Abstract
Irrigation determines the success of water-intensive beet cultivation in Hungary. Taking into account the guidelines of the circular economy; the aim of our study was to investigate the effect of high sodium effluent from fish farms on the yield and sugar content of fodder and sugar beet in two-year-lysimeter experiment and to calculate the possibility of phytoremediation and the potential to use saline effluent water to mitigate drought effects of root biomass reduction According to our results, irrigation with effluent water did not cause yield depression in the root biomass compared to irrigation with fresh water. The effect of irrigation water quality was seen in the sodium (Na) concentration values of the roots in both years, because it was the lowest in the treatments irrigated with Körös River fresh water. The highest estimated extracted sodium amount was 83.1 kg Na/ha in case of fodder beet variety ‘Rózsaszínű Beta’ in treatment irrigated with effluent water from catfish farm (EW) in 2021, which means 7.2% of the Na applied through the effluent water. All cultivars produced higher root fresh weight when irrigated with river Körös, effluent, or diluted waters compared to control crops irrigated by scarce rain water.
1. Introduction
In 2019, 22.5% of global sugar production comes from sugar beet and 77.5% from sugar cane []. Europe accounts for 12% of world sugar production and there was 67% of total sugar beet areas on this continent in 2014 []. However, at the same time, in addition to food production, its use as a biofuel is also significant, sugar beet was the predominant feedstock in the European Union, accounting for 48% of total crops cultivated for bioethanol production from 2011 to 2018 [].
In Hungary early traces of sugar beet cultivation can be found: in 1790, the Hungarian Lutheran pastor Sámuel Tessedik brought from Germany the seeds of the burgundy beet; the ancestor of sugar beet []. The size of the area under sugar beet and the yield have changed significantly over the last 30 years. Between 1990 and 2021, the sown area of sugar beet in Hungary decreased by a tenth from 131,000 hectares to 12,000 ha, and, during the same period, the yield per hectare increased from 36 t to 53 t []. According to global trend, it can be observed that root yield was increased from 1961 to 2014 by about 160%, due to improvements in sugar beet yield per hectare as a result of advancements in plant breeding methods, agricultural mechanization, and fertilizer application []. At the same time, the domestic yield average still lags behind Western European values, the average yield of Belgium, Denmark, Germany, Estonia, France, the Netherlands, Switzerland countries is 83.3 t/ha [] and also lags behind the global average production volume: 60.3 t of sugar beet root per hectare []. In addition to cultivation technology developments, increasing the efficiency of irrigation, the use of wastewater for irrigation, and improving the condition of the soil may create opportunities to increase efficiency in domestic beet cultivation.
According to Rozema et al [] one way to obtain salt tolerance in crops is to domesticate halophytes and beet is such an example, where the salt tolerance relates to its ancestor, sea beet. Sugar beet can be produced by using low-quality water resources and on salt-effected soils [,]. In contrast, De Smet et al. [] suggest that high salinity (6 dS/m) in soil after pig slurry application may have been the cause of delayed germination. According to Srivastava [] statistical assessment of salinity hazard indicates the yield of sugar beet was unaffected when was irrigated with groundwater with 80.1–119.89 Na mg/L concentration. Based on our previous studies, there was no demonstrable yield reduction in the case of energy willow and sorghum plants due to the water quality of the fish farm [,].
In addition to the above, we investigated whether the expected salt accumulation due to high sodium water [,] can be reduced by incorporating sugar or fodder beet into the crop rotation. According to Quadir et al. [] removal of aboveground biomass of plant species, used for phytoremediation of sodic and saline-sodic soils, removes salts and Na+ taken up by the plants and accumulated in their shoots. In our case, the harvested plant parts is the beet root, according to previous Hungarian studies sugar beet accumulated 9–45 kg Na/ 10 t root mass [] or even 75–80 kg Na/10 t root mass []. Accumulators halophytes and recretohalophytes could be used in phytoextraction applications and accumulators have been used successfully for the reclamation of saline and sodic soils []. Remediation via accumulator halophytes relies on plant uptake and storage of salts within above-ground tissue followed by harvest and disposal of biomass []. According to Rozema et al. [] saline agriculture that exploits brackish water and salinized soils can deliver not only food products for human consumption, such as vegetables and fruits, but also cattle fodder, raw materials for industrial use, biofuel and biodiesel. Considering the use of accumulated plant parts, in addition to sugar beet, we also examined fodder beet varieties in our experiment due to the use of beets for feed purposes.
In this research, we irrigated beets with recycled water during the cultivation in order to describe the effect of water quality on the yield. The aims of our study were (1) to investigate the effect of high sodium effluent from fish farms on the yield and sugar content of fodder and sugar beet in lysimeter experiment and (2) to calculate the possibility of phytoremediation based on our experiment.
