Impacts of Interspecific Interactions on Crop Growth and Yield in Wheat (Triticum aestivum L.)/Maize (Zea mays L.) Strip Intercropping under Different Water and Nitrogen Levels
Abstract
:1. Introduction
2. Materials and Methods
2.1. Site Description
2.2. Experiment Design and Crop Management
2.3. Measurements and Methods
2.3.1. Plant Height and Leaf Area Index (LAI)
2.3.2. Aboveground Biomass Measurement
2.3.3. Yield Measurement
2.3.4. Soil Water Content
2.4. Data Calculation
2.4.1. Land Equivalent Ratio (LER)
2.4.2. Competition Indices
2.5. Statistical Analysis
3. Results
3.1. Effects of Interspecific Interaction on Aboveground Biomass Dynamics
3.1.1. Wheat
3.1.2. Maize
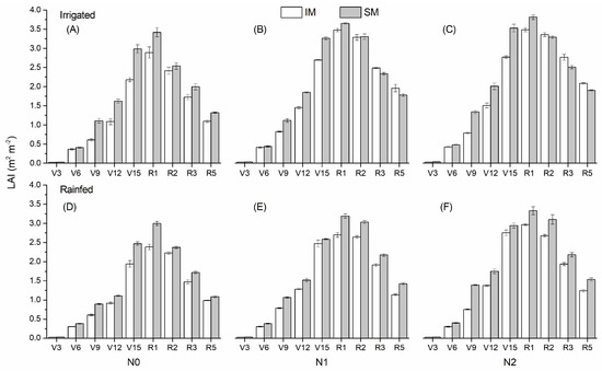
3.2. Dynamics of Plant Height and LAI of Maize
3.3. Effects of Interspecific Interaction on Spatial Distribution of Soil Water Content
3.4. Interspecific Competition during the Co-Growth Period
3.5. Relative Competitive Intensity (RCI)
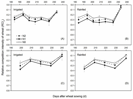
3.5.1. Wheat
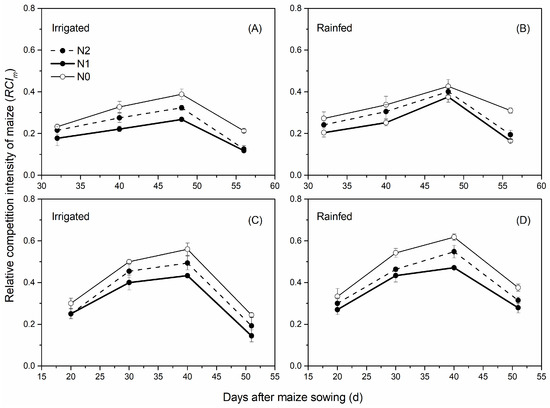
3.5.2. Maize
3.6. Grain Yields of Crops and LER of Intercropping
4. Discussion
4.1. The Role of Water and Nitrogen on Interspecific Interactions
4.2. Recovery Growth of Intercropped Maize after Wheat Harvest
4.3. Intercropping Advantage
5. Conclusions
Author Contributions
Funding
Data Availability Statement
Acknowledgments
Conflicts of Interest
References
- FAO. The State of Food and Agriculture 2016 (SOFA): Climate Change, Agriculture and Food Security; FAO: Rome, Italy, 2017. [Google Scholar]
- Bijl, D.L.; Bogaart, P.W.; Dekker, S.; Stehfest, E.; de Vries, B.J.; van Vuuren, D.P. A physically-based model of long-term food demand. Glob. Environ. Chang. 2017, 45, 47–62. [Google Scholar] [CrossRef] [Green Version]
- Cui, Z.; Zhang, H.; Chen, X.; Zhang, C.; Ma, W.; Huang, C.; Zhang, W.; Mi, G.; Miao, Y.; Li, X.; et al. Pursuing sustainable productivity with millions of smallholder farmers. Nature 2018, 555, 363–366. [Google Scholar] [CrossRef] [PubMed]
- Himmelstein, J.; Ares, A.; Gallagher, D.; Myers, J. A meta-analysis of intercropping in Africa: Impacts on crop yield, farmer income, and integrated pest management effects. Int. J. Agric. Sustain. 2017, 15, 1–10. [Google Scholar] [CrossRef]
- Raseduzzaman, M.; Jensen, E.S. Does intercropping enhance yield stability in arable crop production? A meta-analysis. Eur. J. Agron. 2017, 91, 25–33. [Google Scholar] [CrossRef]
- Sharma, N.K.; Singh, R.J.; Mandal, D.; Kumar, A.; Alam, N.M.; Keesstra, S. Increasing farmer’s income and reducing soil erosion using intercropping in rainfed maize-wheat rotation of Himalaya, India. Agric. Ecosyst. Environ. 2017, 247, 43–53. [Google Scholar] [CrossRef]
- Zhou, D.; An, P.; Pan, Z.; Zhang, F. Arable land use intensity change in China from 1985 to 2005: Evidence from integrated cropping systems and agro economic analysis. J. Agric. Sci. 2012, 150, 179–190. [Google Scholar] [CrossRef]
