Next Article in Journal
Bioavailability, Speciation, and Crop Responses to Copper, Zinc, and Boron Fertilization in South-Central Saskatchewan Soil
Next Article in Special Issue
Sustainable Intensification of Cassava Production towards Food Security in the Lomami Province (DR Congo): Role of Planting Method and Landrace
Previous Article in Journal
Effects of Reducing Nitrogen Application Rate under Different Irrigation Methods on Grain Yield, Water and Nitrogen Utilization in Winter Wheat
 
 
Font Type:
Arial Georgia Verdana
Font Size:
Aa Aa Aa
Line Spacing:
Column Width:
Background:
Article

High Temperature and Elevated CO2 Modify Phenology and Growth in Pepper Plants

by
Jade M. Pereyda-González
1,
Clelia De-la-Peña
2,
Wilmer Tezara
3,4,
Roberto Zamora-Bustillos
1,
Rubén H. Andueza-Noh
5,
Jehu G. Noh-Kú
1,
María Carrera-Marín
1 and
René Garruña
5,*
1
National Technological of Mexico/Technological Institute of Conkal, Av. Tecnológico s/n, Conkal 97345, Yucatán, Mexico
2
Scientific Research Center of Yucatan, Department of Biotechnology, Calle 43 No. 130 x 32 y 34, Col. Chuburná de Hidalgo, CP., Mérida 97205, Yucatán, Mexico
3
Institute of Experimental Biology, Central University of Venezuela, Caracas 1041-A 47114, Venezuela
4
Facultad de Ciencias Agropecuarias, Universidad Técnica Luis Vargas Torres, Estación Experimental Mutile, Esmeraldas 080102, Ecuador
5
CONACYT—Technological Institute of Conkal, Av. Tecnológico s/n, Conkal 97345, Yucatán, Mexico
*
Author to whom correspondence should be addressed.
Agronomy 2022, 12(8), 1836; https://doi.org/10.3390/agronomy12081836
Submission received: 10 June 2022 / Revised: 26 July 2022 / Accepted: 28 July 2022 / Published: 3 August 2022
(This article belongs to the Special Issue Sustainability of Tropical Crops in a Changing Environment)

Abstract

:
The aim of this study was to determine the effect of temperature and CO2 on seed emergence, seedling quality, and phenological stage of Capsicum chinense and Capsicum annum cultivated in four controlled growth chambers (C1: 30 °C and 400 μmol CO2 mol−1; C2: 40 °C and 1200 μmol CO2 mol−1; C3: 30 °C and 1200 μmol CO2 mol−1; C4: 40 °C and 400 μmol CO2 mol−1). Neither temperature nor elevated CO2 influenced seed emergence, although differences were observed in seedling mortality, with high temperature affecting seedling survival in both species; the mortality rate at 40 °C was 20 and 53% in C. annuum and 45 and 58% in C. chinense at 400 and 1200 μmol CO2 mol−1, respectively. Differences were also observed in growth parameters, where positive effects were observed on leaf area, which reached 45.9 cm2 in C. annuum and 23.9 cm2 in C. chinense with elevated CO2 at 30 °C, but negative effects were observed with high temperature. CO2 enrichment increased flower and fruit production per plant. However, high temperature delayed flower phenology, increased flower abortion and inhibited fruit set. Elevated CO2 counteracted the detrimental effects of high temperature on growth parameters and flower number, but this was not sufficient to prevent flower abortion and the detrimental morphological characteristics of fruit caused by a temperature of 40 °C.

1. Introduction

In recent decades, global warming caused by the increase in the concentration of greenhouse gases (CO2, carbon dioxide; CH4, methane; N2O, nitrous oxide; HFCs, hydrofluorocarbons; PFCs, perfluorocarbons; and SF6, sulfur hexafluoride), mainly attributed to anthropogenic activities, has led to a change in climate conditions, altering precipitation patterns and intensifying desertification in many regions of the planet [1,2]. Climate change represents an important threat to agricultural production in the tropics, where the major factors limiting crop productivity are high temperatures and drought [3], given that they cause the loss of over 49% of world food production, subjecting the agricultural sector to the negative effects of climate change [4,5].
The increase in global temperatures could have a considerable effect on the phenology, anatomy, morphology and physiology of plants and have negative effects on CO2 assimilation, respiration, growth and reproductive processes [6,7,8], causing crop damage related to temperature stress and endangering food security [3,9].
As temperature regulates plants’ physiological processes, acting as a determining factor for germination, seed formation, flowering and fruiting, it is important to consider the adverse effects of climate change [10], especially in widely consumed tropical crops with economic and agricultural significance such as vegetable species, due to their high nutritional value and important contribution to everyday diets [11].
Changes in temperature and atmospheric CO2 concentration (Ca) produce important modifications to seasonal rainfall patterns, climate, and the frequency and duration of raised temperatures [12]. There has been a clear increase in Ca, with levels of the gas currently fluctuating around 416 µmol mol−1 [13], and this trend will continue for many years [14]. Nevertheless, it has been demonstrated that CO2 has a beneficial effect on plants, especially in CO2-enriched environments, by improving photosynthetic efficiency, reducing transpiration losses, stimulating general growth [15], and turning on adaptive mechanisms in plants such as biomass generation and physiological and morphological changes, thus strengthening plants’ thermotolerance to achieve better adaptation to climate conditions [16,17,18,19].
Cultivable plants will be the most affected by the adverse effects of climate change because a decrease in net production yield is expected in many agricultural zones of the planet. Moreover, ecophysiological research has focused on evaluating individual climate variables with a limited approach to the interaction between them [20], meaning that understanding how the interaction of these variables (temperature and Ca) influences phenological, physiological and growth characteristics is considered of significant importance. In this regard, the genus Capsicum, one of the most widely cultivated crops in the world due to the economic and nutritional value of its species, is expected to be affected by temperature [21] and benefited by the increase in Ca [22], so understanding how these variables interact would permit a more accurate prediction of how Capsicum spp. will respond to climate change. In this sense, we hypothesized that the high temperature will affect phenology and growth in pepper plants, but elevated CO2 concentration will mitigate the negative impact caused by high temperature. Therefore, the aim of this study was to determine the phenological and physiological responses (seed emergence, seedling quality, phenological stage: growth and flowering, seed set and fruit production) of Capsicum annuum and Capsicum chinense under the effect of high temperature and CO2 enrichment, cultivated in four growth chambers controlling temperature (30 and 40 °C) and CO2 (400 and 1200 μmol CO2 mol−1).

