Approach to Demography of ALS-Resistant Glebionis coronaria as Influenced by Management Factors: Tillage, Allelopathic Crops and Herbicides
Abstract
1. Introduction
2. Materials and Methods
2.1. Site Description
2.2. Experimental Design, Crop Managements and Measurements
2.3. Statistical Analysis
3. Results
3.1. Climatic Data
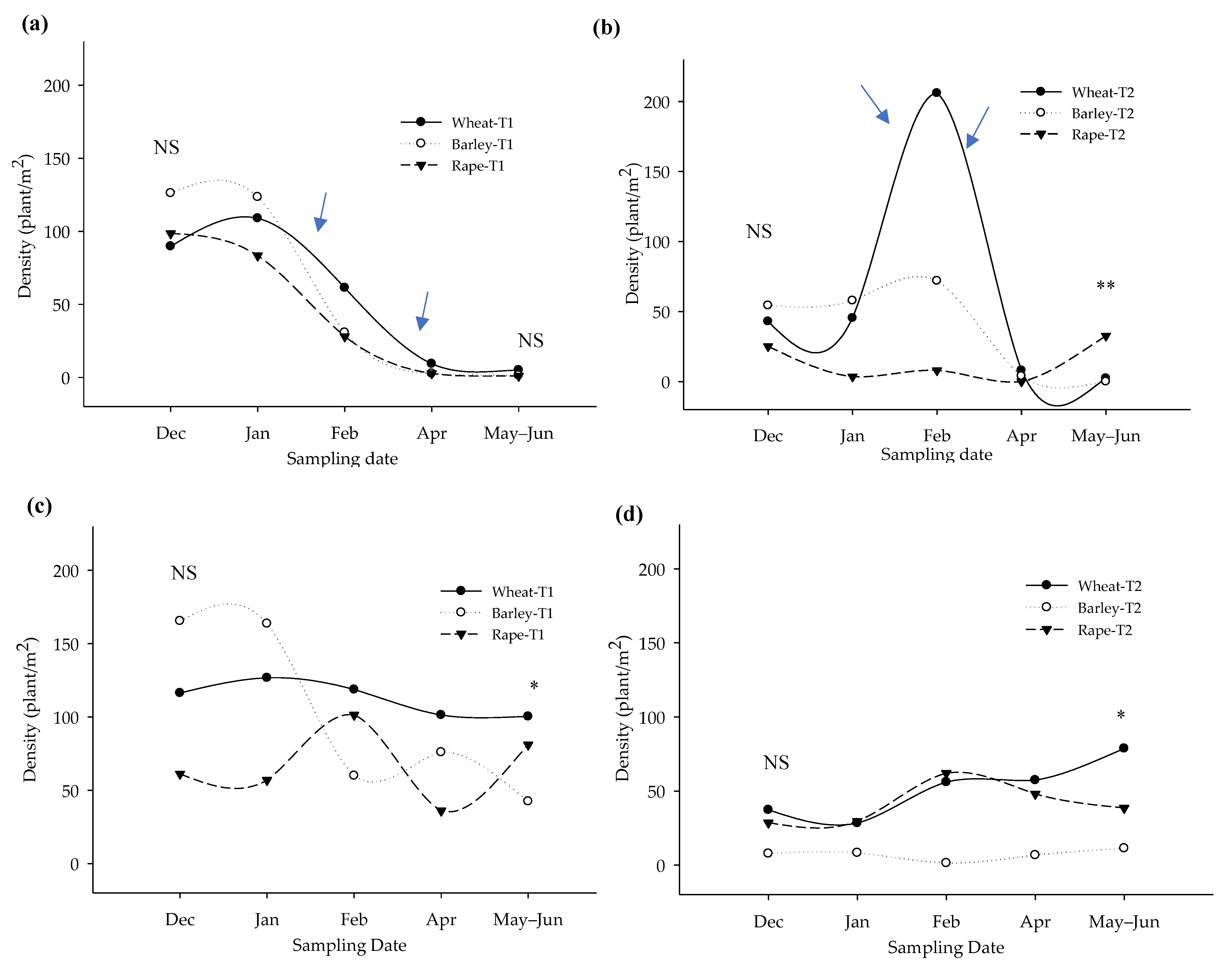
3.2. Effects of Tillage, Crops, Herbicides and Their Interactions on the Evolution of the Densities of G. coronaria
3.3. Effect of Treatments and Their Interactions on Dry Matter Evolution of HR G. coronaria during the Two Growing Seasons
3.4. Effect of Treatments and Their Interactions on G. coronaria Height in the Two Growing Seasons
4. Discussion
4.1. Effects of Tillage and Crops on the Emergence and Growth of HR G. coronaria
4.2. Effects of the Interactions between Treatments on Emergence Dynamics and Growth Evolution of HR G. coronaria under Field Conditions
5. Conclusions
Author Contributions
Funding
Data Availability Statement
Acknowledgments
Conflicts of Interest
References
- Hada, Z.; Khammassi, M.; Jenfaoui, H.; Menchari, Y.; Torra, J.; Souissi, T. Field Survey and Resistance Occurrence to ALS-Inhibiting Herbicides in Glebionis coronaria L. in Tunisian Wheat Crops. Plants 2020, 9, 1210. [Google Scholar] [CrossRef] [PubMed]
- Hada, Z.; Menchari, Y.; Rojano-Delgado, A.M.; Torra, J.; Menéndez, J.; Palma-Bautista, C.; de Prado, R.; Souissi, T. Point Mutations as Main Resistance Mechanism Together with P450-Based Metabolism Confer Broad Resistance to Different ALS-Inhibiting Herbicides in Glebionis coronaria From Tunisia. Front. Plant Sci. 2021, 12, 626–702. [Google Scholar] [CrossRef] [PubMed]
- Beckie, H.J.; Tardif, F.J. Herbicide cross resistance in weeds. J. Crop Prot. 2012, 35, 1528. [Google Scholar] [CrossRef]
- Hatami, Z.M.; Gherekhloo, J.; Rojano-Delgado, A.M.; Osuna, M.D.; Alcántara, R.; Fernández, P.; Sadeghipour, H.R.; De Prado, R. Multiple mechanisms increase levels of resistance in Rapistrum rugosum to ALS herbicides. Front. Plant Sci. 2016, 7, 169. [Google Scholar]
- Puricelli, E.; Orioli, G.; Sabbatini, M.R. Demography of Anoda cristata in wide-and narrow-row soyabean. Weed Res. 2002, 42, 456–463. [Google Scholar] [CrossRef]
- Bussan, A.J.; Boerboom, C.M.; Stoltenberg, D.E. Response of Setaria faberi demographic processes to herbicide rates. Weed Sci. 2000, 48, 445–453. [Google Scholar] [CrossRef]
