The Stomatal Conductance and Fv/Fm as the Indicators of Stress Tolerance of Avocado Seedlings under Short-Term Waterlogging
Abstract
:1. Introduction
2. Materials and Methods
2.1. Plant Materials and Waterlogging Evaluations
2.2. Determinations of Stomatal Conductance and Chlorophyll Fluorescence Parameters
2.3. Statistical Analysis
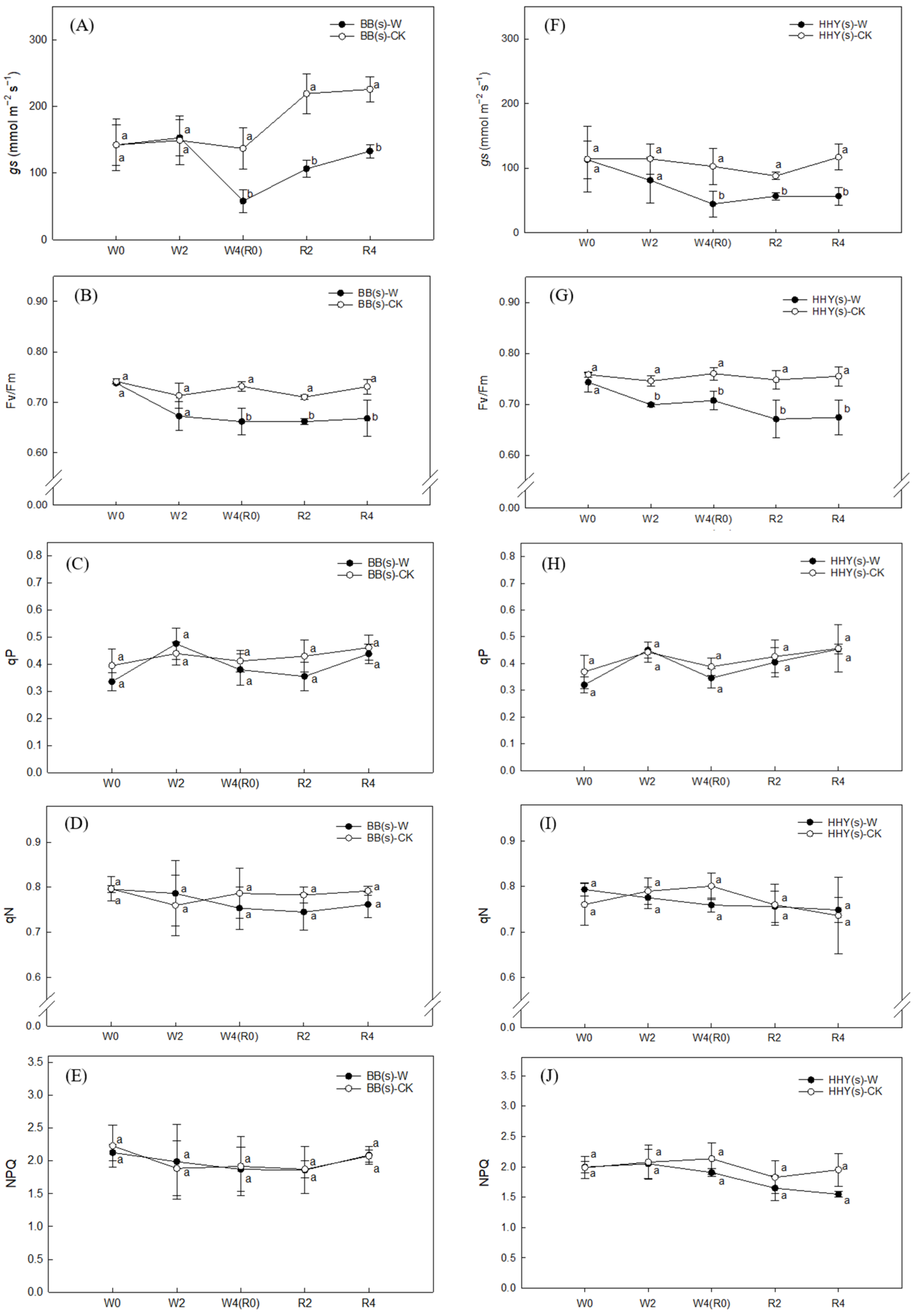
3. Results
3.1. Stomatal Conductance
3.2. Chlorophyll Fluorescence Parameters
3.3. The Waterlogging Response of Grafted Seedlings in Different Growth Statuses
4. Discussion
5. Conclusions
Author Contributions
Funding
Data Availability Statement
Conflicts of Interest
References
- Wu, H.L.; Lin, S.Y.; Chen, I.Z.; Shyr, J.J.; Roan, S.F. Estimation of genetic relationships among 39 cultivars of avocado (Persea americana Mill.) by analysing the volatile constituents of leaves. J. Hortic. Sci. Biotechnol. 2014, 89, 453–457. [Google Scholar] [CrossRef]
- Schaffer, B.; Davies, F.S.; Crane, J.H. Responses of subtropical and tropical fruit trees to flooding in calcareous soil. HortScience 2006, 41, 549–555. [Google Scholar] [CrossRef] [Green Version]
- Reeksting, B.J.; Olivier, N.A.; Van den Berg, N. Transcriptome responses of an ungrafted Phytophthora root rot tolerant avocado (Persea americana) rootstock to flooding and Phytophthora cinnamomi. BMC Plant. Biol. 2016, 16, 1–19. [Google Scholar] [CrossRef] [Green Version]
- Gil, P.M.; Schaffer, B.; Gutierrez, S.M.; Li, C. Effect of waterlogging on plant water status, leaf gas exchange and biomass of avocado. In Proceedings of the VIth World Avocado Congress, Viña del Mar, Chile, 12–16 November 2007; pp. 12–16. [Google Scholar]
- Vinocur, B.; Altman, A. Recent advances in engineering plant tolerance to abiotic stress: Achievements and limitations. Curr. Opin. Biotechnol. 2005, 16, 123–132. [Google Scholar] [CrossRef]
- Sanclemente, M.A.; Schaffer, B.; Gil, P.M.; Vargas, A.I.; Davies, F.S. Pruning after flooding hastens recovery of flood-stressed avocado (Persea americana Mill.) trees. Sci. Hortic. 2014, 169, 27–35. [Google Scholar] [CrossRef]
- Ploetz, R.C.; Schaffer, B. Effect of flooding and Phytophora root rot on net gas exchange and growth of avocado. Phytopathology 1988, 79, 204–208. [Google Scholar] [CrossRef]
- Ahmed, S.; Nawata, E.; Hosokawa, M.; Domae, Y.; Sakuratani, T. Alterations in photosynthesis and some antioxidant enzymatic activities of mungbean subjected to waterlogging. Plant. Sci. 2002, 163, 117–123. [Google Scholar] [CrossRef]
