Harvest and Post-Harvest Performance of Autumn-Winter Butterhead Lettuce as Affected by Nitrogen and Azoxystrobin Application
Abstract
1. Introduction
2. Materials and Methods
2.1. Field Experimental Site and Climatic Conditions
2.2. Field Management of Crop, Experimental Design, and Treatments
2.3. Sampling and Measurements
2.3.1. Effect of N Levels and Azoxystrobin Application on Plant Material
Physical and Morphological Traits
Visual Quality
Physiological Traits
Nutritional and Anti-Nutritional Traits
2.3.2. Effect of N Levels and Azoxystrobin Application on Stored Plant Material
- —
- total, as: WLTot = (FWup(T7) − FWup(T0))/FWup(T0) × 100;
- —
- by respiration, as: WLResp = (FWp(T7) − FWp(T0))/FWup(T0) × 100;
- —
- by transpiration, as: WLTrans = WLTot − WLResp.
2.4. Statistical Analysis
3. Results
3.1. Weather Conditions
3.2. Productive, Morpho-Biometric, Visual Quality and Bio-Physiological Attributes of Butterhead Lettuce at Harvest
3.3. Nutritional and Anti-Nutritional Attributes of Butterhead Lettuce at Harvest
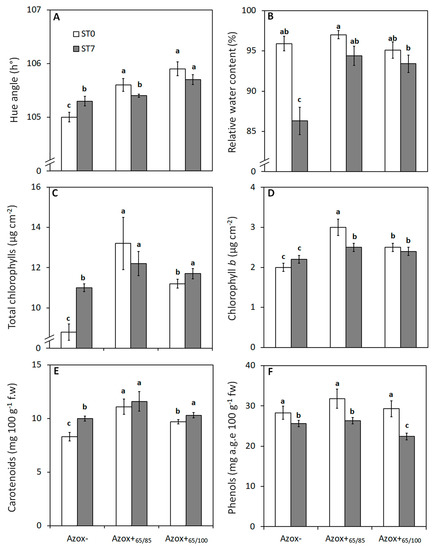
3.4. Biometrical, Physiological and Nutritional Changes during Post-Harvest Storage
4. Discussion
4.1. Effects of N and Azoxystrobin Application on Fresh Leaves of Butterhead Lettuce
4.1.1. Productive, Morpho-Biometric, and Bio-Physiological Attributes
4.1.2. Nutritional and Anti-Nutritional Attributes
4.2. Effects of N and Azoxystrobin Application on Stored Leaves of Butterhead Lettuce
5. Conclusions
Supplementary Materials
Author Contributions
Funding
Data Availability Statement
Acknowledgments
Conflicts of Interest
References
- Cantwell, M.; Suslow, T. Fresh-cut Fruits and Vegetables: Aspects of Physiology, Preparation and Handling That Affect Quality. In Annual Workshop Fresh-Cut Products: Maintaining Quality and Safety; University of California: Davis, CA, USA, 1999; Volume 5, pp. 1–2. [Google Scholar]
- Saltveit, M.E. Physical and Physiological Changes in Minimally Processed Fruits and Vegetables. In Proceedings-Phytochemical Society of Europe; Oxford University Press Inc.: Oxford, UK, 1996; Volume 41, pp. 205–220. [Google Scholar]
- Koukounaras, A.; Bantis, F.; Karatolos, N.; Melissas, C.; Vezyroglou, A. Influence of Pre-Harvest Factors on Postharvest Quality of Fresh-cut and Baby Leafy Vegetables. Agronomy 2020, 10, 172. [Google Scholar] [CrossRef]
- Kader, A.A. Flavor Quality of Fruits and Vegetables. J. Sci. Food Agric. 2008, 88, 1863–1868. [Google Scholar] [CrossRef]
- Colelli, G.; Elia, A. I Prodotti Ortofrutticoli Di IV Gamma: Aspetti Fisiologici e Tecnologici-Italus Hortus. Italus Hortus 2009, 16, 55–78. [Google Scholar]
- Grossmann, K.; Retzlaff, G. Bioregulatory Effects of the Fungicidal Strobilurin Kresoxim-Methyl in Wheat (Triticum aestivum). Pestic. Sci. 1997, 50, 11–20. [Google Scholar] [CrossRef]