2. Materials and Methods
2.1. Experiment in Lysimeters
2.1.1. Site Description and Climatic Conditions
The experiment was set up at the Lysimeter Research Station (46°51′49″ N 20°31′39″ E Szarvas, Hungary) of the Hungarian University of Agriculture and Life Sciences (MATE), Institute of Environmental Sciences (IES), Research Center for Irrigation and Water Management (ÖVKI). Eight plants were sown into each vessel, total of 64 lysimeters were used for the experiment. The lysimeters were 1 m deep and 1 m2 in surface. The soil of the lysimeter was non-stratified disturbed Vertisol with clay texture, 0.03% total salinity, 5.12% exchangeable sodium percentage, 2.1% total carbonate, and 1.31% total organic carbon. At the bottom of all lysimeters, a 10 cm layer of fine gravel was placed for the collection of leachate water, however there were no leachate water in this experiment.
Hungary has a temperate continental climate, the specific area of the experimental site is described as warm and dry climate region. Meteorological data from the two-year experiment (2020–2021) were collected at an automatic station 600 m from the Lysimeter Research Station. In the first year of the experiment (2020) the total precipitation was 611.6 mm, in the second year (2021) the total precipitation was 433.9 mm. The year 2020 was not only drier but also warmer (12.1 °C) than the second experimental year (11.6 °C) (Figure 1).

Figure 1.
Monthly precipitation amount and average monthly temperature of experimental years (2020, 2021).
Growth period in the first experimental year (2020) was from 17 April to 16 October and it was from 9 April to 20 October in the second experimental year (2021).
2.1.2. Plant Material
Both fodder beet varieties were bred in Sopronhorpács, Hungary and the breed maintenance institute is University of West Hungary. The fodder beet ‘Beta Vöröshenger’ were added to National List of Varieties according to National Food Chain Safety Office in Hungary (NÉBIH) on 25 May 1977. The fodder beet ‘Rózsaszínű Beta’ was added to the list on 31 January 1944. Both sugar beet varieties belongs to KWS Saat SE, Germany: ‘Grandiosa’ was added to our national list on 9 March 2016, ‘Helenika’ was added to the list in 2014, however it was cancelled in last year (25 March 2021).
2.1.3. Experimental Design for Reused Water Irrigation
Untreated effluent water from a local intensive African catfish (Clarias gariepinus)farm was used for irrigation directly collected from the outflow of fish rearing tanks. This effluent water (EW) contains large amount of debris as fish feces, organic materials and rarely chemicals or antibiotics depending on the fish rearing technology []. The effluent is characterized by a high concentration of sodium and bicarbonates due to the geothermal origin of the water (Table 1). For irrigated control treatment, freshwater was applied from the local oxbow lake of the River Körös (KW). Diluted effluent water with gypsum (DW) was applied with 1:3 rate of EW and KW +0.312 kg m−3 gypsum.

Table 1.
Properties of the experimental irrigation water according to Kolozsvári et al. [].
In addition to the three types of irrigation water quality, the fourth treatment was a non-irrigated control treatment (Table 2), all treatments were performed in 4 lysimeters per variety.

Table 2.
Summary table of treatments.
Water demand of sugar beets was described by Ruzsányi in 1990 [] for three different, Hungarian region based on climatic conditions and the “water demand of sugar beet the northern part of the Southern Great Plain region” was adapted in the experiment (Figure 2). In four periods (11–20 May 2021, 1–10, 11–20, 21–30 June 2020) precipitation (52.7 mm, 56.3 mm, 63 mm, 58.2 mm, respectively) was higher than the water demand of the beet (17 mm, 27 mm, 35 mm, 43 mm, respectively) (Figure 2). Total irrigated water amount was 297 mm (2020) and 422 mm (2021) in the two-year experiment.

Figure 2.
Precipitation plus irrigation water available to beets during two growing seasons. Water demand in “the northern part of the Southern Great Plain region” was described according to Ruzsányi in 1990 [].
2.1.4. Measurements and Statistical Analyses
At harvest, the weight of all beet roots in each lysimeter vessel was measured. This means four lysimeter pots per treatment and eight beet roots per pot; and a total of 32 replicates per treatment. The leaves were cut from the root body before measurement, but the root head was not cut off. All roots were washed before weighing and further testing. After the mass determination, the beets were divided into 3 parts perpendicular to the vertical axis, and sugar content measurements were performed from the filings of the middle part at the widest cross-section. The Reichert AR200 Digital Refractometer was used for the measurement, the sugar content was expressed in °Brix. The middle part at the widest cross section was used to make plant samples for the dry matter and sodium determination, one sample per each lysimeter vessel was sent for laboratory testing. Plant samples were prepared from the middle sections with the widest cross-section of the roots for dry matter and sodium determination, and one average plant sample from each lysimeter vessel was sent for laboratory analysis. An average sample per lysimeter was also prepared to determine the sodium content of the leaves. For the determination of the sodium, sample was extracted with nitric acid + hydrogen peroxide and its concentration was measured using inductively coupled plasma-optical emission spectrometry ICP-OES (according to Hungarian standard MSZ 08 1783 28-30:1985). The estimated extracted sodium was calculated as the product of fresh root mass, dry matter content, and sodium concentration.