- Chavez-Arias, C.C.; Gomez-Caro, S.; Restrepo-Diaz, H. Physiological biochemical and chlorophyll fluorescence parameters of Physalis Peruviana, L. seedlings exposed to different short-term waterlogging periods and Fusarium wilt infection. Agronomy 2019, 9, 213. [Google Scholar] [CrossRef] [Green Version]
- Rao, L.; Li, S.; Cui, X. Leaf morphology and chlorophyll fluorescence characteristics of mulberry seedlings under waterlogging stress. Sci. Rep. 2021, 11, 13379. [Google Scholar] [CrossRef] [PubMed]
- Wu, X.; Yonglu, T.; Chaosu, L.; Chun, W.; Gang, H. Chlorophyll fluorescence and yield responses of winter wheat to waterlogging at different growth stages. Plant. Prod. Sci. 2015, 18, 284–294. [Google Scholar] [CrossRef] [Green Version]
- Doupis, G.; Kavroulakis, N.; Psarras, G.; Papadakis, I.E. Growth photosynthetic performance and antioxidative response of ‘Hass’ and ‘Fuerte’ avocado (Persea americana Mill.) plants grown under high soil moisture. Photosynthetica 2017, 55, 655–663. [Google Scholar] [CrossRef]
- Kundzewicz, Z.W.; Kanae, S.; Seneviratne, S.I.; Handmer, J.; Nicholls, N.; Peduzzi, P.; Mechler, R.; Bouwer, L.M.; Arnell, N.; Mach, K.; et al. Flood risk and climate change: Global and regional perspectives. Hydrol. Sci. J. 2014, 59, 1–28. [Google Scholar] [CrossRef] [Green Version]
- Rivero, R.M.; Ruiz, J.M.; García, P.C.; López-Lefebre, L.R.; Sánchez, E.; Romero, L. Resistance to cold and heat stress: Accumulation of phenolic compounds in tomato and watermelon plants. Plant. Sci. 2001, 160, 315–321. [Google Scholar] [CrossRef]
- Preston, J.C.; Sandve, S.R. Adaptation to seasonality and the winter freeze. Front. Plant. Sci. 2013, 4, 167. [Google Scholar] [CrossRef] [PubMed] [Green Version]
- Miao, L.F.; Yang, F.; Han, C.Y.; Pu, Y.J.; Ding, Y.; Zhang, L.J. Sex-specific responses to winter flooding, spring waterlogging and post-flooding recovery in Populus deltoides. Sci. Rep. 2017, 7, 2534. [Google Scholar] [CrossRef]
- Peng, Y.; Dong, Y.; Tu, B.; Zhou, Z.; Zheng, B.; Luo, L.; Shi, C.; Du, K. Roots play a vital role in flood-tolerance of poplar demonstrated by reciprocal grafting. Flora-Morphol. Distrib. Funct. Ecol. Plants 2013, 208, 479–487. [Google Scholar] [CrossRef]
- Fassio, C.; Gil, P.M.; Schaffer, B.; Castro, M. Influence of rootstock on the response of ‘Hass’ avocado trees to flooding stress. Acta. Hortic. 2011, 889, 378–383. [Google Scholar] [CrossRef]