2. Materials and Methods

2.1. Location, Plant Material, Crop Management

The present research was conducted in the experimental area of Tecnológico Nacional de Mexico, Campus Conkal, Yucatan, Mexico. As plant material, two of the most commercialized species of the genus Capsicum in the region were used, a sweet pepper (D40 variety, Capsicum annuum) and a hot pepper (habanero pepper, Jaguar variety, Capsicum chinense). To evaluate seed emergence and seedling growth during the nursery stage, 400 seeds of each species were sown in polystyrene trays using peat moss as substrate (Sunshine, Proveedora Agrícola, Guadalajara, Mexico). Once the seeds emerged, seedlings were kept at field capacity by daily watering, and once the plants reached the first pair of true leaves, they were fertilized with Steiner nutrient solution (50%) twice a week until 45 days after sowing (das). The seeds and seedlings were cultivated in growth chambers and subjected to different temperatures (30 and 40 °C) and CO2 concentrations (400 and 1200 μmol CO2 mol−1) during the experiment (some seedlings evaluated during the nursery stage died as a consequence of high temperatures applied in the evaluated treatments).
To evaluate reproductive phenology, seedlings at 40 das were transplanted into polystyrene black bags with a capacity of 10 L using a mix of dark soil with peat moss as substrate (3/1: v/v) disinfected with formaldehyde (10%). Plants were rotated once a week to avoid border effects. Plant nutrition throughout the experiment was provided with Steiner nutrient solution (50, 75, 100%) according to the phenological development stage and plant nutritional requirements (from seedling to fruiting). Insecticides, acaricides and fungicides were applied preemptively.

2.2. Growth Chambers and Treatments

Four growth chambers were used for the experiment, placed under a white greenhouse plastic roof structure permitting the passage of a photon flux density of up to 1100 µmol m−2 s−1. Natural light was used throughout the experiment, with an approximate photoperiod of 12/12 (light/dark), the first photons were recorded at 6:30 h, with a gradual increase until reaching 1100 µmol m−2 s−1 at noon, which was maintained between 12:00 and 15:00 h; later, the photon flux density gradually decreased until dark (around 18:30 h). Each chamber was completely enclosed, structured with transparent glass, measuring 3 m long by 2.5 m wide and 2.2 m high. To control temperature, each chamber had a 12,000 BTU air conditioner (Split Mirage, model X2, Merida, Mexico) modified with an external thermostat. The thermostat sensor was located above the plant canopy. Ca was regulated with a Telair sensor (T6713) connected to an Arduino microprocessor (Telaire 7001, St. Marys, PA, USA) activating a solenoid valve connected to the hose of the CO2 cylinder. Relative humidity was controlled with a 25 L capacity dehumidifier (Hisense, DH50K1W, Mexico City, Mexico), and a 12-inch rotating fan homogenized the air inside the chambers. Climate conditions were monitored inside each chamber with dataloggers (HOBO H08-004-02, Onset Computer Corp., Bourne, MA, USA). The conditions of the chambers were set as follows: Chamber 1, 30 °C and 400 μmol CO2 mol−1 (Control); Chamber 2, 40 °C and 1200 μmol CO2 mol−1; Chamber 3, 30 °C and 1200 μmol CO2 mol−1; Chamber 4, 40 °C and 400 μmol CO2 mol−1. At night, all chamber conditions were kept the same for all treatments (average temperature = 26 °C, RH = 70%). Chamber 1 was the control, because 30 °C and 400 μmol CO2 mol−1 are similar to diurnal average temperature and atmospheric CO2 concentration in Yucatan. In all treatments, both temperature and atmospheric CO2 had an error range of ±2 °C and ±50 μmol CO2 mol−1, respectively.

2.3. Seedling Emergence and Seedling Growth Parameters

Seedling emergence was evaluated according to Hernández-Pinto et al. [23] with daily counting for 7 days from sowing, where the emergence percentage (%E) equaled the total number of germinated seeds at the end of the experiment (n) divided by the total number of sown seeds (N) multiplied by 100. Seed emergence was evaluated for 15 days from sowing. From day 16, the mortality percentage was counted from the total emerged seeds.
Evaluations of the seedling growth parameters were carried out at 35 das according to Garruña-Hernández et al. [21]. The height was measured with a measuring tape from the base of the stem to the apex, the stem diameter was measured with a digital caliper at the stem base, leaf area was measured with an area meter (LI-3100, LI-COR, Inc. Lincoln, NE, USA), root volume was determined by displacement using a graduated cylinder, and to obtain the organs’ biomass, the tissue was dried in a convection oven at 70 °C for 72 h.

2.4. Flowering and Fruiting Parameters

The presence of flower and fruit buds was recorded daily to evaluate flowering and fruiting until the plants reached 100% of flowering and fruiting, respectively. The number of flower abortions was estimated as the number of flowers minus the number of fruits, according to Garruña-Hernández et al. [24].
To evaluate the weight, diameter, and length of fruits, 100 fruits per treatment collected in the first two harvests were used. A digital balance (Ohaus Adventurer-420, Mexico City, Mexico) and a caliper were used to measure them. It was not possible to carry out the measurements in chamber 4 (C4 = 40 °C with 400 μmol CO2 mol−1) due to a lack of fruits.

2.5. Experimental Design and Statistical Analyses

The experimental design was completely random with a bi-factorial arrangement, using air temperature (30 and 40 °C) and atmospheric concentration of CO2 (400 and 1200 µmol CO2 mol−1). In the evaluation of seed emergence and seedling growth, 100 seeds per species were used as an experimental unit, using five repetitions per treatment. To evaluate reproductive phenology, 20 plants were used as the experimental unit. Percentage data were transformed with the arcsine of the square root. A two-way analysis of variance (two-way ANOVA, p ≤ 0.05) was performed for all data. Where significant differences were found, a means comparison test (Tukey, α = 0.05) was conducted. Statistical analyses were conducted with Infostat (2019) and plotted with SigmaPlot 11.0.