- Wu, Y.-X.; von Tiedemann, A. Physiological Effects of Azoxystrobin and Epoxiconazole on Senescence and the Oxidative Status of Wheat. Pestic. Biochem. Physiol. 2001, 71, 1–10. [Google Scholar] [CrossRef]
- Anke, T.; Oberwinkler, F.; Steglich, W.; Schramm, G. The Strobilurins-New Antifungal Antibiotics from the Basidiomycete Strobilurus Tenacellus. J. Antibiot. 1977, 30, 806–810. [Google Scholar] [CrossRef] [PubMed]
- Carucci, F.; Gatta, G.; Gagliardi, A.; Vita, P.D.; Giuliani, M.M. Strobilurin Effects on Nitrogen Use Efficiency for the Yield and Protein in Durum Wheat Grown Under Rainfed Mediterranean Conditions. Agronomy 2020, 10, 1508. [Google Scholar] [CrossRef]
- Giuliani, M.M.; Nardella, E.; Gatta, G.; De Caro, A.; Quitadamo, M. Processing Tomato Cultivated under Water Deficit Conditions: The Effect of Azoxystrobin. Acta Hortic. 2011, 914, 287–294. [Google Scholar] [CrossRef]
- Giuliani, M.M.; Carucci, F.; Nardella, E.; Francavilla, M.; Ricciardi, L.; Lotti, C.; Gatta, G. Combined Effects of Deficit Irrigation and Strobilurin Application on Gas Exchange, Yield and Water Use Efficiency in Tomato (Solanum lycopersicum L.). Sci. Hortic. 2018, 233, 149–158. [Google Scholar] [CrossRef]
- Giuliani, M.M.; Gagliardi, A.; Nardella, E.; Carucci, F.; Amodio, M.L.; Gatta, G. The Effect of Strobilurin on Ethylene Production in Flowers, Yield and Quality Parameters of Processing Tomato Grown under a Moderate Water Stress Condition in Mediterranean Area. Sci. Hortic. 2019, 249, 155–161. [Google Scholar] [CrossRef]
- Bonasia, A.; Conversa, G.; Lazzizera, C.; Elia, A. Pre-Harvest Nitrogen and Azoxystrobin Application Enhances Postharvest Shelf-Life in Butterhead Lettuce. Postharvest Biol. Technol. 2013, 85, 67–76. [Google Scholar] [CrossRef]
- Conversa, G.; Bonasia, A.; Lazzizera, C.; Elia, A. Pre-Harvest Nitrogen and Azoxystrobin Application Enhances Raw Product Quality and Post-Harvest Shelf-Life of Baby Spinach (Spinacia oleracea L.). J. Sci. Food Agric. 2014, 94, 3263–3272. [Google Scholar] [CrossRef] [PubMed]
- Candido, V.; Boari, F.; Cantore, V.; Castronuovo, D.; Di Venere, D.; Perniola, M.; Sergio, L.; Viggiani, R.; Schiattone, M.I. Interactive Effect of Nitrogen and Azoxystrobin on Yield, Quality, Nitrogen and Water Use Efficiency of Wild Rocket in Southern Italy. Agronomy 2020, 10, 849. [Google Scholar] [CrossRef]
- Schiattone, M.I.; Boari, F.; Cantore, V.; Castronuovo, D.; Denora, M.; Di Venere, D.; Perniola, M.; Renna, M.; Sergio, L.; Candido, V. Effects of Nitrogen, Azoxystrobin and a Biostimulant Based on Brown Algae and Yeast on Wild Rocket Features at Harvest and During Storage. Agronomy 2021, 11, 2326. [Google Scholar] [CrossRef]
