Effect of Heat Treatment on Nutritional and Chromatic Properties of Mung Bean (Vigna radiata L.)
Abstract
:1. Introduction
2. Materials and Methods
2.1. Materials
2.2. Thermal Treatment of Mung Beans
2.3. Characterization of Physicochemical Properties
2.4. Color Characteristics
2.5. Measurement of Browning Index
2.6. Determination of Total Flavonoids and Total Polyphenols
2.7. Extraction and Determination of Pigments of Mung Bean Seed Coat and Cotyledons
2.7.1. Acetone Extraction Method
2.7.2. Hot Ethanol Extraction Method
2.7.3. Ethanol Extraction Method
2.8. Total Carotenoid Content
2.9. Anthocyanin Measurement
2.10. Purification with Mung Bean Seed Coat Pigments
2.11. High-Performance Liquid Chromatography (HPLC)
2.12. Statistical Analysis
3. Results and Discussion
3.1. Component Analysis of Mung Bean
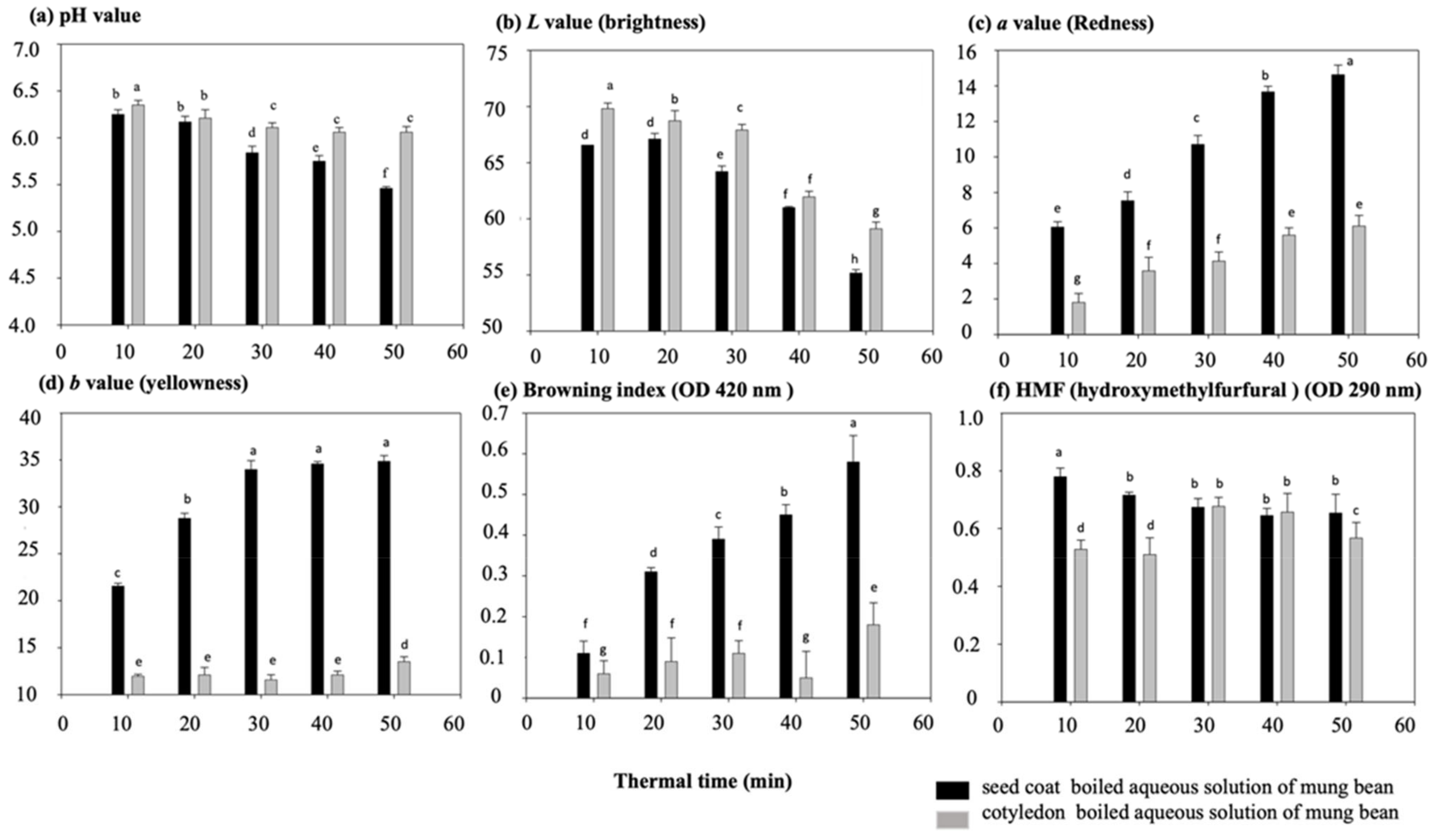
3.2. Determination of pH Value
3.3. Color Characteristics
3.4. Browning Index
3.5. Change of Chlorophyll Content
3.6. Flavonoid Condensation Reaction
3.7. Oxidative Condensation of Polyphenols
3.8. Pigment Content of Different Parts in Mung Beans
3.9. Extraction and Purification of Chlorophyll
3.10. Chlorophyll Purification and Assay Analysis
4. Conclusions
5. Highlights
- The color changes of mung beans during thermal processing were evaluated.
- Under weak acidic conditions with heat, the chlorophyll content in the seed coat decreased.
- Chromatic changes of chlorophyll were combined with the Maillard reaction after thermal treatment.
- The results of this study might be applied in the beverage or baking industries.
Author Contributions
Funding
Institutional Review Board Statement
Informed Consent Statement
Data Availability Statement
Acknowledgments
Conflicts of Interest
References
- Pataczek, L.; Zahir, Z.A.; Ahmad, M.; Rani, S.; Nair, R. Beans with benefits—The role of mungbean (Vigna radiata) in a changing environment. Am. J. Bot. 2018, 9, 24. [Google Scholar]
- Australian Centre for International Agricultural Research (ACIAR). International Mungbean Improvement Network (IMIN): Mung Central. 2016. Available online: https://avrdc.org/download/project_newsletters/mung_central_newsletter/Mungbean-Central-ED1-2016-final-version.pdf (accessed on 16 May 2022).
- Batzer, J.C.; Singh, A.; Rairdin, A.; Chiteri, K.; Mueller, D.S. Mungbean: A preview of disease management challenges for an alternative U.S. cash crop. J. Integr. Pest. Manag. 2022, 13, 4. [Google Scholar] [CrossRef]
- Lambrides, C.J.; Godwin, I.D. Mungbean. In Pulses, Sugar and Tuber Crops; Chittaranjan, K., Ed.; Springer: Berlin/Heidelberg, Germany, 2007; pp. 69–90. [Google Scholar]
