Melatonin-Induced Resilience Strategies against the Damaging Impacts of Drought Stress in Rice
Abstract
:1. Introduction
2. Materials and Methods
2.1. Experiment Materials
2.2. Experimental Design
2.3. Determination Items and Methods
2.3.1. Determination of Seed Germination Rate
2.3.2. Determination of Growth Indices of Seed Shoots and Roots
2.3.3. Determination of Physiological and Biochemical Indices
2.4. Statistical Analysis
3. Results
3.1. Germination Rate
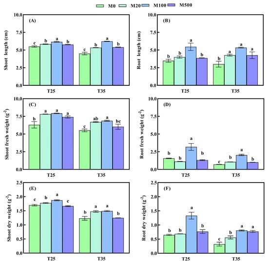
3.2. Biomass of Rice Seed Shoots and Roots
3.3. SOD Activity in Rice Seed Shoots and Roots
3.4. POD Activity of Rice Seed Shoots and Roots
3.5. CAT Activity of Rice Seed Shoots and Roots
3.6. MDA Content in Rice Shoots and Roots
3.7. Soluble Protein Content of Rice Seed Shoots and Roots
3.8. Correlation Analysis of Exogenous Melatonin Concentration on Rice Seed Germination and Seedling Growth under Drought Stress
3.9. Comparison of Differences and Comprehensive Evaluation of Tolerance between Drought Stress and Exogenous Melatonin Interaction
4. Discussion
5. Conclusions
Author Contributions
Funding
Acknowledgments
Conflicts of Interest
References
- Panda, D.; Mishra, S.S.; Behera, P.K. Drought Tolerance in Rice: Focus on Recent Mechanisms and Approaches. Rice Sci. 2021, 28, 119–132. [Google Scholar] [CrossRef]
- Bewley, J.D. Seed Germination and Dormancy. Plant Cell 1997, 9, 1055–1066. [Google Scholar] [CrossRef] [PubMed] [Green Version]
- Ali, S.; Hayat, K.; Iqbal, A.; Xie, L. Implications of Abscisic Acid in the Drought Stress Tolerance of Plants. Agronomy 2020, 10, 1323. [Google Scholar] [CrossRef]
- Liu, J.; Hasanuzzaman, M.; Wen, H.; Zhang, J.; Peng, T.; Sun, H.; Zhao, Q. High Temperature and Drought Stress Cause Abscisic Acid and Reactive Oxygen Species Accumulation and Suppress Seed Germination Growth in Rice. Protoplasma 2019, 256, 1217–1227. [Google Scholar] [CrossRef]
- Fahramand, M.; Mahmoody, M.; Keykha, A.; Noori, M.; Rigi, K. Influence of abiotic stress on proline, Photosynthetic enzymes and growth. Int. Res. J. Appl. Basic Sci. 2014, 8, 257–265. [Google Scholar]
- Oladosu, Y.; Rafii, M.Y.; Samuel, C.; Fatai, A.; Magaji, U.; Kareem, I.; Kamarudin, Z.S.; Muhammad, I.; Kolapo, K. Drought Resistance in Rice from Conventional to Molecular Breeding: A Review. Int. J. Mol. Sci. 2019, 20, 3519. [Google Scholar] [CrossRef] [Green Version]
- Sahebi, M.; Hanafi, M.M.; Rafii, M.Y.; Mahmud, T.M.M.; Azizi, P.; Osman, M.; Abiri, R.; Taheri, S.; Kalhori, N.; Shabanimofrad, M.; et al. Improvement of Drought Tolerance in Rice (Oryza sativa L.): Genetics, Genomic Tools, and the WRKY Gene Family. BioMed Res. Int. 2018, 2018, 1–20. [Google Scholar] [CrossRef] [PubMed] [Green Version]
- Lum, M.S.; Hanafi, M.M.; Rafii, Y.M. Effect of drought stress on growth, proline and antioxidant enzyme activities of upland rice. J. Anim. Plant Sci. 2014, 24, 1487–1493. [Google Scholar]
