Combination of Biochar and Phosphorus Solubilizing Bacteria to Improve the Stable Form of Toxic Metal Minerals and Microbial Abundance in Lead/Cadmium-Contaminated Soil
Abstract
:1. Introduction
2. Materials and Methods
2.1. Preparation of Materials
2.2. Experimental Methods for Toxic Heavy Metal Remediation
2.3. Soil Sample Measurements
2.3.1. Soil Chemical and Physical Properties
2.3.2. Microbial Community Determination
2.3.3. Speciation and Bioavailability of Toxic Heavy Metals
2.3.4. Data Analysis
3. Results
3.1. Changes in Soil Properties
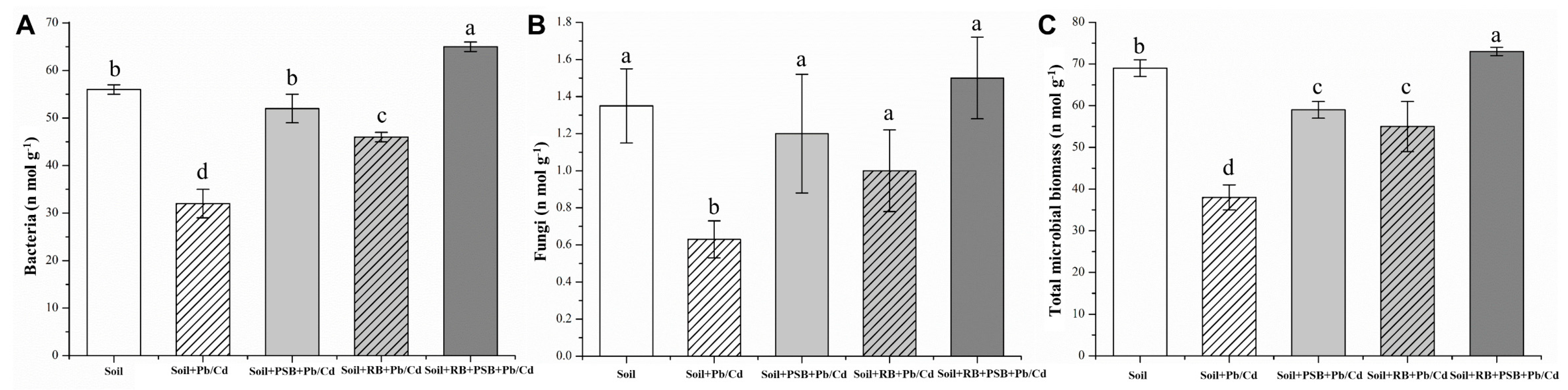
3.2. Analysis of Bacterial, Fungal and Total Microbial Biomass in the Soil
3.3. Speciation Analysis of Toxic Heavy Metals
3.4. XRD and ATR-IR Analysis
3.5. GWB Model Analysis
3.6. PCA (Principal Component Analysis)
4. Discussion
4.1. Effect of Phosphorus-Solubilizing Bacteria and Biochar on the Physicochemical Properties of Toxic Heavy Metal-Contaminated Soil
4.2. Effect of PSB and Biochar on Microbial Properties in Toxic Heavy Metal-Polluted Soils
4.3. Reduction in Riskiness of Toxic Heavy Metal-Polluted Soil by PSB and Biochar
5. Conclusions
Supplementary Materials
Author Contributions
Funding
Institutional Review Board Statement
Informed Consent Statement
Data Availability Statement
Conflicts of Interest
References
- Shen, Z.T.; Hou, D.Y.; Zhao, B.; Xu, W.D.; Ok, Y.S.; Bolan, N.S.; Alessi, D.S. Stability of heavy metals in soil washing residue with and without biochar addition under accelerated ageing. Sci. Total Environ. 2018, 619, 185–193. [Google Scholar] [CrossRef] [PubMed]
- Han, H.; Wu, X.J.; Yao, L.G.; Chen, Z.J. Heavy metal-immobilizing bacteria combined with calcium polypeptides reduced the uptake of Cd in wheat and shifted the rhizosphere bacterial communities. Environ. Pollut. 2020, 267, 115432. [Google Scholar] [CrossRef] [PubMed]
- National Soil Pollution Status Survey Bulletin. Ministry of Ecological and Environment of the People’s Republic of China. Available online: http://www.mee.gov.cn/gkml/sthjbgw/qt/201404/t20140417270670wh.htm (accessed on 17 April 2014).