3. Results and Discussion

3.1. Seedling Emergence

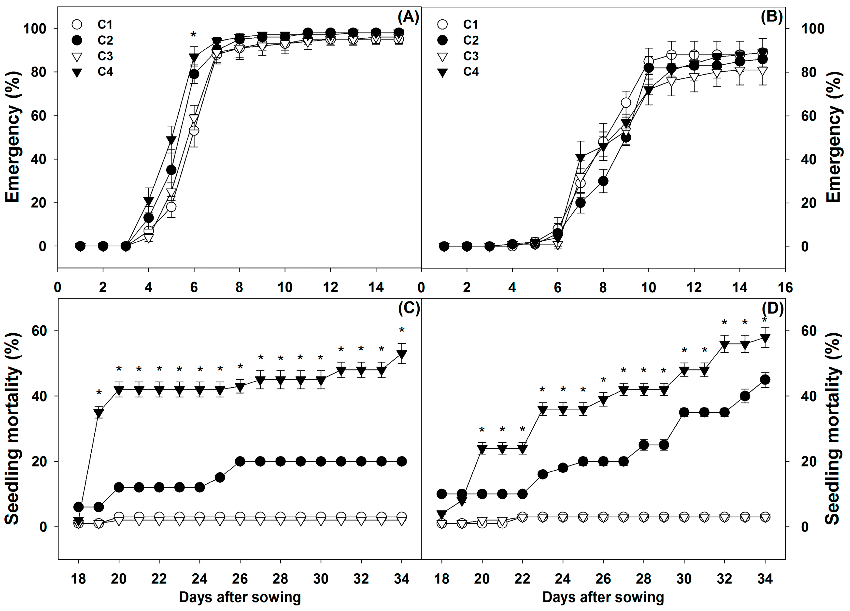
The emergence of C. annuum was faster during the initial days in the treatments at 40 °C (C2 and C4) regardless of the CO2 concentration, with statistically significant differences present at 6 das. However, from day 7, there were no statistically significant differences in emergence among any treatments of this species (Figure 1A). This was reflected in the cumulative emergence, where all treatments reached at least 95% emergence at 11 das (C1 = 95, C2 = 98, C3 = 96 and C4 = 98%). There were no significant differences observed in the emergence of C. chinense (Figure 1B). Cumulative emergence was between 81 and 89% (C1 = 89, C2 = 86, C3 = 81 and C4 = 89%).
Therefore, the interaction between temperature and CO2 did not have a significant effect on the final emergence of either species of Capsicum evaluated. In contrast, a significant increase in the percentage of emergence was observed in Bouteloua gracilis with the combination of seven temperatures with alternating 12/12 h periods (10/0, 12.5/2.5, 15/5, 20/10, 25/15, 30/20, 35/25 °C) and CO2 (385 and 600 μmol CO2 mol−1) [18]. Moreover, [25] mention that CO2 concentration did not have a significant effect on Arabidopsis thaliana seed emergence, with seeds subjected to high temperatures exhibiting the fastest germination rate. In the present work, temperature was essential in the regulation of seed emergence; when the temperature increased, so did the emergence rate, due to temperature acting as a determining factor for enzyme activation or deactivation processes [26,27]. The physiological response of seeds to this factor is crucial for emergence and plant development, and once the optimum temperature point is reached, the emergence process diminishes. Therefore, temperatures under or over the maximum optimum can inhibit emergence, risking the life and survival of seedlings [18,27,28].
Mortality of some plants started from 18 das, which coincided with the appearance of the second pair of true leaves. In C. annuum, only 3 and 2% of seedling mortality was observed at 400 (C1) and 1200 μmol CO2 mol−1 (C3), respectively (Figure 1C). However, at 40 °C, seedling mortality was 20 and 53% at 1200 (C2) and at 400 μmol CO2 mol−1 (C4), respectively (Figure 1C). A similar trend to C. annuum was observed in C. chinense, where mortality reached 3% in C1 and C3. At 40 °C, mortality of plants reached 45 and 58% in C2 and C4, respectively. The results show that in these species, high temperature and CO2 enrichment do not have any effect on the emergence or the first days of life of seedlings (when they are still dependent on the cotyledon). Nevertheless, when the first pair of photosynthetic leaves appeared, we could observe damage (delayed growth, color changes, flaccid tissue) due to the effect of high temperatures. The appearance and development of the second pair of photosynthetic leaves coincided with the onset of seedling mortality regardless of the CO2 concentration.
The appearance of functional leaves, capable of performing gas exchange with the environment, probably favored the negative effects of high temperature on seedlings, due to the fact that an increase in leaf area raised transpiration capacity, and also due to the warm environment, causing the onset of heat stress problems caused by temperature in the seedlings. In Capsicum, it has been observed that, in high-temperature atmospheres, plants increase their transpiration rate in order to reduce leaf area temperature and be able to maintain an optimum temperature range in order to protect their photosynthetic mechanism [21]. It is likely that two-to-three-week old seedlings do not yet possess suitable characteristics to survive this kind of stress. Furthermore, CO2 enrichment did not prevent seedling mortality due to the effect of high temperature. Similar cases have been observed in other species. Some authors [29] mention that the emergence in Asteraceae genus species occurred in a wide range of temperatures, but was inhibited from 35 °C, presenting only 25% emergence. The Capsicum species studied here probably show thermotolerance, such as a preference for high temperatures, allowing them to adapt better. However, it is likely that other species present a higher sensitivity to high temperatures, causing an inhibition of germination.