- Norsworthy, J.K.; Oliveira, M.J. Sicklepod (Senna obtusifolia) germination and emergence as affected by environmental factors and seeding depth. Weed Sci. 2006, 54, 903–909. [Google Scholar] [CrossRef]
- Werner, P.A.; Caswell, H. Population growth rates and age versus stage-distribution models for teasel (Dipsacus sylvestris Huds.). Ecology 1977, 58, 1103–1111. [Google Scholar] [CrossRef]
- Hutchings, M.J. The structure of plant populations. In Plant Ecology; Crawley, M.J., Ed.; Blackwell Science Ltd.: Oxford, UK, 1997; pp. 475–531. [Google Scholar]
- Torra, J.; Recasens, J. Demography of corn poppy (Papaver rhoeas) in relation to emergence time and crop competition. Weed Sci. 2008, 56, 826–833. [Google Scholar] [CrossRef]
- Cousens, R.; Mortimer, M. Dynamics of Weed Populations; Cambridge University Press: Cambridge, UK, 1995. [Google Scholar]
- Liebman, M.; Dyck, E. Weed management: A need to develop ecological approaches. Ecol. Appl. 1993, 3, 39–41. [Google Scholar] [CrossRef]
- Andersson, L.; Milberg, P.; Schütz, W.; Steinmetz, O. Germination characteristics and emergence time of annual Bromus species of differing weediness in Sweden. Weed Res. 2002, 42, 135–147. [Google Scholar] [CrossRef]
- Scavo, A.; Restuccia, A.; Mauromicale, G. Allelopathy: Principles and basic aspects for agroecosystem control. In Sustainable Agriculture Reviews; Springer: Cham, Switzerland, 2018; Volume 28, pp. 47–101. [Google Scholar]
- Scavo, A.; Pandino, G.; Restuccia, C.; Parafati, L.; Cirvilleri, G.; Mauromicale, G. Antimicrobial activity of cultivated cardoon (Cynara cardunculus L. var. altilis DC.) leaf extracts against bacterial species of agricultural and food interest. Ind. Crops Prod. 2019, 129, 206–211. [Google Scholar] [CrossRef]
- Scavo, A.; Mauromicale, G. Integrated weed management in herbaceous field crops. Agronomy 2020, 10, 466. [Google Scholar] [CrossRef]
- Chauhan, B.S.; Gill, G.; Preston, C. Influence of tillage systems on vertical distribution, seedling recruitment and persistence of rigid ryegrass (Lolium rigidum) seed bank. Weed Sci. 2006, 54, 669–676. [Google Scholar] [CrossRef]
- Rashid, H.U.; Khan, A.; Hassan, G.; Saeed, M.; Khan, S.U.; Khan, S.M.; Zamin, M. Integrated weed management in maize under different tillage regimes. Int. J. Biosci. 2017, 10, 223–231. [Google Scholar]
- Puglia, G.; Grimaldi, S.; Carta, A.; Pavone, P.; Toorop, P. Pericarp structure of Glebionis coronaria (L.) Cass. ex Spach (Asteraceae) cypselae controls water uptake during germination. Seed Sci. Res. 2015, 25, 255. [Google Scholar] [CrossRef]