Statistical analyses were implemented by IBM SPSS Statistics 25.0 software. Applying one-way analysis of variance (ANOVA), we examined the effect of irrigation water quality on the root mass, °Brix value and sodium content of beets per treatment and plant part. The differences were determined significant, where the Tukey’s or Dunnett post hoc test were considered significant at p ≤ 0.05.
3. Results
3.1. Effect of Irrigation Water Quality on the Root Mass of Sugar and Fodder Beet
The mean root weight in the non-irrigated treatment was lower than in the irrigated treatments in case of all beet cultivars and the differences were not significant only in case of ‘Beta Vöröshenger’ and ‘Grandiosa’ in 2020 (Figure 3). In the first experimental year (2020) there were no significant differences between the root weight of beet cultivars due to different irrigation water quality, the highest root mass values were measured in treatment KW in case of fodder beets (‘Rózsaszínű Beta’ 1764 ± 847 g) and in treatment EW in case of sugar beets (Grandiosa 1365 ± 637 g). The effect of water quality on the root weight of beet cultivars could not be statistically verified in 2021 either, however in both case of sugar beet cultivars the highest root weight was measured after Körös River water irrigation (‘Grandiosa’ 1699 ± 625 g, ‘Helenika’ 1436 ± 475 g). In case of fodder beets, the highest root weight was measured in treatment EW (‘Beta Vöröshenger’ 1509 ± 597 g). In the case of fodder beet cultivars, there was no significant difference between the mean root weights of the two cultivars in either year. In case of sugar beet cultivars, cultivar ‘Grandiosa’ (974 ± 498 g) had significantly higher mean root weight than ‘Helenika’ (671 ± 258 g), however the difference was proven only in non-irrigated treatment in the first experimental year.

Figure 3.
Mean fresh root weight of individual sugar and fodder beet plants in 2020 (A) and 2021 (B). The indexes with same letters means no significant differences between the treatments. N = 32. In 2020, in case of ‘Beta Vöröshenger’ and ‘Helenika’ non-parametric Kruskal-Wallis Test, p < 0.05, was used. In 2021, in case of ‘Beta Vöröshenger’, ‘Helenika’, ‘Rózsaszínű Beta’ non-parametric Kruskal-Wallis test was used. In all other cases Tukey’s Post Hoc Test, ANOVA, p < 0.05 was used.
3.2. Effect of Irrigation Water Quality on the Sugar Content of Sugar Beet Cultivars
In the first year of the experiment, irrigation water quality had a significant effect on sugar content in case of ‘Helenika’ cultivar (Figure 4). In case of both cultivars in treatment DW were measured the highest °Brix values (‘Grandiosa’ 18.4 ± 0.9, ‘Helenika’ 16.8 ± 0.9). There were no significant differences in values in treatment KW and EW for either cultivar in 2020. In the second year of the experiment, irrigation water quality had significant effect on sugar content of ‘Helenika’ cultivar, in treatment EW (18.76 ± 0.99) the °Brix value was lower than in treatment DW (20.16 ± 1.25) and KW (19.74 ± 1.35). Cultivar ‘Grandiosa’ had similar sugar content in all irrigated treatments in 2021. In the first year of the experiment, in all irrigated treatments (DW, K, E) the sugar contents (°Brix value) of ‘Grandiosa’ were significantly higher (18.4 ± 0.9, 17.9 ± 1.9, 17.3 ± 1.3, respectively) than ‘Helenika’ (16.8 ± 0.9, 15.5 ± 0.7, 15.2 ± 1.7, respectively). In 2021, the difference between the sugar content of beet cultivars was significant only in case of treatment EW, where ‘Grandiosa’ had higher sugar content (20.0 ± 1.4 °Brix) than ‘Helenika’ (18.8 ± 1.0 °Brix). In the non-irrigated control treatment, in 2020, the highest °Brix values were measured in case of both cultivars, in contrast, the second year of the experiment the lowest °Brix values were measured without irrigation in case of both cultivars (Figure 4).

Figure 4.