3.2. Seedling Growth

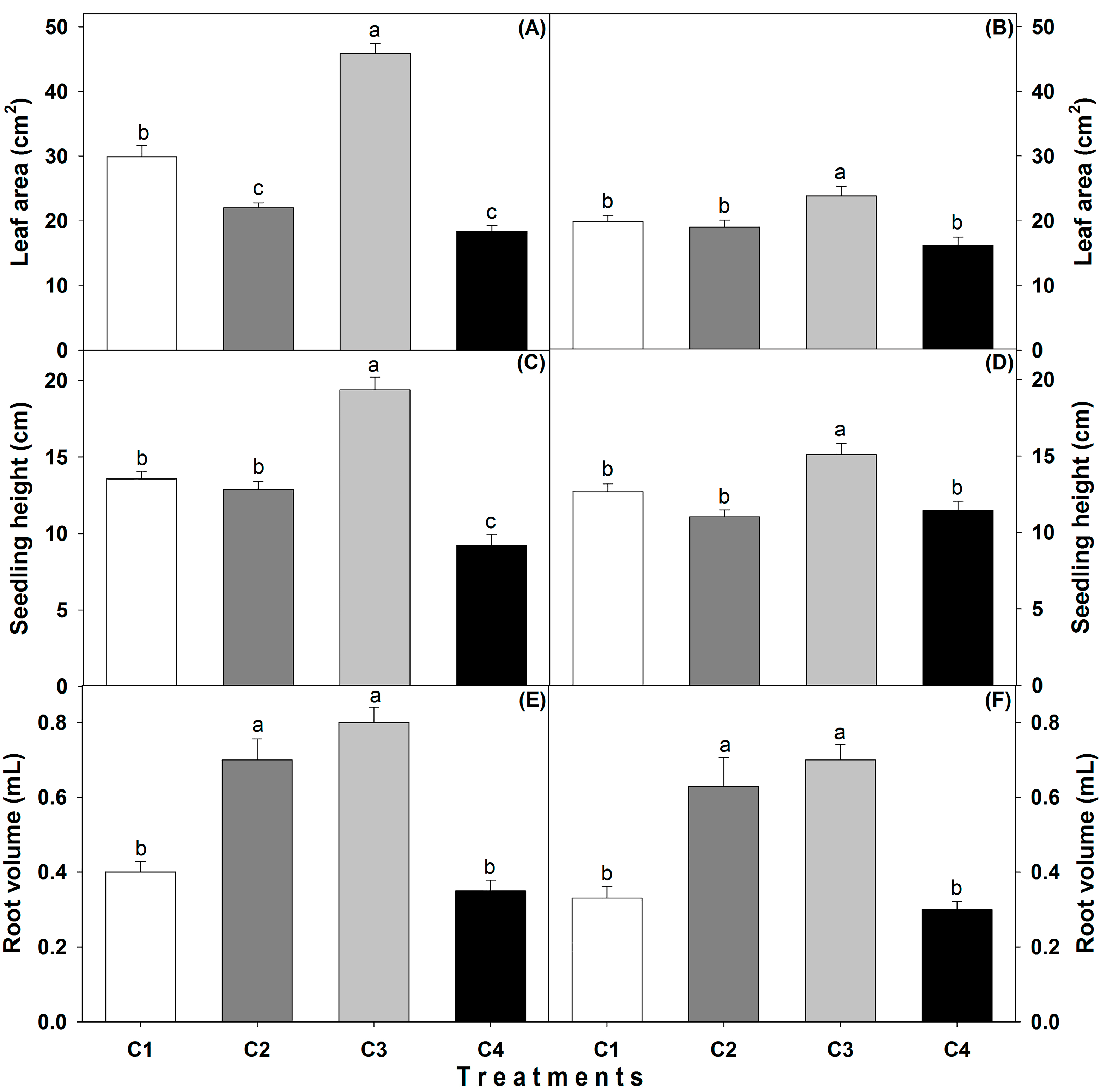
Statistically significant differences were found in both species in all parameters evaluated to determine seedling growth and quality. The leaf area of C. annuum seedlings in the chamber at 30 °C and 1200 μmol CO2 mol−1 (C3) was greater than in the other treatments, and a temperature at 40 °C decreased the seedlings’ leaf area at both 400 (18.4 cm2) and 1200 μmol CO2 mol−1 (22 cm2) (Figure 2A). In C. chinense, seedling leaf area in C3 (23.9 cm2) was also statistically greater than in other treatments, although there were no significant differences in this species between the chamber at 30 °C and 400 μmol CO2 mol−1 and those at 40 °C (19 and 16.2 cm2 at 400 and 1200 μmol CO2 mol−1, respectively) (Figure 2B).
In both species, the positive effect of elevated CO2 was observed at a comfortable temperature (30 °C). However, in C. annuum, the negative effect of high temperature was observed compared to seedlings in the control chamber (C1 = 30 °C and 400 μmol CO2 mol−1). This was not found in C. chinense, probably because these seedlings are less leafy and have a slightly lower growth rate than C. annum. Thus, Wullshleger et al. [30] suggest that plants exposed to CO2-enriched environments are subjected to important trade-offs, either to increase leaf size or to reduce stomatal conductance, which could explain the differences in the leaf area of the two species. On the other hand, in both species, it was found that seedling root volume of plants cultivated in CO2-enriched chambers (C2 and C3) statistically exceeded that of plants cultivated at 400 μmol CO2 mol−1 (Figure 2E,F). As opposed to what occurred with aerial growth variables (leaf area and height), root volume at 40 °C and 1200 μmol CO2 mol−1 was statistically similar at 30 °C and 1200 μmol CO2 mol−1. In this case, the substrate watered at field capacity was probably acting as a temperature buffer, with the plant had a major concentration of atmospheric CO2 available to be used to send photoassimilates to the root zones. CO2 enrichment allows the plant to better distribute photoassimilates [19]. Furthermore, the two evaluated species (C. annuum and C. chinense) are tropical species that are well adapted to the regional climate conditions, meaning that they have a wider optimum temperature range than species adapted to mild climates and likely possess tolerance mechanisms for these climate conditions [31]. Additionally, Rahman et al. [32] indicated that high temperatures can modify the composition and structure of cell membranes, pointing out that the ability of species to adapt to temperature stress requires a physiological adaptation to such stress.
In both species, seedling dry biomass in C3 (0.36 and 0.24 g) was statistically greater than in the other treatments. Nevertheless, for this variable, the increased CO2 concentration in C2 (40 °C and 1200 μmol CO2 mol−1) (0.16 and 0.19 g for C. annuum and C. chinense, respectively) counteracted the negative effects of C4 (40 °C and 400 μmol CO2 mol−1) (0.12 g in both species), and was even higher than that of seedlings of C. chinense in C1 (0.15 g) (Figure 3). This was likely due to the increase in root biomass in the chambers with elevated CO2. In a study conducted on Eucalyptus spp., major growth was found in environments with high temperature and CO2 enrichment, highlighting that biomass allocation differs among species and also among the organs of the plants [33]. In contrast, Marcos-Barbero et al. [19] suggest that temperature and CO2 are two factors that must be evaluated simultaneously, adding that selection of genetic varieties is a strategy that can be used to select crops well adapted to future climate change conditions, given that species exist that are better adapted to extreme climate conditions and in which temperature can even accelerate seed emergence and increase leaf area and biomass allocation, as well as other phenological and physiological traits of plants [34].