- Manzetti, S.; van der Spoel, E.R.; van der Spoel, D. Chemical Properties, Environmental Fate, and Degradation of Seven Classes of Pollutants. Chem. Res. Toxicol. 2014, 27, 713–737. [Google Scholar] [CrossRef] [PubMed]
- Kalia, K.; Flora, S.J.S. Strategies for safe and effective therapeutic measures for chronic arsenic and lead poisoning. J. Occup. Health 2005, 47, 1–21. [Google Scholar] [CrossRef] [Green Version]
- Huang, H.; Chen, H.P.; Kopittke, P.M.; Kretzschmar, R.; Zhao, F.J.; Wang, P. The Voltaic Effect as a Novel Mechanism Controlling the Remobilization of Cadmium in Paddy Soils during Drainage. Environ. Sci. Technol. 2021, 55, 1750–1758. [Google Scholar] [CrossRef]
- Godt, J.; Scheidig, F.; Grosse-Siestrup, C.; Esche, V.; Brandenburg, P.; Reich, A.; Groneberg, D.A. The toxicity of cadmium and resulting hazards for human health. J. Occup. Med. Toxicol. 2006, 11, 22. [Google Scholar] [CrossRef] [Green Version]
- Melvin, S.S.; Selvarajan, E.; Sarswat, A.; Muthukumar, H.; Jacob, J.M.; Mukesh, M.; Pugazhendhi, A. Nanomaterials as adsorbents for As(III) and As(V) removal from water: A review. J. Hazard. Mater. 2022, 424, 127572. [Google Scholar]
- Melvin, S.S.; Selvarajan, E.; Chidambaram, R.; Patel, H.; Brindhadevi, K. Clean approach for chromium removal in aqueous environments and role of nanomaterials in bioremediation: Present research and future perspective. Chemosphere 2021, 284, 131368. [Google Scholar]
- Li, Z.; Su, M.; Duan, X.F.; Tian, D.; Yang, M.Y.; Guo, J.Y.; Wang, S.M.; Hu, S.J. Induced biotransformation of lead II by Enterobacter sp in SO4-PO4-Cl-Para solution. J. Hazard. Mater. 2018, 357, 491–497. [Google Scholar] [CrossRef]
- Chen, H.M.; Zhang, J.W.; Tang, L.Y.; Su, M.; Tian, D.; Zhang, L.; Li, Z.; Hu, S.J. Enhanced Pb immobilization via the combination of biochar and phosphate solubilizing bacteria. Environ. Int. 2019, 127, 395–401. [Google Scholar] [CrossRef]
- Ahmad, M.; Rajapaksha, A.U.; Lim, J.E.; Zhang, M.; Bolan, N.; Mohan, D.; Vithanage, M.; Lee, S.S.; Ok, Y.S. Biochar as a sorbent for contaminant management in soil and water: A review. Chemosphere 2014, 99, 19–33. [Google Scholar] [CrossRef] [PubMed]
- Teng, Z.; Zhao, X.; Yuan, J.; Li, M.; Li, T. Phosphate functionalized iron based nanomaterials coupled with phosphate solubilizing bacteria as an efficient remediation system to enhance lead passivation in soil. J. Hazard. Mater. 2021, 419, 126433. [Google Scholar] [CrossRef] [PubMed]
- Teng, Z.D.; Shao, W.; Zhang, K.Y.; Huo, Y.Q.; Zhu, J.; Li, M. Pb biosorption by Leclercia adecarboxylata: Protective and immobilized mechanisms of extracellular polymeric substances. Chem. Eng. J. 2019, 375, 122113. [Google Scholar] [CrossRef]
- Giller, K. Toxicity of heavy metals to microorganisms and microbial processes in agricultural soils: A review. Soil Biol. Biochem. 1998, 30, 1389–1414. [Google Scholar] [CrossRef]
