Improvement of Tomato Fruit Quality and Soil Nutrients through Foliar Spraying Fulvic Acid under Stress of Copper and Cadmium
Abstract
1. Introduction
2. Materials and Methods
2.1. Test Material
2.2. Test Method and Process
2.3. Measuring Projects and Methods
2.3.1. Determination of Different Forms of Cu and Cd in Soil
2.3.2. Determination of Cu, Cd and Trace Elements in Tomato Plants
2.3.3. Determination of Tomato Fruit Quality Index
2.4. Data Processing
3. Results and Analysis
3.1. Effects of Spraying FA on the Growth Vigor of Tomato under Different Cu, Cd Stress
3.2. Effect of Spraying FA on Tomato Yield under Different Cu, Cd Stress
3.3. Effects of Spraying FA on Cu and Cd Contents in Tomato Fruit under Different Cu, Cd Stress
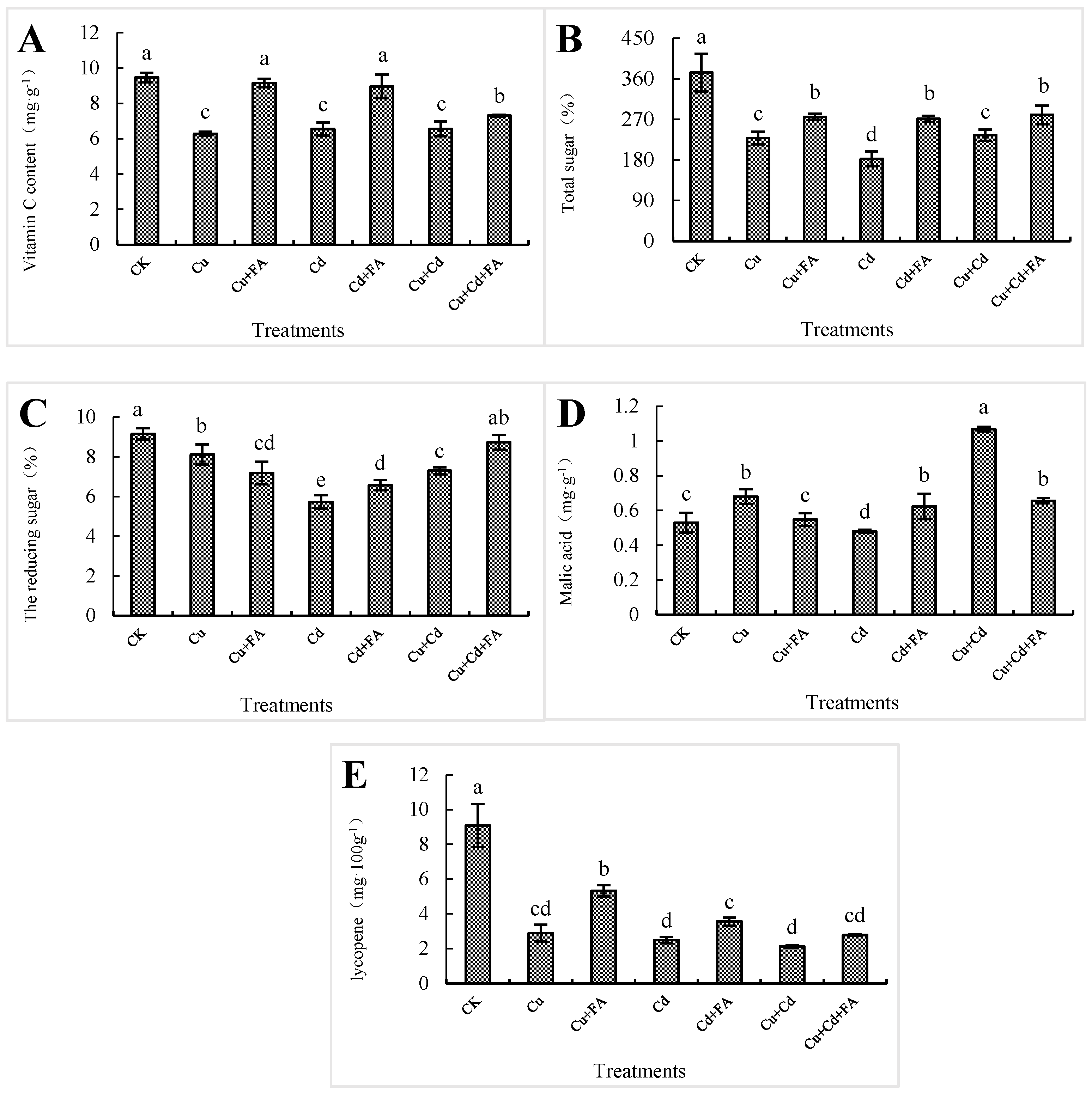
3.4. Effects of Spraying FA on the Fruit Quality of Tomato under Cu, Cd Stress
3.5. Effects of Spraying FA on N, P, and K Content of Tomato Fruit under Different Cu, Cd Stress
3.6. Effects of Spraying FA on Fe, Zn, Ca and Mg in Tomato Fruit under Cu, Cd Stress
3.7. Effects of Spraying FA on Cu and Cd Speciation in Soil under Cu, Cd Stress
4. Discussion
4.1. Effects of Spraying FA on Contents of Different Forms of Cu, Cd in Soil under Stress of Cu, Cd
4.2. Effects of Spraying FA on the Growth and Mineral Nutrients of Tomatoes under Stress of Cu, Cd
5. Conclusions
- (1)
- Foliar spraying of FA changed the forms of Cu and Cd in 0~10 cm soil, made them transform to insoluble and residual forms, reduced the bioavailability of Cu and Cd, reduced the absorption and transport of Cu and Cd in tomato plants, and further reduced the accumulation of heavy metals in fruits.
- (2)
- Foliar spraying FA promoted the absorption of various mineral nutrients under stress of Cu, Cd, especially increased the absorption of N, P and K by tomato fruits (20.5~156%), improved the quality of tomato fruits, especially the content of Vc (11.4~45.9%) and total sugar (19.2~48.5%), and increased the yield of tomato fruits.
- (3)
- Under stress of Cu, Cd, foliar spraying FA could exert multiple effects, including promoting nutrient absorption and reducing the bioavailability of heavy metals in soil and their accumulation in fruits. Therefore, the desired goals of improving quality, increasing yield, and reducing pollution could be achieved synchronously.
Author Contributions
Funding
Data Availability Statement
Conflicts of Interest
References