- Altaf, M.A.; Shahid, R.; Ren, M.; Mora-Poblete, F.; Arnao, M.B.; Naz, S.; Anwar, M.; Altaf, M.M.; Shahid, S.; Shakoor, A.; et al. Phytomelatonin: An Overview of the Importance and Mediating Functions of Melatonin against Environmental Stresses. Physiol. Plant. 2021, 172, 820–846. [Google Scholar] [CrossRef] [PubMed]
- Zhang, M.; He, S.; Qin, B.; Jin, X.; Wang, M.; Ren, C.; Cao, L.; Zhang, Y. Exogenous Melatonin Reduces the Inhibitory Effect of Osmotic Stress on Antioxidant Properties and Cell Ultrastructure at Germination Stage of Soybean. PLoS ONE 2020, 15, e0243537. [Google Scholar] [CrossRef]
- Cao, L.; Jin, X.; Zhang, Y.; Zhang, M.; Wang, Y. Transcriptomic and Metabolomic Profiling of Melatonin Treated Soybean (Glycine max L.) under Drought Stress during Grain Filling Period through Regulation of Secondary Metabolite Biosynthesis Pathways. PLoS ONE 2020, 15, e0239701. [Google Scholar] [CrossRef] [PubMed]
- Cen, H.; Wang, T.; Liu, H.; Tian, D.; Zhang, Y. Melatonin Application Improves Salt Tolerance of Alfalfa (Medicago sativa L.) by Enhancing Antioxidant Capacity. Plants 2020, 9, 220. [Google Scholar] [CrossRef] [PubMed] [Green Version]
- Han, Q.-H.; Huang, B.; Ding, C.-B.; Zhang, Z.-W.; Chen, Y.-E.; Hu, C.; Zhou, L.-J.; Huang, Y.; Liao, J.-Q.; Yuan, S.; et al. Effects of Melatonin on Anti-Oxidative Systems and Photosystem II in Cold-Stressed Rice Seedlings. Front. Plant Sci. 2017, 8, 785. [Google Scholar] [CrossRef] [PubMed]
- Hu, Z.; Fu, Q.; Zheng, J.; Zhang, A.; Wang, H. Transcriptomic and Metabolomic Analyses Reveal That Melatonin Promotes Melon Root Development under Copper Stress by Inhibiting Jasmonic Acid Biosynthesis. Hortic. Res. 2020, 7, 79. [Google Scholar] [CrossRef] [PubMed]
- Ma, G.; Zhang, M.; Xu, J.; Zhou, W.; Cao, L. Transcriptomic Analysis of Short-Term Heat Stress Response in Pinellia Ternata Provided Novel Insights into the Improved Thermotolerance by Spermidine and Melatonin. Ecotoxicol. Environ. Saf. 2020, 202, 110877. [Google Scholar] [CrossRef]
- Cao, Q.; Li, G.; Cui, Z.; Yang, F.; Jiang, X.; Diallo, L.; Kong, F. Seed Priming with Melatonin Improves the Seed Germination of Waxy Maize under Chilling Stress via Promoting the Antioxidant System and Starch Metabolism. Sci. Rep. 2019, 9, 15044. [Google Scholar] [CrossRef] [PubMed] [Green Version]
- Ahmad, S.; Muhammad, I.; Wang, G.Y.; Zeeshan, M.; Yang, L.; Ali, I.; Zhou, X.B. Ameliorative Effect of Melatonin Improves Drought Tolerance by Regulating Growth, Photosynthetic Traits and Leaf Ultrastructure of Maize Seedlings. BMC Plant Biol. 2021, 21, 368. [Google Scholar] [CrossRef] [PubMed]
- Giannopolitis, C.N.; Ries, S.K. Superoxide Dismutases: I. Occurrence in Higher Plants. Plant Physiol. 1977, 59, 309–314. [Google Scholar] [CrossRef]
- Kochba, J.; Lavee, S.; Spiegelroy, P. Differences in peroxidase activity and isoenzymes in embryogenic ane nonembryogenic ‘Shamouti’ orange ovular callus lines. Plant Cell Physiol. 1977, 18, 463–467. [Google Scholar] [CrossRef]
- Aebi, H. Catalase in Vitro. Methods Enzymol. 1984, 105, 121–126. [Google Scholar] [CrossRef] [PubMed]