- Kumar, A.Y.; Seema, P.; Kumar, R.R.; Kushwaha, A.; Rashid, M.H.; Tarannum, N.; Chakraborty, S. Mungbean (Vigna radiata (L.) R. Wilczek): Progress in breeding and future challenges. Int. J. Plant Soil Sci. 2022, 34, 50–59. [Google Scholar] [CrossRef]
- Wang, F.; Huang, L.; Yuan, X.; Zhang, X.; Guo, L.; Xue, C.; Chen, X. Nutritional, phytochemical and antioxidant properties of 24 mung bean (Vigna radiate L.) genotypes. Food Prod. Process. Nutr. 2021, 3, 28. [Google Scholar] [CrossRef]
- Watt, E.E.; Poehlman, J.M.; Cumbie, B.G. Origin and composition of a texture layer on seeds of mungbean. Crop Sci. 1977, 17, 121–125. [Google Scholar] [CrossRef]
- Villaño, D.; García-Viguera, C.; Mena, P. Colors: Health effects. In Encyclopedia of Food and Health; Caballero, B., Finglas, P.M., Toldrá, F., Eds.; Academic Press: Oxford, UK, 2016; pp. 265–272. [Google Scholar]
- Pither, R.J. Canning|Quality changes during canning. In Encyclopedia of Food Sciences and Nutrition, 2nd ed.; Caballero, B., Ed.; Academic Press: Oxford, UK, 2003; pp. 845–851. [Google Scholar]
- Scheer, H. Chlorophylls and carotenoids. In Encyclopedia of Biological Chemistry, 2nd ed.; Lennarz, W.J., Lane, M.D., Eds.; Academic Press: Waltham, MA, USA, 2013; pp. 498–505. [Google Scholar]
- Yilmaz, C.; Gökmen, V. Chlorophyll. In Encyclopedia of Food and Health; Caballero, B., Finglas, P.M., Toldrá, F., Eds.; Academic Press: Oxford, UK, 2016; pp. 37–41. [Google Scholar]
- Giuliani, A.; Cerretani, L.; Cichelli, A. Colors: Properties and determination of natural pigments. In Encyclopedia of Food and Health; Caballero, B., Finglas, P.M., Toldrá, F., Eds.; Academic Press: Oxford, UK, 2016; pp. 273–283. [Google Scholar]
- Popalia, C.; Kumar, N. Effect of temperature and processing time on physico-chemical characteristics in hot water blanching of sweet corn kernels. J. Inst. Eng. Ser. A 2021, 102, 163–173. [Google Scholar] [CrossRef]
- Popaliya, C.; Kumar, N. Physicochemical characteristics of sweet corn kernels during microwave blanching. J. Food Process. Preserv. 2022, 46, e16413. [Google Scholar] [CrossRef]
- Patel, K.K.; Kar, A. Heat pump assisted drying of agricultural produce—An overview. J. Food Sci. Technol. 2012, 49, 142–160. [Google Scholar] [CrossRef]
- AACC. Approved Method of the AACC, 10th ed.; American Association of Cereal Chemists: Heathrow, UK, 2000. [Google Scholar]
- Williams, P.C.; Kuzina, F.D.; Hlynka, I. A rapid colorimetric procedure for estimating the amylose content of starches and flours. Cereal Chem. 1970, 47, 411–420. [Google Scholar]