- Cirujeda, A.; Recasens, J.; Torra, J.; Taberner, A. A germination study of herbicide-resistant field poppies in Spain. Agron. Sustain. Dev. 2008, 28, 207–220. [Google Scholar] [CrossRef][Green Version]
- Teasdale, J.R.; Mangum, R.W.; Radhakrishnan, J.; Cavigelli, M.A. Weed seedbank dynamics in three organic farming crop rotations. J. Agron. 2004, 96, 1429–1435. [Google Scholar] [CrossRef]
- Hallgren, E.; Palmer, M.W.; Milberg, P. Data diving with cross-validation: An investigation of broad-scale gradients in Swedish weed communities. J. Ecol. 1999, 87, 1037–1051. [Google Scholar] [CrossRef]
- Rice, E.L. Allelopathy, 2nd ed.; Academic Press: Orlando, FL, USA, 1984. [Google Scholar]
- Kremer, R.J.; Ben-Hammouda, M. Allelopathic Plants. 19. Barley (Hordeum vulgare L). Allelopath. J. 2009, 24, 225–242. [Google Scholar]
- Uremis, I.; Arslan, M.; Sangun, M.K.; Uygur, V.; Isler, N. Allelopathic potential of rapeseed cultivars on germination and seedling growth of weeds. Asian J. Chem. 2009, 21, 2170. [Google Scholar]
- Cousens, R.D. Comparative growth of wheat, barley, and annual ryegrass (Lolium rigidum) in monoculture and mixture. Aust. J. Agric. Res. 1996, 47, 449–464. [Google Scholar] [CrossRef]
- Baghestani, A.; Lemieux, C.; Leroux, G.D.; Baziramakenga, R.; Simard, R.R. Determination of allelochemicals in spring cereal cultivars of different competitiveness. Weed Sci. 1999, 47, 498–504. [Google Scholar] [CrossRef]
- Ma, S.Y.; Kim, J.S.; Ryang, H.S. Allelopathic effect of barley to red rice and barnyardgrass. Korean J. Weed Sci. 1999, 19, 228–235. [Google Scholar]
- Kumar, V.; Jha, P.; Dille, J.A.; Stahlman, P.W. Emergence dynamics of kochia (Kochia scoparia) populations from the US Great Plains: A multi-site-year study. Weed Sci. 2018, 66, 25–35. [Google Scholar] [CrossRef]
- Korres, N.E.; Norsworthy, J.K.; FitzSimons, T.; Roberts, T.L.; Oosterhuis, D.M. Differential response of Palmer amaranth (Amaranthus palmeri) gender to abiotic stress. Weed Sci. 2017, 65, 213–227. [Google Scholar] [CrossRef]
- Oveisi, M.; Mashhadi, H.R.; Baghestani, M.A.; Alizadeh, H.M.; Badri, S. Assessment of the allelopathic potential of 17 Iranian barley cultivars in different development stages and their variations over 60 years of selection. Weed Biol. Manag. 2008, 8, 225–232. [Google Scholar] [CrossRef]
