Does Straw Returning Amended with Straw Decomposing Microorganism Inoculants Increase the Soil Major Nutrients in China’s Farmlands?
Abstract
1. Introduction
2. Materials and Methods
2.1. Data Collection
2.2. Meta-Analysis
2.3. Statistical Analysis
3. Results
3.1. Changes in Soil Major Nutrients in Relation to the Application of SDMI-Amended Straw
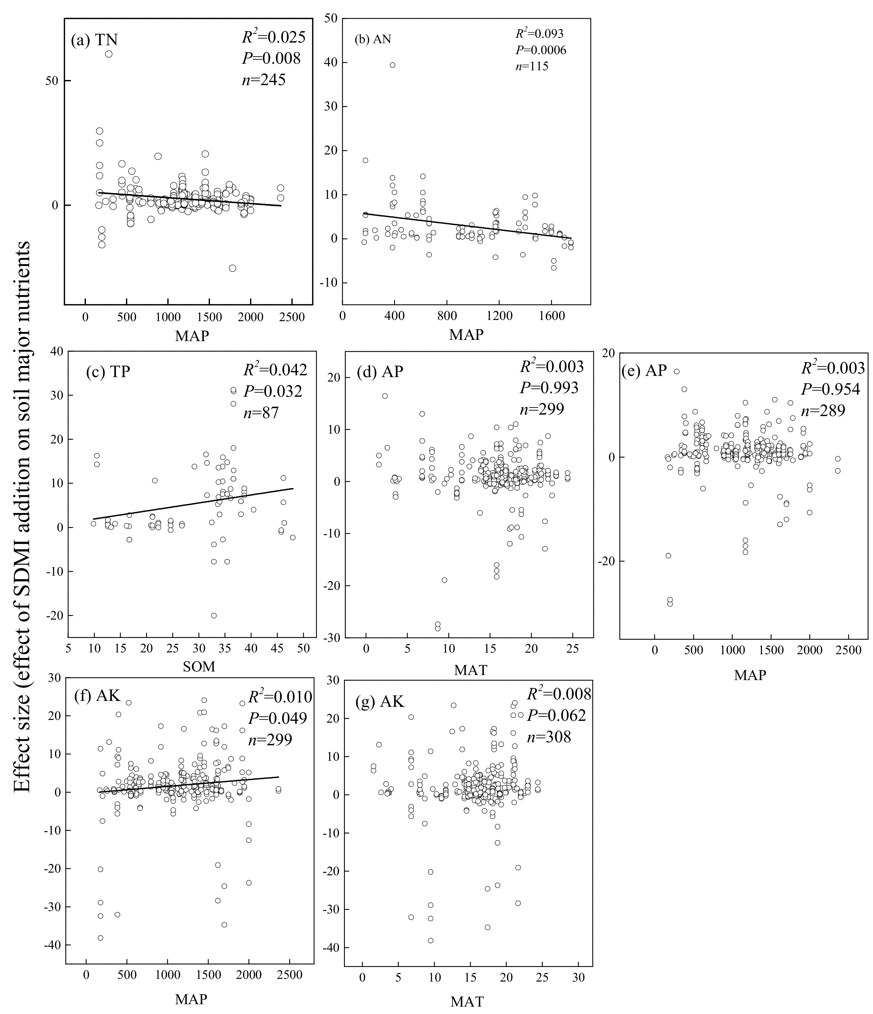
3.2. Effects of SDMI-Amended Straw on Soil Major Nutrients in Relation to the Environmental Factors
3.3. Effects of SDMI-Amended Straw on Soil Major Nutrients in Relation to the Agricultural Management Practices
3.4. Changes in Soil Major Nutrients in Relation to the Integrated Effects of SDMI-Amended Straw and Affecting Factors
4. Discussion
4.1. Changes in Soil Major Nutrients in Relation to the Application of SDMI-Amended Straw
4.2. Effects of SDMI-Amended Straw on Soil Major Nutrients in Relation to the Environmental Factors
4.3. Effects of SDMI-Amended Straw on Soil Major Nutrients in Relation to the Different Agricultural Management Practices
4.4. Correlations between the Effects of SDMI-Amended Straw on Soil Major Nutrients and Influencing Factors
4.5. Study Limitations
5. Conclusions
Supplementary Materials
Author Contributions
Funding
Data Availability Statement
Acknowledgments
Conflicts of Interest
References
- Li, H.; Dai, M.W.; Dai, S.L.; Dong, X.J. Current status and environment impact of direct straw return in China’ s cropland-A review. Ecotoxicol. Environ. Saf. 2018, 159, 293–300. [Google Scholar] [CrossRef] [PubMed]
- Wang, Y.J.; Bi, Y.Y.; Gao, C.Y. The assessment and utilization of straw resources in China. Agric. Sci. China 2010, 9, 1807–1815. [Google Scholar] [CrossRef]
- Ladha, J.H.; Khind, C.S.; Gupta, R.K.; Meelu, O.P.; Pasuquin, E. Long-term effects of organic inputs on yield and soil fertility in the rice-wheat rotation. Soil Sci. Soc. Am. J. 2004, 68, 845–853. [Google Scholar] [CrossRef]
- Han, W.; He, M. The application of exogenous cellulase to improve soil fertility and plant growth due to acceleration of straw decomposition. Bioresour. Technol. 2010, 101, 3724–3731. [Google Scholar] [CrossRef] [PubMed]
- Qin, S.J.; Jiao, K.B.; Lyu, D.G.; Shi, L.; Liu, L.Z. Effects of maize residue and cellulose-decomposing bacteria inocula on soil microbial community, functional diversity, organic fractions, and growth of Malus hupehensis Rehd. Arch. Agron. Soil Sci. 2015, 61, 173–184. [Google Scholar] [CrossRef]
- Sun, K.; Cao, W.; Hu, L.Y.; Fu, W.Q.; Gong, J.H.; Kang, N.; Dai, C.C. Symbiotic fungal endophyte Phomopsis liquidambari-rice system promotes nitrogen transformation by influencing below-ground straw decomposition in paddy soil. J. Appl. Microbiol. 2019, 126, 191–203. [Google Scholar] [CrossRef] [PubMed]
