Experimental Location
2.2. Experimental Design
2.3. Measurement Indices and Methods
2.3.1. Agricultural Traits
2.3.2. Yield and Quality
2.3.3. Diurnal Variation of Photosynthetically Active Radiation (PAR) and Light Response Curves
2.3.4. Crop Root Density and Soil Nutrients
2.4. Data Processing
3. Results
3.1. Plant Height, Stem Thickness, and Tiller Number
3.2. Yield and Quality
3.3. Photosynthetically Active Radiation (PAR) and Photosynthetic Capacity
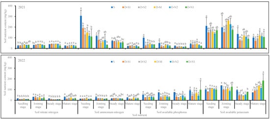
3.4. Root Distribution and Soil Nutrient Content
4. Discussion
4.1. Productivity Performance of Arrowroot Intercropped in Different Types of Rubber Plantations
4.2. Analysis of the Dominant Factors Affecting Arrowroot Intercropping Productivity
5. Conclusions
Author Contributions
Funding
Data Availability Statement
Conflicts of Interest
References
- Liu, X. Farming System; China Agriculture Press: Beijing, China, 1994. (In Chinese) [Google Scholar]
- Huang, J.; Pan, J.; Zhou, L.; Zheng, D.; Yuan, S.; Chen, J.; Li, J.; Gui, Q.; Lin, W. An improved double- row rubber (Hevea brasiliensis) plantation system increases land use efficiency by allowing intercropping with yam bean, common bean, soybean, peanut, and coffee: A 17-year case study on hainan island, china. J. Clean. Prod. 2020, 263, 121493. [Google Scholar] [CrossRef]
- Wang, H.; Mo, S.; Gao, A. Analysis of Countermeasures to enhance the competitiveness of Hainan’s natural rubber industry. China State Farm 2021, 9, 45–48. (In Chinese) [Google Scholar]
- Jamnadass, R.; Langford, K.; Anjarwalla, P.; Mithöfer, D. Public–Private Partnerships in Agroforestry. In Encyclopedia of Agriculture and Food Systems; Academic Press: Oxford, UK, 2014; pp. 544–564. [Google Scholar]
- Gouyon, A.; Foresta, H.; Levang, P. Does ‘jungle rubber’ deserve its name? An analysis of rubber agroforestry systems in southeast Sumatra. Agrofor. Syst. 1993, 22, 181–206. [Google Scholar] [CrossRef]
- Ekadinata, A.; Vincent, G. Rubber agroforests in a changing landscape: Analysis of land use/cover trajectories in Bungo district, Indonesia. For. Trees Livelihoods 2011, 20, 3–14. [Google Scholar] [CrossRef]
- Langenberger, G.; Cadisch, G.; Martin, K.; Min, S.; Waibel, H. Rubber intercropping: A viable concept for the 21st century? Agrofor. Syst. 2017, 91, 577–596. [Google Scholar] [CrossRef]
- Lin, W.; Zeng, X.; Xie, G.; Zhang, Z.; An, F.; Wang, J.; Zhang, X.; Wu, Z.; Zhou, L. Thinking and practice on intercropping in rubber plantations. China Trop. Agric. 2011, 4, 11–15. (In Chinese) [Google Scholar]
- Huang, X.; Lan, G.; Yang, C.; Wu, Z.; Tao, Z. Shrub-grass species diversity of rubber plantations under different cultivation patterns in Hainan. J. Northwest Forest. Univ. 2016, 31, 115–120. (In Chinese) [Google Scholar]
- Huang, J.; Pan, J.; Zhou, L.; Yuan, S.; Lin, W. Effect of light deficiency on productivity of intercrops in rubber-crop agroforestry system. Chin. J. Eco-Agric. 2020, 28, 680–689. (In Chinese) [Google Scholar]
- Dong, T. Response of Intercropped Ficus hirta Vahl Growth and Yield to Nitrogen Fertilization in Different Rubber Plantations. Master’s Thesis, China Agricultural University, Beijing, China, 2023. (In Chinese). [Google Scholar]
- Gan, L.; An, J.; Zhu, C. Nutrient analysis and evaluation of Maranta arundinacea. Guangxi Forest. Sci. 2021, 50, 49–53. (In Chinese) [Google Scholar]
- Cai, S.; Wang, J.; He, X. Research and development status of arrowroot in China. J. Chang. Veg. 2021, 8, 38–41. (In Chinese) [Google Scholar]
- Deswina, P.; Priadi, D. Development of arrowroot (Maranta arundinacea L.) As functional food based of local resource. IOP Conf. Ser. Earth Environ. Sci. 2020, 439, 12041. [Google Scholar] [CrossRef]