- Candido, V.; Boari, F.; Cantore, V.; Castronuovo, D.; Denora, M.; Sergio, L.; Todorovic, M.; Schiattone, M.I. Interactive effect of water regime, nitrogen rate and biostimulant application on physiological and biochemical traits of wild rocket. Agric. Water Manag. 2023, 277, 108075. [Google Scholar] [CrossRef]
- Sundravadana, S.; Alice, D.; Kuttalam, S.; Samiyappan, R. Azoxystrobin Induces Lignification-Related Enzymes and Phenolics in Rice (Oryza sativa L.) against Blast Pathogen (Pyricularia grisea). J. Plant Interact. 2007, 2, 219–224. [Google Scholar] [CrossRef]
- Andreotti, C.; Rouphael, Y.; Colla, G.; Basile, B. Rate and Timing of Application of Biostimulant Substances to Enhance Fruit Tree Tolerance toward Environmental Stresses and Fruit Quality. Agronomy 2022, 12, 603. [Google Scholar] [CrossRef]
- Altunkaya; Altunkaya-Dinçay, A.; Gokmen; Gökmen, V. Purification and Characterization of Polyphenol Oxidase, Peroxidase and Lipoxygenase from Freshly Cut Lettuce (Lactuca sativa). Food Technol. Biotechnol. 2011, 49, 249–256. [Google Scholar]
- Biehler, E.; Mayer, F.; Hoffmann, L.; Krause, E.; Bohn, T. Comparison of 3 Spectrophotometric Methods For Carotenoid Determination in Frequently Consumed Fruits and Vegetables. J. Food Sci. 2009, 75, 55–61. [Google Scholar] [CrossRef]
- Elia, A.; Conversa, G. Agronomic and Physiological Responses of a Tomato Crop to Nitrogen Input. Eur. J. Agron. 2012, 40, 64–74. [Google Scholar] [CrossRef]
- Nelson, K.A.; Meinhardt, C.G. Foliar Boron and Pyraclostrobin Effects on Corn Yield. Agron. J. 2011, 103, 1352–1358. [Google Scholar] [CrossRef]
- Henry, R.S.; Johnson, W.G.; Wise, K.A. The Impact of a Fungicide and an Insecticide on Soybean Growth, Yield, and Profitability. Crop Prot. 2011, 30, 1629–1634. [Google Scholar] [CrossRef]
- Hill, C.B.; Bowen, C.R.; Hartman, G.L. Effect of Fungicide Application and Cultivar on Soybean Green Stem Disorder. Plant Dis. 2013, 97, 1212–1220. [Google Scholar] [CrossRef]
- Glaab, J.; Kaiser, W.M. Increased Nitrate Reductase Activity in Leaf Tissue after Application of the Fungicide Kresoxim-Methyl. Planta 1999, 207, 442–448. [Google Scholar] [CrossRef]
- Köehle, H.; Grossmann, K.; Jabs, T.; Gerhard, M.; Kaiser, W.; Glaab, J.; Conrath, U.; Seehaus, K.; Herms, S. Physiological Effects of the Strobilurin Fungicide F 500 on Plants. In Modern Fungicides and Antifungal Compounds III; Russell, P.E., Ed.; Springer: Berlin/Heidelberg, Germany, 2003; pp. 61–74. [Google Scholar]
- Amaro, A.C.E.; Ramos, A.R.P.; Macedo, A.C.; Ono, E.O.; Rodrigues, J.D. Effects of the Fungicides Azoxystrobin, Pyraclostrobin and Boscalid on the Physiology of Japanese Cucumber. Sci. Hortic. 2018, 228, 66–75. [Google Scholar] [CrossRef]
- Weraduwage, S.M.; Chen, J.; Anozie, F.C.; Morales, A.; Weise, S.E.; Sharkey, T.D. The Relationship between Leaf Area Growth and Biomass Accumulation in Arabidopsis Thaliana. Front. Plant Sci. 2015, 6, 167. [Google Scholar] [CrossRef]
