Injected Anhydrous Ammonia Is More Effective Than Broadcast Urea as a Source of Nitrogen for Drill Seeded Rice
Abstract
1. Introduction
2. Materials and Methods
2.1. Experimental Site and Soil Properties
2.2. Experimental Design and Management
2.3. Statistical Analysis of the Phenotypic Data
2.4. Biological Screening of Soil Active Microorganisms’ Populations
2.5. Economic and Net Income Analysis
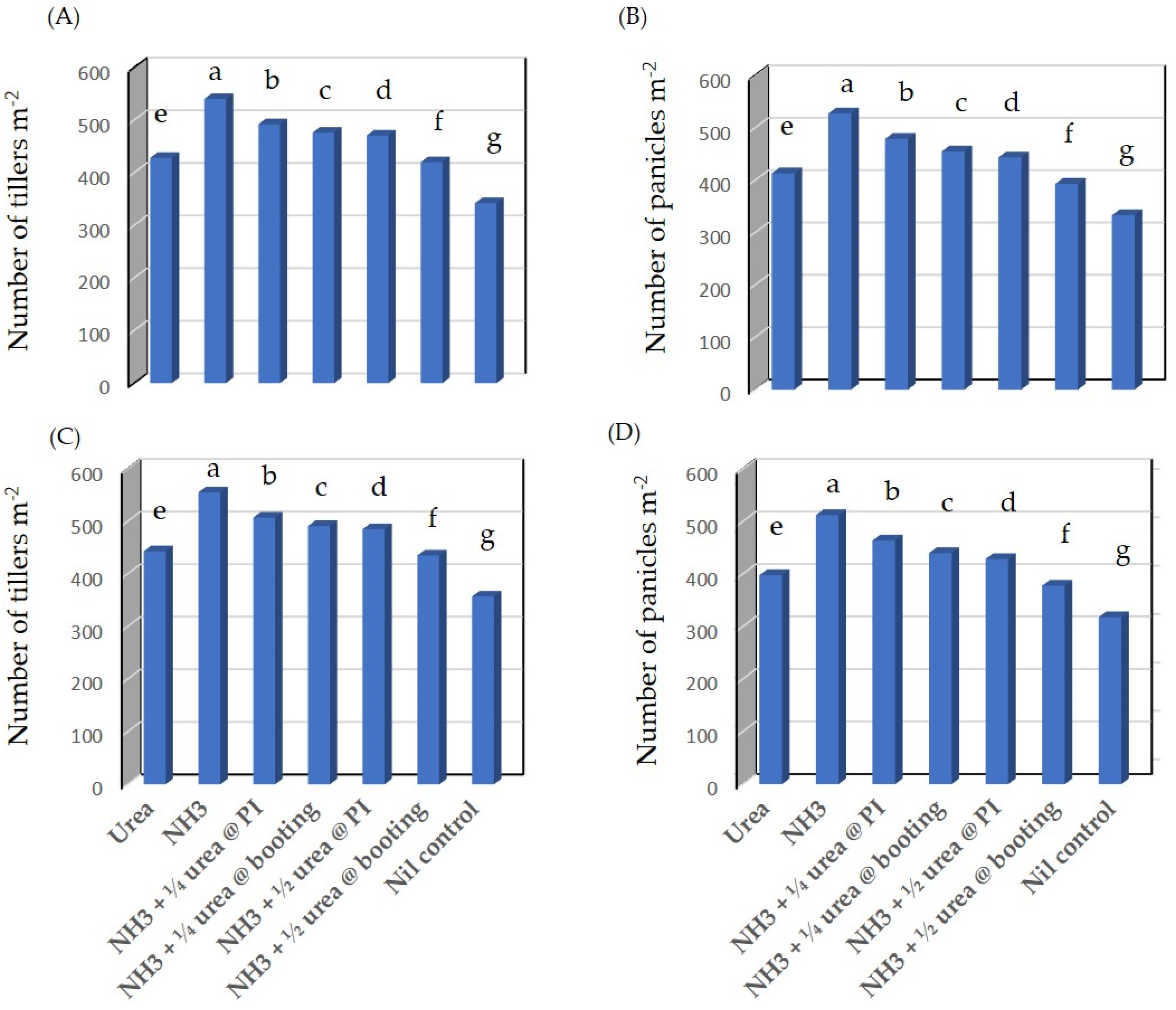
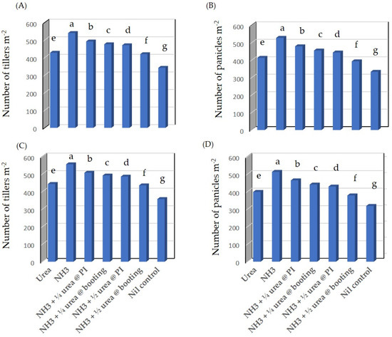
3. Results
3.1. Growth Characteristics Response to the Different N Treatments
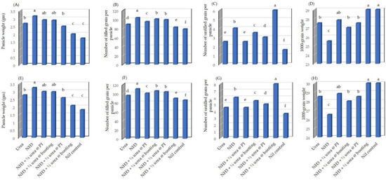
3.2. Panicle Characteristics and Yield Attributes as Affected by Different N Treatments
3.3. Grain Yield and Straw Production in Response to Different N Treatments
3.4. Economic Analysis of the Increased Yield and Total Revenue as Impacted by the Different N-Treatments
3.5. Impact of Anhydrous Ammonia on the Populations Count of Soil Microorganisms
4. Discussion
4.1. Anhydrous Ammonia Increased Reproductive Tillers and Enhanced Plant Growth Characteristics
4.2. Increased Grain Yield and Yield-Related Characteristics with Full Application of Anhydrous Ammonia
4.3. Economic Impact of the Utilization of Anhydrous Ammonia
4.4. Anhydrous Ammonia Did Not Affect the Bacteria, Fungi and Actinomycetes
5. Conclusions
Supplementary Materials
Author Contributions
Funding
Data Availability Statement
Acknowledgments
Conflicts of Interest
References
- Prasad, R.; Shivay, Y.S.; Kumar, D. Current status, challenges, and opportunities in rice production. In Rice Production Worldwide; Springer: Berlin/Heidelberg, Germany, 2017; pp. 1–32. [Google Scholar]
- Ding, W.; Lei, H.; Zhang, J.; Wang, L.; Zhang, J.; Ju, X.; Li, H.; Li, G. One-time N fertilization reduces greenhouse emissions and N leaching while maintaining high yields in a rape-rice rotation system. Agron. J. 2021, 114, 427–439. [Google Scholar] [CrossRef]
- Ma, P.; Lan, Y.; Lyu, T.; Li, F.; Yang, Z.; Sun, Y.; Ma, J. Nitrogen Fate and Efficiency of Fertilizer Application under a Rapeseed–Wheat–Rice Rotation System in Southwest China. Agronomy 2021, 11, 258. [Google Scholar] [CrossRef]
- Abdel-Rahman, M.; El-Denary, M.; Ammar, M.; Abdelkhalik, A.; Draz, A.; Dora, S. QTL validation for grain yield and nitrogen use efficiency under different nitrogen levels in rice. Egypt. J. Genet. Cytol. 2015, 44, 235–251. [Google Scholar] [CrossRef][Green Version]
- Abdelrahman, M.; Zhao, K. Genome editing and rice grain quality. In The Future of Rice Demand: Quality Beyond Productivity; Springer: Berlin/Heidelberg, Germany, 2020; pp. 395–422. [Google Scholar]
- Xu, L.; Li, X.; Wang, X.; Xiong, D.; Wang, F. Comparing the grain yields of direct-seeded and transplanted rice: A meta-analysis. Agronomy 2019, 9, 767. [Google Scholar] [CrossRef]