- Yadav, B.S.; Sharma, A.; Yadav, R.B. Resistant starch content of conventionally boiled and pressure-cooked cereals, legumes and tubers. J. Food Sci. Technol. 2010, 47, 84–88. [Google Scholar] [CrossRef]
- Pham, H.T.T.; Bista, A.; Kebede, B.; Buvé, C.; Hendrickx, M.; van Loey, A. Insight into non-enzymatic browning of shelf-stable orange juice during storage: A fractionation and kinetic approach. J. Sci. Food Agric. 2020, 100, 3765–3775. [Google Scholar] [CrossRef] [PubMed]
- Pandey, S.; Sundararajan, S.; Ramalingam, S.; Pant, B. Elicitation and plant growth hormone-mediated adventitious root cultures for enhanced valepotriates accumulation in commercially important medicinal plant Valeriana jatamansi Jones. Acta Physiol. Plant. 2021, 44, 4. [Google Scholar] [CrossRef]
- Anwar, F.; Latif, S.; Przybylski, R.; Sultana, B.; Ashraf, M. Chemical composition and antioxidant activity of seeds of different cultivars of mungbean. J. Food Sci. 2007, 72, S503–S510. [Google Scholar] [CrossRef] [PubMed]
- Liu, Y.; Chen, W.; Fan, L. Effects of different drying methods on the storage stability of barley grass powder. J. Sci. Food Agric. 2022, 102, 1076–1084. [Google Scholar] [CrossRef]
- Chen, J.Y.; Yen, G.C.; Tsai, N.T.; Lin, J.A. Risk and benefit of natural and commercial dark brown sugars as evidenced by phenolic and Maillard reaction product contents. J. Agric. Food Chem. 2021, 69, 767–775. [Google Scholar] [CrossRef]
- Arnon, D.I. Copper enzymes in isolated chloroplasts. Polyphenol oxidase in Beta vulgaris. Plant Physiol. 1949, 24, 1–15. [Google Scholar] [CrossRef]
- Zhang, S.; Sheng, Y.N.; Feng, Y.C.; Diao, J.J.; Wang, C.Y.; Zhang, D.J. Changes in structural and functional properties of globulin-polyphenol complexes in mung beans: Exploration under different interaction ratios and heat treatment conditions. Int. J. Food Sci. Technol. 2022, 57, 1920–1935. [Google Scholar] [CrossRef]
- Zhang, S.; Feng, Y.C.; Fu, T.X.; Sheng, Y.N.; Diao, J.J.; Wang, C.Y. Effect of processing on the phenolics content and antioxidant properties of mung bean. Cereal Chem. 2021, 98, 355–366. [Google Scholar] [CrossRef]
- Alam, M.K.; Rana, Z.H.; Islam, S.N. Comparison of the proximate composition, total carotenoids and total polyphenol content of nine orange-fleshed sweet potato varieties grown in Bangladesh. Foods 2016, 5, 64. [Google Scholar] [CrossRef]
- Johnson, J.; Collins, T.; Walsh, K.; Naiker, M. Solvent extractions and spectrophotometric protocols for measuring the total anthocyanin, phenols and antioxidant content in plums. Chem. Pap. 2020, 74, 4481–4492. [Google Scholar] [CrossRef]