- Willey, R.W. Resource use in intercropping systems. Agric. Water Manag. 1990, 17, 215–231. [Google Scholar] [CrossRef]
- Ren, Y.Y.; Wang, X.L.; Zhang, S.Q.; Palta, J.A.; Chen, Y.L. Influence of spatial arrangement in maize-soybean intercropping on root growth and water use efficiency. Plant Soil 2017, 415, 131–144. [Google Scholar] [CrossRef]
- Li, X.; Šimůnek, J.; Shi, H.; Yan, J.; Peng, Z.; Gong, X. Spatial distribution of soil water, soil temperature, and plant roots in a drip-irrigated intercropping field with plastic mulch. Eur. J. Agron. 2017, 83, 47–56. [Google Scholar] [CrossRef] [Green Version]
- Liu, X.; Rahman, T.; Yang, F.; Song, C.; Yong, T.; Liu, J.; Zhang, C.; Yang, W. PAR Interception and Utilization in Different Maize and Soybean Intercropping Patterns. PLoS ONE 2017, 12, e0169218. [Google Scholar] [CrossRef]
- Cong, W.-F.; Hoffland, E.; Li, L.; Six, J.; Sun, J.-H.; Bao, X.-G.; Zhang, F.-S.; van der Werf, W. Intercropping enhances soil carbon and nitrogen. Glob. Chang. Biol. 2015, 21, 1715–1726. [Google Scholar] [CrossRef] [PubMed]
- Chen, Z.; Cui, H.; Wu, P.; Zhao, Y.; Sun, Y. Study on the optimal intercropping width to control wind erosion in North China. Soil Tillage Res. 2010, 110, 230–235. [Google Scholar] [CrossRef]
- Kurothe, R.S.; Kumar, G.; Singh, R.; Singh, H.B.; Tiwari, S.P.; Vishwakarma, A.K.; Sena, D.R.; Pande, V.C. Effect of tillage and cropping systems on runoff, soil loss and crop yields under semiarid rainfed agriculture in India. Soil Tillage Res. 2015, 140, 126–134. [Google Scholar] [CrossRef]
- Latati, M.; Bargaz, A.; Belarbi, B.; Lazali, M.; Benlahrech, S.; Tellah, S.; Kaci, G.; Drevon, J.J.; Ounane, S.M. The intercropping common bean with maize improves the rhizobial efficiency, resource use and grain yield under low phosphorus availability. Eur. J. Agron. 2016, 72, 80–90. [Google Scholar] [CrossRef]
- Gou, F.; van Ittersum, M.K.; Wang, G.; van der Putten, P.E.L.; van der Werf, W. Yield and yield components of wheat and maize in wheat-maize intercropping in the Netherlands. Eur. J. Agron. 2016, 76, 17–27. [Google Scholar] [CrossRef]
- Gronle, A.; Lux, G.; Böhm, H.; Schmidtke, K.; Wild, M.; Demmel, M.; Brandhuber, R.; Wilbois, K.-P.; Heß, J. Effect of ploughing depth and mechanical soil loading on soil physical properties, weed infestation, yield performance and grain quality in sole and intercrops of pea and oat in organic farming. Soil Tillage Res. 2015, 148, 59–73. [Google Scholar] [CrossRef]
- Wang, Z.; Zhao, X.; Wu, P.; Chen, X. Effects of water limitation on yield advantage and water use in wheat (Triticum aestivum L.)/maize (Zea mays L.) strip intercropping. Eur. J. Agron. 2015, 71, 149–159. [Google Scholar] [CrossRef]