3.3. Flowering and Fruiting

In C. annuum plants, the presence of flower buds started at 59 das (19 days with high temperature and CO2-enrichment treatment). Two days later (61 das), 90% of plants had flower buds, and no statistically significant differences were found among treatments (Figure 4A). On the other hand, C. chinense plants did exhibit statistically significant differences among treatments, with plants at 30 °C (C1 and C3) presenting the first flower buds at 58 das (18 das with high temperature and CO2-enrichment treatment), whereas the plants of C2 (40 °C and 1200 μmol CO2 mol−1) and C4 (40 °C and 400 μmol CO2 mol−1) showed the presence of flower buds at 65 and 63 das, respectively. In C1 and C3, 90% of plants presented flower buds at 64 and 66 das, respectively, while those in C2 and C4 reached a similar value at 72 and 80 das, respectively (Figure 4B).
C. annuum plants showed 100% flowering at 78, 86, 73 and 86 das in C1, C2, C3 and C4, respectively (Figure 4C). Whilst statistically significant differences were found in C. chinense throughout the experiment, the negative effect of high temperature on this species was more pronounced, since a delay of 5 and 15 days, respectively, was found in flower phenology compared to the chambers at 30 °C (Figure 4D).
Fruit appearance in C. annuum started at 75 das in C1 and C3 and at 119 das in C2, but there was no formation of fruits in C4. At 112, 122 and 88 das, 60, 15 and 95% of plants had a presence of fruits in C1, C2 and C3, respectively (Figure 4E). In C. chinense, fruits appeared from 78 (C1 and C2) and 75 (C3) das. As in C. annuum, there was no presence of fruits in C4. Fruiting at 100% was only shown in C3, while C1 and C2 showed only 80 and 20%, respectively (Figure 4F). In this regard, Kim et al. [35] mention that Phalaenopsis plants exposed to over 800 µmol CO2 mol−1 before flower spike induction had higher biomass production. However, they also mention flower production and the number of flower buds could be reduced in plants subjected to long CO2 exposure. Additionally, Chaturvedi et al. [36] point out that in rice cultivars, the use of species with high temperature tolerance could reduce the negative impact of heat stress during flowering.
Generally, C. annuum plants had fewer flowers and fruits than C. chinense due to the size difference between the two genotypes. In C. annuum, elevated CO2 increased flower production (C2 = 12 flowers; C3 = 12.88 flowers) (Figure 5A). Nevertheless, plants in C2 (40 °C and 1200 μmol CO2 mol−1) had just two fruits per plant, whilst plants in C3 (30 °C and 1200 μmol CO2 mol−1) had nine fruits per plant (Figure 5C). A similar trend was found in C. chinense, where C3 was statistically superior to all treatments with 42 flowers and 24 fruits per plant (Figure 5B,D). In both species, flower production in C4 was statistically lower than the other treatments, and the presence of fruits was not observed (Figure 5C,D), indicating that 100% of plants aborted at 40 °C. Plants in C3 had the fewest aborted fruits (C. annuum = 42 aborted flowers and C. chinense = 30 aborted flowers) (Figure 5E,F). These results agree with those reported by [24], who mention that CO2 has a positive effect on flowering, and, therefore, on the number of fruits, which implies a yield improvement. In addition, Xu et al. [37] indicated that treatments with CO2-enriched environments promoted flowering in Gerbera jamesonii. Likewise, Meneses-Lazo et al. [38] mentioned that habanero pepper has a good rate of carboxylation, promoting flower and fruit production. In this regard, Marcelis et al. [39] remark on the importance of evaluating the phenological state and the developmental stage of plants, and that fruit abortion could be linked to the sink-source balance of the plant. Furthermore, Garruña et al. [24] point out that temperature affects the reproductive cycle of plants, causing precocity or delays, including the inhibition of flowers and fruits, but they also mention that elevated CO2 availability decreases the number of aborted flowers.
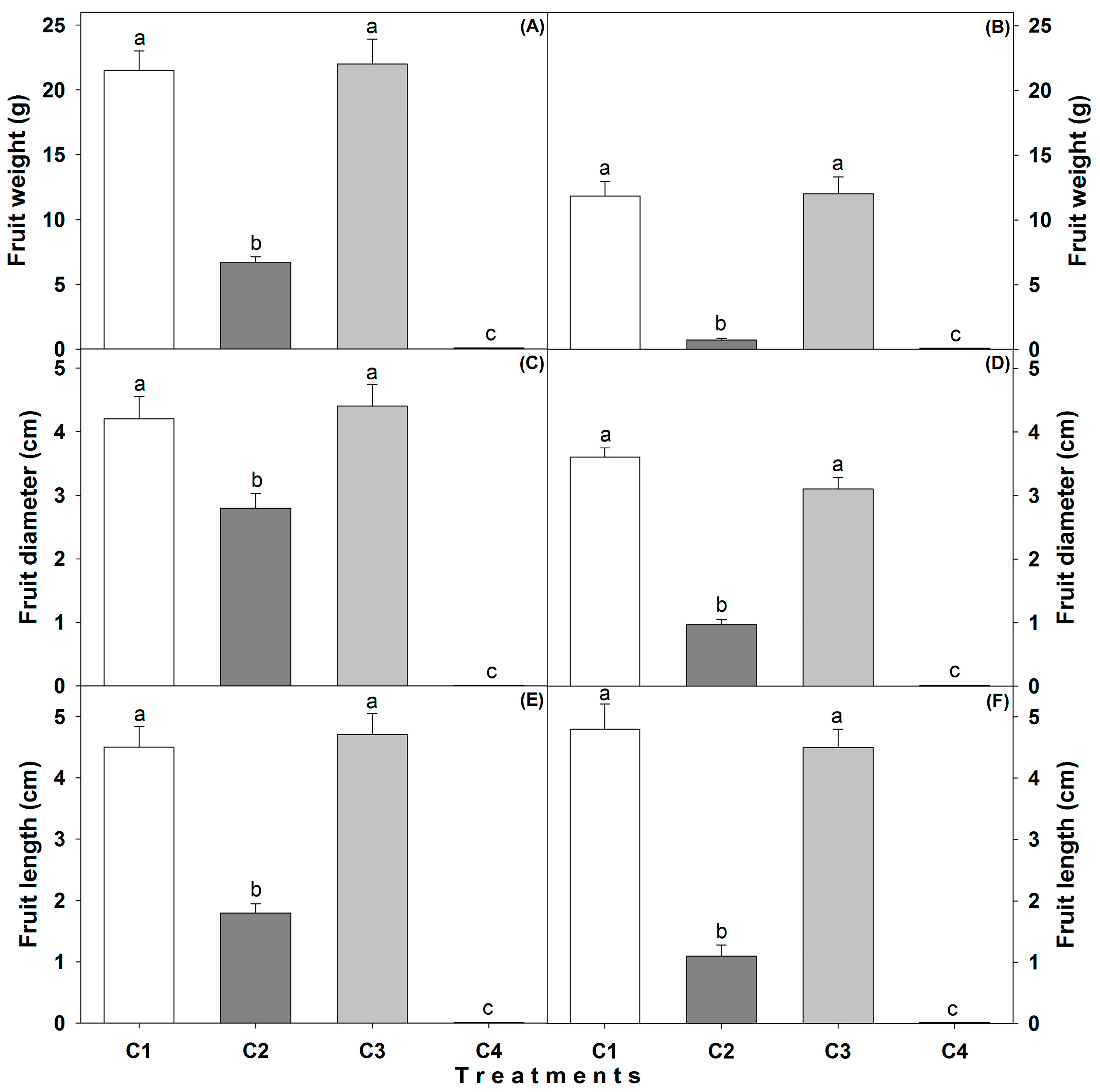
In Capsicum annuum, fruit weight was 21.5 and 22 g in C1 and C3, respectively, whilst a lower weight was found in C2 (6.66 g) (Figure 6A). Stem diameter was 4.2 and 4.4 cm in C1 and C3, respectively, while in C2 it was 2.8 cm (Figure 6C). Fruit length in C1 and C3 was 4.5 and 4.7 cm, respectively (Figure 6D), whilst fruits in C2 reached a length shorter than 2 cm (1.8 cm).
In C. chinense, fruit weight was 11.83 and 12 g in C1 and C3, respectively, whereas the lowest value was found in C2 (0.74 g) (Figure 6B). Stem diameter was similar in C1 and C3 (3.6 and 3.10 cm, respectively), while in C2, it did not reach 1 cm (0.97 cm) (Figure 6D). Fruit length reached levels similar to C. annuum in C1 and C3 (4.8 and 4.5 cm) and C2 (1.1 cm) (Figure 6E). The negative effect of high temperature (40 °C) was evident, especially in C4, where the increase in temperature led to inhibited fruit growth. Furthermore, an increase in fruit weight, stem diameter and fruit length was found in seedlings established in a comfortable environment at 30 °C (C1 and C3). The trend observed for both species in C1 and C3 could indicate that the plants presented a better response at a comfortable temperature (30 °C) in spite of CO2 enrichment, given that although these kinds of crops are adapted to tropical climate conditions, an optimum temperature is able to provide the plants with a better capacity to adapt and develop. The results obtained are similar to those in [40] in Solanum lycopersicum Mill, who obtained the highest number of fruits per plant and the highest fruit weight in environments with supplemented light and CO2-enrichment.

4. Conclusions

Evidently, modifying the atmospheres led to changes in the phenological rhythm of the plants. Although neither temperature nor CO2 influenced seed emergence, differences in seedling mortality were found, with high temperature affecting seedling survival, as well as in growth parameters, where positive effects were found in the presence of atmospheric CO2 enrichment (30 °C and 1200 μmol CO2 mol−1) and negative effects were associated with high temperature (C2 = 40 °C and 1200 μmol CO2 mol−1; C4 = 40 °C and 400 μmol CO2 mol−1). CO2 enrichment increased flower and fruit production per plant. However, high temperature delayed flower phenology, increased flower abortion and inhibited fruiting. Elevated CO2 counteracted the harmful effects of high temperature, but not to an extent sufficient to avoid flower abortion and detrimental morphological features of fruit caused by a temperature of 40 °C. Due to the vulnerability faced in response to climate change, it is essential to further investigate plant responses to future climate change scenarios in order to understand plasticity and requirements, especially in crops cultivated in tropical regions where greater damage is expected for these kinds of crops.

Author Contributions

Conceptualization, J.M.P.-G., C.D.-l.-P., R.H.A.-N., W.T. and R.G.; methodology, J.M.P.-G., R.G., J.G.N.-K. and M.C.-M.; software, R.Z.-B., J.M.P.-G. and R.G.; validation, J.M.P.-G., R.G., J.G.N.-K. and M.C.-M.; formal analysis, J.M.P.-G. and R.G.; investigation, J.M.P.-G., C.D.-l.-P., R.H.A.-N., W.T. and R.G.; resources, R.G., C.D.-l.-P., R.H.A.-N. and W.T.; data curation, J.M.P.-G.; writing—original draft preparation, J.M.P.-G.; writing—review and editing, R.G., C.D.-l.-P., R.H.A.-N., W.T. and R.Z.-B.; visualization, R.G.; supervision, R.G., C.D.-l.-P., R.H.A.-N., W.T. and R.Z.-B.; project administration, R.G.; funding acquisition, R.G. All authors have read and agreed to the published version of the manuscript.