- El-Habet, H.B.; El-Megeed, A.; Hasham, I. Impact of Anhydrous Ammonia and Irrigation Intervals on Rice Yield under Drill Seeded Method. J. Plant Prod. 2019, 10, 459–468. [Google Scholar] [CrossRef]
- Sağlam, C.; Tan, F.; Aktaş, T. Changing of viscosity and thermal properties of olive oil with different harvesting methods and waiting period. Teh. Glas. 2018, 12, 50–54. [Google Scholar] [CrossRef]
- Kovács, P.; Van Scoyoc, G.E.; Doerge, T.A.; Camberato, J.J.; Vyn, T.J. Pre-plant anhydrous ammonia placement consequences on no-till versus conventional-till maize growth and nitrogen responses. Agron. J. 2014, 106, 634–644. [Google Scholar] [CrossRef][Green Version]
- Jansson, S.; Persson, J. Mineralization and immobilization of soil nitrogen. Nitrogen Agric. Soils 1982, 22, 229–252. [Google Scholar]
- Nommik, H.; Vahtras, K. Retention and fixation of ammonium and ammonia in soils. Nitrogen Agric. Soils 1982, 22, 123–171. [Google Scholar]
- Whiteley, E.L. An Investigation of Some of the Effects of Anhydrous Ammonia on the Clay Minerals Montmorillonite and Illite; Texas A&M University: College Station, TX, USA, 1959. [Google Scholar]
- Yadav, B.K.; Akhtar, M.S.; Panwar, J. Rhizospheric plant-microbe interactions: Key factors to soil fertility and plant nutrition. In Plant Microbes Symbiosis: Applied Facets; Springer: Berlin/Heidelberg, Germany, 2015; pp. 127–145. [Google Scholar]
- El-Megeed, A. Effect of Urea and Anhydrous Ammonia Fertilizer on Yield and Yield Component of Rice Plants. J. Plant Prod. 2017, 8, 425–434. [Google Scholar] [CrossRef]
- Cottenia, A.; Camerbynek, R.; Verioo, M.; Dhaere, A. Fractionation and determination on of trace elements in plants. Soils Sediments Pure Appl. Chem 1979, 52, 145–153. [Google Scholar]
- Duncan, D.B. Multiple range and multiple F tests. Biometrics 1955, 11, 1–42. [Google Scholar] [CrossRef]
- Hamaki, T.; Suzuki, M.; Fudou, R.; Jojima, Y.; Kajiura, T.; Tabuchi, A.; Sen, K.; Shibai, H. Isolation of novel bacteria and actinomycetes using soil-extract agar medium. J. Biosci. Bioeng. 2005, 99, 485–492. [Google Scholar] [CrossRef] [PubMed]
- Vieira, F.; Nahas, E. Comparison of microbial numbers in soils by using various culture media and temperatures. Microbiol. Res. 2005, 160, 197–202. [Google Scholar] [CrossRef] [PubMed]
- Allen, O. Experiments in Soil Bacteriology; Burgess Publishing, Co.: Minneap, MN, USA, 1959. [Google Scholar]
- Debertin, D.L. Agricultural Production Economics; CreateSpace Independent Publishing Platform: Scotts Valley, CA, USA, 2012. [Google Scholar]
- Duvvuru, N.R.; Motkuri, V. Declining Labour Use in Agriculture: A Case of Rice Cultivation in Andhra Pradesh; University Library of Munich: Munich, Germany, 2013. [Google Scholar]
- Osman, E.; El-Masry, A.; Khatab, K. Effect of nitrogen fertilizer sources and foliar spray of humic and/or fulvic acids on yield and quality of rice plants. Adv. Appl. Sci. Res. 2013, 4, 174–183. [Google Scholar]