Sugar concentration (°Brix value) of sugar beet cultivars in 2020 (A) and 2021 (B). Values with same letters indicate no significant difference between the treatments. N = 32. In 2021, in case of ‘Helenika’ Tukey’s Post Hoc Test, ANOVA, p < 0.05, was used. In all other cases, non-parametric Kruskal-Wallis Test, p < 0.05, was used.
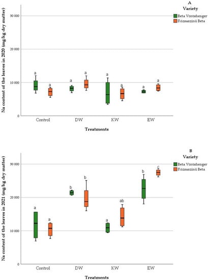
3.3. Effect of Irrigation Water Quality on the Sodium Content of Leaf of Fodder Beet Cultivars
In the first year of the experiment, there was no significant difference between the sodium concentrations of fodder leaves in different treatments (Figure 5). In the second year, higher Na values were measured than in 2020 in case of both cultivars. The highest Na values in leaf were measured in DW and EW treatment in 2021 (‘Beta Vöröshenger’: 21,405 ± 737, 22,575 ± 3755, respectively, ‘Rózsaszínű Beta’: 19,660 ± 3856, 27,458 ± 1030, respectively). In case of ‘Rózsaszínű Beta’ cultivar Na content of leaves in EW was significantly higher than DW treatment (Figure 5). There was also no statistically significant difference between ‘Beta Vöröshenger’ and ‘Rózsaszínű Beta’ cultivars (2020: 7857 ± 2195 and 7941 ± 1819, p = 0.907; 2021: 16,666 ± 6168 and 17,924 ± 7082, p = 596, respectively).

Figure 5.
Sodium content of dry leaves of fodder beet cultivars in 2020 (A) and 2021 (B). The indexes with same letters means no significant differences. N = 32. In 2021, in case of ‘Beta Vöröshenger’, non-parametric Kruskal-Wallis test was used. In all other cases Tukey’s Post Hoc Test, ANOVA, p < 0.05 was used.
3.4. Investigation of the Possibility of Phytoextraction by Harvesting Fodder Beet
The highest sodium concentration values in the roots could be measured in the rainfed control treatment in both years, as the amount of sodium in the soil was presumably enriched due to the low rainfall characteristic of the area (Table 3) Estimated extract sodium was calculated for fodder beet varieties in both experimental years. The precipitation was lower in 2021 than in 2020, hence the dry matter content and sodium content was also different in the years, which affected the result of the calculation. In contrast, regardless of the weather, the highest sodium concentration was measured in the irrigation treatment, while the highest estimated amount of sodium removed by the root was found in the effluent treatment (Table 3). In 2021, fodder beet of ‘Rózsaszínű Beta’ had higher estimated extract sodium amount, than ‘Beta Vöröshenger’. In case of ‘Beta Vöröshenger’ the lowest estimated extract sodium value was calculated in KW treatment in both years, while in case of ‘Rózsaszínű Beta’ was calculated in non-irrigated treatment.

Table 3.
Estimated extracted sodium by fodder beet harvest.
4. Discussion
In both years, we measured the lowest root weight in the non-irrigated treatment for all cultivars, as beets are a water-intensive plant. According to Rinaldi [] in general sugar beets consume 500–800 mm of water during the growing season. Haddock [] stated sugar beets grow in many climates, but they are irrigated mostly in the drier regions west of 100° west longitude, research workers observed that beets could be grown with 381 to 762 mm of irrigation water. In semi-arid climate, in Spain, Fabeiro et al. [] achieved high yields of sugar beet with fairly moderate water consumption rates: 690 mm. In Hungary, several early studies have dealt with determining the water demand of sugar beet. The following water needs have been defined: 560 mm [], 450–580 mm [], 587–590 mm in Central Hungary [], 556 mm in the “the northern part of the Southern Great Plain region” [], 550–600 mm in the Great Plain []. In our study, the precipitation of the experimental years was 612 mm (2020) and 434 mm (2021) (Figure 1), in the growing season of 2021, precipitation was 199 mm less than in the first year. The low root mass measured in the non-irrigated treatment was due to unsatisfied water demand. In this treatment, the difference between the root weights measured in different years was larger in case of Hungarian fodder beet cultivars, than in the case of sugar beet cultivars (Figure 3). However, according to Taleghani [] fodder beet has a wide range of drought-tolerant genes which, when transfered by crossing to other sugar beet genotypes can result in drought tolerance Comparing the sugar beets grown in our experiment, we found that in the case of ‘Helenika’ it accumulated a similar root mass in the two years characterized by different precipitation, in contrast to ‘Grandiosa’ had a larger difference in root biomass between years (Figure 1). According to Islam et al. [] Helenika was one of the most drought-tolerant cultivars of the 11 beet cultivars studied. No significant effect of irrigation water quality was observed for fresh weight of either fodder beet or sugar beet varieties.