Funding

This research was funded by National Council of Science and Technology (CONACyT, Mexico), project 286756.

Institutional Review Board Statement

Not applicable.

Informed Consent Statement

Not applicable.

Data Availability Statement

The data presented in this study are available on request from the correspondence author.

Acknowledgments

To the National Council of Science and Technology (CONACyT, Mexico) for the financing granted to the Project 286756 “Elucidation of the role of protein D1 in the photosynthesis of tropical vegetables in climate change scenarios” and for the postgraduate scholarship 713516 granted to the first author. Likewise, thanks to Engineer Geovanny Ayora and to Doctor Oscar Palma for programming the sensors and for the technical assistance provided in the growth chambers.

Conflicts of Interest

The authors declare no conflict of interest.

References

  1. Bathiany, S.; Dakos, V.; Scheffer, M.; Lenton, T.M. Climate models predict increasing temperature variability in poor countries. Sci. Adv. 2018, 4, eaar5809. [Google Scholar] [CrossRef] [PubMed] [Green Version]
  2. Siddig, K.; Stepanyan, D.; Wiebelt, M.; Grethe, H.; Zhu, T. Climate change and agriculture in the Sudan: Impact pathways beyond changes in mean rainfall and temperature. Ecol. Econ. 2020, 169, 106566. [Google Scholar] [CrossRef] [Green Version]
  3. IPCC. Intergovernmental Panel on Climate Change. Available online: https://www.ipcc.ch/ (accessed on 11 February 2021).
  4. FAO. Food and Agriculture Organization. Available online: https://www.fao.org/home/es (accessed on 24 September 2021).
  5. SIAP. Servicio de Información Agroalimentaria y Pesquera. Available online: https://www.gob.mx/siap (accessed on 10 August 2019).
  6. Pierre, H.; Urs, F. Growth at moderately elevated temperature alters the physiological response of the photosynthetic apparatus to heat stress in pea (Pisum sativum L.) leaves. Plant Cell Environ. 2005, 28, 302–317. [Google Scholar]
  7. Lloyd, J.; Farquhar, G. Effects of rising temperatures and [CO2] on the physiology of tropical forest trees. Philos. Trans. R. Soc. Lond. Ser. B Biol. Sci. 2008, 363, 1811–1817. [Google Scholar] [CrossRef] [Green Version]
  8. Garruña-Hernández, R.; Latournerie-Moreno, L.; Ayala-Garay, O.; Santamaría, J.M.; Pinzón-López, L. Acondicionamiento pre-siembra: Una opción para incrementar la germinación de semillas de chile habanero (Capsicum chinense Jacq.). Agrociencia 2014, 48, 413–423. [Google Scholar]
  9. Molotoks, A.; Smith, P.; Dawson, T.P. Impacts of land use, population, and climate change on global food security. Food Energy Secur. 2021, 10, e261. [Google Scholar] [CrossRef]
  10. Bahuguna, R.N.; Jagadish, K.S.V. Temperature regulation of plant phenological development. Environ. Exp. Bot. 2015, 111, 83–90. [Google Scholar] [CrossRef]
  11. FAO. La Estrategia de la FAO Sobre el Cambio Climático. Available online: https://www.fao.org/publications/card/es/c/7be11b93-8e8f-48a8-949b-083a2c5d434f/pdf (accessed on 21 November 2021).
  12. IPCC. Summary for policymakers. In Climate Change 2013: The Physical Science Basis. Contribution of Working Group I to the Fifth Assessment Report of the Intergovernmental Panel on Climate Change; Cambridge University Press: Cambridge, UK; New York, NY, USA, 2013. [Google Scholar]
  13. NOAA-ESRL. Trends in Atmospheric Carbon Dioxide. Available online: https://gml.noaa.gov/ccgg/trends/index.html (accessed on 28 December 2021).
  14. IPCC. Climate Change 2021: The Physical Science Basis. Contribution of Working Group I to the Sixth Assessment Report of the Intergovernmental Panel on Climate Change; Masson-Delmotte, V.P., Zhai, A., Pirani, S.L., Connors, C., Péan, S., Berger, N., Caud, Y., Chen, L., Goldfarb, M.I., Gomis, M., et al., Eds.; Cambridge University Press: Cambridge, UK; New York, NY, USA, 2021. [Google Scholar]
  15. Ermakova, M.; Lopez-calcagno, P.E.; Von Caemmerer, S.; Raines, C.A.; Furbank, R.T. Overexpression of the Rieske FeS protein of the Cytochrome b 6 f complex increases. Commun. Biol. 2019, 2, 314. [Google Scholar] [CrossRef] [Green Version]
  16. Das, P.; Deka, R.L.; Goswami, J.; Barua, S. Effect of elevated CO2 and temperature on growth and yield of winter rice under jorhat condition. J. Agrometeorol. 2020, 22, 109–115. [Google Scholar]
  17. Duan, H.; Chaszar, B.; Lewis, J.D.; Smith, R.A.; Huxman, T.E.; Tissue, D.T. CO2 and temperature effects on morphological and physiological traits affecting risk of drought-induced mortality. Tree Physiol. 2018, 38, 1138–1151. [Google Scholar] [CrossRef] [Green Version]
  18. Li, J.; Ren, L.; Bai, Y.; Lecain, D.; Blumenthal, D.; Morgan, J. Seed traits and germination of native grasses and invasive forbs are largely insensitive to parental temperature and CO2 concentration. Seed Sci. Res. 2018, 28, 303–311. [Google Scholar] [CrossRef]
  19. Marcos-Barbero, E.L.; Pérez, P.; Martínez Carrasco, R.; Arellano, J.B.; Morcuende, R. Screening for Higher Grain Yield and Biomass among Sixty Bread Wheat Genotypes Grown under Elevated CO2 and High-Temperature Conditions. Plants 2021, 10, 1596. [Google Scholar] [CrossRef]
  20. Lahive, F.; Handley, L.R.; Hadley, P.; Daymond, A.J. Climate change impacts on cacao: Genotypic variation in responses of mature cacao to elevated CO2 and water deficit. Agronomy 2021, 11, 818. [Google Scholar] [CrossRef]
  21. Garruña-Hernández, R.; Orellana, R.; Larque-Saavedra, A.; Canto, A. Understanding the physiological responses of a tropical crop (Capsicum chinense Jacq.) at high temperature. PLoS ONE 2014, 9, e111402. [Google Scholar] [CrossRef]
  22. Garruña-Hernández, R.; Monforte-González, M.; Canto-Aguilar, A.; Vázquez-Flota, F.; Orellana, R. Enrichment of carbon dioxide in the atmosphere increases the capsaicinoids content in Habanero peppers (Capsicum chinense Jacq.). J. Sci. Food Agric. 2013, 93, 1385–1388. [Google Scholar] [CrossRef]
  23. Hernández-Pinto, C.; Garruña, R.; Andueza-Noh, R.; Hernández-Núñez, E.; Zavala-León, M.J.; Pérez-Gutiérrez, A. Post-harvest storage of fruits: An alternative to improve physiologycal quality in habanero pepper seeds. Rev. Biocienc. 2020, 7, 1–15. [Google Scholar]
  24. Garruña-Hernández, R.; Canto, A.; Mijangos-Cortés, J.O.; Islas, I.; Pinzón, L.; Orellana, R. Changes in flowering and fruiting of Habanero pepper in response to higher temperature and CO. J. Food Agric. Environ. 2012, 10, 802–808. [Google Scholar]
  25. Abo Gamar, M.I.; Qaderi, M.M. Interactive effects of temperature, carbon dioxide and watering regime on seed germinability of two genotypes of Arabidopsis thaliana. Seed Sci. Res. 2019, 29, 12–20. [Google Scholar] [CrossRef]
  26. Khaeim, H.; Kende, Z.; Jolánkai, M.; Kovács, G.P.; Gyuricza, C.; Tarnawa, Á. Impact of Temperature and Water on Seed Germination and Seedling Growth of Maize (Zea mays L.). Agronomy 2022, 12, 397. [Google Scholar] [CrossRef]
  27. Kim, D.H.; Han, S.H. Direct Effects on Seed Germination of 17 Tree Species under Elevated Temperature and CO2 Conditions. Open Life Sci. 2018, 13, 137–148. [Google Scholar] [CrossRef]
  28. Caroca, R.; Zapata, N.; Vargas, M. Efecto de la temperatura sobre la germinación de cuatro genotipos de maní (Arachis hypogea L.). Chil. J. Agric. Res. 2016, 32, 94–101. [Google Scholar]
  29. Yuan, X.; Wen, B. Seed germination response to high temperature and water stress in three invasive Asteraceae weeds from Xishuangbanna, SW China. PLoS ONE 2018, 13, e0191710. [Google Scholar] [CrossRef] [PubMed] [Green Version]
  30. Wullshleger, S.D.; Tschaplinski, T.J.; Norby, R.J. Plant water relations at elevated CO2–implications for water-limited enviroments. Plant Cell Environ. 2020, 25, 319–331. [Google Scholar] [CrossRef] [PubMed] [Green Version]
  31. Marcelino, M.N.; Fernando, V.H.P.; Magali, R.R.; López, V.; Ángel, M.; Analilia, A.B.; Silvia, L.S.; de Fátima, R.C.F. Resistencia y Tolerancia a Estrés Abiótico: Mecanismos Sofisticados De Adaptación De Las Plantas Ante Distintas Condiciones De Estrés; Frontera Biotecnológica: Tepetitla, Mexico, 2018; Volume 5. [Google Scholar]