- Vandermeer, J.H. The Ecology of Intercropping Systems; Cambridge University Press: Cambridge, UK, 1989; pp. 185–188. [Google Scholar]
- Lithourgidis, A.S.; Vlachostergios, D.N.; Dordas, C.A.; Damalas, C.A. Dry matter yield, nitrogen content, and competition in pea–cereal intercropping systems. Eur. J. Agron. 2011, 34, 287–294. [Google Scholar] [CrossRef]
- Duchene, O.; Vian, J.-F.; Celette, F. Intercropping with legume for agroecological cropping systems: Complementarity and facilitation processes and the importance of soil microorganisms. A review. Agric. Ecosyst. Environ. 2017, 240, 148–161. [Google Scholar] [CrossRef]
- Zhang, G.; Yang, Z.; Dong, S. Interspecific competitiveness affects the total biomass yield in an alfalfa and corn intercropping system. Field Crop. Res. 2011, 124, 66–73. [Google Scholar] [CrossRef]
- Wahla, I.H.; Ahmad, R.; Ehsanullah Ahmad, A.; Jabbar, A. Competitive functions of components crops in some barley based intercropping systems. Int. J. Agric. Biol. 2009, 11, 69–72. [Google Scholar]
- Dhima, K.V.; Lithourgidis, A.S.; Vasilakoglou, I.B.; Dordas, C.A. Competition indices of common vetch and cereal intercrops in two seeding ratio. Field Crop. Res. 2007, 100, 249–256. [Google Scholar] [CrossRef]
- Moser, S.B.; Feil, B.; Jampatong, S.; Stamp, P. Effects of pre-anthesis drought, nitrogen fertilizer rate, and variety on grain yield, yield components, and harvest index of tropical maize. Agric. Water Manag. 2006, 81, 41–58. [Google Scholar] [CrossRef]
- Elía, M.; Slafer, G.A.; Savin, R. Yield and grain weight responses to post-anthesis increases in maximum temperature under field grown wheat as modified by nitrogen supply. Field Crop. Res. 2018, 221, 228–237. [Google Scholar] [CrossRef] [Green Version]
- Hall, A.J.; Savin, R.; Slafer, G.A. Is time to flowering in wheat and barley influenced by nitrogen? A critical appraisal of recent published reports. Eur. J. Agron. 2014, 54, 40–46. [Google Scholar]
- Hu, F.; Gan, Y.; Chai, Q.; Feng, F.; Zhao, C.; Yu, A.; Mu, Y.; Zhang, Y. Boosting system productivity through the improved coordination of interspecific competition in maize/pea strip intercropping. Field Crop. Res. 2016, 198, 50–60. [Google Scholar] [CrossRef]
- Ren, Y.; Liu, J.; Wang, Z.; Zhang, S. Planting density and sowing proportions of maize–soybean intercrops affected competitive interactions and water-use efficiencies on the Loess Plateau, China. Eur. J. Agron. 2016, 72, 70–79. [Google Scholar] [CrossRef]
- Zhang, W.-P.; Liu, G.-C.; Sun, J.-H.; Zhang, L.-Z.; Weiner, J.; Li, L. Growth trajectories and interspecific competitive dynamics in wheat/maize and barley/maize intercropping. Plant Soil 2015, 397, 227–238. [Google Scholar] [CrossRef]
- Li, L.; Sun, J.; Zhang, F.; Li, X.; Rengel, Z.; Yang, S. Wheat/maize or wheat/soybean strip intercropping: II. Recovery or compensation of maize and soybean after wheat harvesting. Field Crop. Res. 2001, 71, 173–181. [Google Scholar]