According to our results, we measured a higher sugar content in 2020 for both sugar beet varieties than in 2021 (Figure 4) and the non-irrigated sugar beets had higher °Brix values than the irrigated ones. In the second year of the experiment (2021), only 7.9 mm of precipitation was from 20th July to 22th August (34 days), and then 64 mm of precipitation was measured until harvest (20th October), which may have caused a decrease in sugar content. Precipitation after a long dry period stimulates plants to sprout new leaves, but this has led to a reduction in sugar yields []. In contrast, according to Žarski et al [] a significantly higher sugar content was found in roots harvested after the dry growing season of 2018 (the sugar content contributed to an average of 18.4% of root dry weight) in comparison with the 2016 and 2017 season (average concentration of 16.6%) when precipitation totals exceeded sugar beet water needs. In case of ‘Grandiosa’ cultivar, no significant effect of irrigation water quality was observed for sugar concentration (Figure 4). According to Almodares and Sharif [] the effect of irrigation water quality (2, 5, 8, 11 dS/m) was not significant for sugar characteristics such as Brix and purity of sugar beet. According to Hassanli et al. [] irrigation with effluent (Marvedasht sewage treatment plant farm in Southern Iran) led to an increase in the net sugar yield due to an increase in the sugar beet root yield compared to fresh water. Nevertheless, sugar beet ‘Helenika’ had the lowest °Brix value in EW treatment in both years of our experiment. It is assumed that the cultivars are differently sensitive to the quality of the effluent, in our case the difference in the water qualities was also due to the nutrient content (NPK) and the salinity (EC) imposed by Na (Table 1).
In the experiment of Chakwizira et al. [] sodium content of leaves of fodder beet cultivars (‘Colosse’ and ‘Rivage’) was among 7200 and 16,900 mg/kg dry matter depend on the Na, Cl, K and gypsum fertilizer dose, in the control treatment 10,100 mg/ kg dry matter concentration was measured. Similar sodium concentration values were measured for our domestic fodder beet cultivars ‘Beta Vöröshenger’ and Rózsaszínű Beta’ (Figure 5). The irrigation water quality had only significant impact on sodium concentration of leaves in the second experimental year (Figure 5). We assume this is due to the fact that 42% more irrigation water was applied in the second year as 2021 was a drier year than 2020. This also means that 42% more Na was applied to the soil in the second year, which means the following values per hectare for the three irrigated treatments in 2021: EW: 1153 kg Na/ha DW: 558 kg Na/ha KW: 132 kg Na/ha. In case of ‘Rózsaszínű Beta’ there were differences between the effluent and the diluted water quality, but in case of other cultivar the dilution and added gypsum did not influence the Na concentration of the leaves.
According to Magat and Goh [], Chakwizira et al. [], Singh and Garg [] Na concentrations were higher in leaves than in bulbs/roots of fodder beet. Based on our measurements, sodium was also present in higher concentrations in roots (Table 3) than in the leaves of fodder beet (Figure 5). Sodium concentration in roots was higher in the non-irrigated treatments than the irrigatedones. According to Yolcu et al. [] effects of drought stress on cultivated beets (Beta vulgaris L.) could cause accumulation of Na+, K+ and Cl− ions in the plant. The effect of irrigation water quality was seen in the sodium concentration values of the roots in both years, because it was the lowest in the treatments irrigated with Körös water (Table 3). According to our earlier study in 2019 and Singh and Garg [] the sodium concentration of the fodder beet root was higher than that of the sugar beet, hence we calculated the estimated extract sodium only for fodder beet. Our aim was the same as Myburgh and Howell []: to determine the ability of a halophytic fodder crop to absorb Na if irrigated water containing Na. According to them, fodder beet holds promise as an interception crop to reduce Na accumulation, however further research is also required to determine the adaptability of fodder beet to heavier textured soils. In sandy soil, 178 kg Na/ha, 38% of the Na applied through the irrigation water was removed by fodder beet []. In our experiment, the highest estimated extracted sodium amount was 83.1 kg Na/ha in case of ‘Rózsaszínű Beta’ in treatment EW in 2021 (Table 3), which means 7.2% of the Na applied through the effluent irrigation water.
5. Conclusions
The aim of our research was to investigate the utilization of wastewater from an intensive African catfish farm in the irrigation of sugar and fodder beets. According to our results, no significant effect of irrigation water quality was observed for fresh root weight of either fodder beet or sugar beet varieties. Sugar beet cultivars were differently sensitive to water quality based on sugar content. ‘Helenika’ had a lower Brix value in EW than in KW or DW in 2021. Irrigation water quality had a significant effect on the amount of sodium accumulated in the roots of fodder beets, in treatment EW more Na accumulated in the roots than in treatment KW. However, the accumulated sodium in the underground plant part do not relevant in case of phytoremediation, but further research is warranted with regard to the quality of the salt water for fodder beet, since the plant tolerated the chemical properties of the water based on the root mass, so the crop is potentially suitable for the irrigation use of the reused water with moderately high sodium content.