- Yang, X.R.; Xu, B.; He, Z.F.; Wu, J.; Zhuang, R.H.; Ma, C.; Cai, R.S.; Yusef, K.K.; Ye, X.X.; Zhu, L. Impacts of decomposing microorganism inoculum on straw decomposition and crop yield in China: A meta-analysis. Sci. Agric. Sin. 2020, 53, 1359–1367. (In Chinese) [Google Scholar]
- Kalkhajeh, Y.K.; He, Z.F.; Yang, X.R.; Lu, Y.; Zhou, J.; Gao, H.J.; Ma, C. Co-application of nitrogen and straw-decomposing microbial inoculant enhanced wheat straw decomposition and rice yield in a paddy soil. J. Agric. Food Res. 2021, 4, 100134. [Google Scholar] [CrossRef]
- Ma, L.J.; Kong, F.X.; Wang, Z.; Luo, Y.; Lv, X.B.; Zhou, Z.G.; Meng, Y.L. Growth and yield of cotton as affected by different straw returning modes with an equivalent carbon input. Field Crops Res. 2019, 243, 107616. [Google Scholar] [CrossRef]
- Kuang, E.J.; Chi, F.Q.; Jeng, A.S.; Su, Q.R.; Zhang, J.M. A comparison of different methods of decomposing maize straw in China. Acta. Agric. Scand. B-S. P. 2014, 63, 186–194. [Google Scholar] [CrossRef]
- Zhao, J.; Ni, T.; Xun, W.B.; Huang, X.L.; Huang, Q.W.; Ran, W.; Shen, B.; Zhang, R.F.; Shen, Q.R. Influence of straw incorporation with and without straw decomposer on soil bacterial community structure and function in a rice-wheat cropping system. Appl. Microbiol. Biot. 2017, 101, 4761–4773. [Google Scholar] [CrossRef] [PubMed]
- Li, F.Y.; Liang, X.Q.; Liu, Z.W.; Tian, G.M. No-till with straw return retains soil total P while reducing loss potential of soil colloidal P in rice-fallow systems. Agric. Ecosyst. Environ. 2019, 286, 106653. [Google Scholar] [CrossRef]
- Yang, G.H.; Zhang, J.J.; Yang, G.L. Preliminary study on effect of straw decomposition additive in rice/rape pattern. Tillage Cultiv. 2013, 4, 20–22. (In Chinese) [Google Scholar]
- Yu, J.G.; Chang, Z.Z.; Huang, H.Y.; Ye, X.M.; Ma, Y.; Qian, Y.T. Effect of microbial inoculants for straw decomposing on soil microorganisms and the nutrients. J. Agro Environ. Sci. 2010, 29, 563–570. (In Chinese) [Google Scholar]
- Ma, C.; Zhou, J.; Liu, M.Q.; Zheng, X.B.; Cui, J.; Li, H.X.; Kang, B.L. Effects of incorporation of pre-treated straws into field on soil nutrients and labile organic carbon in Shajiang black soil. Acta Pedol. Sin. 2013, 50, 915–921. (In Chinese) [Google Scholar]
- Xiong, W.; Guo, S.; Jousset, A.; Zhao, Q.Y.; Wu, H.S.; Li, R.; Kowalchuk, G.A.; Shen, Q.R. Bio-fertilizer application induces soil suppressiveness against Fusarium wilt disease by reshaping the soil microbiome. Soil Biol. Biochem. 2017, 114, 238–247. [Google Scholar] [CrossRef]
- Aye, N.S.; Butterly, C.R.; Sale, P.W.G.; Tang, C.X. Residue addition and liming history interactively enhance mineralization of native organic carbon in acid soils. Biol. Fert. Soils 2017, 53, 61–75. [Google Scholar] [CrossRef]