- Lee, J.; Durst, R.; Wrolstad, R. AOAC 2005.02: Total Monomeric Anthocyanin Pigment Content of Fruit Juices, Beverages, Natural Colorants, and Wines—pH Differential Method. In Official Methods of Analysis of AOAC International; AOAC International: Rockville, MD, USA, 2005. [Google Scholar]
- Wu, M.C.; Jiang, C.M.; Huang, P.H.; Wu, M.Y.; Wang, Y.T. Separation and utilization of pectin lyase from commercial pectic enzyme via highly methoxylated cross-linked alcohol-insoluble solid chromatography for wine methanol reduction. J. Agric. Food Chem. 2007, 55, 1557–1562. [Google Scholar] [CrossRef] [PubMed]
- Masoodi, K.Z.; Lone, S.M.; Rasool, R.S. Gel-filtration or size-exclusion chromatography. In Advanced Methods in Molecular Biology and Biotechnology; Masoodi, K.Z., Lone, S.M., Rasool, R.S., Eds.; Academic Press: Amsterdam, The Netherlands, 2021; Chapter 26; pp. 147–149. [Google Scholar]
- Zhang, Z.; Lin, H.; Sui, J.; Han, X.; Wang, L.; Sun, X.; Cao, L. The effect of chlorophyll on the enzyme-linked immunosorbent assay (ELISA) of procymidone in vegetables and the way to overcome the matrix interference. J. Sci. Food Agric. 2021, 102, 3393–3399. [Google Scholar] [CrossRef] [PubMed]
- Zeb, A.; Khan, S.; Ercişli, S. Characterization of carotenoids, chlorophylls, total phenolic compounds, and antioxidant activity of Brassica oleracea L. var. botrytis leaves from Pakistan. Biologia 2022, 77, 315–324. [Google Scholar] [CrossRef]
- Min, C.; Ma, W.; Kuang, J.; Huang, J.; Xiong, Y.L. Textural properties, microstructure and digestibility of mungbean starch-flaxseed protein composite gels. Food Hydrocoll. 2022, 126, 107482. [Google Scholar] [CrossRef]
- Li, K.; Zhang, M.; Bhandari, B.; Xu, J.; Yang, C. Improving storage quality of refrigerated steamed buns by mung bean starch composite coating enriched with nano-emulsified essential oils. J. Food Process. Eng. 2020, 43, e13475. [Google Scholar] [CrossRef]
- Awad, A.H.R.; Parmar, A.; Ali, M.R.; El-Mogy, M.M.; Abdelgawad, K.F. Extending the shelf-life of fresh-cut green bean pods by ethanol, ascorbic acid, and essential oils. Foods 2021, 10, 1103. [Google Scholar] [CrossRef] [PubMed]
- Kannan, V.S.; Arjunan, T.V.; Vijayan, S. Drying characteristics of mint leaves (Mentha arvensis) dried in a solid desiccant dehumidifier system. J. Food Sci. Technol. 2021, 58, 777–786. [Google Scholar] [CrossRef]
- Monribot-Villanueva, J.L.; Altúzar-Molina, A.; Aluja, M.; Zamora-Briseño, J.A.; Elizalde-Contreras, J.M.; Bautista-Valle, M.V.; de los Santos, J.A.; Sánchez-Martínez, D.E.; Rivera-Reséndiz, F.J.; Vázquez-Rosas-Landa, M.; et al. Integrating proteomics and metabolomics approaches to elucidate the ripening process in white Psidium guajava. Food Chem. 2022, 367, 130656. [Google Scholar] [CrossRef]