- Brakke, M.; Allen, L.H. Gas exchange of Citrus seedlings at different temperatures, vapor-pressure deficits, and soil water contents. J. Am. Soc. Hortic. Sci. 1995, 120, 497–504. [Google Scholar] [CrossRef] [Green Version]
- Peri, P.L.; Martínez Pastur, G.; Lencinas, M.V. Photosynthetic response to different light intensities and water status of two main Nothofagus species of southern Patagonian forest, Argentina. J. For. Sci. 2009, 55, 101–111. [Google Scholar] [CrossRef] [Green Version]
- Xiong, D.; Douthe, C.; Flexas, J. Differential coordination of stomatal conductance, mesophyll conductance, and leaf hydraulic conductance in response to changing light across species. Plant. Cell Environ. 2018, 41, 436–450. [Google Scholar] [CrossRef]
- Way, D.A.; Pearcy, R.W. Sunflecks in trees and forests: From photosynthetic physiology to global change biology. Tree Physiol. 2012, 32, 1066–1081. [Google Scholar] [CrossRef] [PubMed] [Green Version]
- García-Sánchez, F.; Syvertsen, J.P.; Gimeno, V.; Botía, P.; Perez-Perez, J.G. Responses to flooding and drought stress by two citrus rootstock seedlings with different water-use efficiency. Physiol. Plant. 2007, 130, 532–542. [Google Scholar] [CrossRef]
- Mishra, S.K.; Patro, L.; Mohapatra, P.K.; Biswal, B. Response of senescing rice leaves to flooding stress. Photosynthetica 2008, 46, 315. [Google Scholar] [CrossRef]
- Zhou, P.; Qian, J.; Yuan, W.; Yang, X.; Di, B.; Meng, Y.; Shao, J. Effects of interval flooding stress on physiological characteristics of apple leaves. Horticulturae 2021, 7, 331. [Google Scholar] [CrossRef]
- Fukao, T.; Yeung, E.; Bailey-Serres, J. The submergence tolerance regulator SUB1A mediates crosstalk between submergence and drought tolerance in rice. Plant. Cell 2011, 23, 412–427. [Google Scholar] [CrossRef] [Green Version]
- Sairam, R.K.; Dharmar, K.; Lekshmy, S.; Chinnusamy, V. Expression of antioxidant defense genes in mung bean (Vigna radiata L.) roots under water- logging is associated with hypoxia tolerance. Acta Physiol. Plant. 2011, 33, 735–744. [Google Scholar] [CrossRef] [Green Version]
- Ruban, A.V. Evolution under the sun: Optimizing light harvesting in photo-synthesis. J. Exp. Bot. 2015, 66, 7–23. [Google Scholar] [CrossRef] [Green Version]
- Olmo-Vega, A.; Garcia-Sanchez, F.; Simon-Grao, S.; Simon, I.; Lidon, V.; Nieves, M.; Martinez-Nicolas, J.J. Physiological responses of three pomegranate cultivars under flooded conditions. Sci. Hortic. 2017, 224, 171–179. [Google Scholar] [CrossRef]