- Yang, F.K.; He, B.L.; Zhang, L.G.; Zhang, G.P.; Gao, Y.P. An approach to improve soil quality: A case study of straw incorporation with a decomposer under full film-mulched ridge-furrow tillage on the semiarid Loess Plateau, China. J. Soil Sci. Plant Nutr. 2019, 20, 125–138. [Google Scholar] [CrossRef]
- Perez-Guzman, L.; Acosta-Martinez, V.; Phillips, L.A.; Mauget, S.A. Resilience of the microbial communities of semiarid agricultural soils during natural climatic variability events. Appl. Soil Ecol. 2020, 149, 103487. [Google Scholar] [CrossRef]
- Xia, L.L.; Lam, S.K.; Wolf, B.; Kiese, R.; Chen, D.; Butterbach-Bahl, K. Trade-offs between soil carbon sequestration and reactive nitrogen losses under straw return in global agroecosystems. Glob. Change Biol. 2018, 24, 5919–5932. [Google Scholar] [CrossRef]
- Berhane, M.; Xu, M.; Liang, Z.Y.; Shi, J.G.; Wei, G.H.; Tian, X.H. Effects of long-term straw return on soil organic carbon storage and sequestration rate in North China upland crops: A meta-analysis. Glob. Change Biol. 2020, 26, 2686–2701. [Google Scholar] [CrossRef]
- Jian, J.S.; Du, X.; Reiter, M.S.; Stewart, R.D. A meta-analysis of global cropland soil carbon changes due to cover cropping. Soil Biol. Biochem. 2020, 143, 107735. [Google Scholar] [CrossRef]
- He, H.; Li, J.H.; Wei, C.Z.; Zhang, Y.T. Decomposition characteristics and nutrient release rules of maize straw under different returning amounts. Appl. Ecol. Environ. Res. 2019, 17, 3695–3707. [Google Scholar] [CrossRef]
- National Soil Census Office. China Soil; Agriculture Press: Beijing, China, 1998. (In Chinese) [Google Scholar]
- Hedges, L.V.; Olkin, I. Statistical Methods for Meta-Analysis; Academic Press: New York, NY, USA, 1985. [Google Scholar]
- Dai, Z.M.; Su, W.Q.; Chen, H.H.; Barberan, A.; Zhao, H.C.; Yu, M.J.; Yu, L.; Brookes, P.C.; Schadt, C.W.; Chang, S.X.; et al. Long-term nitrogen fertilization decreases bacterial diversity and favors the growth of Actinobacteria and Proteobacteria in agro-ecosystems across the globe. Glob. Change Biol. 2018, 24, 3452–3461. [Google Scholar] [CrossRef]
- Ying, H.; Yin, Y.L.; Zheng, H.F.; Wang, Y.C.; Zhang, Q.S.; Xue, Y.F.; Stefanovski, D.; Cui, Z.L.; Dou, Z.X. Newer and select maize, wheat, and rice varieties can help mitigate N footprint while producing more grain. Glob. Change Biol. 2019, 25, 4273–4281. [Google Scholar] [CrossRef]
- Adu, M.O.; Yawson, D.O.; Armah, F.A.; Asare, P.A.; Frimpong, K.A. Meta-analysis of crop yields of full, deficit, and partial root-zone drying irrigation. Agric. Water Manag. 2018, 197, 79–90. [Google Scholar] [CrossRef]
- Bracken, M.B. Statistical methods for analysis of effects of treatment in overviews of randomized trials. In Effective Care of the Newborn Infant; Sinclair, J.C., Bracken, M.B., Eds.; Oxford University Press: Oxford, UK, 1992; pp. 13–20. [Google Scholar]