- Lotfy, S.N.; Saad, R.; El-Massrey, K.F.; Fadel, H.H.M. Effects of pH on headspace volatiles and properties of Maillard reaction products derived from enzymatically hydrolyzed quinoa protein-xylose model system. LWT 2021, 145, 111328. [Google Scholar] [CrossRef]
- Moldoveanu, S.C. 8—Analytical pyrolysis of caramel colours and of maillard browning polymers. In Analytical Pyrolysis of Natural Organic Polymers, 2nd ed.; Moldoveanu, S.C., Ed.; Elsevier: Amsterdam, The Netherlands, 2021; Volume 20, pp. 315–333. [Google Scholar]
- Sharma, S.; Katoch, V.; Kumar, S.; Chatterjee, S. Functional relationship of vegetable colors and bioactive compounds: Implications in human health. J. Nutr. Biochem. 2021, 92, 108615. [Google Scholar] [CrossRef]
- Lin, Y.P.; Charng, Y.Y. Chlorophyll dephytylation in chlorophyll metabolism: A simple reaction catalyzed by various enzymes. Plant Sci. 2021, 302, 110682. [Google Scholar] [CrossRef] [PubMed]
- Shiekh, K.A.; Olatunde, O.O.; Zhang, B.; Huda, N.; Benjakul, S. Pulsed electric field assisted process for extraction of bioactive compounds from custard apple (Annona squamosa) leaves. Food Chem. 2021, 359, 129976. [Google Scholar] [CrossRef] [PubMed]
- Liaotrakoon, W.; Liaotrakoon, V.; Hongtongsuk, T. Effect of solid-based feed concentration and water temperature on physicochemical, chlorophyll and antioxidative properties of Pandanus amaryllifolius leaf extract. J. Food Process. Preserv. 2021, 45, e15735. [Google Scholar] [CrossRef]
- Lichtenthaler, H.K. Chlorophylls and carotenoids: Pigments of photosynthetic biomembranes. In Methods in Enzymology; Academic Press: London, UK, 1987; Volume 148, pp. 350–382. [Google Scholar]
- Ribeiro, J.A.; Cantillano, R.F.F.; Nora, F.R.; Nora, L. Effect of 4-hexylresorcinol on post-cut browning and quality of minimally processed ‘fuji’ apple fruits. J. Food Meas. Charact. 2020, 14, 2461–2471. [Google Scholar] [CrossRef]
- Rodier, L.C.; Hartel, R.W. Characterizing Maillard reaction kinetics and rheological changes in white chocolate over extended heating. J. Food Sci. 2021, 86, 2553–2568. [Google Scholar] [CrossRef] [PubMed]
- Ma, Y.; Wang, A.; Yang, M.; Wang, S.; Wang, L.; Zhou, S.; Blecker, C. Influences of cooking and storage on γ-aminobutyric acid (GABA) content and distribution in mung bean and its noodle products. LWT 2022, 154, 112783. [Google Scholar] [CrossRef]
- Qu, Z.; Tang, Z.; Liu, F.; Sablani, S.S.; Tang, J. Quality of green beans (Phaseolus vulgaris L.) influenced by microwave and hot water pasteurization. Food Control 2021, 124, 107936. [Google Scholar] [CrossRef]