- Ran, S.; He, T.; Zhou, X.; Yin, D. Effects of fulvic acid and humic acid from different sources on Hg methylation in soil and accumulation in rice. J. Environ. Sci. 2022, 119, 93–105. [Google Scholar] [CrossRef]
- Gong, G.; Li, Z.; Zhang, Y.; Ma, L.; Wang, Z.; Li, R.; Liang, S.; Lu, S.; Ma, L. Preparation and structural characterisation of coal-based fulvic acid based on lignite. J. Mol. Struct. 2022, 1260, 132766. [Google Scholar] [CrossRef]
- Zhang, S.Y.; Wen, J.; Hu, Y.; Fang, Y.; Zhang, H.B.; Xing, L.; Wang, Y.X.; Zeng, G.M. Humic substances from green waste compost: An effective washing agent for heavy metal (Cd, Ni) removal from contaminated sediments. J. Hazard. Mater. 2019, 366, 210–218. [Google Scholar] [CrossRef] [PubMed]
- Pan, C.G.; Chen, K.Y.; Chen, D.T. Effect of Organics on Heavy Metal-Contaminated River Sediment Treated with Electro-Osmosis and Solidification/Stabilization Methods. Materials 2020, 13, 1466. [Google Scholar] [CrossRef]
- Cui, H.Y.; Wen, X.; Wu, Z.; Zhao, Y.; Lu, Q.; Wei, Z. Insight into complexation of Cd(II) and Cu(II) to fulvic acid based on feature recognition of PARAFAC combined with 2DCOS. J. Hazard. Mater. 2022, 440, 129758. [Google Scholar] [CrossRef]
- He, X.; Zhang, H.; Li, J.; Yang, F.; Dai, W.; Xiang, C.; Zhang, M. The Positive Effects of Humic/Fulvic Acid Fertilizers on the Quality of Lemon Fruits. Agronomy 2022, 12, 1919. [Google Scholar] [CrossRef]
- Li, Z.; Chen, Q.; Gao, F.; Meng, Q.; Li, M.; Zhang, Y.; Zhang, P.; Zhang, M.; Liu, Z. Controlled-release urea combined with fulvic acid enhanced carbon/nitrogen metabolic processes and maize growth. J. Sci. Food Agric. 2021, 102, 3644–3654. [Google Scholar] [CrossRef]
- Zita, B.; Virgilijus, P.; Dovile, A. The influence of fulvic acid on spring cereals and sugar beets seed germination and plant productivity. Environ. Res. 2021, 195, 110824. [Google Scholar]
- Gholami Golafshan, M.; Madani, H.; Heydari Sharifabadi, H.; Nourmohammadi, Q.; Yasari, E. The effect of growth compounds with different doses on physiological characteristics of rice in the treasury. Model. Earth Syst. Environ. 2022, 8, 5521–5534. [Google Scholar] [CrossRef]
- Zhong, S.L. Analysis of determination factors and extraction process of lycopene. Chin. Foreign Food Ind. 2014, 9–10. [Google Scholar] [CrossRef]
- Zhu, Y.Z. Confirmation report on the determination method of total acid in food. Sci. Fortune 2018, 9, 137. [Google Scholar]
- Li, Y.H. Determination of reduced vitamin C in fruits by molybdenum blue colorimetry. Chin. Tianjin Chem. Ind. 2002, 1, 31–32. [Google Scholar] [CrossRef]
