Effects of Irrigation Schedules on Maize Yield and Water Use Efficiency under Future Climate Scenarios in Heilongjiang Province Based on the AquaCrop Model
Abstract
1. Introduction
2. Materials and Methods
2.1. Study Site and Field Data Sources
2.2. Future Climate Data
2.3. AquaCrop Model Introduction and Settings
2.4. AquaCrop Calibration and Verification
3. Results
3.1. Performance Evaluation of AquaCrop
3.2. Projected Future Climate Change
3.3. ETa Changes under Different Future Scenarios
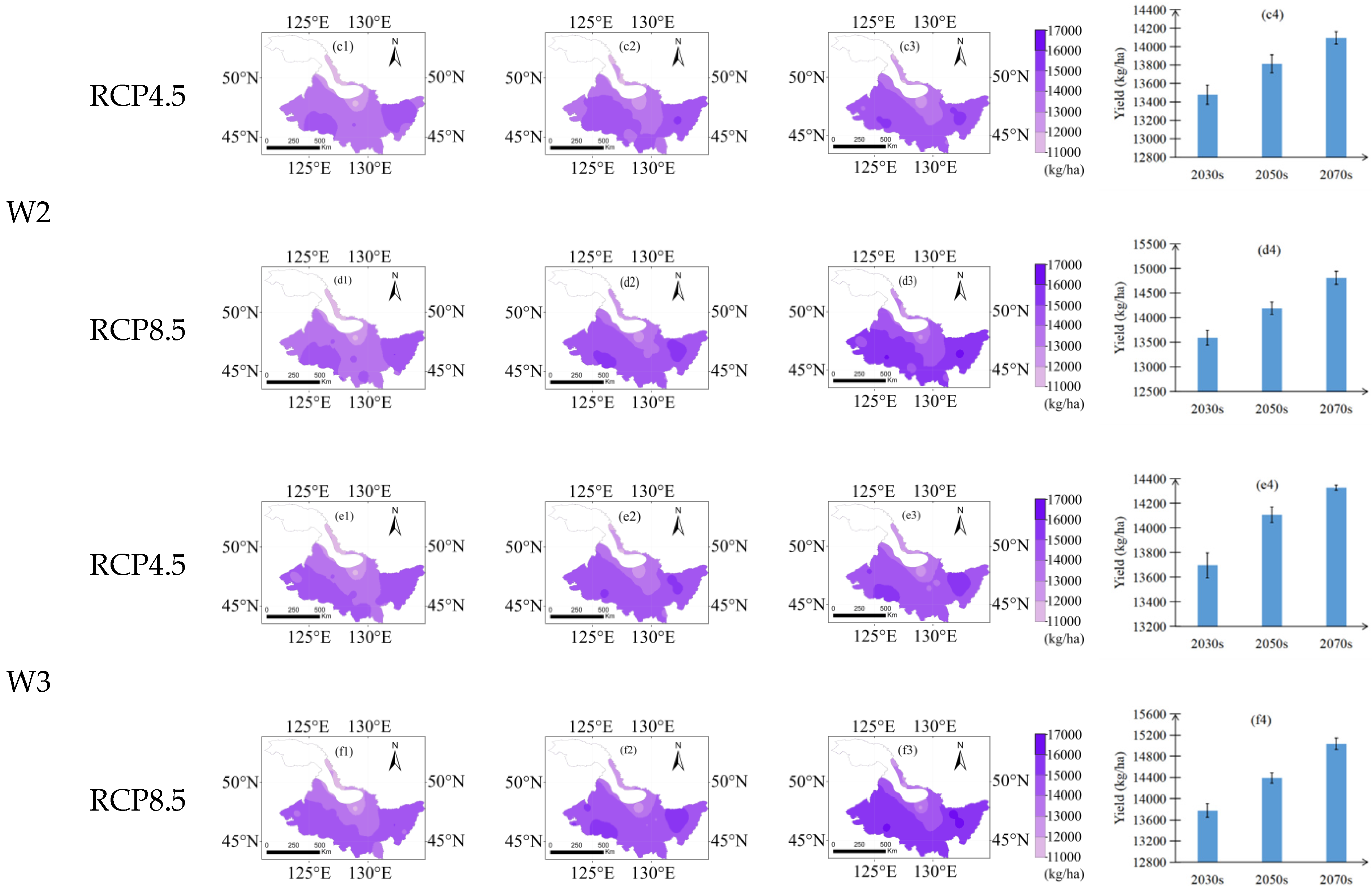
3.4. Yield Changes under Different Future Scenarios
3.5. WUE Changes under Different Future Scenarios
3.6. Assessment of Irrigation Optimization Scenarios and Corresponding Measures
4. Discussion
5. Conclusions
Author Contributions
Funding
Data Availability Statement
Acknowledgments
Conflicts of Interest
References
- Zhou, Y.; Li, N.; Dong, G.; Wu, W. Impact assessment of recent climate change on rice yields in the Heilongjiang Reclamation Area of north-east China. J. Sci. Food Agric. 2013, 93, 2698–2706. [Google Scholar] [CrossRef] [PubMed]
- Piao, S.L.; Ciais, P.L.; Huang, Y.; Shen, Z.H.; Peng, S.S.; Li, J.S.; Zhou, L.P.; Liu, H.Y.; Ma, Y.C.; Ding, Y.H.; et al. The impacts of climate change on water resources and agriculture in China. Nature 2010, 467, 43–51. [Google Scholar] [CrossRef] [PubMed]
- Ti, J.S.; Yang, Y.H.; Yin, X.G.; Liang, J.; Pu, L.L.; Jiang, Y.L.; Wen, X.Y.; Chen, F. Spatio-Temporal Analysis of Meteorological Elements in the North China District of China during 1960–2015. Water 2018, 10, 789. [Google Scholar] [CrossRef]
- Intergovernmental Panel on Climate Change (IPCC). Global warming of 1.5 °C: Impacts of 1.5 °C of Global Warming on Natural and Human Systems; Contribution of Working Group I to the Sixth Assessment Report of the Intergovernmental Panel on Climate Change; IPCC Secretariat: Geneva, Switzerland, 2018. [Google Scholar]
- Lin, Y.; Wenxiang, W.; Quansheng, G. CERES-Maize model-based simulation of climate change impacts on maize yields and potential adaptive measures in Heilongjiang Province, China. J. Sci. Food Agric. 2015, 95, 2838–2849. [Google Scholar] [CrossRef]
- Fayaz, A.; Kumar, Y.R.; Lone, B.A.; Kumar, S.; Dar, Z.A.; Rasool, F.; Abidi, I.; Nisar, F.; Kumar, A. Crop Simulation Models: A Tool for Future Agricultural Research and Climate Change. Asian J. Agric. Ext. Econ. Sociol. 2021, 39, 146–154. [Google Scholar] [CrossRef]
- Wang, W.; Peng, S.; Sun, F.; Xing, W.; Luo, F.; Xu, J. Spatialtemporal variations of rice irrigation water requirements in the mid-lower reaches of Yangtze River under changing climate. Adv. Water Sci. 2012, 23, 656–664. (In Chinese) [Google Scholar] [CrossRef]