Although further research is needed to support whether fodder beets are suitable for phytoextraction, effluent water of low salinity was appropriate for beet cultivation and to maintain root dry weight in a severely dry region of Hungary (the northern part of the Southern Great Plain region). Based on our results, the phytoextraction ability of the varieties included in the study is not decisive, so our goals include the study of additional varieties and the study of different national or international wild species. If we find variety or wild species whose phytoextraction ability makes it suitable for the practical use of high-salt irrigation water, we will examine its potential use as fodder in detail.
Author Contributions
Conceptualization, Á.K., C.B., L.P. and Á.S.B.; Data curation, Á.K. and Á.S.B.; Formal analysis, Á.K., Á.S.B. and I.K.; Funding acquisition, Á.K.; Supervision, L.P.; Methodology, I.K., Á.K. and Á.S.B.; Writing—original draft preparation, I.K.; Á.K. and Á.S.B.; Writing—review and editing, C.B. and L.P. All authors contributed critically to the drafts and gave final approval for publication. All authors have read and agreed to the published version of the manuscript.
Funding
This research was funded by The ÚNKP-21-4 New National Excellence Program of the Ministry for Innovation and Technology from the Source of the National Research, Development and Innovation Fund, grant number ÚNKP-21-4-II-MATE-5”.
Data Availability Statement
The data presented in this study are available on request from the corresponding author.
Acknowledgments
We would like to thank László Steinmacher for the seed and expert advice provided for the experiment. We are also extremely grateful to Éva Komár, Imre Babák and András Jansik for taking care of the experiment and for carrying out the field sampling.
Conflicts of Interest
The authors declare no conflict of interest.
References
- Rajaeifar, M.A.; Sadeghzadeh Hemayati, S.; Tabatabaei, M.; Aghbashlo, M.; Mahmoudi, S.B. A Review on Beet Sugar Industry with a Focus on Implementation of Waste-to-Energy Strategy for Power Supply. Renew. Sustain. Energy Rev. 2019, 103, 423–442. [Google Scholar] [CrossRef]
- Garofalo, P.; Mastrorilli, M.; Ventrella, D.; Vonella, A.V.; Campi, P. Modelling the Suitability of Energy Crops through a Fuzzy-Based System Approach: The Case of Sugar Beet in the Bioethanol Supply Chain. Energy 2020, 196, 117160. [Google Scholar] [CrossRef]
- Rombay, D. The Sugarbeet; Franklin Társulat: Budapest, Hungary, 1914. [Google Scholar]
- Hungarian Central Statistical Office. Available online: Https://Www.Ksh.Hu/?Lang=hu (accessed on 25 July 2022).
- EUROSTAT. Available online: Https://Ec.Europa.Eu/Eurostat (accessed on 25 July 2022).
- FAOSTAT. Available online: Https://Www.Fao.Org/Faostat/En/#home. (accessed on 25 July 2022).
- Rozema, J.; Cornelisse, D.; Zhang, Y.; Li, H.; Bruning, B.; Katschnig, D.; Broekman, R.; Ji, B.; van Bodegom, P. Comparing Salt Tolerance of Beet Cultivars and Their Halophytic Ancestor: Consequences of Domestication and Breeding Programmes. AoB PLANTS 2015, 7, plu083. [Google Scholar] [CrossRef] [PubMed]
- Kaffka, S.R.; Lesch, S.M.; Bali, K.M.; Corwin, D.L. Site-Specific Management in Salt-Affected Sugar Beet Fields Using Electromagnetic Induction. Comput. Electron. Agric. 2005, 46, 329–350. [Google Scholar] [CrossRef]