- Żelawski, W.; Walker, R.B. Photosynthesis, Respiration, and Dry Matter Production. In Modern Methods in Forest Genetics; Miksche, J.P., Ed.; Springer: Berlin/Heidelberg, Germany, 1976; pp. 89–119. [Google Scholar]
- Sinclair, T.R.; Muchow, R.C. Radiation Use Efficiency. In Advances in Agronomy; Sparks, D.L., Ed.; Academic Press: Cambridge, MA, USA, 1999; Volume 65, pp. 215–265. [Google Scholar]
- Zhang, Y.-J.; Zhang, X.; Chen, C.-J.; Zhou, M.-G.; Wang, H.-C. Effects of Fungicides JS399-19, Azoxystrobin, Tebuconazloe, and Carbendazim on the Physiological and Biochemical Indices and Grain Yield of Winter Wheat. Pestic. Biochem. Physiol. 2010, 98, 151–157. [Google Scholar] [CrossRef]
- Lan, C.-Y.; Lin, K.-H.; Huang, W.-D.; Chen, C.-C. Physiological Effects of the Fungicide Azoxystrobin on Wheat Seedlings under Extreme Heat. Not. Bot. Horti Agrobot. Cluj-Napoca 2019, 47, 683–690. [Google Scholar] [CrossRef]
- Liang, S.; Xu, X.; Lu, Z. Effect of Azoxystrobin Fungicide on the Physiological and Biochemical Indices and Ginsenoside Contents of Ginseng Leaves. J. Ginseng Res. 2018, 42, 175–182. [Google Scholar] [CrossRef]
- Toivonen, P.M.A.; Brummell, D.A. Biochemical Bases of Appearance and Texture Changes in Fresh-cut Fruit and Vegetables. Postharvest Biol. Technol. 2008, 48, 1–14. [Google Scholar] [CrossRef]
- Friedman, M. Chemistry, Biochemistry, and Dietary Role of Potato Polyphenols. A Review. J. Agric. Food Chem. 1997, 45, 1523–1540. [Google Scholar] [CrossRef]
- Hunter, P.J.; Atkinson, L.D.; Vickers, L.; Lignou, S.; Oruna-Concha, M.J.; Pink, D.; Hand, P.; Barker, G.; Wagstaff, C.; Monaghan, J.M. Oxidative Discolouration in Whole-Head and Cut Lettuce: Biochemical and Environmental Influences on a Complex Phenotype and Potential Breeding Strategies to Improve Shelf-Life. Euphytica 2017, 213, 180. [Google Scholar] [CrossRef] [PubMed]
- Blom-Zandstra, M. Nitrate Accumulation in Vegetables and Its Relationship to Quality. Ann. Appl. Biol. 1989, 115, 553–561. [Google Scholar] [CrossRef]
- Yang, X.; Gil, M.I.; Yang, Q.; Tomás-Barberán, F.A. Bioactive Compounds in Lettuce: Highlighting the Benefits to Human Health and Impacts of Preharvest and Postharvest Practices. Compr. Rev. Food Sci. Food Saf. 2022, 21, 4–45. [Google Scholar] [CrossRef]
- Apak, R.; Özyürek, M.; Güçlü, K.; Çapanoğlu, E. Antioxidant Activity/Capacity Measurement. 1. Classification, Physicochemical Principles, Mechanisms, and Electron Transfer (ET)-Based Assays. J. Agric. Food Chem. 2016, 64, 997–1027. [Google Scholar] [CrossRef]
- Nwankno, A.J.; Gordon, S.L.; Verrall, S.R.; Brennan, R.M.; Hancock, R.D. Treatment with Fungicides Influences Phytochemical Quality of Blackcurrant Juice. Ann. Appl. Biol. 2012, 160, 86–96. [Google Scholar] [CrossRef]