- Adams, D.C.; Gurevitch, J.; Rosenberg, M.S. Resampling tests for meta-analysis of ecological data. Ecology 1997, 78, 1277–1283. [Google Scholar] [CrossRef]
- Rosenberg, M.S.; Adams, D.C.; Gurevitch, J. Metawin: Statistical Software for Meta-Analysis with Resampling Tests; Sinauer Associates Inc.: Sunderland, MA, USA, 1997. [Google Scholar]
- Viechtbauer, W. Conducting meta-analyses in R with the metafor package. J. Stat. Softw. 2010, 36, 1–48. [Google Scholar] [CrossRef]
- Wickham, H. ggplot2: Elegant Graphics for Data Analysis (Use R!); Springer Press: Berlin, Germany, 2009. [Google Scholar]
- Calcagno, V.; de Mazancourt, C. glmulti: An R package for easy automated model selection with (generalized) linear models. J. Stat. Softw. 2010, 34, 1–29. [Google Scholar] [CrossRef]
- Terrer, C.; Vicca, S.; Hungate, B.A.; Phillips, R.P.; Prentice, I.C. Mycorrhizal association as a primary control of the CO2 fertilization effect. Science 2016, 353, 72–74. [Google Scholar] [CrossRef]
- Gaind, S.; Nain, L. Chemical and biological properties of wheat soil in response to paddy straw incorporation and its biodegradation by fungal inoculants. Biodegradation 2007, 18, 495–503. [Google Scholar] [CrossRef] [PubMed]
- Guan, X.K.; Wei, L.; Turner, N.C.; Ma, S.C.; Yang, M.D.; Wang, T.C. Improved straw management practices promote in situ straw decomposition and nutrient release, and increase crop production. J. Clean Prod. 2020, 250. [Google Scholar] [CrossRef]
- Ma, C.; Zhou, J.; Zheng, X.B.; Liu, M.Q.; Li, H.X.; Jiang, Z.S.; Wang, W.G. Effects of returning rice straw into field on soil nutrients and wheat yields under promoting decay condition. Soils 2012, 44, 30–35. (In Chinese) [Google Scholar]
- Ma, Y.C.; Liu, D.L.; Schwenke, G.; Yang, B. The global warming potential of straw-return can be reduced by application of straw-decomposing microbial inoculants and biochar in rice-wheat production systems. Environ. Pollut. 2019, 252, 835–845. [Google Scholar] [CrossRef] [PubMed]
- Tanaka, H.; Kyaw, K.M.; Toyota, K.; Motobayashi, T. Influence of application of rice straw, farmyard manure, and municipal biowastes on nitrogen fixation, soil microbial biomass N, and mineral N in a model paddy microcosm. Biol. Fertil. Soils 2006, 42, 501–505. [Google Scholar] [CrossRef]
- Xue, Y.P.; Xiao, C.Q.; Zhang, Y.T.; Chi, R. Screening of high-efficiency potassium-dissolving strains and optimization of the potassium-dissolving process. Physicochem. Probl. MI. 2021, 57, 1–13. [Google Scholar]
- Bao, Y.Y.; Dolfing, J.; Wang, B.Z.; Chen, R.R.; Huang, M.S.; Li, Z.P.; Lin, X.G.; Feng, Y.Z. Bacterial communities involved directly or indirectly in the anaerobic degradation of cellulose. Biol. Fert. Soils 2019, 55, 201–211. [Google Scholar] [CrossRef]