- Jiang, Z.Q.; Jiang, L.; Zhang, L.; Su, M.; Tian, D.; Wang, T.; Sun, Y.L.; Nong, Y.; Hu, S.J.; Wang, S.M.; et al. Contrasting the Pb II and Cd II tolerance of Enterobacter sp. via its cellular stress responses. Environ. Microbiol. 2020, 22, 1507–1516. [Google Scholar] [CrossRef]
- Steiner, C.; Das, K.C.; Garcia, M.; Forster, B.; Zech, W. Charcoal and smoke extract stimulate the soil microbial community in a highly weathered xanthic Ferralsol. Pedobiologia 2008, 51, 359–366. [Google Scholar] [CrossRef]
- Liang, B.Q.; Lehmann, J.; Sohi, S.P.; Thies, J.E.; O’Neill, B.; Trujillo, L.; Gaunt, J.; Solomon, D.; Grossman, J.; Neves, E.G.; et al. Black carbon affects the cycling of non-black carbon in soil. Org. Geochem. 2010, 41, 206–213. [Google Scholar] [CrossRef]
- Smith, J.L.; Collins, H.P.; Bailey, V.L. The effect of young biochar on soil respiration. Soil Biol. Biochem. 2010, 42, 2345–2347. [Google Scholar] [CrossRef]
- Zhu, X.M.; Chen, B.L.; Zhu, L.Z.; Xing, B.S. Effects and mechanisms of biochar-microbe interactions in soil improvement and pollution remediation: A review. Environ. Pollut. 2017, 227, 98–115. [Google Scholar] [CrossRef]
- Lian, F.; Xing, B.S. Black Carbon Biochar in Water/Soil Environments: Molecular Structure, Sorption, Stability, and Potential Risk. Environ. Sci. Technol. 2017, 51, 13517–13532. [Google Scholar] [CrossRef]
- Shen, Z.T.; Tian, D.; Zhang, X.Y.; Tang, L.Y.; Su, M.; Zhang, L.; Li, Z.; Hu, S.J.; Hou, D.Y. Mechanisms of biochar assisted immobilization of Pb2+ by bioapatite in aqueous solution. Chemosphere 2018, 190, 260–266. [Google Scholar] [CrossRef] [PubMed]
- Chen, H.M.; Tang, L.Y.; Wang, Z.J.; Su, M.; Tian, D.; Zhang, L.; Li, Z. Evaluating the protection of bacteria from extreme Cd II stress by P-enriched biochar. Environ. Pollut. 2020, 263, 114483. [Google Scholar] [CrossRef] [PubMed]
- Zhang, M.Y.; Zhang, L.; Riaz, M.; Xia, H.; Jiang, C.C. Biochar amendment improved fruit quality and soil properties and microbial communities at different depths in citrus production. J. Clean. Prod. 2021, 292, 126062. [Google Scholar] [CrossRef]
- Wang, Y.Y.; Liu, Y.D.; Zhan, W.H.; Zheng, K.X.; Wang, J.N.; Zhan, C.S.; Chen, R.H. Stabilization of heavy metal-contaminated soils by biochar: Challenges and recommendations. Sci. Total Environ. 2020, 729, 139060. [Google Scholar] [CrossRef] [PubMed]
- Helmke, P.A.; Sparks, D.L. Methods of Soil Analysis, Part 3: Chemical Methods; ASA, CSSA, SSSA Books: Burlington, MA, USA, 1996; ISBN 0891188258. [Google Scholar]
- Nelson, D.W. Total carbon, organic carbon, and organic matter. In Methods of Soil Analysis: Part 3 Chemical Methods; ASA, CSSA, SSSA Books: Madison, CT, USA, 1996; Volume 9, pp. 961–1010. [Google Scholar] [CrossRef]
- Watanabe, F.S.; Olsen, S.R. Test of an Ascorbic Acid Method for Determining Phosphorus in Water and NaHCO3 Extracts from Soil. Soil Sci. Soc. Am. J. 1965, 291, 677–678. [Google Scholar] [CrossRef]
- Handreck, K.; Black, N. Growing Media for Ornamental Plant and Turf; University of New South Wales Press: Sydney, Australia, 2005. [Google Scholar]