- Palamutoğlu, R. Antibrowning effect of commercial and acid-heat coagulated whey on potatoes during refrigerated storage. J. Food Sci. 2020, 85, 3858–3865. [Google Scholar] [CrossRef]
- Brglez Mojzer, E.; Hrnčič, M.K.; Škerget, M.; Knez, Ž.; Bren, U. Polyphenols: Extraction methods, antioxidative action, bioavailability and anticarcinogenic effects. Molecules 2016, 21, 901. [Google Scholar] [CrossRef]
- Alara, O.R.; Abdurahman, N.H.; Ukaegbu, C.I. Extraction of phenolic compounds: A review. Curr. Res. Food Sci. 2021, 4, 200–214. [Google Scholar] [CrossRef]
- Imran, A.; Arshad, M.U.; Arshad, M.S.; Imran, M.; Saeed, F.; Sohaib, M. Lipid peroxidation diminishing perspective of isolated theaflavins and thearubigins from black tea in arginine induced renal malfunctional rats. Lipids Health Dis. 2018, 17, 157. [Google Scholar] [CrossRef] [PubMed]
- Takemoto, M.; Takemoto, H. Synthesis of theaflavins and their functions. Molecules 2018, 23, 918. [Google Scholar] [CrossRef] [PubMed]
- Tse, S.Y. Food and nutritional analysis|Coffee, cocoa, and tea*. In Encyclopedia of Analytical Science, 2nd ed.; Worsfold, P., Townshend, A., Poole, C., Eds.; Elsevier: Amsterdam, The Netherlands, 2005; pp. 279–285. [Google Scholar]
- Turkmen, N.; Poyrazoglu, E.; Sari, F.; Velioglu, Y. Effects of cooking methods on chlorophylls, pheophytins and colour of selected green vegetables. Int. J. Food Sci. Technol. 2006, 41, 281–288. [Google Scholar] [CrossRef]
- Koch, W. Theaflavins, thearubigins, and theasinensins. In Handbook of Dietary Phytochemicals; Xiao, J., Sarker, S.D., Asakawa, Y., Eds.; Springer: Singapore, 2020; pp. 1–29. [Google Scholar]
- Xu, D.P.; Li, Y.; Meng, X.; Zhou, T.; Zhou, Y.; Zheng, J.; Zhang, J.J.; Li, H.B. Natural antioxidants in foods and medicinal plants: Extraction, assessment and resources. Int. J. Mol. Sci. 2017, 18, 96. [Google Scholar] [CrossRef]
- Suzuki, Y.; Uji, T.; Terai, H. Inhibition of senescence in broccoli florets with ethanol vapor from alcohol powder. Postharvest Biol. Technol. 2004, 31, 177–182. [Google Scholar] [CrossRef]
- Almela, L.; Fernández-López, J.A.; Roca, M.A.J. High-performance liquid chromatographic screening of chlorophyll derivatives produced during fruit storage. J. Chromatogr. A 2000, 870, 483–489. [Google Scholar] [CrossRef]
- Canjura, F.L.; Schwartz, S.J. Separation of chlorophyll compounds and their polar derivatives by high-performance liquid chromatography. J. Agric. Food Chem. 1991, 39, 1102–1105. [Google Scholar] [CrossRef]