  32. Rahman Ur, H.; Malik, S.A.; Saleem, M. Heat tolerance of upland cotton during the fruiting stage evaluated using cellular membrane thermostability. Field Crops Res. 2004, 85, 149–158. [Google Scholar] [CrossRef]
  33. Apgaua, D.M.G.; Tng, D.Y.P.; Forbes, S.J.; Ishida, Y.F.; Vogado, N.O.; Cernusak, L.A.; Laurance, S.G.W. Elevated temperature and CO2 cause differential growth stimulation and drought survival responses in eucalypt species from contrasting habitats. Tree Physiol. 2019, 39, 1806–1820. [Google Scholar] [CrossRef]
  34. Sershen, N.; Perumal, A.; Varghese, B.; Govender, P.; Ramdhani, S.; Berjak, P. Effects of elevated temperatures on germination and subsequent seedling vigour in recalcitrant Trichilia emetica seeds. S. Afr. J. Bot. 2014, 90, 153–162. [Google Scholar] [CrossRef] [Green Version]
  35. Kim Jin, H.; Cho Ram, A.; Park Sub, K.; Kim Jin, Y. Effect of CO2 enrichment on growth and flowering of Phalaenopsis. Hortic. J. 2017, 86, 389–394. [Google Scholar] [CrossRef] [Green Version]
  36. Chaturvedi, A.K.; Bahuguna, R.N.; Shah, D.; Pal, M.; Jagadish, S.V.K. High temperature stress during flowering and grain filling offsets beneficial impact of elevated CO2 on assimilate partitioning and sink-strength in rice. Sci. Rep. 2017, 7, 8227. [Google Scholar] [CrossRef] [Green Version]
  37. Xu, S.; Zhu, X.; Li, C.; Ye, Q. Effects of CO2 enrichment on photosynthesis and growth in Gerbera jamesonii. Sci. Hortic. 2014, 177, 77–84. [Google Scholar] [CrossRef]
  38. Meneses-Lazo, R.E.; Garruña, R.; Latournerie-Moreno, L.; Andrade-Torres, J.L.; Pérez-Gutiérrez, A. Phenological and physiological characterization of experimental habanero pepper varieties with high agronomic potential. Rev. Fitotec. Mex. 2018, 41, 67–74. [Google Scholar]
  39. Marcelis, L.F.M.; Heuvelink, E.; Baan Hofman-Eijer, L.R.; Den Bakker, J.; Xue, L.B. Flower and fruit abortion in sweet pepper in relation to source and sink strength. J. Exp. Bot. 2004, 55, 2261–2268. [Google Scholar] [CrossRef] [Green Version]
  40. Pan, T.; Ding, J.; Qin, G.; Wang, Y.; Xi, L.; Yang, J.; Li, J.; Zhang, J.; Zou, Z. Interaction of supplementary light and CO2 enrichment improves growth, photosynthesis, yield, and quality of tomato in autumn through spring greenhouse production. HortScience 2019, 54, 246–252. [Google Scholar] [CrossRef] [Green Version]
Figure 1. Emergence and mortality of seedlings of C. annum (A,C) and C. chinense (B,D) cultivated under different temperatures and CO2-enriched atmospheres. C1 = 30 °C and 400 μmol CO2 mol−1, C2 = 40 °C and 1200 μmol CO2 mol−1, C3 = 30 °C and 1200 μmol CO2 mol−1, C4 = 40 °C and 400 μmol CO2 mol−1. Data are means ± SE; * = statistically significant differences (2-way ANOVA p ≤ 0.05, n = 100).
Figure 1. Emergence and mortality of seedlings of C. annum (A,C) and C. chinense (B,D) cultivated under different temperatures and CO2-enriched atmospheres. C1 = 30 °C and 400 μmol CO2 mol−1, C2 = 40 °C and 1200 μmol CO2 mol−1, C3 = 30 °C and 1200 μmol CO2 mol−1, C4 = 40 °C and 400 μmol CO2 mol−1. Data are means ± SE; * = statistically significant differences (2-way ANOVA p ≤ 0.05, n = 100).
Agronomy 12 01836 g001
Figure 2. Leaf area, height and root volume of C. annum (A,C,E) and C. chinense (B,D,F) seedlings cultivated under different temperatures and CO2-enriched atmospheres. C1 = 30 °C and 400 μmol CO2 mol−1, C2 = 40 °C and 1200 μmol CO2 mol−1, C3 = 30 °C and 1200 μmol CO2 mol−1, C4 = 40 °C and 400 μmol CO2 mol−1. Data are means ± SE. Different letters indicate statistically significant differences among treatments (Tukey, p ≤ 0.05, n = 20).
Figure 2. Leaf area, height and root volume of C. annum (A,C,E) and C. chinense (B,D,F) seedlings cultivated under different temperatures and CO2-enriched atmospheres. C1 = 30 °C and 400 μmol CO2 mol−1, C2 = 40 °C and 1200 μmol CO2 mol−1, C3 = 30 °C and 1200 μmol CO2 mol−1, C4 = 40 °C and 400 μmol CO2 mol−1. Data are means ± SE. Different letters indicate statistically significant differences among treatments (Tukey, p ≤ 0.05, n = 20).
Agronomy 12 01836 g002
Figure 3. Seedling biomass of C. annuum (A) and C. chinense (B) cultivated under different temperatures and CO2-enriched atmospheres. C1 = 30 °C and 400 μmol CO2 mol−1, C2 = 40 °C and 1200 μmol CO2 mol−1, C3 = 30 °C and 1200 μmol CO2 mol−1, C4 = 40 °C and 400 μmol CO2 mol−1. Data are means ± SE. Different letters indicate statistically significant differences among treatments (Tukey, p ≤ 0.05, n = 20).
Figure 3. Seedling biomass of C. annuum (A) and C. chinense (B) cultivated under different temperatures and CO2-enriched atmospheres. C1 = 30 °C and 400 μmol CO2 mol−1, C2 = 40 °C and 1200 μmol CO2 mol−1, C3 = 30 °C and 1200 μmol CO2 mol−1, C4 = 40 °C and 400 μmol CO2 mol−1. Data are means ± SE. Different letters indicate statistically significant differences among treatments (Tukey, p ≤ 0.05, n = 20).
Agronomy 12 01836 g003
Figure 4. Plants with flower buds, plants with flowers and plants with fruits of C. annuum (A,C,E) and C. chinense (B,D,F) cultivated under different temperatures and CO2-enriched atmospheres. C1 = 30 °C and 400 μmol CO2 mol−1, C2 = 40 °C and 1200 μmol CO2 mol−1, C3 = 30 °C and 1200 μmol CO2 mol−1, C4 = 40 °C and 400 μmol CO2 mol−1. Data are means ± SE. * = statistically significant differences (two-way ANOVA p ≤ 0.05, n = 120).
Figure 4. Plants with flower buds, plants with flowers and plants with fruits of C. annuum (A,C,E) and C. chinense (B,D,F) cultivated under different temperatures and CO2-enriched atmospheres. C1 = 30 °C and 400 μmol CO2 mol−1, C2 = 40 °C and 1200 μmol CO2 mol−1, C3 = 30 °C and 1200 μmol CO2 mol−1, C4 = 40 °C and 400 μmol CO2 mol−1. Data are means ± SE. * = statistically significant differences (two-way ANOVA p ≤ 0.05, n = 120).
Agronomy 12 01836 g004
Figure 5. Number of flowers per plant, number of fruits per plant and flower abortion in C. annum (A,C,E) and C. chinense (B,D,F) plants cultivated under different temperatures and CO2-enriched atmospheres. C1 = 30 °C and 400 μmol CO2 mol−1, C2 = 40 °C and 1200 μmol CO2 mol−1, C3 = 30 °C and 1200 μmol CO2 mol−1, C4 = 40 °C and 400 μmol CO2 mol−1. Data are means ± SE calculated at the first harvest of fruits. Different letters indicate statistically significant differences among treatments (Tukey, p ≤ 0.05, n = 32).
Figure 5. Number of flowers per plant, number of fruits per plant and flower abortion in C. annum (A,C,E) and C. chinense (B,D,F) plants cultivated under different temperatures and CO2-enriched atmospheres. C1 = 30 °C and 400 μmol CO2 mol−1, C2 = 40 °C and 1200 μmol CO2 mol−1, C3 = 30 °C and 1200 μmol CO2 mol−1, C4 = 40 °C and 400 μmol CO2 mol−1. Data are means ± SE calculated at the first harvest of fruits. Different letters indicate statistically significant differences among treatments (Tukey, p ≤ 0.05, n = 32).
Agronomy 12 01836 g005
Figure 6. Fruit weight, diameter and length in C. annum (A,C,E) and C. chinense (B,D,F) cultivated under different temperatures and CO2-enriched atmospheres. C1 = 30 °C and 400 μmol CO2 mol−1, C2 = 40 °C and 1200 μmol CO2 mol−1, C3 = 30 °C and 1200 μmol CO2 mol−1, C4 = 40 °C and 400 μmol CO2 mol−1. Data are means ± SE calculated at the first harvest of fruits. Different letters indicate statistically significant differences among treatments (Tukey, p ≤ 0.05, n = 100).
Figure 6. Fruit weight, diameter and length in C. annum (A,C,E) and C. chinense (B,D,F) cultivated under different temperatures and CO2-enriched atmospheres. C1 = 30 °C and 400 μmol CO2 mol−1, C2 = 40 °C and 1200 μmol CO2 mol−1, C3 = 30 °C and 1200 μmol CO2 mol−1, C4 = 40 °C and 400 μmol CO2 mol−1. Data are means ± SE calculated at the first harvest of fruits. Different letters indicate statistically significant differences among treatments (Tukey, p ≤ 0.05, n = 100).
Agronomy 12 01836 g006
Publisher’s Note: MDPI stays neutral with regard to jurisdictional claims in published maps and institutional affiliations.