- Moreno, F.; Cabrera, F.; Fernández-Boy, E.; Girón, I.F.; Fernández, J.E.; Bellido, B. Irrigation with Saline Water in the Reclaimed Marsh Soils of South-West Spain: Impact on Soil Properties and Cotton and Sugar Beet Crops. Agric. Water Manag. 2001, 48, 133–150. [Google Scholar] [CrossRef]
- De Smet, J.; Wontroba, J.; De Boodt, M.; Hartmann, R. Effect of Application of Pig Slurry on Soil Penetration Resistance and Sugar Beet Emergence. Soil Tillage Res. 1991, 19, 297–306. [Google Scholar] [CrossRef]
- Srivastava, S.K. Assessment of Groundwater Quality for the Suitability of Irrigation and Its Impacts on Crop Yields in the Guna District, India. Agric. Water Manag. 2019, 216, 224–241. [Google Scholar] [CrossRef]
- Kolozsvári, I.; Kun, Á.; Jancsó, M.; Bakti, B.; Bozán, C.; Gyuricza, C. Utilization of Fish Farm Effluent for Irrigation Short Rotation Willow (Salix Alba L.) under Lysimeter Conditions. Forests 2021, 12, 457. [Google Scholar] [CrossRef]
- Kolozsvári, I.; Kun, Á.; Jancsó, M.; Palágyi, A.; Bozán, C.; Gyuricza, C. Agronomic Performance of Grain Sorghum (Sorghum Bicolor (L.) Moench) Cultivars under Intensive Fish Farm Effluent Irrigation. Agronomy 2022, 12, 1185. [Google Scholar] [CrossRef]
- Kun, Á.; Bozán, C.; Oncsik, M.B.; Barta, K. Evaluating of wastewater irrigation in lysimeter experiment through energy willow yields and soil sodicity. Carpathian. J. Earth Environ. Sci. 2018, 13, 77–84. [Google Scholar] [CrossRef]
- Kun, Á.; Bozán, C.; Oncsik, B.M.; Barta, K. Használt Termálvíz Mezőgazdasági Elhelyezésének (Öntözés) Hatása a Talaj Kicserélhető Nátrium Tartalmára És Az Összes Oldott Sótartalmára. Agrokémia És Talajt. 2017, 66, 95–110. [Google Scholar] [CrossRef]
- Qadir, M.; Oster, J.D.; Schubert, S.; Noble, A.D.; Sahrawat, K.L. Phytoremediation of Sodic and Saline-Sodic Soils. In Advances in Agronomy; Elsevier: Amsterdam, The Netherlands, 2007; Volume 96, pp. 197–247. ISBN 978-0-12-374206-3. [Google Scholar]
- Izsák, L. Nutrient Supply for Maize, Sugar Beet, Oats, Oilseeds and Silage; Agroinform Kiadó és Nyomda Kft: Szarvas, Hungary, 2015. [Google Scholar]
- Posch, K. Agrotechnical Guidelines for Sugar Beet Cultivation; Sopronhorpácsi Kutatóintézet: Sopronhorpács, Hungary, 1991. [Google Scholar]
- Jesus, J.M.; Danko, A.S.; Fiúza, A.; Borges, M.-T. Phytoremediation of Salt-Affected Soils: A Review of Processes, Applicability, and the Impact of Climate Change. Environ. Sci. Pollut. Res. 2015, 22, 6511–6525. [Google Scholar] [CrossRef] [PubMed]
- Litalien, A.; Zeeb, B. Curing the Earth: A Review of Anthropogenic Soil Salinization and Plant-Based Strategies for Sustainable Mitigation. Sci. Total Environ. 2020, 698, 134235. [Google Scholar] [CrossRef] [PubMed]
- Berzi-Nagy, L.; Mozsár, A.; Tóth, F.; Gál, D.; Nagy, Z.; Nagy, S.A.; Kerepeczki, É.; Antal, L.; Sándor, Z.J. Effects of Different Fish Diets on the Water Quality in Semi-Intensive Common Carp (Cyprinus Carpio) Farming. Water 2021, 13, 1215. [Google Scholar] [CrossRef]
- Richards, L.A. Diagnosis and Improvement of Saline and Alkali Soils; No. 60. Agricultural Handbook; United Sates Department of Agriculture: Washington, DC, USA, 1954.