- Boari, F.; Cantore, V.; Di Venere, D.; Sergio, L.; Candido, V.; Schiattone, M.I. Pyraclostrobin Can Mitigate Salinity Stress in Tomato Crop. Agric. Water Manag. 2019, 222, 254–264. [Google Scholar] [CrossRef]
- Lopes, A.M.; Schumacher, P.V.; Martínez, A.T.P.; da Costa Netto, A.P.; ChalfunJunior, A. Insights into the positive effect of Pyraclostrobin on sugarcane productivity. Agronomy 2018, 8, 122. [Google Scholar] [CrossRef]
- Kong, Y.; Nemali, K. Blue and Far-Red Light Affect Area and Number of Individual Leaves to Influence Vegetative Growth and Pigment Synthesis in Lettuce. Front. Plant Sci. 2021, 12, 667407. [Google Scholar] [CrossRef]
- Răcuciu, M. Effects of Radiofrequency Radiation on Root Tip Cells of Zea Mays. Roum. Biotechnol. Lett. 2009, 14, 4365–4369. [Google Scholar]
- Sharma, P.; Jha, A.; Dubey, R.; Pessarakli, M. Reactive Oxygen Species, Oxidative Damage, and Antioxidative Defense Mechanism in Plants under Stressful Conditions. J. Bot. 2012, 2012, 217037. [Google Scholar] [CrossRef]
- Rouphael, Y.; Carillo, P.; Colla, G.; Fiorentino, N.; Sabatino, L.; El-Nakhel, C.; Giordano, M.; Pannico, A.; Cirillo, V.; Shabani, E.; et al. Appraisal of Combined Applications of Trichoderma Virens and a Biopolymer-Based Biostimulant on Lettuce Agronomical, Physiological, and Qualitative Properties under Variable N Regimes. Agronomy 2020, 10, 196. [Google Scholar] [CrossRef]
- Di Mola, I.; Cozzolino, E.; Ottaiano, L.; Nocerino, S.; Rouphael, Y.; Colla, G.; El-Nakhel, C.; Mori, M. Nitrogen Use and Uptake Efficiency and Crop Performance of Baby Spinach (Spinacia oleracea L.) and Lamb’s Lettuce (Valerianella locusta L.) Grown under Variable Sub-Optimal N Regimes Combined with Plant-Based Biostimulant Application. Agronomy 2020, 10, 278. [Google Scholar] [CrossRef]
- Xu, C.; Mou, B. Responses of Spinach to Salinity and Nutrient Deficiency in Growth, Physiology, and Nutritional Value. Journal of the American Society for Horticultural Science. Am. Soc. Hortic. Sci. 2016, 141, 12–21. [Google Scholar] [CrossRef]
- Hernández, V.; Botella, M.Á.; Hellín, P.; Cava, J.; Fenoll, J.; Mestre, T.; Martínez, V.; Flores, P. Phenolic and Carotenoid Profile of Lamb’s Lettuce and Improvement of the Bioactive Content by Preharvest Conditions. Foods 2021, 10, 188. [Google Scholar] [CrossRef]
- Zhou, W.; Liang, X.; Li, K.; Dai, P.; Li, J.; Liang, B.; Sun, C.; Lin, X. Metabolomics Analysis Reveals Potential Mechanisms of Phenolic Accumulation in Lettuce (Lactuca sativa L.) Induced by Low Nitrogen Supply. Plant Physiol. Biochem. 2021, 158, 446–453. [Google Scholar] [CrossRef]
- Paull, R. Effect of Temperature and Relative Humidity on Fresh Commodity Quality. Postharvest Biol. Technol. 1999, 15, 263–277. [Google Scholar] [CrossRef]
- Silva, E. Influence of Preharvest Factors on Postharvest Quality|EOrganic. Available online: https://eorganic.org/node/2670 (accessed on 7 December 2022).