- Hodges, D.M.; DeLong, J.M.; Forney, C.F.; Prange, R.K. Improving the Thiobarbituric Acid-Reactive-Substances Assay for Estimating Lipid Peroxidation in Plant Tissues Containing Anthocyanin and Other Interfering Compounds. Planta 1999, 207, 604–611. [Google Scholar] [CrossRef]
- Read, S.M.; Northcote, D.H. Minimization of Variationin the Response to Different Protein of the Coomassic Blue Gdye Dinding Assay for Protein. Anal. Biochem. 1981, 116, 53–64. [Google Scholar] [CrossRef]
- Su, D.W.; Mei, L.; Lin, H.; Luo, H.L.; Zhang, L.L.; Song, J.; Song, J.; Liu, J.; Lin, Z.X. Grey correlation analysis of physiological traits related to drought tolerance in Pennisetum sp. Agric. Basic Sci. Technol. 2017, 18, 1158–1163. [Google Scholar]
- Sun, Q.; Hu, J.J. Research Technology of Plant Physiology; Northwest University of Agriculture and Forestry Science and Technology Press: Yangling, China, 2005; p. 67. [Google Scholar]
- Li, H.Y.; Zhai, X.Z.; Zhang, S.C.; Shen, J.M.; Yang, N.; Li, H.R.; Fu, X.Y.; Li, Q.Q.; Li, D.X. Effect of exogenous melatonin on seed germination and leaf physiological characteristic of wheat seedling under drought stress. J. Northwest A F Univ. 2021, 49, 75–84. [Google Scholar]
- Yao, J.X.; Liu, X.L.; Li, S.W.; Ren, F.; Li, Q.H.; Wu, H.T.; Zhai, H.L.; Wu, D.J. Comprehensive evaluation of drought stress response and drought resistance of Elderberry clones at seedling stage. Chin. Agric. Sci. Bull. 2020, 36, 75–81. [Google Scholar]
- Altaf, M.A.; Shahid, R.; Ren, M.-X.; Naz, S.; Altaf, M.M.; Khan, L.U.; Tiwari, R.K.; Lal, M.K.; Shahid, M.A.; Kumar, R.; et al. Melatonin Improves Drought Stress Tolerance of Tomato by Modulating Plant Growth, Root Architecture, Photosynthesis, and Antioxidant Defense System. Antioxidants 2022, 11, 309. [Google Scholar] [CrossRef]
- Ahmad, S.; Wang, G.-Y.; Muhammad, I.; Chi, Y.-X.; Zeeshan, M.; Nasar, J.; Zhou, X.-B. Interactive Effects of Melatonin and Nitrogen Improve Drought Tolerance of Maize Seedlings by Regulating Growth and Physiochemical Attributes. Antioxidants 2022, 11, 359. [Google Scholar] [CrossRef] [PubMed]
- Khattak, W.A.; He, J.; Abdalmegeed, D.; Hu, W.; Wang, Y.; Zhou, Z. Foliar Melatonin Stimulates Cotton Boll Distribution Characteristics by Modifying Leaf Sugar Metabolism and Antioxidant Activities during Drought Conditions. Physiol. Plant. 2022, 174, e13526. [Google Scholar] [CrossRef]
- Bai, Y.; Xiao, S.; Zhang, Z.; Zhang, Y.; Sun, H.; Zhang, K.; Wang, X.; Bai, Z.; Li, C.; Liu, L. Melatonin Improves the Germination Rate of Cotton Seeds under Drought Stress by Opening Pores in the Seed Coat. PeerJ 2020, 8, e9450. [Google Scholar] [CrossRef] [PubMed]
- Wang, J.F.; Yu, M.F.; Li, D.B.; Wu, T.T.; Zheng, B.S.; Yan, D.L. Effects of melatonin on photosynthetic performance and antioxidant enzyme system of Quercus rubra seedlings under simulated drought stress. Ecol. Sci. 2021, 40, 167–174. [Google Scholar]