- Frostegård, A.; Bååth, E. The use of phospholipid fatty acid analysis to estimate bacterial and fungal biomass in soil. Biol. Fertil. Soils 1996, 221–222, 59–65. [Google Scholar] [CrossRef]
- Chen, H.M.; Ma, J.Y.; Wei, J.X.; Gong, X.; Yu, X.C.; Guo, H.; Zhao, Y.W. Biochar increases plant growth and alters microbial communities via regulating the moisture and temperature of green roof substrates. Sci. Total Environ. 2018, 635, 333–342. [Google Scholar] [CrossRef]
- Denef, K.; Roobroeck, D.; Wadu, M.C.M.; Lootens, P.; Boeckx, P. Microbial community composition and rhizodeposit-carbon assimilation in differently managed temperate grassland soils. Soil Biol. Biochem. 2009, 41, 144–153. [Google Scholar] [CrossRef]
- Frostegard, A.; Tunlid, A.; Baath, E. Use and misuse of PLFA measurements in soils. Soil Biol. Biochem. 2011, 43, 1621–1625. [Google Scholar] [CrossRef]
- Wan, X.H.; Huang, Z.Q.; He, Z.M.; Yu, Z.P.; Wang, M.H.; Davis, M.R.; Yang, Y.S. Soil C:N ratio is the major determinant of soil microbial community structure in subtropical coniferous and broadleaf forest plantations. Plant Soil 2015, 387, 103–116. [Google Scholar] [CrossRef]
- Swallow, M.; Quideau, S.A.; MacKenzie, M.D.; Kishchuk, B.E. Microbial community structure and function: The effect of silvicultural burning and topographic variability in northern Alberta. Soil Biol. Biochem. 2009, 41, 770–777. [Google Scholar] [CrossRef]
- Shen, Z.T.; Zhang, Y.Y.; Jin, F.; McMillan, O.; Al-Tabbaa, A. Qualitative and quantitative characterisation of adsorption mechanisms of lead on four biochars. Sci. Total Environ. 2017, 609, 1401–1410. [Google Scholar] [CrossRef] [PubMed] [Green Version]
- Chen, H.; Tang, L.; Hu, Y.; Geng, Y.; Meng, L.; Li, W.; Wang, Z.; Li, Z.; Huo, Z. Investigating the pathways of enhanced Pb immobilization by chlorine-loaded biochar. J. Clean. Prod. 2022, 344, 131097. [Google Scholar] [CrossRef]
- Srivastava, S.; Kausalya, M.T.; Archana, G.; Rupela, O.P.; Naresh-Kumar, G. Efficacy of organic acid secreting bacteria in solubilization of rock phosphate in acidic alfisols. In First International Meeting on Microbial Phosphate Solubilization; Springer: Dordrecht, The Netherlands, 2007. [Google Scholar] [CrossRef]
- Vreulink, J.M.; Esterhuyse, A.; Jacobs, K.; Botha, A. Soil properties that impact yeast and actinomycete numbers in sandy low nutrient soils. Can. J. Microbiol. 2007, 53, 1369–1374. [Google Scholar] [CrossRef]
- Yuan, J.H.; Xu, R.K.; Wang, N.; Li, J.Y. Amendment of Acid Soils with Crop Residues and Biochars. Pedosphere 2011, 21, 302–308. [Google Scholar] [CrossRef]
- Sheng, Y.Q.; Zhu, L.Z. Biochar alters microbial community and carbon sequestration potential across different soil pH. Sci. Total Environ. 2018, 622, 1391–1399. [Google Scholar] [CrossRef]