- Lóopez-Castañeda, C.; Richards, R.A.; Farquhar, G.D. Variation in early vigor between wheat and barley. Crop Sci. 1995, 35, 472–479. [Google Scholar] [CrossRef]
- Tal, A.; Rubin, B. Occurrence of resistant Chrysanthemum coronarium to ALS inhibiting herbicides in Israel. Resist. Pest Manag. Newsl. 2004, 13, 31–33. [Google Scholar]







| Growing Seasons | |||||||
|---|---|---|---|---|---|---|---|
| 2017–2018 | 2018–2019 | ||||||
| Crop | Density Kg/Ha | Sowing Date | Harvest Date | Crop | Density Kg/Ha | Sowing Date | Harvest Date |
| Wheat | 200 | 11–24 | 06–16 | Wheat | 200 | 11–22 | 06–20 |
| Barley | 140 | 11–24 | 05–18 | Barley | 140 | 11–22 | 06–04 |
| Rapeseed | 4.5 | 11–24 | 05–18 | Rapeseed | 4.5 | 11–09 | 06–04 |
| Crop | Herbicide | Dates | Crop | Herbicide | Dates | ||
| Wheat | Prosulfocarb † | 7 December 2017 | Wheat | (2,4-D + Florasulam) ††† | 20 February 2019 | ||
| (2,4-D + Florasulam) ††† | 15 January 2018 | +Clodinafop-propargyl ††† | |||||
| +Clodinafop-propargyl ††† | |||||||
| Dicamba + 2,4-D ††† | 16 March 2018 | Dicamba + 2,4-D ††† | 18 March 2019 | ||||
| Barley | (2,4-D + Florasulam) ††† | 15 January 2018 | Barley | (2,4-D + Florasulam) ††† | 7 February 2019 | ||
| +Pinoxaden ††† | +Pinoxaden ††† | ||||||
| Dicamba + 2,4-D ††† | 16 March 2018 | Dicamba + 2,4-D ††† | 18 March 2019 | ||||
| Rapeseed | Trifluraline † | 24 November 2017 | Rapeseed | Trifluraline † | 8 November 2018 | ||
| Methazachlor †† | 7 December 2017 | Methazachlor †† | 26 November 2018 | ||||
| Clopyralid ††† | 15 January 2018 | Clopyralid ††† | 18 January 2019 | ||||
| Active Ingredients | Trade Name | HRAC Code | Applied Doses |
|---|---|---|---|
| Prosulfocarb | Minarix * | 15 | 2.5 L ha−1 |
| 2,4-D + Florasulam | Nikos 306 SE | 4 + 2 | 0.6 L ha−1 |
| Clodinafop-propargyl | Topik 80 * | 1 | 0.75 L ha−1 |
| Pinoxaden | Axial 045 EC * | 1 | 1 L ha−1 |
| Dicamba + 2,4-D | Dialen super | 4 | 0.8 L ha−1 |
| Trifluraline | Trifluraline | 3 | 2 L ha−1 |
| Methazachlor | Twiga | 15 | 2 L ha−1 |
| Clopyralid | Lontrel | 4 | 1 L ha−1 |
| Treatments | Main Effects | Interactions | |||||
|---|---|---|---|---|---|---|---|
| Tillage | Crops | Herbicides | Tillage × Crop | Tillage × Herbicide | Crop × Herbicide | Tillage × Crop × Herbicide | |
| 2017–2018 | ** | *** | *** | ** | NS | NS | NS |
| 2018–2019 | NS | *** | NS | NS | NS | NS | NS |
| Treatments | Main Effects | Interactions | |||||
|---|---|---|---|---|---|---|---|
| Tillage | Crops | Herbicides | Tillage × Crop | Tillage × Herbicide | Crop × Herbicide | Tillage × Crop × Herbicide | |