- Din, M.; Zheng, W.; Rashid, M.; Wang, S.; Shi, Z. Evaluating hyperspectral vegetation indices for leaf area index estimation of Oryza sativa L. at diverse phenological stages. Front. Plant Sci. 2017, 8, 820. [Google Scholar] [CrossRef]
- Jégo, G.; Pattey, E.; Liu, J. Using Leaf Area Index, retrieved from optical imagery, in the STICS crop model for predicting yield and biomass of field crops. Field Crops Res. 2012, 131, 63–74. [Google Scholar] [CrossRef]
- Maki, M.; Homma, K. Empirical regression models for estimating multiyear leaf area index of rice from several vegetation indices at the field scale. Remote Sens. 2014, 6, 4764–4779. [Google Scholar] [CrossRef]
- Xiong, D.; Wang, D.; Liu, X.; Peng, S.; Huang, J.; Li, Y. Leaf density explains variation in leaf mass per area in rice between cultivars and nitrogen treatments. Ann. Bot. 2016, 117, 963–971. [Google Scholar] [CrossRef]
- Tian, G.; Gao, L.; Kong, Y.; Hu, X.; Xie, K.; Zhang, R.; Ling, N.; Shen, Q.; Guo, S. Improving rice population productivity by reducing nitrogen rate and increasing plant density. PLoS ONE 2017, 12, e0182310. [Google Scholar] [CrossRef]
- Zhang, J.; Tong, T.; Potcho, P.M.; Huang, S.; Ma, L.; Tang, X. Nitrogen Effects on Yield, Quality and Physiological Characteristics of Giant Rice. Agronomy 2020, 10, 1816. [Google Scholar] [CrossRef]
- Huang, M.; Yang, C.; Ji, Q.; Jiang, L.; Tan, J.; Li, Y. Tillering responses of rice to plant density and nitrogen rate in a subtropical environment of southern China. Field Crops Res. 2013, 149, 187–192. [Google Scholar] [CrossRef]
- Li, G.; Xue, L.; Gu, W.; Yang, C.; Wang, S.; Ling, Q.; Qin, X.; Ding, Y. Comparison of yield components and plant type characteristics of high-yield rice between Taoyuan, a ‘special eco-site’and Nanjing, China. Field Crops Res. 2009, 112, 214–221. [Google Scholar] [CrossRef]
- Xiong, Q.; Tang, G.; Zhong, L.; He, H.; Chen, X. Response to nitrogen deficiency and compensation on physiological characteristics, yield formation, and nitrogen utilization of rice. Front. Plant Sci. 2018, 9, 1075. [Google Scholar] [CrossRef] [PubMed]
- Chaturvedi, I. Effect of nitrogen fertilizers on growth, yield and quality of hybrid rice (Oryza sativa). J. Cent. Eur. Agric. 2005, 6, 611–618. [Google Scholar]
- Eno, C.F.; Blue, W.G.; Good, J.M., Jr. The effect of anhydrous ammonia on nematodes, fungi, bacteria, and nitrification in some Florida soils. Soil Sci. Soc. Am. J. 1955, 19, 55–58. [Google Scholar] [CrossRef]
- Geisseler, D.; Scow, K.M. Long-term effects of mineral fertilizers on soil microorganisms—A review. Soil Biol. Biochem. 2014, 75, 54–63. [Google Scholar] [CrossRef]





| Treatments | N kg ha−1 | Forms of Nitrogen | Methods and Time of Application |
|---|---|---|---|
| T1: Urea | 165 | Urea | Three splits (1/3 basal + 1/3 after two weeks of sowing date + 1/3 at panicle initiation) |
| T2: NH3 | 165 | Anhydrous ammonia | Injected into soil 5 days before sowing date |
