Response of Potted Citrus Trees Subjected to Water Deficit Irrigation with the Application of Superabsorbent Polyacrylamide Polymers
Abstract
:1. Introduction
2. Materials and Methods
2.1. Experimental Setup
2.2. Experimental Design
2.3. Measurements
2.3.1. Substrate Temperature
2.3.2. Soil Water Content
2.3.3. Plant Water Status Measurements
2.3.4. Physiological Parameters
2.3.5. Growth and Biomass of Plants
2.3.6. Nutrition and Metabolites Analysis
2.3.7. Statistical Analysis
3. Results
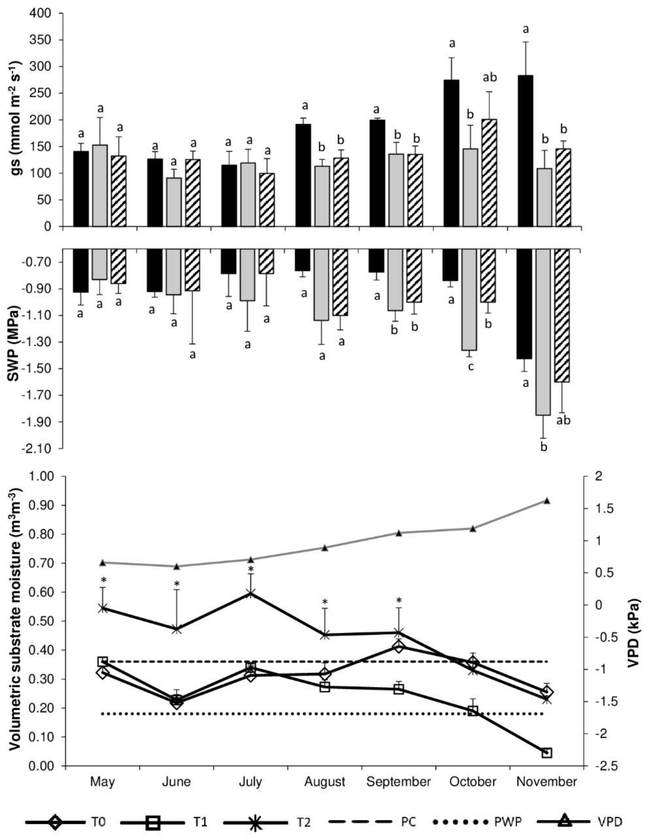
3.1. Substrate and Plant Water Status
3.2. Growth and Biomass of Plants
3.3. Nutrition and Metabolites Analysis
4. Discussion
5. Conclusions
Author Contributions
Funding
Data Availability Statement
Acknowledgments
Conflicts of Interest
References
- Nikolaou, G.; Neocleous, D.; Christou, A.; Kitta, E.; Katsoulas, N. Implementing sustainable irrigation in water-scarce regions under the impact of climate change. Agronomy 2020, 10, 1120. [Google Scholar] [CrossRef]
- Saxena, R.; Kumar, M.; Tomar, R.S. Plant responses and resilience towards drought and salinity stress. Plant Arch. 2019, 19, 50–58. [Google Scholar]
- Syvertsen, J.P.; Lloyd, J.; Kriedemann, P.E. Salinity and drought stress effects on foliar ion concentration, water relations, and photosynthetic characteristics of orchard citrus. Aust. J. Agric. Res. 1988, 39, 619–627. [Google Scholar] [CrossRef]
- Sánchez-Blanco, M.J.; Torrecillas, A.; Del Amor, F.; León, A. The water relations of Verna lemon trees from flowering to the end of rapid fruit growth. Biol. Plant. 1990, 32, 357–363. [Google Scholar] [CrossRef]
- Miranda, M.T.; Da Silva, S.F.; Silveira, N.M.; Pereira, L.; Machado, E.C.; Ribeiro, R.V. Root osmotic adjustment and stomatal control of leaf gas exchange are dependent on citrus rootstocks under water deficit. J. Plant Growth Regul. 2021, 40, 11–19. [Google Scholar] [CrossRef]
- Rodrigues, M.; Baptistella, J.L.C.; Horz, D.C.; Bortolato, L.M.; Mazzafera, P. Organic plant biostimulants and fruit quality—A review. Agronomy 2020, 10, 988. [Google Scholar] [CrossRef]
- Bonomelli, C.; Celis, V.; Lombardi, G.; Mártiz, J. Salt stress effects on avocado (Persea americana Mill.) plants with and without seaweed extract (Ascophyllum nodosum) application. Agronomy 2018, 8, 64. [Google Scholar] [CrossRef] [Green Version]
- Mossad, A.; Farina, V.; Lo Bianco, R. Fruit yield and quality of ‘Valencia’orange trees under long-term partial rootzone drying. Agronomy 2020, 10, 164. [Google Scholar] [CrossRef] [Green Version]
- Kumar, V.; Bhat, A.K.; Sharma, V.; Gupta, N.; Sohan, P.; Singh, V.B. Effect of different mulches on soil moisture, growth and yield of Eureka lemon (Citrus limon burm) under rainfed condition. Indian J. Dryland Agric. Res. Dev. 2015, 30, 83–88. [Google Scholar] [CrossRef] [Green Version]
- Rivera, R.D.; Mesías, F. Water absorption hydrogel agricultural use and wetting of three soil types. Rev. Fac. Cienc. Agrar. Univ. Nac. Cuyo 2018, 50, 15–21. [Google Scholar]
- Satriani, A.; Catalano, M.; Scalcione, E. The role of superabsorbent hydrogel in bean crop cultivation under deficit irrigation conditions: A case-study in Southern Italy. Agric. Water Manag. 2018, 195, 114–119. [Google Scholar] [CrossRef]