- Jones, B.E.H.; Haynes, R.J.; Phillips, I.R. Effect of amendment of bauxite processing sand with organic materials on its chemical, physical and microbial properties. J. Environ. Manag. 2010, 91, 2281–2288. [Google Scholar] [CrossRef]
- Brockhoff, S.R.; Christians, N.E.; Killorn, R.J.; Horton, R.; Davis, D.D. Physical and Mineral-Nutrition Properties of Sand-Based Turfgrass Root Zones Amended with Biochar. Agron. J. 2010, 102, 1627–1631. [Google Scholar] [CrossRef]
- Jaafar, N.M.; Clode, P.L.; Abbott, L.K. Biochar-Soil Interactions in Four Agricultural Soils. Pedosphere 2015, 25, 729–736. [Google Scholar] [CrossRef]
- Chan, K.Y.; Van Zwieten, L.; Meszaros, I.; Downie, A.; Joseph, S. Agronomic values of greenwaste biochar as a soil amendment. Aust. J. Soil Res. 2007, 45, 629–634. [Google Scholar] [CrossRef]
- Beck, D.A.; Johnson, G.R.; Spolek, G.A. Amending greenroof soil with biochar to affect runoff water quantity and quality. Environ. Pollut. 2011, 159, 2111–2118. [Google Scholar] [CrossRef] [PubMed]
- Farrell, M.; Kuhn, T.K.; Macdonald, L.M.; Maddern, T.M.; Murphy, D.V.; Hall, P.A.; Singh, B.P.; Baumann, K.; Krull, E.S.; Baldock, J.A. Microbial utilisation of biochar-derived carbon. Sci. Total Environ. 2013, 465, 288–297. [Google Scholar] [CrossRef] [PubMed]
- Keiblinger, K.M.; Hall, E.K.; Wanek, W.; Szukics, U.; Hammerle, I.; Ellersdorfer, G.; Bock, S.; Strauss, J.; Sterflinger, K.; Richter, A.; et al. The effect of resource quantity and resource stoichiometry on microbial carbon-use-efficiency. FEMS Microbiol. Ecol. 2010, 73, 430–440. [Google Scholar] [CrossRef] [PubMed]
- Ng, E.L.; Patti, A.F.; Rose, M.T.; Schefe, C.R.; Wilkinson, K.; Cavagnaro, T.R. Functional stoichiometry of soil microbial communities after amendment with stabilised organic matter. Soil Biol. Biochem. 2014, 76, 170–178. [Google Scholar] [CrossRef] [Green Version]
- Chintala, R.; Schumacher, T.E.; Kumar, S.; Malo, D.D.; Rice, J.A.; Bleakley, B.; Chilom, G.; Clay, D.E.; Julson, J.L.; Papiernik, S.K.; et al. Molecular characterization of biochars and their influence on microbiological properties of soil. J. Hazard. Mater. 2014, 279, 244–256. [Google Scholar] [CrossRef]
- Cheng, S.; Chen, T.; Xu, W.B.; Huang, J.; Jiang, S.J.; Yan, B. Application Research of Biochar for the Remediation of Soil Heavy Metals Contamination: A Review. Molecules 2020, 25, 3167. [Google Scholar] [CrossRef]
- Seshadri, B.; Bolan, N.S.; Choppala, G.; Kunhikrishnan, A.; Sanderson, P.; Wang, H.; Currie, L.D.; Tsang, D.C.W.; Ok, Y.S.; Kim, G. Potential value of phosphate compounds in enhancing immobilization and reducing bioavailability of mixed heavy metal contaminants in shooting range soil. Chemosphere 2017, 184, 197–206. [Google Scholar] [CrossRef]
- Ayati, M.; Madsen, H.E.L. Solubility product of the cadmium phosphate Cd5H2(PO4)4·4H2O at 37 °C. J. Chem. Eng. Data 2001, 46, 113–116. [Google Scholar] [CrossRef]
- Chen, D.; Lan, Z.; Hu, S.; Bai, Y. Effects of nitrogen enrichment on belowground communities in grassland: Relative role of soil nitrogen availability vs. soil acidification. Soil Biol. Biochem. 2015, 89, 99–108. [Google Scholar] [CrossRef]