- Shafiq, S.; Akram, N.A.; Ashraf, M.; AL-Harbi, M.S.; Samra, B.N. Sugar Beet Extract Rich in Glycine Betaine Modulates Oxidative Defense System and Key Physiological Characteristics of Maize under Water-Deficit Stress. PLoS ONE 2021, 16, e0254906. [Google Scholar] [CrossRef] [PubMed]
- Türkan, İ.; Bor, M.; Özdemir, F.; Koca, H. Differential Responses of Lipid Peroxidation and Antioxidants in the Leaves of Drought-Tolerant P. Acutifolius Gray and Drought-Sensitive P. Vulgaris L. Subjected to Polyethylene Glycol Mediated Water Stress. Plant Sci. 2005, 168, 223–231. [Google Scholar] [CrossRef]
- Xiang, J.; Huang, Q.; Ju, C.Y.; Huang, L.X.; Zhao, Z.W. Effects of exogenous melatonin on seed germination and seedling growth of rice under salt stress. Plant Physiol. J. 2021, 57, 393–401. [Google Scholar]
- Wang, P.; Wang, T.B.; Wang, R.; Yan, R.; Shi, Z.; Chang, Q.L.; Wang, F. Effects of exogenous 5-ALA on physiological characteristics and antioxidant enzyme gene expression of maize seedlings under drought stress. Agric. Res. Arid Areas. 2021, 39, 75–81. [Google Scholar]
- Foyer, C.H.; Descourvieres, P.; Kunert, K.J. Protection against Oxygen Radicals: An Important Defence Mechanism Studied in Transgenic Plants. Plant Cell Environ. 1994, 17, 507–523. [Google Scholar] [CrossRef]
- Sofo, A.; Scopa, A.; Nuzzaci, M.; Vitti, A. Ascorbate Peroxidase and Catalase Activities and Their Genetic Regulation in Plants Subjected to Drought and Salinity Stresses. Int. J. Mol. Sci. 2015, 16, 13561–13578. [Google Scholar] [CrossRef] [PubMed] [Green Version]
- Wang, Z.-H.; Wu, X.-S.; Chang, X.-P.; Li, R.-Z.; Jing, R.-L. Chlorophyll Content and Chlorophyll Fluorescence Kinetics Parameters of Flag Leaf and Their Gray Relational Grade with Yield in Wheat: Chlorophyll Content and Chlorophyll Fluorescence Kinetics Parameters of Flag Leaf and Their Gray Relational Grade with Yield in Wheat. ACTA Agron. Sin. 2010, 36, 217–227. [Google Scholar] [CrossRef]
- Chen, X.; Zhang, Z.; Wu, B. Comprehensive evaluation of salt tolerance and screening for salt tolerant accessions of naked oat (Avena nuda L.) at germination stage. Sci. Agric. Sin. 2014, 47, 2038–2046. [Google Scholar]










| Drought Stress Treatment | Melatonin Treatment | Germination Rate (7 d)/% | Germination Rate (10 d)/% | Germination Rate (14 d)/% |
|---|---|---|---|---|
| T25 | M0 | 19.36 ± 1.45 d | 71.01 ± 1.85 c | 81.39 ± 2.91 b |
| M20 | 30.94 ± 0.42 c | 78.93 ± 3.31 b | 88.5 ± 0.21 a | |
| M100 | 42.48 ± 1.14 a | 90.56 ± 0.69 a | 92.68 ± 1.29 a | |
| M500 | 38.39 ± 0.9 b | 82.61 ± 1.38 b | 93.94 ± 0.64 a | |
| T35 | M0 | 0 | 52.2 ± 3.23 c | 75.41 ± 1.91 b |
| M20 | 0 | 61 ± 2.9 bc | 75.66 ± 2.12 b | |
| M100 | 0 | 67.95 ± 4.38 ab | 85.16 ± 0.28 a | |
| M500 | 0 | 75.53 ± 3.56 a | 86.89 ± 0.23 a |
| Indices | Drought Stress Treatment | Melatonin Treatment | Interactive Treatment | ||||||
|---|---|---|---|---|---|---|---|---|---|
| Df | F | p | Df | F | p | Df | F | p | |
| Germination rate (7 d) | 1 | 3938.563 | <0.001 | 3 | 94.312 | <0.001 | 3 | 94.312 | <0.001 |