- Zhang, J.X.; He, Z.A.; Xi, R.Y.; Wang, D.X. Experimental study on determination of carbohydrates in fig by o-T colorimetry. Chin. Tradit. Herb. Med. 1999, 30, 826–828. [Google Scholar]
- Bonanno, G. Trace element accumulation and distribution in the organs of Phragmites australis (common reed) and biomonitoring applications. Ecotoxicol. Environ. Saf. 2011, 74, 1057–1064. [Google Scholar] [CrossRef]
- Dong, Y.; Lin, H.; Zhao, Y.; Gueret Yadiberet Menzembere, E.R. Remediation of vanadium-contaminated soils by the combination of natural clay mineral and humic acid. J. Clean. Prod. 2021, 279, 123874. [Google Scholar] [CrossRef]
- Pérez-Moreno, S.M.; Gázquez, M.J.; Pérez-López, R.; Bolivar, J. Validation of the BCR sequential extraction procedure for natural radionuclides. Chemosphere 2018, 198, 397–408. [Google Scholar] [CrossRef] [PubMed]
- Du, Q.; Li, G.; Zhang, S.; Song, J.; Zhao, Y.; Yang, F. High-dispersion zero-valent iron particles stabilized by artificial humic acid for lead ion removal. J. Hazard. Mater. 2020, 383, 121170. [Google Scholar] [CrossRef]
- Liu, N.; Ye, W.; Zhao, G.; Liu, G. Release of free-state ions from fulvic acid-heavy metal complexes via VUV/H2O2 photolysis: Photodegradation of fulvic acids and recovery of Cd2+ and Pb2+ stripping voltammetry currents. Environ. Pollut. 2022, 315, 120420. [Google Scholar] [CrossRef]
- Feng, J.; Lin, Y.; Yang, Y.; Shen, Q.; Huang, J.; Wang, S.; Zhu, X.; Li, Z. Tolerance and bioaccumulation of Cd and Cu in Sesuvium portulacastrum. Ecotoxicol. Environ. Saf. 2018, 147, 306–312. [Google Scholar] [CrossRef]
- Wang, Y.; Yang, R.; Zheng, J.; Shen, Z.; Xu, X. Exogenous foliar application of fulvic acid alleviate cadmium toxicity in lettuce (Lactuca sativa L.). Ecotoxicol. Environ. Saf. 2019, 167, 10–19. [Google Scholar] [CrossRef]
- Wang, Y.J.; Hu, M.M.; Cui, X.M.; Lou, Y.H.; Zhuge, Y.P. Exogenous NO mediated the detoxification pathway of tomato seedlings under different stress of Cu and Cd. J. Appl. Ecol. 2018, 29, 4199–4207. [Google Scholar]
- Dong, G.; Nkoh, J.N.; Hong, Z.-N.; Dong, Y.; Lu, H.-L.; Yang, J.; Pan, X.-Y.; Xu, R.-K. Phytotoxicity of Cu2+ and Cd2+ to the roots of four different wheat cultivars as related to charge properties and chemical forms of the metals on whole plant roots. Ecotoxicol. Environ. Saf. 2020, 196, 110545. [Google Scholar] [CrossRef]
- Xiao, L.; Guan, D.; Peart, M.R.; Chen, Y.; Li, Q. The respective effects of soil heavy metal fractions by sequential extraction procedure and soil properties on the accumulation of heavy metals in rice grains and brassicas. Environ. Sci. Pollut. Res. Int. 2017, 24, 2558–2571. [Google Scholar] [CrossRef]