- Peng, Z.; Chen, X.; Wei, T.; Zhen, Y.; Jia, Z.; Yang, B.; Han, Q.; Ren, X. Effects of straw incorporation on the soil nutrient contents, enzyme activities, and crop yield in a semiarid region of China. Soil Tillage Res. 2016, 160, 65–72. [Google Scholar]
- Delgado-Baquerizo, M.; Grinyer, J.; Reich, P.B.; Singh, B.K. Relative importance of soil properties and microbial community for soil functionality: Insights from a microbial swap experiment. Funct. Ecol. 2016, 30, 1862–1873. [Google Scholar] [CrossRef]
- Feng, M.; Wu, H.Y.; Wang, Z.X. Effects of straw returning to the field on soil nitrification and ammoniation characteristics and the number of related microbial communities. J. Microbiol. 2018, 38, 50–54. [Google Scholar]
- Meena, V.S.; Maurya, B.R.; Verma, J.P. Does a rhizospheric microorganism enhance K+ availability in agricultural soils? Microbiol. Res. 2014, 169, 337–347. [Google Scholar] [CrossRef] [PubMed]
- Zhang, M.Y.; Riaz, M.; Liu, B.; Xia, H.; El-desouki, Z.; Jiang, C.C. Two-year study of biochar: Achieving excellent capability of potassium supply via alter clay mineral composition and potassium-dissolving bacteria activity. Sci. Total Environ. 2020, 717, 137286. [Google Scholar] [CrossRef] [PubMed]
- Couteaux, M.M.; Sarmiento, L.; Bottner, P.; Acevedo, D.; Thiery, J.M. Decomposition of standard plant material along an altitudinal transect (65–3968 m) in the tropical Andes. Soil Biol. Biochem. 2002, 34, 69–78. [Google Scholar] [CrossRef]
- Li, C.M.; Wang, X.Y.; Sun, B. Characteristics of nutrient release and its affecting factors during plant residue decomposition under different climate and soil conditions. Acta Pedol. Sin. 2017, 54, 1206–1217. (In Chinese) [Google Scholar]
- Mascher, F.; Hase, C.; Bouffaud, M.L.; Defago, G.; Moenne-Loccoz, Y. Cell culturability of Pseudomonas protegens CHA0 depends on soil pH. Fems. Microbiol. Ecol. 2014, 87, 441–450. [Google Scholar] [CrossRef] [PubMed][Green Version]
- Li, F.; Zhang, W.L.; Liu, J.; Xia, H.J.; Wang, J.Z. Soil microbial activities in the water-level-fluctuating zone of Three Gorges Reservoir area during discharging period. Chin. J. Ecol. 2013, 32, 968–974. (In Chinese) [Google Scholar]
- Li, Z.Y.; Jin, Z.J.; Li, Q. Changes in Land Use and their Effects on Soil Properties in Huixian Karst Wetland System. Pol. J. Environ. Stud. 2017, 26, 699–707. [Google Scholar] [CrossRef]
- Krey, T.; Caus, M.; Baum, C.; Ruppel, S.; Eichler-Lobermann, B. Interactive effects of plant growth-promoting rhizobacteria and organic fertilization on P nutrition of Zea mays L. and Brassica napus L. J. Plant Nutr.Soil Sci. 2011, 174, 602–613. [Google Scholar] [CrossRef]
- Yu, C.J.; Qin, J.G.; Xu, J.; Nie, H.; Luo, Z.Y.; Cen, K. Straw combustion in circulating fluidized bed at low-temperature: Transformation and distribution of potassium. Can. J. Chem. Eng. 2010, 88, 874–880. [Google Scholar] [CrossRef]