- Teng, Z.; Luo, Y.; Bornhorst, E.R.; Zhou, B.; Simko, I.; Trouth, F. Identification of Romaine Lettuce (Lactuca sativa var. longifolia) Cultivars with Reduced Browning Discoloration for Fresh-cut Processing. Postharvest Biol. Technol. 2019, 156, 110931. [Google Scholar] [CrossRef]
- Wilson, J.W.; Rose, C.W. The Components of Leaf Water Potential I. Osmotic and Matric Potentials. Aust. J. Biol. Sci. 1967, 20, 329–348. [Google Scholar] [CrossRef]
- González, L.; González-Vilar, M. Determination of Relative Water Content. In Handbook of Plant Ecophysiology Techniques; Springer: Dordrecht, The Netherlands, 2001; pp. 207–212. [Google Scholar]
- Brecht, J.K. Physiology of Lightly Processed Fruits and Vegetables. HortScience 1995, 30, 18–22. [Google Scholar] [CrossRef]
- Liu, W.; Xu, K.; Su, H.; Wang, H.L. Effect of nitrogen nutrition on physiological index of spinach senescence. Plant Nutr. Fert. Sci. 2007, 13, 1110–1115. [Google Scholar]
- Kevers, C.; Falkowski, M.; Tabart, J.; Defraigne, J.-O.; Dommes, J.; Pincemail, J. Evolution of Antioxidant Capacity during Storage of Selected Fruits and Vegetables. J. Agric. Food Chem. 2007, 55, 8596–8603. [Google Scholar] [CrossRef] [PubMed]
- Iammarino, M.; Berardi, G.; Vita, V.; Elia, A.; Conversa, G.; Di Taranto, A. Determination of Nitrate and Nitrite in Swiss Chard (Beta vulgaris L. Subsp. vulgaris) and Wild Rocket (Diplotaxis tenuifolia (L.) DC.) and Food Safety Evaluations. Foods 2022, 11, 2571. [Google Scholar] [CrossRef] [PubMed]
- Silalahi, J.; Nasution, A.F.; Ginting, N.; Silalahi, Y.C.E. The Effect of Storage Condition on Nitrite and Nitrate Content in Lettuce (Lactuca sativa L.). Int. J. PharmTech Res. 2016, 9, 422–427. [Google Scholar]
- Chung, S.Y.; Kim, J.S.; Kim, M.; Hong, M.K.; Lee, J.O.; Kim, C.M.; Song, I.S. Survey of Nitrate and Nitrite Contents of Vegetables Grown in Korea. Food Addit. Contam. 2003, 20, 621–628. [Google Scholar] [CrossRef]



| Treatments | Fresh Yield | Dry Yield | Head Weight | Head Height | Head Length | Leaf Number | Leaf Area | Dry Matter | Specific Leaf Area | L* | h° | C* |
|---|---|---|---|---|---|---|---|---|---|---|---|---|
| (t ha−1) | (t ha−1) | (g) | (cm) | (cm) | (no.) | (cm2) | (g kg−1 f.w.) | (mg cm−2) | (-) | (-) | (-) | |
| N rate (N) | ||||||||||||
| N0 | 23.7b (2) | 1.3b | 321.0a | 12.8a | 21.8a | 45.0a | 3.686a | 56.4a | 4.9b | 56.9b | 105.9a | 40.1b |
| N50 | 24.2a | 1.4a | 327.4a | 12.2a | 21.1a | 43.4a | 3.475a | 57.2a | 5.4a | 59.6a | 104.9b | 41.8a |
| N100 | 23.3b | 1.3b | 315.1a | 12.3a | 20.7a | 44.6a | 3.635a | 56.2a | 4.89b | 57.0b | 105.8a | 41.4a |
| Azoxystrobin (Azox) | ||||||||||||
| Azox- | 21.5b | 1.2b | 290.0b | 12.3a | 19.7b | 40.6b | 3.349b | 55.8b | 4.8b | 58.8a | 105.0b | 42.2a |
| Azox+65/85 | 24.2a | 1.4a | 327.8ab | 12.6a | 22.9a | 47.2a | 3.527ab | 58.6a | 5.5a | 57.2b | 105.6a | 40.4b |