- Ma, L.; Li, Y.; Wu, P.; Zhao, X.; Gao, X.; Chen, X. Recovery growth and water use of intercropped maize following wheat harvest in wheat/maize relay strip intercropping. Field Crop. Res. 2020, 256, 107924. [Google Scholar] [CrossRef]
- Chai, Q.; Qin, A.; Gan, Y.; Yu, A. Higher yield and lower carbon emission by intercropping maize with rape, pea, and wheat in arid irrigation areas. Agron. Sustain. Dev. 2014, 34, 535–543. [Google Scholar] [CrossRef]
- Ritchie, S.; Hanway, J. How a Corn Plant Develops; Cooperative Extension Service; Iowa State University of Science and Technology: Ames, IA, USA, 1982. [Google Scholar]
- Gao, Y.; Wu, P.; Zhao, X.; Wang, Z. Growth, yield, and nitrogen use in the wheat/maize intercropping system in an arid region of northwestern China. Field Crop. Res. 2014, 167, 19–30. [Google Scholar] [CrossRef]
- Rao, M.R.; Willey, R.W. Evaluation of Yield Stability in Intercropping: Studies on Sorghum/Pigeonpea. Exp. Agric. 1980, 16, 105–116. [Google Scholar] [CrossRef]
- McGilchrist, C.A. Analysis of Competition Experiments. Biometrics 1965, 21, 975. [Google Scholar] [CrossRef]
- Zhu, J.; van Der Werf, W.; Vos, J.; Anten, N.P.R.; Van Der Putten, P.E.L.; Evers, J.B. High productivity of wheat intercropped with maize is associated with plant architectural responses. Ann. Appl. Biol. 2016, 168, 357–372. [Google Scholar] [CrossRef]
- Munz, S.; Feike, T.; Chen, Q.; Claupein, W.; Graeff-Hönninger, S. Understanding interactions between cropping pattern, maize cultivar and the local environment in strip-intercropping systems. Agric. For. Meteorol. 2014, 195–196, 152–164. [Google Scholar] [CrossRef]
- Xia, H.-Y.; Wang, Z.-G.; Zhao, J.; Sun, J.-H.; Bao, X.-G.; Christie, P.; Zhang, F.-S.; Li, L. Contribution of interspecific interactions and phosphorus application to sustainable and productive intercropping systems. Field Crop. Res. 2013, 154, 53–64. [Google Scholar] [CrossRef]
- Liu, Y.; Zhang, W.-P.; Sun, J.-H.; Li, X.; Christie, P.; Li, L. High morphological and physiological plasticity of wheat roots is conducive to higher competitive ability of wheat than maize in intercropping systems. Plant Soil 2015, 397, 387–399. [Google Scholar] [CrossRef]
- Adiku, S.G.; Ozier-Lafontaine, H.; Bajazet, T. Patterns of root growth and water uptake of a maize-cowpea mixture grown under greenhouse conditions. Plant Soil 2001, 235, 85–94. [Google Scholar] [CrossRef]
- Li, L.; Sun, J.; Zhang, F.; Guo, T.; Bao, X.; Smith, F.A.; Smith, S.E. Root distribution and interactions between intercropped species. Oecologia 2006, 147, 280–290. [Google Scholar] [CrossRef]
- Grime, J.P. Plant Strategies and Vegetation Processes; Wiley: Chichester, UK, 1979. [Google Scholar]