- Lüdtke, A.C.; Dick, D.P.; Morosino, L.; Kraemer, V. Productivity of lettuce in greenhouse as affected by humic and fulvic acids application in association to mineral fertilizer. Hortic. Bras. 2021, 39, 444–450. [Google Scholar] [CrossRef]
- Yan, Z.; Li, X.; Chen, J.; Tam, N.F.-Y. Combined toxicity of cadmium and copper in Avicennia marina seedlings and the regulation of exogenous jasmonic acid. Ecotoxicol. Environ. Saf. 2015, 113, 124–132. [Google Scholar] [CrossRef]
- Wang, Y.-J.; Dong, Y.-X.; Wang, J.; Cui, X.-M. Alleviating effects of exogenous NO on tomato seedlings under combined Cu and Cd stress. Environ. Sci. Pollut. Res. 2016, 23, 4826–4836. [Google Scholar] [CrossRef]
- Zhou, X.; Zhang, X.; Ma, C.; Wu, F.; Jin, X.; Dini-Andreote, F.; Wei, Z. Biochar amendment reduces cadmium uptake by stimulating cadmium-resistant PGPR in tomato rhizosphere. Chemosphere 2022, 307 Pt 4, 136138. [Google Scholar] [CrossRef]
- Lv, D.; Sun, H.; Zhang, M.; Li, C. Fulvic Acid Fertilizer Improves Garlic Yield and Soil Nutrient Status. Gesunde Pflanz. 2022, 74, 685–693. [Google Scholar] [CrossRef]
- Baghaie, A.H.; Aghili, F. Contribution of Piriformospora indica on improving the nutritional quality of greenhouse tomato and its resistance against cu toxicity after humic acid addition to soil. Environ. Sci. Pollut. Res. 2021, 28, 64572–64585. [Google Scholar] [CrossRef]
- Noor, A.E.; Nisa, Z.U.; Sultana, S.; Al-Ghanim, K.A.; Al-Misned, F.; Riaz, M.N.; Ahmed, Z.; Mahboob, S. Heavy metals toxicity in spinach (Spinacia oleracea) irrigated with sanitary wastewater in rural areas. J. King Saud Univ. Sci. 2023, 35, 102382. [Google Scholar] [CrossRef]
- Cheng, Z.; Yang, J.; Li, L.; Chen, Y.; Wang, X. Flocculation inspired combination of layered double hydroxides and fulvic acid to form a novel composite adsorbent for the simultaneous adsorption of anionic dye and heavy metals. J. Colloid Interface Sci. 2022, 618, 386–398. [Google Scholar] [CrossRef] [PubMed]
- Suh, H.Y.; Yoo, K.S.; Suh, S.G. Effect of foliar application of fulvic acid on plant growth and fruit quality of tomato (Lycopersicon esculentum L.). Hortic. Environ. Biotechnol. 2014, 55, 455–461. [Google Scholar] [CrossRef]
- Zhang, P.; Zhang, H.; Wu, G.; Chen, X.; Gruda, N.; Li, X.; Dong, J.; Duan, Z. Dose-Dependent Application of Straw-Derived Fulvic Acid on Yield and Quality of Tomato Plants Grown in a Greenhouse. Front. Plant Sci. 2021, 12, 736613. [Google Scholar] [CrossRef] [PubMed]