| 2017–2018 | ** | *** | *** | NS | ** | *** | NS |
| 2018–2019 | NS | *** | ** | NS | ** | NS | NS |
| Treatments | Height (cm) | |
|---|---|---|
| 2017–2018 | 2018–2019 | |
| Main effets | ||
| Tillage | *** | NS |
| T1 | 78.3 a | 71.6 a |
| T2 | 91.6 b | 78.8 a |
| Crops | *** | NS |
| Barley | 64.2 a | 66.4 a |
| Wheat | 77.8 b | 67.1 a |
| Rapeseed | 96.2 c | 76.4 a |
| Fallow | 118.5 d | 106.8 a |
| Herbicide | *** | *** |
| H | 50.3 a | 46.3 a |
| NH | 108.4 b | 93.6 b |
| Interactions | ||
| Tillage × Crop | NS | NS |
| Tillage × Herbicide | NS | NS |
| Crop × Herbicide | *** | NS |
| Barley × H | 30.2 a | 34.2 a |
| Wheat × H | 38.7 a | 46.3 a |
| Rapeseed × H | 82.2 b | 58.5 a |
| Barley × NH | 98.2 c | 98.7 a |
| Wheat × NH | 116.8 d | 87.8 a |
| Rapeseed × NH | 110.2 cd | 94.3 a |
| Tillage × Crop ×Herbicide | NS | NS |
Publisher’s Note: MDPI stays neutral with regard to jurisdictional claims in published maps and institutional affiliations. |
© 2022 by the authors. Licensee MDPI, Basel, Switzerland. This article is an open access article distributed under the terms and conditions of the Creative Commons Attribution (CC BY) license (https://creativecommons.org/licenses/by/4.0/).
Share and Cite
Hada, Z.; Khammassi, M.; Jenfaoui, H.; Menchari, Y.; Torra, J.; Souissi, T. Approach to Demography of ALS-Resistant Glebionis coronaria as Influenced by Management Factors: Tillage, Allelopathic Crops and Herbicides. Agronomy 2022, 12, 1083. https://doi.org/10.3390/agronomy12051083
Hada Z, Khammassi M, Jenfaoui H, Menchari Y, Torra J, Souissi T. Approach to Demography of ALS-Resistant Glebionis coronaria as Influenced by Management Factors: Tillage, Allelopathic Crops and Herbicides. Agronomy. 2022; 12(5):1083. https://doi.org/10.3390/agronomy12051083
Chicago/Turabian StyleHada, Zeineb, Messaad Khammassi, Houda Jenfaoui, Yosra Menchari, Joel Torra, and Thouraya Souissi. 2022. "Approach to Demography of ALS-Resistant Glebionis coronaria as Influenced by Management Factors: Tillage, Allelopathic Crops and Herbicides" Agronomy 12, no. 5: 1083. https://doi.org/10.3390/agronomy12051083
APA StyleHada, Z., Khammassi, M., Jenfaoui, H., Menchari, Y., Torra, J., & Souissi, T. (2022). Approach to Demography of ALS-Resistant Glebionis coronaria as Influenced by Management Factors: Tillage, Allelopathic Crops and Herbicides. Agronomy, 12(5), 1083. https://doi.org/10.3390/agronomy12051083