- Bai, Y.L.; Wang, L.; Lu, Y.L.; Yang, L.P.; Zhou, L.P.; Ni, L.; Cheng, M.F. Effects of long-term full straw return on yield and potassium response in wheat-maize rotation. J. Integr. Agric. 2015, 14, 2467–2476. [Google Scholar] [CrossRef]
- Haokip, I.C.; Dwivedi, B.S.; Meena, M.C.; Datta, S.P.; Sharma, V.K.; Saharawat, Y.S. Effect of phosphorus fertilization and microbial inoculants on yield, phosphorus use-efficiency and available phosphorus in maize (Zea mays)-wheat (Triticum aestivum) cropping system. Indian J. Agric. Sci. 2019, 89, 806–812. [Google Scholar]
- Panaullah, G.M.; Timsina, J.; Saleque, M.A.; Ishaque, M.; Pathan, A.B.M.B.U.; Connor, D.J.; Saha, P.K.; Quayyum, M.A.; Humphreys, E.; Meisner, C.A. Nutrient uptake and apparent balances for rice-wheat sequences. III. Potassium. J. Plant Nutr. 2006, 29, 173–187. [Google Scholar] [CrossRef]
- Lu, D.; Li, C.; Sokolwski, E.; Magen, H.; Chen, X.; Wang, H.; Zhou, J. Crop yield and soil available potassium changes as affected by potassium rate in rice-wheat systems. Field Crops Res. 2017, 214, 38–44. [Google Scholar] [CrossRef]
- Wang, Y.; Zhao, X.; Wang, L.; Wang, Y.J.; Li, W.; Wang, S.Q.; Xing, G.X. The regime and P availability of omitting P fertilizer application for rice in rice/wheat rotation in the Taihu Lake Region of southern China. J. Soil Sediments 2015, 15, 844–853. [Google Scholar] [CrossRef]
- Wang, Y.; Zhao, X.; Wang, L.; Zhao, P.H.; Zhu, W.B.; Wang, S.Q. Phosphorus fertilization to the wheat-growing season only in a rice-wheat rotation in the Taihu Lake region of China. Field Crops Res. 2016, 198, 32–39. [Google Scholar] [CrossRef]
- Dai, Z.G.; Lu, J.W.; Li, X.K.; Lu, M.X.; Yang, W.B.; Gao, Z.X. Nutrient release characteristic of different crop straws manure. Trans. Chin. Soc. Agric. Eng. 2010, 26, 272–276. (In Chinese) [Google Scholar]
- Chen, R.X.; Deng, Y.C.; Wang, F.; Wang, W.J.; Xu, Z.H.; Hao, Y.B.; Xue, K.; Zhang, B.; Tang, L.; Zhou, H.K.; et al. Decomposition Characteristics of Stalk Decomposition Accelerator on Different Crop-stalks. Hunan Agric. Sci. 2011, 1, 19–25. (In Chinese) [Google Scholar]
- Li, F.Y.; Sun, X.F.; Feng, W.Q.; Qin, Y.S.; Wang, C.Q.; Tu, S.H. Nutrient release patterns and decomposing rates of wheat and rapeseed straw. J. Plan Nutr. Fertil. 2009, 15, 374–380. (In Chinese) [Google Scholar]
- Zhou, L.; Song, M.H.; Wang, S.Q.; Fan, J.W.; Liu, J.Y.; Zhong, H.P.; Yu, G.R.; Gao, L.P.; Hu, Z.M.; Chen, B.; et al. Patterns of soil N-15 and total N and their relationships with environmental factors on the Qinghai-Tibetan Plateau. Pedosphere 2014, 24, 232–242. [Google Scholar] [CrossRef]
- Spohn, M. Microbial respiration per unit microbial biomass depends on litter layer carbon-to-nitrogen ratio. Biogeosciences 2015, 12, 817–823. [Google Scholar] [CrossRef]