- Posch, K. What You Need to Know about Sugar Beet; Agroinform Kiadó és Nyomda Kft.: Budapest, Hungary, 1997. [Google Scholar]
- Khozaei, M.; Kamgar Haghighi, A.A.; Zand Parsa, S.; Sepaskhah, A.R.; Razzaghi, F.; Yousefabadi, V.; Emam, Y. Evaluation of Direct Seeding and Transplanting in Sugar Beet for Water Productivity, Yield and Quality under Different Irrigation Regimes and Planting Densities. Agric. Water Manag. 2020, 238, 106230. [Google Scholar] [CrossRef]
- Carr, M.K.V. Crop Yield Response to Water. FAO Irrigation and Drainage Paper 66. By P. Steduto, T.C. Hsiao, E. Fereres and D. Raes. Rome, Italy: Food and Agriculture Organization of the United Nations (2012), pp. 500, US$100.00. ISBN 978-92-5-107274-5. The Whole Report Can Be Downloaded from: http://Www.Fao.Org/Docrep/016/I2800e/I2800e00.Htm. Exp. Agric. 2013, 49, 311. [Google Scholar] [CrossRef]
- Haddock, J.L. The Irrigation of Sugar Beet. In Yearbook of Agriculture 1955; The United States Department of Agriculture: Washington, DC, USA, 1956. [Google Scholar]
- Fabeiro, C.; Martín de Santa Olalla, F.; López, R.; Domínguez, A. Production and Quality of the Sugar Beet (Beta vulgaris L.) Cultivated under Controlled Deficit Irrigation Conditions in a Semi-Arid Climate. Agric. Water Manag. 2003, 62, 215–227. [Google Scholar] [CrossRef]
- Mihályfalvi, I. Irrigation of sugar beet. In Modern Sugar Beet Cultivation; Mezőgazdaság Kiadó: Budapest, Hungary, 1976. [Google Scholar]
- Juhász, L. Sugar Beet Cultivation Models; Mezőgazdasági Kiadó: Budapest, Hungary, 1977. [Google Scholar]
- Vajdai, I. Ecological demand for sugar beet. Sugar beet cultivation technology. In Growing of Sugar Beet; Mezőgazdasági Kiadó: Budapest, Hungary, 1984. [Google Scholar]
- Taleghani, D.; Rajabi, A.; Sadeghzadeh Hemayati, S.; Saremirad, A. Improvement and Selection for Drought-Tolerant Sugar Beet (Beta vulgaris L.) Pollinator Lines. Results Eng. 2022, 13, 100367. [Google Scholar] [CrossRef]
- Islam, J.; Kim, J.W.; Begum, M.K.; Sohel, M.A.T.; Lim, Y.-S. Physiological and Biochemical Changes in Sugar Beet Seedlings to Confer Stress Adaptability under Drought Condition. Plants 2020, 9, 1511. [Google Scholar] [CrossRef]
- Ruzsányi, L. Root and Tuberous Plants; Mezőgazda Kiadó: Budapest, Hungary, 1996. [Google Scholar]
- Żarski, J.; Kuśmierek-Tomaszewska, R.; Dudek, S. Impact of Irrigation and Fertigation on the Yield and Quality of Sugar Beet (Beta vulgaris L.) in a Moderate Climate. Agronomy 2020, 10, 166. [Google Scholar] [CrossRef] [Green Version]
- Almodares, A.; Sharif, M.E. Effects of Irrigation Water Qualities on Biomass and Sugar Contents of Sugar Beet and Sweet Sorghum Cultivars. J. Environ. Biol. 2007, 28, 213–218. [Google Scholar] [PubMed]
- Hassanli, A.M.; Ahmadirad, S.; Beecham, S. Evaluation of the Influence of Irrigation Methods and Water Quality on Sugar Beet Yield and Water Use Efficiency. Agric. Water Manag. 2010, 97, 357–362. [Google Scholar] [CrossRef]
- Chakwizira, E.; Meenken, E.D.; Maley, S.; George, M.; Hubber, R.; Morton, J.; Stafford, A. Effects of Potassium, Sodium and Chloride Fertiliser Rates on Fodder Beet Yield and Quality in Canterbury. Proc. N. Z. Grassl. Assoc. 2013, 75, 261–270. [Google Scholar] [CrossRef]
- Magat, S.S.; Goh, K.M. Effects of Chloride Fertilizers on Yield and Uptake of Chloride, Potassium and Sodium by Fodder Beet (Beta vulgaris L.) in Two New Zealand Soils. J. Agric. Sci. 1988, 111, 207–216. [Google Scholar] [CrossRef]
- Singh, D.; Garg, A.K. Evaluation of Beet Varieties for Forage Yield and Quality Parameters. Range Manag. Agrofor. 2013, 34, 182–185. [Google Scholar]
- Yolcu, S.; Alavilli, H.; Ganesh, P.; Panigrahy, M.; Song, K. Salt and Drought Stress Responses in Cultivated Beets (Beta vulgaris L.) and Wild Beet (Beta Maritima L.). Plants 2021, 10, 1843. [Google Scholar] [CrossRef]
- Myburgh, P.A.; Howell, C.L. Assessing the Ability of Fodder Beet (Beta vulgaris L. ‘Brigadier’) to Absorb Sodium from a Soil Irrigated with Sodium-Enriched Water. S. Afr. J. Plant Soil 2014, 31, 113–115. [Google Scholar] [CrossRef]
Publisher’s Note: MDPI stays neutral with regard to jurisdictional claims in published maps and institutional affiliations. |
© 2022 by the authors. Licensee MDPI, Basel, Switzerland. This article is an open access article distributed under the terms and conditions of the Creative Commons Attribution (CC BY) license (https://creativecommons.org/licenses/by/4.0/).