| Germination rate (10 d) | 1 | 65.489 | <0.001 | 3 | 16.942 | <0.001 | 3 | 2.643 | 0.085 |
| Germination rate (14 d) | 1 | 59.215 | <0.001 | 3 | 27.403 | <0.001 | 3 | 1.994 | 0.156 |
| Shoot length | 1 | 57.112 | <0.001 | 3 | 67.067 | <0.001 | 3 | 13.534 | <0.001 |
| Root length | 1 | 0.005 | 0.943 | 3 | 16.687 | <0.001 | 3 | 0.837 | 0.493 |
| Shoot fresh weight | 1 | 44.097 | <0.001 | 3 | 17.274 | <0.001 | 3 | 0.557 | 0.651 |
| Root fresh weight | 1 | 21.701 | <0.001 | 3 | 34.146 | <0.001 | 3 | 3.846 | 0.03 |
| Shoot dry weight | 1 | 335.614 | <0.001 | 3 | 28.181 | <0.001 | 3 | 2.608 | 0.087 |
| Root dry weight | 1 | 33.087 | <0.001 | 3 | 34.936 | <0.001 | 3 | 7.38 | 0.003 |
| SOD activity of shoot | 1 | 82.163 | <0.001 | 3 | 19.495 | <0.001 | 3 | 6.462 | 0.005 |
| SOD activity of root | 1 | 9.871 | 0.006 | 3 | 5.277 | 0.01 | 3 | 3.7 | 0.034 |
| POD activity of shoot | 1 | 34.983 | <0.001 | 3 | 6.18 | 0.005 | 3 | 3.729 | 0.033 |
| POD activity of root | 1 | 14.308 | 0.002 | 3 | 17.848 | <0.001 | 3 | 3.013 | 0.061 |
| CAT activity of shoot | 1 | 61.537 | <0.001 | 3 | 17.758 | <0.001 | 3 | 9.196 | 0.001 |
| CAT activity of root | 1 | 71.022 | <0.001 | 3 | 36.756 | <0.001 | 3 | 4.746 | 0.015 |
| MDA content of shoot | 1 | 4.263 | 0.056 | 3 | 16.494 | <0.001 | 3 | 11.673 | <0.001 |
| MDA content of root | 1 | 1.666 | 0.215 | 3 | 11.224 | <0.001 | 3 | 8.819 | 0.001 |
| Soluble protein content of shoot | 1 | 154.346 | <0.001 | 3 | 58.075 | <0.001 | 3 | 46.606 | <0.001 |
| Soluble protein content of root | 1 | 3.486 | 0.08 | 3 | 9.752 | 0.001 | 3 | 2.543 | 0.093 |
Publisher’s Note: MDPI stays neutral with regard to jurisdictional claims in published maps and institutional affiliations. |
© 2022 by the authors. Licensee MDPI, Basel, Switzerland. This article is an open access article distributed under the terms and conditions of the Creative Commons Attribution (CC BY) license (https://creativecommons.org/licenses/by/4.0/).
Share and Cite
Li, Y.; Zhang, L.; Yu, Y.; Zeng, H.; Deng, L.; Zhu, L.; Chen, G.; Wang, Y. Melatonin-Induced Resilience Strategies against the Damaging Impacts of Drought Stress in Rice. Agronomy 2022, 12, 813. https://doi.org/10.3390/agronomy12040813
Li Y, Zhang L, Yu Y, Zeng H, Deng L, Zhu L, Chen G, Wang Y. Melatonin-Induced Resilience Strategies against the Damaging Impacts of Drought Stress in Rice. Agronomy. 2022; 12(4):813. https://doi.org/10.3390/agronomy12040813
Chicago/Turabian StyleLi, Yufei, Luqian Zhang, Yufeng Yu, Hongli Zeng, Liyuan Deng, Lifei Zhu, Guanghui Chen, and Yue Wang. 2022. "Melatonin-Induced Resilience Strategies against the Damaging Impacts of Drought Stress in Rice" Agronomy 12, no. 4: 813. https://doi.org/10.3390/agronomy12040813
APA StyleLi, Y., Zhang, L., Yu, Y., Zeng, H., Deng, L., Zhu, L., Chen, G., & Wang, Y. (2022). Melatonin-Induced Resilience Strategies against the Damaging Impacts of Drought Stress in Rice. Agronomy, 12(4), 813. https://doi.org/10.3390/agronomy12040813