| Indicators | The Tested Soil |
|---|---|
| Organic matter/(g·kg−1) | 13.41 |
| NO3−/(mg·kg−1) | 3.35 |
| NH4+/(mg·kg−1) | 31.35 |
| Available P/(mg·kg−1) | 40.06 |
| Available K/(mg·kg−1) | 133.3 |
| Total Cu/(mg·kg−1) | 8.54 |
| Total Cd/(mg·kg−1) | 0.624 |
| Available Cu/(mg·kg−1) | 1.23 |
| Available Cd/(mg·kg−1) | 0.051 |
| Treatment Code | Treatment | Abbreviation |
|---|---|---|
| CK | Control | CK |
| T1 | Single Cu stress | Cu |
| T2 | Foliar spraying FA under Cu stress | Cu + FA |
| T3 | Single Cd stress | Cd |
| T4 | Foliar spraying FA under Cu stress | Cd + FA |
| T5 | Combined stress of Cu and Cd | Cu + Cd |
| T6 | Foliar spraying FA under Cu, Cd stress | Cu + Cd + FA |
| Element | Treatments | ||||||
|---|---|---|---|---|---|---|---|
| CK | T1 (Cu) | T2 (Cu + FA) | T3 (Cd) | T4 (Cd + FA) | T5 (Cu + Cd) | T6 (Cu + Cd + FA) | |
| Fe | 210.5 ± 28.4 a | 116.9 ± 7.03 cd | 166.6 ± 7.33 b | 135.3 ± 4.64 c | 173.5 ± 18.8 b | 98.98 ± 5.17 d | 127.5 ± 5.55 c |
| Zn | 22.54 ± 2.99 a | 14.00 ± 0.74 c | 22.24 ± 1.08 a | 18.44 ± 0.62 b | 22.34 ± 1.70 a | 14.51 ± 0.28 c | 16.40 ± 1.07 bc |
| Ca | 0.16 ± 0.01 a | 0.12 ± 0.01 cd | 0.14 ± 0.00 b | 0.12 ± 0.00 cd | 0.13 ± 0.00 b | 0.12 ± 0.00 d | 0.13 ± 0.00 bc |
| Mg | 0.13 ± 0.00 a | 0.12 ± 0.00 b | 0.13 ± 0.00 a | 0.12 ± 0.00 b | 0.13 ± 0.00 a | 0.11 ± 0.00 b | 0.12 ± 0.00 a |
| Treatment | Water Soluble State | Ion Exchange State | Carbonate Combination State | Ferric–Manganese Oxidation State | Organic State | Residue State | Total |
|---|---|---|---|---|---|---|---|
| CK | 0.08 ± 0.01 d | 0.41 ± 0.06 c | 0.27 ± 0.01 d | 0.07 ± 0.01 d | 0.73 ± 0.03 d | 0.51 ± 0.12 d | 2.07 d |
| T1 (Cu) | 5.61 ± 0.52 a | 5.02 ± 0.41 a | 4.37 ± 0.55 a | 1.64 ± 0.05 a | 4.79 ± 0.18 a | 4.86 ± 1.14 b | 16.3 c |
| T2 (Cu + FA) | 4.74 ± 0.05 b | 3.13 ± 0.20 b | 3.22 ± 0.05 b | 0.80 ± 0.12 c | 2.73 ± 0.03 c | 9.42 ± 0.45 a | 24.0 a |
| T3 (Cd) | 0.47 ± 0.01 c | 0.45 ± 0.04 c | 0.55 ± 0.02 d | 0.09 ± 0.02 d | 0.28 ± 0.00 d | 0.19 ± 0.05 d | 2.03 d |
| T4 (Cd + FA) | 0.36 ± 0.02 c | 0.34 ± 0.02 c | 0.47 ± 0.01 d | 0.07 ± 0.00 d | 0.17 ± 0.01 d | 0.28 ± 0.08 d | 1.69 e |
| T5 (Cu + Cd) | 6.08 ± 0.49 a | 5.05 ± 0.69 a | 1.25 ± 0.03 c | 0.98 ± 0.02 b | 3.71 ± 0.94 b | 3.23 ± 0.11 c | 20.3 b |
| T6 (Cu + Cd + FA) | 4.80 ± 0.59 b | 3.51 ± 0.23 b | 1.09 ± 0.03 c | 0.71 ± 0.05 c | 4.42 ± 0.03 a | 8.80 ± 0.58 a | 23.3 a |