- Ruperti, B.; Botton, A.; Populin, F.; Eccher, G.; Brilli, M.; Quaggiotti, S.; Trevisan, S.; Cainelli, N.; Guarracino, P.; Schievano, E. Flooding responses on grapevine: A physiological, transcriptional, and metabolic perspective. Front. Plant. Sci. 2019, 10, 339. [Google Scholar] [CrossRef] [Green Version]
- Reeksting, B.J.; Taylor, N.J.; van den Berg, N. Flooding and Phytophthora cinnamomi: Effects on photosynthesis and chlorophyll fluorescence in shoots of non-grafted Persea americana (Mill.) rootstocks differing in tolerance to Phytophthora root rot. S. Afr. J. Physiother. 2014, 95, 40–53. [Google Scholar] [CrossRef] [Green Version]
- Wang, A.F.; Roitto, M.; Lehto, T.; Zwiazek, J.J.; Calvo-Polanco, M.; Repo, T. Waterlogging under simulated late-winter conditions had little impact on the physiology and growth of Norway spruce seedlings. Ann. For. Sci. 2013, 70, 781–790. [Google Scholar] [CrossRef] [Green Version]
- Domisch, T.; Qian, J.; Sondej, I.; Martz, F.; Lehto, T.; Piirainen, S.; Finger, L.; Silvennoinen, R.; Repo, T. Here comes the flood! Stress effects of continuous and interval waterlogging periods during the growing season on Scots pine saplings. Tree Physiol. 2020, 40, 869–885. [Google Scholar] [CrossRef] [PubMed]



| Seedlings | Treatments | W0 * | W2 | W4(R0) | R2 | R4 | |||||
|---|---|---|---|---|---|---|---|---|---|---|---|
| gs | |||||||||||
| Own-rooted | Waterlogged | 142.21 | a † | 152.93 | a | 57.82 | b | 106.49 | b | 132.95 | b |
| Control | 142.13 | a | 149.04 | a | 136.84 | a | 219.12 | a | 225.66 | a | |
| Grafted | Waterlogged | 178.14 | a | 126.09 | a | 31.24 | b | 24.82 | c | 26.44 | c |
| Control | 168.84 | a | 136.14 | a | 133.80 | a | 191.82 | a | 277.77 | a | |
| Fv/Fm | |||||||||||
| Own-rooted | Waterlogged | 0.738 | a | 0.672 | c | 0.662 | c | 0.662 | b | 0.668 | bc |
| Control | 0.741 | a | 0.713 | bc | 0.732 | b | 0.710 | a | 0.731 | a | |
| Grafted | Waterlogged | 0.767 | a | 0.738 | ab | 0.765 | a | 0.633 | c | 0.618 | c |
| Control | 0.758 | a | 0.768 | a | 0.781 | a | 0.706 | a | 0.730 | ab | |
| Fo | |||||||||||
| Own-rooted | Waterlogged | 551.3 | a | 452.0 | a | 587.0 | a | 595.0 | a | 473.0 | b |
| Control | 540.7 | a | 429.0 | ab | 418.0 | b | 562.0 | a | 417.3 | b | |
| Grafted | Waterlogged | 339.3 | a | 320.0 | b | 339.3 | c | 468.3 | b | 606.7 | a |
| Control | 333.3 | a | 327.3 | b | 329.0 | c | 408.0 | c | 400.7 | b | |
| Seedlings | Treatments | W0 * | W2 | W4(R0) | R2 | R4 | |||||