Share and Cite

MDPI and ACS Style

Pereyda-González, J.M.; De-la-Peña, C.; Tezara, W.; Zamora-Bustillos, R.; Andueza-Noh, R.H.; Noh-Kú, J.G.; Carrera-Marín, M.; Garruña, R. High Temperature and Elevated CO2 Modify Phenology and Growth in Pepper Plants. Agronomy 2022, 12, 1836. https://doi.org/10.3390/agronomy12081836

AMA Style

Pereyda-González JM, De-la-Peña C, Tezara W, Zamora-Bustillos R, Andueza-Noh RH, Noh-Kú JG, Carrera-Marín M, Garruña R. High Temperature and Elevated CO2 Modify Phenology and Growth in Pepper Plants. Agronomy. 2022; 12(8):1836. https://doi.org/10.3390/agronomy12081836

Chicago/Turabian Style

Pereyda-González, Jade M., Clelia De-la-Peña, Wilmer Tezara, Roberto Zamora-Bustillos, Rubén H. Andueza-Noh, Jehu G. Noh-Kú, María Carrera-Marín, and René Garruña. 2022. "High Temperature and Elevated CO2 Modify Phenology and Growth in Pepper Plants" Agronomy 12, no. 8: 1836. https://doi.org/10.3390/agronomy12081836

APA Style

Pereyda-González, J. M., De-la-Peña, C., Tezara, W., Zamora-Bustillos, R., Andueza-Noh, R. H., Noh-Kú, J. G., Carrera-Marín, M., & Garruña, R. (2022). High Temperature and Elevated CO2 Modify Phenology and Growth in Pepper Plants. Agronomy, 12(8), 1836. https://doi.org/10.3390/agronomy12081836

Note that from the first issue of 2016, this journal uses article numbers instead of page numbers. See further details here.

Article Metrics

Back to TopTop