| Azox+65/100 | 25.6a | 1.4a | 345.7a | 12.4a | 21.1ab | 45.3ab | 3.923a | 55.6b | 4.9b | 57.4b | 105.9a | 40.5b |
| Significance (1) | ||||||||||||
| N | * | * | ns | ns | ns | ns | ns | ns | * | *** | *** | ** |
| Azox | * | * | * | ns | ** | * | * | ** | ** | * | *** | *** |
| N x Azox | ns | ns | ns | ns | ns | ns | ns | ns | ns | ns | ns | ns |
| Treatments | Activity of Polyphenol Oxidases | Osmotic Potential | Relative Water Content | Electrolyte Leakage | Chlorophylls | ||
|---|---|---|---|---|---|---|---|
| a | b | Total | |||||
| (Unit Activity g−1 fw) | (bar) | (%) | (%) | (µg cm−2) | |||
| N rate (N) | |||||||
| N0 | 283.0a (2) | −6.2a | 95.0a | 18.2a | 9.0a | 2.7a | 11.8a |
| N50 | 214.4a | −5.8a | 96.3a | 18.1a | 8.2a | 2.4a | 10.7a |
| N100 | 205.4a | −5.9a | 96.6a | 17.4a | 8.3a | 2.4a | 10.8a |
| Azoxystrobin (Azox) | |||||||
| Azox- | 375.6a | −5.8a | 95.9a | 17.0a | 6.7c | 2.0c | 8.9c |
| Azox+65/85 | 128.0b | −6.1a | 97.0a | 18.7a | 10.1a | 3.0a | 13.2a |
| Azox+65/100 | 179.3b | −6.0a | 95.1a | 18.0a | 8.6b | 2.5b | 11.2b |
| Significance (1) | |||||||
| N | ns | ns | ns | ns | ns | ns | ns |
| Azox | ** | ns | ns | ns | *** | *** | *** |
| N x Azox | ns | ns | ns | ns | ns | ns | ns |
| Treatments | Carotenoids | Phenols | Antioxidant Capacity | Anions | ||||||
|---|---|---|---|---|---|---|---|---|---|---|
| Lipophilic | Hydrophilic | Total | Nitrate | Nitrate | Chloride | Phosphate | Sulfate | |||
| (mg 100 g−1 f.w.) | (mg a.g.e. 100 g−1 f.w.) | (µmol T.E. kg−1 f.w) | (mg kg−1 f.w.) | (g kg−1 d.w.) | ||||||
| N rate (N) | ||||||||||
| N0 | 10.5a (2) | 34.0a | 102a | 1383a | 1484a | 1001b | 17.4b | 3.6a | 7.9a | 2.6a |
| N50 | 9.0b | 30.0ab | 108a | 1234a | 1342a | 1430ab | 25.0ab | 3.3a | 8.7a | 2.6a |
| N100 | 9.7ab | 25.3b | 107a | 1054a | 1162a | 1668a | 29.1a | 2.9a | 8.5a | 2.3a |
| Azoxystrobin (Azox) | ||||||||||
| Azox- | 8.3c | 28.3a | 118a | 736b | 855b | 1031a | 18.5a | 4.5a | 8.7a | 2.1a |
| Azox+65/85 | 11.1a | 31.8a | 90b | 1367a | 1458a | 1632a | 27.4a | 2.7a | 7.9a | 2.7a |
| Azox+65/100 | 9.8b | 29.3a | 109a | 1567a | 1676a | 1433a | 25.6a | 2.6a | 8.7a | 2.6a |
| Significance (1) | ||||||||||
| N | * | ** | ns | ns | ns | * | * | ns | ns | ns |
| Azox | *** | ns | ** | *** | *** | ns | ns | ns | ns | ns |
| N x Azox | ns | ns | ns | ns | ns | ns | ns | ns | ns | ns |
| Dry Matter (g kg−1 f.w.) | Lightness Index (L*) | Hue Angle (h°) | Saturation Index (C*) | Osmotic Potential (bar) | Relative Water Content (%) | Electrolyte Leakage (%) | Chlorophyll a (µg cm−2) | Chlorophyll b (µg cm−2) | Total Chlorophylls (µg cm−2) | Carotenoids (mg 100 g −1 f.w.) | Phenols (mg a.g.e. 100 g−1 f.w.) | Lipophilic Antioxidant Capacity(µmol T.E. kg−1 f.w) | Hydrophilic Antioxidant Capacity(µmol T.E. kg−1 f.w) | Total Antioxidant Capacity (µmol T.E. kg−1 f.w) | Nitrate (mg kg−1 f.w.) | Nitrate (g kg−1 d.w.) | Chloride (g kg−1 d.w.) | Phosphate (g kg−1 d.w.) | Sulphate g kg−1 d.w.) | |