- Geesing, D.; Schmidhalter, U. Influence of sodium polyacrylate on the water-holding capacity of three different soils and effects on growth of wheat. Soil Use Manag. 2004, 20, 207–209. [Google Scholar] [CrossRef]
- López-Elías, J.; Garza, S.; Jiménez, J.; Huez, M.A.; Garrido, O.D. Uso de un polímero hidrófilo a base de poliacrilamida para mejorar la eficiencia en el uso del agua. Eur. Sci. J. 2016, 12, 160. [Google Scholar] [CrossRef]
- Cannazza, G.; Cataldo, A.; De Benedetto, E.; Demitri, C.; Madaghiele, M.; Sannino, A. Experimental assessment of the use of a novel superabsorbent polymer (SAP) for the optimization of water consumption in agricultural irrigation process. Water 2014, 6, 2056–2069. [Google Scholar] [CrossRef] [Green Version]
- Thombare, N.; Mishra, S.; Siddiqui, M.Z.; Jha, U.; Singh, D.; Mahajan, G.R. Design and development of guar gum-based novel, superabsorbent and moisture-retaining hydrogels for agricultural applications. Carbohydr. Polym. 2018, 185, 169–178. [Google Scholar] [CrossRef] [PubMed]
- Topp, G.C.; Davis, J.L.; Annan, A.P. Electromagnetic determination of soil water content: Measurements in coaxial transmission lines. Water Resour. Res. 1980, 16, 574–582. [Google Scholar] [CrossRef] [Green Version]
- Reynolds, S.G. The gravimetric method of soil moisture determination part I: A study of equipment. And methodological problems. J. Hydrol. 1970, 11, 258–273. [Google Scholar] [CrossRef]
- Blake, G.R.; Hartge, K.H. Bulk density. In Methods of Soil Analysis, Part 1. Physical and Mineralogical Methods, 2nd ed.; Klute, A., Ed.; Agronomy Monograph 9; American Society of Agronomy; Soil Science Society of America: Madison, WI, USA, 1986; pp. 363–382. [Google Scholar]
- Scholander, P.F.; Bradstreet, E.D.; Hemmingsen, E.A.; Hammel, H.T. Sap Pressure in Vascular Plants: Negative hydrostatic pressure can be measured in plants. Science 1965, 148, 339–346. [Google Scholar] [CrossRef]
- Weatherley, P.E. Studies in the water relations of the cotton plant I. The field measurements of water deficit in leaves. New Phytol. 1950, 49, 81–97. [Google Scholar] [CrossRef]
- Rascher, U.; Liebig, M.; Lüttge, U. Evaluation of instant light-response curves of chlorophyll fluorescence parameters obtained with a portable chlorophyll fluorometer on site in the field. Plant Cell Environ. 2000, 23, 1397–1405. [Google Scholar] [CrossRef]
- Bates, L.S.; Waldren, R.P.; Teare, I.D. Rapid determination of free proline for water-stress studies. Plant Soil 1973, 39, 205–207. [Google Scholar] [CrossRef]
- Ribeiro, R.V.; Machado, E.C. Some aspects of citrus ecophysiology in subtropical climates: Re-visiting photosynthesis under natural conditions. Braz. J. Plant Physiol. 2007, 19, 393–411. [Google Scholar] [CrossRef] [Green Version]
- Ben-Noah, I.; Nitsan, I.; Cohen, B.; Kaplan, G.; Friedman, S.P. Soil aeration using air injection in a citrus orchard with shallow groundwater. Agric. Water Manag. 2021, 245, 106664. [Google Scholar] [CrossRef]
- Dietrich, D. Hydrotropism: How roots search for water. J. Exp. Bot. 2018, 69, 2759–2771. [Google Scholar] [CrossRef] [PubMed]
- Núñez Vázquez, M.; Pérez Hernández, M.D.C.; Betancourt Grandal, M. Review water and saline stress on citrus. Strategies for reducing plant damages. Cultiv. Trop. 2017, 38, 65–74. [Google Scholar]