- Caesar, J.; Tamm, A.; Ruckteschler, N.; Leifke, A.; Weber, B. Revisiting chlorophyll extraction methods in biological soil crusts—Methodology for determination of chlorophyll a and chlorophyll a + b as compared to previous methods. Biogeosciences 2018, 15, 1415–1424. [Google Scholar] [CrossRef]





| Content (%) | Ash | Crude Protein | Crude Lipid | Carbohydrate | Amylose | |
|---|---|---|---|---|---|---|
| Sample | ||||||
| Cotyledon | 3.39 a ± 0.23 | 24.60 a ± 2.17 | 0.69 b ± 0.18 | 47.73 a ± 2.25 | 15.13 a ± 0.11 | |
| Seed coat | 2.35 b ± 0.11 | 4.05 b ± 0.73 | 0.94 a ± 0.12 | 3.51 b ± 0.58 | 0.00 b ± 0.03 | |
| Chlorophylls | Carotenoids | Anthocyanins | |
|---|---|---|---|
| Whole bean | 0.70 b ± 0.04 | 0.12 b ± 0.02 | 0.39 b ± 0.15 |
| Seed coat | 7.37 a ± 0.11 | 1.98 a ± 0.29 | 4.85 a ± 1.14 |
| Cotyledon | 0.26 c ± 0.15 | 0.02 c ± 0.01 | 0.29 b ± 0.08 |
| Solvent | Acetone | Hot-Ethanol | Ethanol | |||
|---|---|---|---|---|---|---|
| Extraction Time (h) | 2 | 24 | 2 | 24 | 2 | 24 |
| chlorophyll a | 0.95 D ± 0.12 | 2.69 A ± 0.15 | 1.48 C ± 0.12 | 1.55 C ± 0.15 | 1.20 C ± 0.16 | 2.35 B ± 0.15 |
| chlorophyll b | 2.15 D ± 0.04 | 4.95 A ± 0.06 | 3.42 B ± 0.06 | 3.46 B ± 0.02 | 2.91 C ± 0.01 | 5.04 A ± 0.03 |
| chlorophyll a + b | 3.10 D ± 0.10 | 7.64 A ± 0.18 | 4.9 B ± 0.18 | 5.00 B ± 0.16 | 4.11 C ± 0.14 | 7.39 A ± 0.17 |
Publisher’s Note: MDPI stays neutral with regard to jurisdictional claims in published maps and institutional affiliations. |
© 2022 by the authors. Licensee MDPI, Basel, Switzerland. This article is an open access article distributed under the terms and conditions of the Creative Commons Attribution (CC BY) license (https://creativecommons.org/licenses/by/4.0/).
Share and Cite
Huang, P.-H.; Cheng, Y.-T.; Chan, Y.-J.; Lu, W.-C.; Li, P.-H. Effect of Heat Treatment on Nutritional and Chromatic Properties of Mung Bean (Vigna radiata L.). Agronomy 2022, 12, 1365. https://doi.org/10.3390/agronomy12061365
Huang P-H, Cheng Y-T, Chan Y-J, Lu W-C, Li P-H. Effect of Heat Treatment on Nutritional and Chromatic Properties of Mung Bean (Vigna radiata L.). Agronomy. 2022; 12(6):1365. https://doi.org/10.3390/agronomy12061365
Chicago/Turabian StyleHuang, Ping-Hsiu, Yu-Tsung Cheng, Yung-Jia Chan, Wen-Chien Lu, and Po-Hsien Li. 2022. "Effect of Heat Treatment on Nutritional and Chromatic Properties of Mung Bean (Vigna radiata L.)" Agronomy 12, no. 6: 1365. https://doi.org/10.3390/agronomy12061365
APA StyleHuang, P.-H., Cheng, Y.-T., Chan, Y.-J., Lu, W.-C., & Li, P.-H. (2022). Effect of Heat Treatment on Nutritional and Chromatic Properties of Mung Bean (Vigna radiata L.). Agronomy, 12(6), 1365. https://doi.org/10.3390/agronomy12061365