- Gou, J.; Hong, C.U.; Deng, M.; Chen, J.; Hou, J.; Li, D.; He, X. Effect of Carbon to Nitrogen Ratio on Water Quality and Community Structure Evolution in Suspended Growth Bioreactors through Biofloc Technology. Water 2019, 11, 1640. [Google Scholar] [CrossRef]
- Qian, P.; Schoenau, J.J. Availability of nitrogen in solid manure amendments with different C:N ratios. Can. J. Soil Sci. 2002, 82, 219–225. [Google Scholar] [CrossRef]
- Chen, J.; Kuzyakov, Y.; Jenerette, G.D.; Xiao, G.L.; Liu, W.; Wang, Z.F.; Shen, W.J. Intensified Precipitation Seasonality Reduces Soil Inorganic N Content in a Subtropical Forest: Greater Contribution of Leaching Loss Than N2O Emissions. J. Geophys. Res. Biogeosci. 2019, 124, 494–508. [Google Scholar] [CrossRef]
- Zhang, J.T.; Zhang, L.H.; Lv, L.H.; Dong, Z.Q.; Yao, Y.R.; Jin, X.X.; Yao, H.P.; Jia, X.L. Overview of the characteristics of crop straw decomposition and nutrients release of returned field crops. J. Nucl. Agric. Sci. 2018, 32, 2274–2280. (In Chinese) [Google Scholar]
- Rosolem, C.A.; Calonego, J.C.; Foloni, J.S.S. Potassium leaching from millet straw as affected by rainfall and potassium rates. Commun. Soil Sci. Plan. 2005, 36, 1063–1074. [Google Scholar] [CrossRef]






Publisher’s Note: MDPI stays neutral with regard to jurisdictional claims in published maps and institutional affiliations. |
© 2022 by the authors. Licensee MDPI, Basel, Switzerland. This article is an open access article distributed under the terms and conditions of the Creative Commons Attribution (CC BY) license (https://creativecommons.org/licenses/by/4.0/).
Share and Cite
He, Z.; Yang, X.; Xiang, J.; Wu, Z.; Shi, X.; Gui, Y.; Liu, M.; Kalkhajeh, Y.K.; Gao, H.; Ma, C. Does Straw Returning Amended with Straw Decomposing Microorganism Inoculants Increase the Soil Major Nutrients in China’s Farmlands? Agronomy 2022, 12, 890. https://doi.org/10.3390/agronomy12040890
He Z, Yang X, Xiang J, Wu Z, Shi X, Gui Y, Liu M, Kalkhajeh YK, Gao H, Ma C. Does Straw Returning Amended with Straw Decomposing Microorganism Inoculants Increase the Soil Major Nutrients in China’s Farmlands? Agronomy. 2022; 12(4):890. https://doi.org/10.3390/agronomy12040890
Chicago/Turabian StyleHe, Zhifeng, Xinrun Yang, Jing Xiang, Zelu Wu, Xinyi Shi, Ying Gui, Manqiang Liu, Yusef Kianpoor Kalkhajeh, Hongjian Gao, and Chao Ma. 2022. "Does Straw Returning Amended with Straw Decomposing Microorganism Inoculants Increase the Soil Major Nutrients in China’s Farmlands?" Agronomy 12, no. 4: 890. https://doi.org/10.3390/agronomy12040890
APA StyleHe, Z., Yang, X., Xiang, J., Wu, Z., Shi, X., Gui, Y., Liu, M., Kalkhajeh, Y. K., Gao, H., & Ma, C. (2022). Does Straw Returning Amended with Straw Decomposing Microorganism Inoculants Increase the Soil Major Nutrients in China’s Farmlands? Agronomy, 12(4), 890. https://doi.org/10.3390/agronomy12040890