- Schippers, P.; Snoeijing, I.; Kropff, M. Competition under high and low nutrient levels among three grassland species occupying different positions in a successional sequence. New Phytol. 1999, 143, 547–559. [Google Scholar] [CrossRef] [PubMed]
- Li, Q.-Z.; Sun, J.-H.; Wei, X.-J.; Christie, P.; Zhang, F.-S.; Li, L. Overyielding and interspecific interactions mediated by nitrogen fertilization in strip intercropping of maize with faba bean, wheat and barley. Plant Soil 2011, 339, 147–161. [Google Scholar] [CrossRef] [Green Version]
- Demmig-Adams, B.; Adams, W.W. Photoprotection and Other Responses of Plants to High Light Stress. Annu. Rev. Plant Biol. 1992, 43, 599–626. [Google Scholar] [CrossRef]
- Yang, X.; Zou, Q.; Wang, W. Photoinhibition in Shaded Cotton Leaves After Exposing to High Light and the Time Course of Its Restoration. J. Integr. Plant Biol. 2001, 43, 1255–1259. [Google Scholar]
- Zhang, F.; Li, L. Using competitive and facilitative interactions in intercropping systems enhances crop productivity and nutrient-use efficiency. Plant Soil 2003, 248, 305–312. [Google Scholar] [CrossRef]
- Wang, Z.; Zhao, X.; Wu, P.; Gao, Y.; Yang, Q.; Shen, Y. Border row effects on light interception in wheat/maize strip intercropping systems. Field Crop. Res. 2017, 214, 1–13. [Google Scholar] [CrossRef]
- Li, L.; Sun, J.; Zhang, F.; Li, X.; Yang, S.; Rengel, Z. Wheat/maize or wheat/soybean strip intercropping: I. Yield advantage and interspecific interactions on nutrients. Field Crop. Res. 2001, 71, 123–137. [Google Scholar] [CrossRef]
- Xiao, J.; Yin, X.; Ren, J.; Zhang, M.; Tang, L.; Zheng, Y. Complementation drives higher growth rate and yield of wheat and saves nitrogen fertilizer in wheat and faba bean intercropping. Field Crop. Res. 2018, 221, 119–129. [Google Scholar] [CrossRef]
- Gou, F.; van Ittersum, M.K.; Simon, E.; Leffelaar, P.A.; van der Putten, P.E.L.; Zhang, L.; van der Werf, W. Intercropping wheat and maize increases total radiation interception and wheat RUE but lowers maize RUE. Eur. J. Agron. 2017, 84, 125–139. [Google Scholar] [CrossRef] [Green Version]










| Water Treatment | Nitrogen Levels | Cropping System | 2014–2015 | 2015–2016 | ||||
|---|---|---|---|---|---|---|---|---|
| Wheat Yield (t ha−1) | Maize Yield (t ha−1) | LER | Wheat Yield (t ha−1) | Maize Yield (t ha−1) | LER | |||
| Irrigated | N2 | SW | 6.45 | - | 5.83 | - | ||
| N1 | SW | 7.21 | - | 6.9 | - | |||
| N0 | SW | 5.81 | - | 5.27 | - | |||
| N2 | SM | - | 12.1 | - | 11.37 | |||
| N1 | SM | - | 11.57 | - | 11.09 | |||
| N0 | SM | - | 9.23 | - | 8.93 | |||
| N2 | WM | 8.43 | 12.67 | 1.17 | 7.32 | 11.66 | 1.13 | |
| N1 | WM | 9.45 | 12.68 | 1.19 | 8.97 | 11.51 | 1.16 | |
| N0 | WM | 7.29 | 9.08 | 1.11 | 6.83 | 8.21 | 1.09 | |
| Rainfed | N2 | SW | 5.65 | - | 5.25 | - | ||
| N1 | SW | 5.94 | - | 6.01 | - | |||
| N0 | SW | 4.29 | - | 4.02 | - | |||