|---|---|---|---|---|---|---|---|---|---|---|---|---|---|---|---|---|---|---|---|---|
| Storage time (ST) | ||||||||||||||||||||
| Time 0 | 56.6a (2) | 57.8a | 105.5a | 41.1a | −5.9a | 96.0a | 17.9b | 8.5a | 2.5a | 11.1a | 9.7b | 29.8a | 106a | 1224b | 1329b | 1366a | 23.8a | 3.3b | 8.4b | 2.5a |
| Time 7 | 58.1a | 56.8b | 105.5a | 41.6a | −5.6b | 91.4b | 19.1a | 9.2a | 2.4a | 11.7a | 10.6a | 24.8b | 57b | 1816a | 1872a | 951b | 16.5b | 7.2a | 11.0a | 1.9b |
| Significance (1) | ||||||||||||||||||||
| ST | ns | * | ns | ns | * | *** | * | ns | ns | ns | * | ** | *** | *** | *** | ** | *** | *** | ** | ** |
| ST*N | ns | ns | *** | ns | ns | ns | * | ns | ns | ns | ns | ns | ns | ns | ns | ns | ns | ns | ns | ns |
| ST*Azox | ns | ns | ** | ns | ns | *** | ns | *** | *** | *** | *** | ** | ns | ns | ns | ns | ns | ns | ns | ns |
| ST*N*Azox | ns | ns | ns | ns | ns | ns | ns | ns | ns | ns | ns | ns | ns | ns | ns | ns | ns | ns | ns | ns |
Disclaimer/Publisher’s Note: The statements, opinions and data contained in all publications are solely those of the individual author(s) and contributor(s) and not of MDPI and/or the editor(s). MDPI and/or the editor(s) disclaim responsibility for any injury to people or property resulting from any ideas, methods, instructions or products referred to in the content. |
© 2023 by the authors. Licensee MDPI, Basel, Switzerland. This article is an open access article distributed under the terms and conditions of the Creative Commons Attribution (CC BY) license (https://creativecommons.org/licenses/by/4.0/).
Share and Cite
Bonasia, A.; Conversa, G.; Lazzizera, C.; Elia, A. Harvest and Post-Harvest Performance of Autumn-Winter Butterhead Lettuce as Affected by Nitrogen and Azoxystrobin Application. Agronomy 2023, 13, 222. https://doi.org/10.3390/agronomy13010222
Bonasia A, Conversa G, Lazzizera C, Elia A. Harvest and Post-Harvest Performance of Autumn-Winter Butterhead Lettuce as Affected by Nitrogen and Azoxystrobin Application. Agronomy. 2023; 13(1):222. https://doi.org/10.3390/agronomy13010222
Chicago/Turabian StyleBonasia, Anna, Giulia Conversa, Corrado Lazzizera, and Antonio Elia. 2023. "Harvest and Post-Harvest Performance of Autumn-Winter Butterhead Lettuce as Affected by Nitrogen and Azoxystrobin Application" Agronomy 13, no. 1: 222. https://doi.org/10.3390/agronomy13010222
APA StyleBonasia, A., Conversa, G., Lazzizera, C., & Elia, A. (2023). Harvest and Post-Harvest Performance of Autumn-Winter Butterhead Lettuce as Affected by Nitrogen and Azoxystrobin Application. Agronomy, 13(1), 222. https://doi.org/10.3390/agronomy13010222