- Döll, P. Impact of climate change and variability on irrigation requirement: A global perspective. Clim. Chang. 2002, 54, 269–293. [Google Scholar] [CrossRef]
- Tao, F.; Hayashi, Y.; Zhao, Z.; Sakamoto, T.; Yokozawa, M. Global warming, rice production, and water use in China: Developing a probabilistic assessment. Agric. For. Meteorol. 2008, 148, 94–110. [Google Scholar] [CrossRef]
- Zheng, B.; Chenu, K.; Dreccer, M.; Chapman, S. Breeding for the future: What are the potential impacts of future frost and heat events on sowing and flowering time requirements for Australian bread wheat (Triticum aestivium) varieties? Glob. Chang. Biol. 2012, 18, 2899–2914. [Google Scholar] [CrossRef]
- Kang, Y.; Khan, S.; Ma, X. Climate change impacts on crop yield, crop water productivity and food security—A review. Prog. Nat. Sci. 2009, 19, 1665–1674. [Google Scholar] [CrossRef]
- Sun, H.; Zhang, X.; Liu, X.; Liu, X.; Shao, L.; Chen, S.; Wang, J.; Dong, X. Impact of different cropping systems and irrigation schedules on evapotranspiration, grain yield and groundwater level in the North China Plain. Agric. Water Manag. 2019, 211, 202–209. [Google Scholar] [CrossRef]
- Aik, M.; Yetk, A.K.; Candoan, B.N.; Kuscu, H. Determining the yield responses of maize plant under different irrigation scenarios with AquaCrop model. Int. J. Agric. Environ. Food Sci. 2021, 5, 260–270. [Google Scholar] [CrossRef]
- Sandhu, R.; Irmak, S. Performance of AquaCrop model in simulating maize growth, yield, and evapotranspiration under rainfed, limited and full irrigation. Agric. Water Manag. 2019, 223, 105687. [Google Scholar] [CrossRef]
- Kang, S.Z.; Shi, W.J.; Hu, X.T.; Liang, Y.L. Effects of regulated deficit irrigation on physiological indexes and water use efficiency of maize. Nongye Gongcheng Xuebao 1998, 4, 83–87. (In Chinese) [Google Scholar]
- Lv, P.P.; Lv, Z.D.; Bi, Y.J. Effects of regulated deficit irrigation with different irrigation amount on growth and yield of maize. Glob. Water Resour. Dev. Manag. 2020, 2, 9–13. (In Chinese) [Google Scholar] [CrossRef]
- Trout, T.J.; Dejonge, K.C. Water productivity of maize in the US high plains. Irrig. Sci. 2017, 35, 251–266. [Google Scholar] [CrossRef]
- Volk, J.; Gornott, C.; Sieber, S.; Lana, M.A. Can Tanzania’s adaptation measures prevent future maize yield decline? A simulation study from Singida region. Reg. Environ. Chang. 2021, 21, 1–13. [Google Scholar] [CrossRef]
- Jalil, A.; Akhtar, F.; Awan, U.K. Evaluation of the AquaCrop model for winter wheat under different irrigation optimization strategies at the downstream Kabul River Basin of Afghanistan. Agric. Water Manag. 2020, 240, 1–8. [Google Scholar] [CrossRef]
- Heilongjiang Provincial People’s Government. Heilongjiang Yearbook; Editorial Department: Harbin, China, 2020; pp. 244–245. ISSN 1008-0791.