| Rice Biochar | Soil | |
|---|---|---|
| BET surface area (m2/g) | 19.65 | - |
| Cation exchange capacity (cmol/kg) | 18.62 | - |
| pH | 9.61 | 7.94 |
| Conductivity (mS/cm) | - | 74.43 |
| Total organic carbon (g/kg) | 28.38 | 7.94 |
| Available K (mg/kg) | 153.76 | 108.05 |
| Available P (mg/kg) | 56.22 | 25.45 |
| Pb (mg/kg) | - | 0.06 |
| Cd (mg/kg) | - | 0.03 |
| Order | Treatment | Soil (g) | Pb (mg/g) | Cd (mg/g) | Biochar (g) | Bacterial Solution (×108 Cells/mL) |
|---|---|---|---|---|---|---|
| 1 | Soil + Pb/Cd | 20 | 0.125 | 0.068 | - | - |
| 2 | Soil + PSB + Pb/Cd | 20 | 0.125 | 0.068 | - | 7.8 |
| 3 | Soil + RB + Pb/Cd | 20 | 0.125 | 0.068 | 1 | - |
| 4 | Soil + RB + PSB + Pb/Cd | 20 | 0.125 | 0.068 | 1 | 7.8 |
| Treatment | Water Loss (3 d) (g) | Moisture Content (3 d) | pH after 30 days |
|---|---|---|---|
| Soil + Pb/Cd | 3.29 ± 0.06 | 13.51± 0.19% | 6.90 ± 0.05 |
| Soil + PSB + Pb/Cd | 3.60 ± 0.11 | 12.03 ± 0.23% | 6.57 ± 0.03 |
| Soil + RB + Pb/Cd | 2.58 ± 0.05 | 16.28 ± 0.55% | 7.96 ± 0.06 |
| Soil + RB + PSB + Pb/Cd | 3.75 ± 0.09 | 11.21 ± 0.22% | 7.52 ± 0.08 |
Publisher’s Note: MDPI stays neutral with regard to jurisdictional claims in published maps and institutional affiliations. |
© 2022 by the authors. Licensee MDPI, Basel, Switzerland. This article is an open access article distributed under the terms and conditions of the Creative Commons Attribution (CC BY) license (https://creativecommons.org/licenses/by/4.0/).
Share and Cite
Lai, W.; Wu, Y.; Zhang, C.; Dilinuer, Y.; Pasang, L.; Lu, Y.; Wang, Y.; Chen, H.; Li, Z. Combination of Biochar and Phosphorus Solubilizing Bacteria to Improve the Stable Form of Toxic Metal Minerals and Microbial Abundance in Lead/Cadmium-Contaminated Soil. Agronomy 2022, 12, 1003. https://doi.org/10.3390/agronomy12051003
Lai W, Wu Y, Zhang C, Dilinuer Y, Pasang L, Lu Y, Wang Y, Chen H, Li Z. Combination of Biochar and Phosphorus Solubilizing Bacteria to Improve the Stable Form of Toxic Metal Minerals and Microbial Abundance in Lead/Cadmium-Contaminated Soil. Agronomy. 2022; 12(5):1003. https://doi.org/10.3390/agronomy12051003
Chicago/Turabian StyleLai, Weiwei, Yuanyi Wu, Chaonan Zhang, Yimamu Dilinuer, Lhamo Pasang, Yuqi Lu, Yuhong Wang, Haoming Chen, and Zhen Li. 2022. "Combination of Biochar and Phosphorus Solubilizing Bacteria to Improve the Stable Form of Toxic Metal Minerals and Microbial Abundance in Lead/Cadmium-Contaminated Soil" Agronomy 12, no. 5: 1003. https://doi.org/10.3390/agronomy12051003
APA StyleLai, W., Wu, Y., Zhang, C., Dilinuer, Y., Pasang, L., Lu, Y., Wang, Y., Chen, H., & Li, Z. (2022). Combination of Biochar and Phosphorus Solubilizing Bacteria to Improve the Stable Form of Toxic Metal Minerals and Microbial Abundance in Lead/Cadmium-Contaminated Soil. Agronomy, 12(5), 1003. https://doi.org/10.3390/agronomy12051003