- Oktafani, M.B.; Supriyono; Budiastuti, M.S.; Purnomo, D. Performance of arrowroot (Maranta arundinacea) in various light intensities. IOP Conf. Ser. Earth Environ. Sci. 2018, 142, 12048. [Google Scholar] [CrossRef]
- Liang, M.; An, J.; Li, C.; Long, W.; Liao, Y.; Zhu, C. Effects of different crown densities on growth and yield of Maranta arundinacea. Guangxi Forest Sci. 2022, 51, 499–502. (In Chinese) [Google Scholar]
- Maharani, D.; Sudomo, A.; Swestiani, D.; Murniati; Sabastian, G.S.; Roshetko, J.M.; Fambayun, R.A. Intercropping tuber crops with teak in Gunungkidul Regency, Yogyakarta, Indonesia. Agronomy 2022, 12, 449. [Google Scholar] [CrossRef]
- Friday, J.; Fownes, J. Competition for light between hedgerows and maize in an alley cropping system in Hawaii, USA. Agrofor. Syst. 2002, 55, 125–137. [Google Scholar] [CrossRef]
- Thevathasan, N.V.; Gordon, A.M. Ecology of tree intercropping systems in the north temperate region: Experiences from Southern Ontario, Canada. Agrofor. Syst. 2004, 61, 257–268. [Google Scholar]
- Huang, J.; Pan, J.; Zhou, L.; Chen, J.; Li, J.; Zheng, D.; Yuan, S.; Lin, W. Characteristic of productivity and physiology of stress tolerance of soybean and miaze intercropped in rubber plantation with paired row planting system. J. China Agric. Univ. 2015, 20, 57–65. (In Chinese) [Google Scholar]
- Sun, S.; Xia, X.; Liu, X.; Yin, W.; Chen, S. Effects of different pruning intensity on photosynthetic characters, growth and yield of crops in agroforestry. Acta Ecol. Sin. 2008, 28, 3185–3192. (In Chinese) [Google Scholar]
- Pardon, P.; Reubens, B.; Mertens, J.; Verheyen, K.; De Frenne, P.; De Sme, G.; Van, W.C.; Reheul, D. Effects of temperate agroforestry on yield and quality of different arable intercrops. Agric. Syst. 2018, 166, 135–151. [Google Scholar] [CrossRef]
- Lu, Q.; Zhang, Z.; Wu, Q.; Wu, X.; Wu, J.; Yin, J.; Gao, X. Technique for cultivation of konjac under rubber forests in Hainan. World Trop. Agric. Inform. 2020, 9, 13–14. (In Chinese) [Google Scholar]
- Li, H. Principles and Techniques of Plant Physiology and Biochemistry Experiments; Higher Education Press: Beijing, China, 2000. (In Chinese) [Google Scholar]
- Bao, S. Soil Agrochemical Analysis; China Agriculture Press: Beijing, China, 2000. (In Chinese) [Google Scholar]
- Swadija, O.; Padmanabhan, V.B.; Kumar, V. Growth and yield of arrowroot intercropped in coconut garden as influence by organic management. J. Root Crops 2013, 39, 67–72. [Google Scholar]
- Xie, E.; Luo, C.; Yang, L.; Ou, Z.; Rao, P.; Cen, Y.; Zhao, J.; Zeng, G.; Wang, G.; Huang, G.; et al. Analysis of the cultivation technique and benefit of interplanting arrowroot in chestnut tree. Agric. Sci. 2022, 12, 484–488. (In Chinese) [Google Scholar]
- Reynolds, P.E.; Simpson, J.A.; Thevathasan, N.V.; Gordon, A.M. Effects of tree competition on corn and soybean photosynthesis, growth, and yield in a temperate tree-based agroforestry intercropping system in Southern Ontario, Canada. Ecol. Eng. 2007, 29, 362–371. [Google Scholar] [CrossRef]
- Wang, X.; Zhang, B.; Wang, M.; Zhang, T.; He, Y. Competition for light and crop productivity in agro-forestrial systems in hilly red soil region: A case study of Choerospondias axillaris Intercopping with Arachis hypogaea. Chin. J. Ecol. 2002, 21, 1–5. (In Chinese) [Google Scholar]
- Zhang, X.; Zhang, Q.; Zhou, H.; Zhang, H.; Li, J. Study on the adaptability and cultivation techniques of arrowroot. Yunnan Agric. Sci. 2006, 6, 18–20. (In Chinese) [Google Scholar]
- Yuan, Q.; Luo, C.; Luo, L.; Yang, L.; Ou, Z.; Luo, Y.; Xun, S.; Lei, J. Research progress in the development and utilization of arrowroot and its development prospects in Guizhou. Agric. Technol. Serv. 2020, 37, 92–94. (In Chinese) [Google Scholar]