- Zhang, D.H.; Zhou, H.Q.; Lou, X. Problems and Countermeasures in Grain production in Heilongjiang Province. Res. Agric. Mod. 2012, 33, 411–414. (In Chinese) [Google Scholar]
- Yang, C.Y.; Fraga, H.; Ieperen, W.V.; Santos, J.A. Assessment of irrigated maize yield response to climate change scenarios in Portugal. Agric. Water Manag. 2017, 184, 178–190. [Google Scholar] [CrossRef]
- Cui, Y.; Lin, H.; Xie, Y.; Liu, S. Research on Application of AquaCrop Model in Crop Yield Prediction in Black Soil Region of Northeast China. Sheng Tai Xue Bao 2021, 47, 1–12. (In Chinese) [Google Scholar]
- Abedinpour, M.; Sarangi, A.; Rajput, T.B.S.; Singh, M.; Pathak, H.; Ahmad, T. Performance evaluation of AquaCrop model for maize crop in a semi-arid environment. Agric. Water Manag. 2012, 110, 55–66. [Google Scholar] [CrossRef]
- Shirazi, S.Z.; Mei, X.; Liu, B.; Liu, Y. Assessment of the AquaCrop Model under different irrigation scenarios in the North China Plain. Agric. Water Manag. 2021, 257, 107120. [Google Scholar] [CrossRef]
- Abdalhi, M.A.M.; Jia, Z.H. Crop yield and water saving potential for AquaCrop model under full and deficit irrigation managements. Ital. J. Agron. 2018, 13, 1288. [Google Scholar] [CrossRef]
- Nie, T.Z.; Jiao, Y.; Tang, Y.; Li, N.; Wang, T.Y.; Du, C.; Zhang, Z.X.; Li, T.C.; Zhu, S.J.; Sun, Z.Y.; et al. Study on the Water Supply and the Requirements, Yield, and Water Use Efficiency of Maize in Heilongjiang Province Based on the AquaCrop Model. Water 2021, 13, 2665. [Google Scholar] [CrossRef]
- Adeboye, O.B.; Schultz, B.; Adeboye, A.P.; Adekalu, K.O.; Osunbitan, J.A. Application of the AquaCrop model in decision support for optimization of nitrogen fertilizer and water productivity of soybeans. Inf. Process. Agric. 2020, 8, 528–534. [Google Scholar] [CrossRef]
- Wang, B.; Li, F.H.; Huang, Y.; Sun, Y.L.; Zhang, Z.X. Experimental Study on High Efficient Regulated Deficit Irrigation System for Maize in Cold Area and Black Soil Area. J. Irrig. Drain. 2013, 32, 113–115. (In Chinese) [Google Scholar] [CrossRef]
- Xiao, D.; Liu, D.L.; Feng, P.; Wang, B.; Tang, J. Future climate change impacts on grain yield and groundwater use under different cropping systems in the North China Plain. Agric. Water Manag. 2021, 246, 106685. [Google Scholar] [CrossRef]
- Liu, D.L.; O’Leary, G.J.; Christy, B.; Macadam, I.; Wang, B.; Anwar, M.R.; Weeks, A. Effects of different climate downscaling methods on the assessment of climate change impacts on wheat cropping systems. Clim. Chang. 2017, 144, 687–701. [Google Scholar] [CrossRef]