| N2 | SM | - | 9.63 | - | 8.78 | |||
| N1 | SM | - | 9.51 | - | 8.29 | |||
| N0 | SM | - | 7.93 | - | 6.41 | |||
| N2 | WM | 7.29 | 9.17 | 1.11 | 6.23 | 7.83 | 1.03 | |
| N1 | WM | 8.27 | 9.07 | 1.15 | 7.89 | 7.71 | 1.1 | |
| N0 | WM | 5.85 | 6.95 | 1.1 | 5.23 | 5.38 | 1.05 | |
| Water | *** | *** | *** | *** | ||||
| Nitrogen | *** | *** | *** | *** | ||||
| Cropping system | *** | NS | *** | NS | ||||
| Water × nitrogen | * | ** | * | NS | ||||
| Water × cropping system | NS | ** | * | *** | ||||
| Nitrogen × cropping system | ** | * | ** | *** | ||||
| Water × nitrogen × cropping system | NS | NS | NS | * | ||||
| Water Treatment | Nitrogen Treatment | 2014–2015 | Yield Increase (%) | 2015–2016 | Yield Increase (%) | ||
|---|---|---|---|---|---|---|---|
| Sole Cropping (t ha−1) | Intercropping (t ha−1) | Sole Cropping (t ha−1) | Intercropping (t ha−1) | ||||
| Irrigated | N2 | 9.52 | 10.73 | 12.7 | 8.84 | 9.68 | 9.8 |
| N1 | 9.58 | 11.2 | 16.9 | 9.18 | 10.35 | 12.8 | |
| N0 | 7.67 | 8.26 | 7.7 | 7.26 | 7.58 | 4.4 | |
| Rainfed | N2 | 7.81 | 8.31 | 6.4 | 6.9 | 7.1 | 2.9 |
| N1 | 7.88 | 8.7 | 10.4 | 7.25 | 7.79 | 7.5 | |
| N0 | 6.27 | 6.45 | 2.9 | 5.32 | 5.31 | −0.2 | |
Publisher’s Note: MDPI stays neutral with regard to jurisdictional claims in published maps and institutional affiliations. |
© 2022 by the authors. Licensee MDPI, Basel, Switzerland. This article is an open access article distributed under the terms and conditions of the Creative Commons Attribution (CC BY) license (https://creativecommons.org/licenses/by/4.0/).
Share and Cite
Li, Y.; Ma, L.; Wu, P.; Zhao, X.; Chen, X.; Gao, X. Impacts of Interspecific Interactions on Crop Growth and Yield in Wheat (Triticum aestivum L.)/Maize (Zea mays L.) Strip Intercropping under Different Water and Nitrogen Levels. Agronomy 2022, 12, 951. https://doi.org/10.3390/agronomy12040951
Li Y, Ma L, Wu P, Zhao X, Chen X, Gao X. Impacts of Interspecific Interactions on Crop Growth and Yield in Wheat (Triticum aestivum L.)/Maize (Zea mays L.) Strip Intercropping under Different Water and Nitrogen Levels. Agronomy. 2022; 12(4):951. https://doi.org/10.3390/agronomy12040951
Chicago/Turabian StyleLi, Yinjuan, Longshuai Ma, Pute Wu, Xining Zhao, Xiaoli Chen, and Xiaodong Gao. 2022. "Impacts of Interspecific Interactions on Crop Growth and Yield in Wheat (Triticum aestivum L.)/Maize (Zea mays L.) Strip Intercropping under Different Water and Nitrogen Levels" Agronomy 12, no. 4: 951. https://doi.org/10.3390/agronomy12040951
APA StyleLi, Y., Ma, L., Wu, P., Zhao, X., Chen, X., & Gao, X. (2022). Impacts of Interspecific Interactions on Crop Growth and Yield in Wheat (Triticum aestivum L.)/Maize (Zea mays L.) Strip Intercropping under Different Water and Nitrogen Levels. Agronomy, 12(4), 951. https://doi.org/10.3390/agronomy12040951