|---|---|---|---|---|---|---|---|---|---|---|---|
| gs | |||||||||||
| Own-rooted | Waterlogged | 113.05 | a † | 81.32 | a | 44.48 | c | 56.75 | bc | 56.70 | bc |
| Control | 113.99 | a | 114.36 | a | 102.66 | b | 87.96 | b | 116.92 | b | |
| Grafted | Waterlogged | 167.63 | a | 94.93 | a | 26.19 | c | 23.03 | c | 25.69 | c |
| Control | 176.37 | a | 145.55 | a | 171.03 | a | 236.97 | a | 195.66 | a | |
| Fv/Fm | |||||||||||
| Own-rooted | Waterlogged | 0.743 | a | 0.699 | b | 0.707 | b | 0.671 | b | 0.674 | b |
| Control | 0.758 | a | 0.746 | ab | 0.760 | a | 0.748 | a | 0.755 | a | |
| Grafted | Waterlogged | 0.779 | a | 0.772 | a | 0.773 | a | 0.762 | a | 0.736 | ab |
| Control | 0.768 | a | 0.722 | ab | 0.776 | a | 0.686 | ab | 0.709 | ab | |
| Fo | |||||||||||
| Own-rooted | Waterlogged | 460.0 | a | 454.0 | a | 496.3 | a | 466.3 | a | 390.3 | a |
| Control | 465.0 | a | 376.7 | b | 389.0 | b | 427.0 | ab | 373.7 | a | |
| Grafted | Waterlogged | 270.0 | c | 290.7 | c | 306.7 | c | 346.0 | c | 384.0 | a |
| Control | 337.7 | b | 357.0 | b | 323.3 | bc | 378.7 | bc | 380.0 | a | |
Publisher’s Note: MDPI stays neutral with regard to jurisdictional claims in published maps and institutional affiliations. |
© 2022 by the authors. Licensee MDPI, Basel, Switzerland. This article is an open access article distributed under the terms and conditions of the Creative Commons Attribution (CC BY) license (https://creativecommons.org/licenses/by/4.0/).
Share and Cite
Lin, S.-Y.; Chen, P.-A.; Zhuang, B.-W. The Stomatal Conductance and Fv/Fm as the Indicators of Stress Tolerance of Avocado Seedlings under Short-Term Waterlogging. Agronomy 2022, 12, 1084. https://doi.org/10.3390/agronomy12051084
Lin S-Y, Chen P-A, Zhuang B-W. The Stomatal Conductance and Fv/Fm as the Indicators of Stress Tolerance of Avocado Seedlings under Short-Term Waterlogging. Agronomy. 2022; 12(5):1084. https://doi.org/10.3390/agronomy12051084
Chicago/Turabian StyleLin, Shu-Yen, Po-An Chen, and Bing-Wen Zhuang. 2022. "The Stomatal Conductance and Fv/Fm as the Indicators of Stress Tolerance of Avocado Seedlings under Short-Term Waterlogging" Agronomy 12, no. 5: 1084. https://doi.org/10.3390/agronomy12051084
APA StyleLin, S.-Y., Chen, P.-A., & Zhuang, B.-W. (2022). The Stomatal Conductance and Fv/Fm as the Indicators of Stress Tolerance of Avocado Seedlings under Short-Term Waterlogging. Agronomy, 12(5), 1084. https://doi.org/10.3390/agronomy12051084