- Yang, L.H.; Zhong, P.A.; Zhu, F.L.; Ma, Y.F.; Wang, H.; Li, J.Y.; Xu, C.J. A comparison of the reproducibility of regional precipitation properties simulated respectively by weather generators and stochastic simulation methods. Stoch. Environ. Res. Risk Assess. 2021, 36, 495–509. [Google Scholar] [CrossRef]
- Nie, T.Z.; Zhang, Z.X.; Qi, Z.J.; Chen, P.; Sun, Z.Y.; Liu, X.C. Characterizing Spatiotemporal Dynamics of CH4 Fluxes from Rice Paddies of Cold Region in Heilongjiang Province under Climate Change. Int. J. Environ. Res. Public Health 2019, 16, 692. [Google Scholar] [CrossRef] [PubMed]
- Moss, R.H.; Edmonds, J.A.; Hibbard, K.A.; Manning, M.R.; Rose, S.K.; Vuuren Van, D.P.; Carter, T.R.; Emori, S.; Kainuma, M.; Kram, T. The next generation of scenarios for climate change research and assessment. Nature 2010, 463, 747–756. [Google Scholar] [CrossRef] [PubMed]
- Xiao, D.; Liu, D.; Wang, B.; Feng, P.; Tang, J. Climate change impact on yields and water use of wheat and maize in the North China Plain under future climate change scenarios. Agric. Water Manag. 2020, 238, 106238. [Google Scholar] [CrossRef]
- Tavakoli, A.R.; Moghadam, M.M.; Sepaskhah, A.R. Evaluation of the AquaCrop model for barley production under deficit irrigation and rainfed condition in Iran. Agric. Water Manag. 2015, 161, 136–146. [Google Scholar] [CrossRef]
- Nie, T.Z.; Zhang, Z.X.; Lin, Y.Y.; Chen, P.; Sun, Z.Y. Temporal and spatial distribution characteristics of corn water demand in Heilongjiang Province from 1959 to 2015. Nongye Jixie Xuebao 2018, 49, 217–227. (In Chinese) [Google Scholar] [CrossRef]
- Bai, R.; Yan, H.L.; Xue, Y.M.; Yu, S.Q. The influence of climatic conditions on the growth and development of maize. J. Agric. Catastrophology 2021, 11, 89–90. (In Chinese) [Google Scholar]
- Xiao, D.P.; Tao, F.L. Contributions of cultivars, management and climate change to winter wheat yield in the North China Plain in the past three decades. Eur. J. Agron. 2014, 52, 112–122. [Google Scholar] [CrossRef]
- Tao, F.L.; Xiao, D.P.; Zhang, S.; Zhang, Z.; Rotter, R.P. Wheat yield benefited from increases in minimum temperature in the Huang-Huai-Hai Plain of China in the past three decades. Agric. For. Meteorol. 2017, 239, 1–14. [Google Scholar] [CrossRef]
- Zhang, J.P.; Wang, C.Y.; Yang, X.G.; Zhao, Y.X.; Liu, Z.J.; Wang, J.; Chen, Y.Y. Forecast of the impact of future climate change on corn water demand in the three provinces of Northeast China. Nongye Gongcheng Xuebao 2009, 25, 50–55. (In Chinese) [Google Scholar] [CrossRef]
- Jin, N.; He, J.Q.; Fang, Q.; Chen, C.; Yu, Q. The Responses of Maize Yield and Water Use to Growth Stage-Based Irrigation on the Loess Plateau in China. Int. J. Plant Prod. 2020, 14, 621–633. [Google Scholar] [CrossRef]