| T3: NH3 + ¼ urea @ PI | 165 | Anhydrous ammonia + Urea | 3/4 N injected into soil 5 days before sowing date + 1/4 N as urea at panicle initiation |
| T4: NH3 + ¼ urea @ booting | 165 | Anhydrous ammonia + Urea | 3/4 N injected into soil 5 days before sowing date + 1/4 N as urea at late booting |
| T5: NH3 + ½ urea @ PI | 165 | Anhydrous ammonia + Urea | 1/2 N injected into soil 5 days before sowing date + 1/2 N as urea at panicle initiation |
| T6: NH3 + ½ urea @ booting | 165 | Anhydrous ammonia + Urea | 1/2 N injected into 5 days before sowing date + 1/2 N as urea at late booting |
| T7: Nil control | 0 | --- | --- |
| Treatments | Yield Increase (%) | Grain Value (EGP ha−1) | Total Revenue (EGP ha−1) | Net Return (EGP ha−1) | ||||
|---|---|---|---|---|---|---|---|---|
| 2017 | 2018 | 2017 | 2018 | 2017 | 2018 | 2017 | 2018 | |
| Nil control | - | - | 21,630 | 23,927 | 21,918 | 24,255 | 2723 | 5060 |
| Urea | 25.6 | 23.4 | 27,160 | 29,536 | 27,478 | 29,895 | 6697 | 9115 |
| NH3 | 52.8 | 48.4 | 33,040 | 35,500 | 33,405 | 35,899 | 13,003 | 15,496 |
| NH3 + ¼ urea @ PI | 49.8 | 45.7 | 32,410 | 34,861 | 32,759 | 35,252 | 12,250 | 14,743 |
| NH3 + ¼ urea @ booting | 38.8 | 35.6 | 30,030 | 32,447 | 30,356 | 32,815 | 9847 | 12,306 |
| NH3 + ½ urea @ PI | 31.1 | 28.5 | 28,350 | 30,743 | 28,673 | 31,107 | 8057 | 10,492 |
| NH3 + ½ urea @ booting | 18.1 | 16.6 | 25,550 | 27,903 | 25,852 | 28,246 | 5236 | 7630 |
Publisher’s Note: MDPI stays neutral with regard to jurisdictional claims in published maps and institutional affiliations. |
© 2022 by the authors. Licensee MDPI, Basel, Switzerland. This article is an open access article distributed under the terms and conditions of the Creative Commons Attribution (CC BY) license (https://creativecommons.org/licenses/by/4.0/).
Share and Cite
Naeem, E.; Abd El-Megeed, T.; Emadeldin, Y.; Abushady, A.M.; Abdelrahman, M. Injected Anhydrous Ammonia Is More Effective Than Broadcast Urea as a Source of Nitrogen for Drill Seeded Rice. Agronomy 2022, 12, 942. https://doi.org/10.3390/agronomy12040942
Naeem E, Abd El-Megeed T, Emadeldin Y, Abushady AM, Abdelrahman M. Injected Anhydrous Ammonia Is More Effective Than Broadcast Urea as a Source of Nitrogen for Drill Seeded Rice. Agronomy. 2022; 12(4):942. https://doi.org/10.3390/agronomy12040942
Chicago/Turabian StyleNaeem, Elsayed, Taher Abd El-Megeed, Yasmin Emadeldin, Asmaa M. Abushady, and Mohamed Abdelrahman. 2022. "Injected Anhydrous Ammonia Is More Effective Than Broadcast Urea as a Source of Nitrogen for Drill Seeded Rice" Agronomy 12, no. 4: 942. https://doi.org/10.3390/agronomy12040942
APA StyleNaeem, E., Abd El-Megeed, T., Emadeldin, Y., Abushady, A. M., & Abdelrahman, M. (2022). Injected Anhydrous Ammonia Is More Effective Than Broadcast Urea as a Source of Nitrogen for Drill Seeded Rice. Agronomy, 12(4), 942. https://doi.org/10.3390/agronomy12040942