- Yang, L.; Zhang, Q.; Li, J.; Zhou, M. The growth habits and development value of arrowroot. Chin. Wild Plant Resour. 2006, 25, 37–38. (In Chinese) [Google Scholar]
- Chen, X.; Liu, X.; Zhao, L.; You, M. Study on properties of arrowroot (Maranta arundinacea L.) starch. Food Sci. 2008, 29, 132–136. [Google Scholar]
- Rodrigo, V.H.L.; Silva, T.U.K.; Munasinghe, E.S. Improving the spatial arrangement of planting rubber (Hevea brasiliensis muell. Arg.) for long-term intercropping. Field Crops Res. 2004, 89, 327–335. [Google Scholar] [CrossRef]
- Singh, R.; Ong, C.; Saharan, N. Above and below ground interactions in alley cropping in semiarid India. Agrofor. Syst. 1989, 9, 259–274. [Google Scholar] [CrossRef]
- Lin, F. Preliminary Studies on the Characteristics and Utilizations of Intercropping Resources in the Whole Cycle Intercropping Rubber Plantation. Master’s Thesis, Hainan University, Haikou, China, 2014. (In Chinese). [Google Scholar]
- Sudrajat, D.J.; Rohandi, A.; Yulianti; Nurhasybi; Rustam, E.; Budiadi; Hardiwinoto, S.; Harmayani, E. Growth, tuber yield, and starch content of arrowroot (Maranta arundinacea) accessions on different altitudes and tree shades. Plant Physiol. Rep. 2023, 28, 221–230. [Google Scholar] [CrossRef]
- Li, Y.; Xiong, Y. Collection study between light intensity and primary metabolite content of Taxus mairei (Lemee et Levl.) S.Y. Hu ex Liu. China J. Tradit. Chin. Med. Pharm. 2023, 28, 221–230. (In Chinese) [Google Scholar]
- Zhu, Q.; Xiang, L.; Tang, L.; Long, G. The effects of nitrogen application rate on photosynthetic characteristics of potato under intercropping. Chin. J. Ecol. 2018, 37, 1391–1397. (In Chinese) [Google Scholar]











| Treatments | Distance from Rubber Tree Location (m) | Rubber Root Gravimetric Density (g m−3) | Arrowroot Gravimetric Density (g m−3) |
|---|---|---|---|
| S | 1.5 | 616.2 a | - |
| 3.5 | 150.7 c | 5.7 b | |
| D | 3 | 250.5 b | - |
| 4 | 107.0 c | 36.3 a |
Disclaimer/Publisher’s Note: The statements, opinions and data contained in all publications are solely those of the individual author(s) and contributor(s) and not of MDPI and/or the editor(s). MDPI and/or the editor(s) disclaim responsibility for any injury to people or property resulting from any ideas, methods, instructions or products referred to in the content. |
© 2023 by the authors. Licensee MDPI, Basel, Switzerland. This article is an open access article distributed under the terms and conditions of the Creative Commons Attribution (CC BY) license (https://creativecommons.org/licenses/by/4.0/).
Share and Cite
Huang, J.; Pan, J.; Wei, Y.; Dong, T.; Zhang, X.; Tu, H.; Wang, X. Yield Performance of Intercropped Marantha arundinacea L. (Arrowroot) in Two Rubber Plantation Designs. Agronomy 2023, 13, 2754. https://doi.org/10.3390/agronomy13112754
Huang J, Pan J, Wei Y, Dong T, Zhang X, Tu H, Wang X. Yield Performance of Intercropped Marantha arundinacea L. (Arrowroot) in Two Rubber Plantation Designs. Agronomy. 2023; 13(11):2754. https://doi.org/10.3390/agronomy13112754
Chicago/Turabian StyleHuang, Jianxiong, Jian Pan, Yuanxu Wei, Tianzhan Dong, Xiaoyan Zhang, Hanqi Tu, and Xiuquan Wang. 2023. "Yield Performance of Intercropped Marantha arundinacea L. (Arrowroot) in Two Rubber Plantation Designs" Agronomy 13, no. 11: 2754. https://doi.org/10.3390/agronomy13112754
APA StyleHuang, J., Pan, J., Wei, Y., Dong, T., Zhang, X., Tu, H., & Wang, X. (2023). Yield Performance of Intercropped Marantha arundinacea L. (Arrowroot) in Two Rubber Plantation Designs. Agronomy, 13(11), 2754. https://doi.org/10.3390/agronomy13112754