- Yu, W.Y.; Ji, R.P.; Feng, R.; Zhao, X.L.; Zhang, Y.S. Responses of maize leaf photosynthetic characteristics and water use efficiency to water stress in different growth stages. Acta Ecol. Sin. 2015, 9, 2902–2909. (In Chinese) [Google Scholar] [CrossRef][Green Version]
- Araya, A.; Hoogenboom, G.; Luedeling, E.; Hadgu, K.M.; Kisekka, I.; Martorano, L.G. Assessment of maize growth and yield using crop models under present and future climate in southwestern Ethiopia. Agric. For. Meteorol. 2015, 214, 252–265. [Google Scholar] [CrossRef]
- Dixit, P.N.; Telleria, R.; Khatibb, A.N.A.; Allouzi, S.F. Decadal analysis of impact of future climate on wheat production in dry Mediterranean environment: A case of Jordan. Sci. Total Environ. 2018, 610, 219–233. [Google Scholar] [CrossRef] [PubMed]
- Saddique, Q.; Liu, D.L.; Wang, B.; Feng, P.Y.; Cai, H. Modelling future climate change impacts on winter wheat yield and water use: A case study in Guanzhong Plain, northwestern China. Eur. J. Agron. 2020, 119, 126113. [Google Scholar] [CrossRef]
- Li, Y.; Tao, H.; Zhang, B.; Huang, S.; Wang, P. Timing of water deficit limits maize kernel setting in association with changes in the source-flow-sink relationship. Front. Plant Sci. 2018, 9, 01326. [Google Scholar] [CrossRef] [PubMed]
- NeSmith, D.S.; Ritchie, J. Maize (Zea mays L.) response to a severe soil water-deficit during grain-filling. Field Crops Res. 1992, 29, 23–35. [Google Scholar] [CrossRef]
- Cantore, V.; Lechkar, O.; Karabulut, E.; Sellami, M.H.; Albrizio, R.; Boari, F.; Stellacci, A.M.; Todorovic, M. Combined effect of deficit irrigation and strobilurin application on yield, fruit quality and water use efficiency of “cherry” tomato (Solanum lycopersicum L.). Agric. Water Manag. 2016, 167, 53–61. [Google Scholar] [CrossRef]
- Sun, J.P.; Wei, Y.X.; Wang, Y.Y. Water-saving and Yield-increasing Effects of Regulated Deficit Irrigation of Corn in Western Heilongjiang. J. Agric. Mech. Res. 2016, 38, 186–190. (In Chinese) [Google Scholar] [CrossRef]
- Cai, H.J.; Kang, S.Z.; Zhang, Z.H.; Chai, H.M.; Hu, X.T.; Wang, J. Research on the Optimal Time and the Degree of Regulated Deficit Irrigation for Crop. Nongye Gongcheng Xuebao 2000, 3, 24–27. (In Chinese) [Google Scholar] [CrossRef]
- Wei, Y.X.; Ma, Y.Y.; Liu, H.; Zhang, Y.F.; Yang, J.M.; Zhang, Y. Drip Irrigation Maize Plant and Soil Moisture and Water-saving and Yield-increasing Effects under Regulated Deficit Irrigation. Nongye Jixie Xuebao 2018, 49, 253–260. (In Chinese) [Google Scholar] [CrossRef]
















| Year | Treatments | Irrigation Upper and Lower Limit in Different Growth Stages of Maize (% of FC) | |||
|---|---|---|---|---|---|
| Emergence Stage | Jointing Stage | Tasseling Stage | Filling Stage | ||