| Treatment | Water Soluble State | Ion Exchange State | Carbonate Combination State | Ferric–Manganese Oxidation State | Organic State | Residue State | Total |
|---|---|---|---|---|---|---|---|
| CK | — | — | 0.20 ± 0.01 b | 0.06 ± 0.00 d | 0.02 ± 0.01 b | 0.07 ± 0.01 c | 0.35 b |
| T1 (Cu) | — | — | 0.14 ± 0.03 b | 0.06 ± 0.00 d | 0.05 ± 0.00 b | 0.17 ± 0.01 c | 0.44 b |
| T2 (Cu + FA) | — | — | 0.01 ± 0.00 c | 0.15 ± 0.01 c | 0.08 ± 0.01 b | 0.11 ± 0.02 c | 0.35 b |
| T3 (Cd) | — | 0.87 ± 0.10 a | 0.51 ± 0.09 a | 0.32 ± 0.04 b | 0.31 ± 0.03 a | 0.58 ± 0.20 b | 2.59 a |
| T4 (Cd + FA) | — | 0.52 ± 0.11 b | 0.17 ± 0.06 b | 0.32 ± 0.05 b | 0.35 ± 0.09 a | 0.97 ± 0.25 a | 2.33 a |
| T5 (Cu + Cd) | — | 0.97 ± 0.08 a | 0.22 ± 0.08 b | 0.38 ± 0.07 ab | 0.37 ± 0.10 a | 0.54 ± 0.18 b | 2.48 a |
| T6 (Cu + Cd + FA) | — | 0.60 ± 0.06 b | 0.20 ± 0.05 b | 0.40 ± 0.04 a | 0.37 ± 0.02 b | 0.73 ± 0.27 ab | 2.30 a |
Disclaimer/Publisher’s Note: The statements, opinions and data contained in all publications are solely those of the individual author(s) and contributor(s) and not of MDPI and/or the editor(s). MDPI and/or the editor(s) disclaim responsibility for any injury to people or property resulting from any ideas, methods, instructions or products referred to in the content. |
© 2023 by the authors. Licensee MDPI, Basel, Switzerland. This article is an open access article distributed under the terms and conditions of the Creative Commons Attribution (CC BY) license (https://creativecommons.org/licenses/by/4.0/).
Share and Cite
Shi, X.; Zhang, L.; Li, Z.; Xiao, X.; Zhan, N.; Cui, X. Improvement of Tomato Fruit Quality and Soil Nutrients through Foliar Spraying Fulvic Acid under Stress of Copper and Cadmium. Agronomy 2023, 13, 275. https://doi.org/10.3390/agronomy13010275
Shi X, Zhang L, Li Z, Xiao X, Zhan N, Cui X. Improvement of Tomato Fruit Quality and Soil Nutrients through Foliar Spraying Fulvic Acid under Stress of Copper and Cadmium. Agronomy. 2023; 13(1):275. https://doi.org/10.3390/agronomy13010275
Chicago/Turabian StyleShi, Xiaodi, Lingfei Zhang, Zehan Li, Xiangyang Xiao, Nanbiao Zhan, and Xiumin Cui. 2023. "Improvement of Tomato Fruit Quality and Soil Nutrients through Foliar Spraying Fulvic Acid under Stress of Copper and Cadmium" Agronomy 13, no. 1: 275. https://doi.org/10.3390/agronomy13010275
APA StyleShi, X., Zhang, L., Li, Z., Xiao, X., Zhan, N., & Cui, X. (2023). Improvement of Tomato Fruit Quality and Soil Nutrients through Foliar Spraying Fulvic Acid under Stress of Copper and Cadmium. Agronomy, 13(1), 275. https://doi.org/10.3390/agronomy13010275