- Munns, R. Comparative physiology of salt and water stress. Plant Cell Environ. 2002, 25, 239–250. [Google Scholar] [CrossRef]


| Organ Tmt | % N | % P | % K | % Ca | % Mg | % Na | % Si | |||||||||||||||
|---|---|---|---|---|---|---|---|---|---|---|---|---|---|---|---|---|---|---|---|---|---|---|
| Root | T0 | 1.08 | ±0.10 | a | 0.09 | ±0.01 | a | 0.69 | ±0.07 | a | 0.54 | ±0.03 | a | 0.07 | ±0.01 | a | 0.03 | ±0.013 | b | 0.10 | ±0.055 | a |
| T1 | 0.94 | ±0.21 | a | 0.10 | ±0.02 | a | 0.68 | ±0.07 | a | 0.56 | ±0.07 | a | 0.06 | ±0.01 | a | 0.03 | ±0.004 | b | 0.10 | ±0.015 | a | |
| T2 | 1.28 | ±0.20 | a | 0.10 | ±0.01 | a | 0.68 | ±0.11 | a | 0.62 | ±0.08 | a | 0.08 | ±0.02 | a | 0.05 | ±0.006 | a | 0.12 | ±0.033 | a | |
| Shoot | T0 | 0.93 | ±0.17 | a | 0.13 | ±0.02 | a | 0.90 | ±0.07 | a | 1.37 | ±0.19 | a | 0.07 | ±0.01 | a | 0.02 | ±0.004 | a | 0.06 | ±0.048 | a |
| T1 | 0.81 | ±0.13 | a | 0.12 | ±0.02 | a | 0.89 | ±0.08 | a | 1.13 | ±0.17 | a | 0.06 | ±0.01 | a | 0.02 | ±0.004 | a | 0.05 | ±0.057 | a | |
| T2 | 1.02 | ±0.15 | a | 0.14 | ±0.04 | a | 0.96 | ±0.19 | a | 1.19 | ±0.18 | a | 0.07 | ±0.02 | a | 0.03 | ±0.008 | a | 0.05 | ±0.050 | a | |
| Leaf | T0 | 2.74 | ±0.58 | a | 0.18 | ±0.02 | a | 2.46 | ±0.25 | b | 2.04 | ±0.14 | a | 0.28 | ±0.03 | a | 0.03 | ±0.003 | b | 0.012 | ±0.006 | a |
| T1 | 2.55 | ±0.42 | a | 0.21 | ±0.03 | a | 2.62 | ±0.34 | ab | 2.10 | ±0.20 | a | 0.29 | ±0.03 | a | 0.04 | ±0.004 | b | 0.004 | ±0.002 | b | |
| T2 | 3.29 | ±0.19 | a | 0.20 | ±0.02 | a | 3.08 | ±0.27 | a | 1.94 | ±0.36 | a | 0.28 | ±0.02 | a | 0.12 | ±0.068 | a | 0.003 | ±0.001 | b | |
| Treatments | Proline Fine Root (mg g−1) |
|---|---|
| T0 | 6.54 c |
| T1 | 9.42 b |
| T2 | 13.76 a |
Publisher’s Note: MDPI stays neutral with regard to jurisdictional claims in published maps and institutional affiliations. |
© 2022 by the authors. Licensee MDPI, Basel, Switzerland. This article is an open access article distributed under the terms and conditions of the Creative Commons Attribution (CC BY) license (https://creativecommons.org/licenses/by/4.0/).
Share and Cite
Cea, D.; Bonomelli, C.; Mártiz, J.; Gil, P.M. Response of Potted Citrus Trees Subjected to Water Deficit Irrigation with the Application of Superabsorbent Polyacrylamide Polymers. Agronomy 2022, 12, 1546. https://doi.org/10.3390/agronomy12071546
Cea D, Bonomelli C, Mártiz J, Gil PM. Response of Potted Citrus Trees Subjected to Water Deficit Irrigation with the Application of Superabsorbent Polyacrylamide Polymers. Agronomy. 2022; 12(7):1546. https://doi.org/10.3390/agronomy12071546
Chicago/Turabian StyleCea, Daniela, Claudia Bonomelli, Johanna Mártiz, and Pilar M. Gil. 2022. "Response of Potted Citrus Trees Subjected to Water Deficit Irrigation with the Application of Superabsorbent Polyacrylamide Polymers" Agronomy 12, no. 7: 1546. https://doi.org/10.3390/agronomy12071546
APA StyleCea, D., Bonomelli, C., Mártiz, J., & Gil, P. M. (2022). Response of Potted Citrus Trees Subjected to Water Deficit Irrigation with the Application of Superabsorbent Polyacrylamide Polymers. Agronomy, 12(7), 1546. https://doi.org/10.3390/agronomy12071546