| 2014 | T1 | 80–100% | 50–100% | 80–100% | 80–100% |
| T2 | 80–100% | 80–100% | 80–100% | 50–100% | |
| T3 | 80–100% | 80–100% | 80–100% | 80–100% | |
| 2015 | T4 | 80–100% | 45–100% | 80–100% | 80–100% |
| T5 | 80–100% | 80–100% | 80–100% | 45–100% | |
| T6 | 80–100% | 80–100% | 80–100% | 80–100% | |
| T7 | 100% | 100% | 100% | 100% | |
| 2016 | T8 | 60–70% | 70–80% | 70–80% | 70–80% |
| T9 | 70–80% | 50–60% | 70–80% | 70–80% | |
| T10 | 70–80% | 70–80% | 70–80% | 70–80% | |
| 2017 | T11 | 60–70% | 70–80% | 70–80% | 70–80% |
| T12 | 50–60% | 70–80% | 70–80% | 70–80% | |
| T13 | 70–80% | 70–80% | 70–80% | 70–80% | |
| GCMs | Research Center | Countries and Regions | Grid Resolution |
|---|---|---|---|
| EC-EARTH | EC: Earth Consortium | Europe | 1.125° × 1.125° |
| HadGEM2-ES | United Kingdom(UK) Meteorological Office | UK | 1.25° × 1.88° |
| MIROC5 | The University of Tokyo, National Institute for Environmental | Japan | 1.39° × 1.41° |
| MPI-ESM-MR | Max Planck Institute for Meteorology | Germany | 1.85° × 1.88° |
| Parameter | CV(RMSE) (%) | d | R2 | EF |
|---|---|---|---|---|
| ETa | 8.21 | 0.99 | 0.97 | 0.97 |
| Yield | 4.44 | 0.91 | 0.72 | 0.68 |
Publisher’s Note: MDPI stays neutral with regard to jurisdictional claims in published maps and institutional affiliations. |
© 2022 by the authors. Licensee MDPI, Basel, Switzerland. This article is an open access article distributed under the terms and conditions of the Creative Commons Attribution (CC BY) license (https://creativecommons.org/licenses/by/4.0/).
Share and Cite
Nie, T.; Tang, Y.; Jiao, Y.; Li, N.; Wang, T.; Du, C.; Zhang, Z.; Chen, P.; Li, T.; Sun, Z.; et al. Effects of Irrigation Schedules on Maize Yield and Water Use Efficiency under Future Climate Scenarios in Heilongjiang Province Based on the AquaCrop Model. Agronomy 2022, 12, 810. https://doi.org/10.3390/agronomy12040810
Nie T, Tang Y, Jiao Y, Li N, Wang T, Du C, Zhang Z, Chen P, Li T, Sun Z, et al. Effects of Irrigation Schedules on Maize Yield and Water Use Efficiency under Future Climate Scenarios in Heilongjiang Province Based on the AquaCrop Model. Agronomy. 2022; 12(4):810. https://doi.org/10.3390/agronomy12040810
Chicago/Turabian StyleNie, Tangzhe, Yi Tang, Yang Jiao, Na Li, Tianyi Wang, Chong Du, Zhongxue Zhang, Peng Chen, Tiecheng Li, Zhongyi Sun, and et al. 2022. "Effects of Irrigation Schedules on Maize Yield and Water Use Efficiency under Future Climate Scenarios in Heilongjiang Province Based on the AquaCrop Model" Agronomy 12, no. 4: 810. https://doi.org/10.3390/agronomy12040810
APA StyleNie, T., Tang, Y., Jiao, Y., Li, N., Wang, T., Du, C., Zhang, Z., Chen, P., Li, T., Sun, Z., & Zhu, S. (2022). Effects of Irrigation Schedules on Maize Yield and Water Use Efficiency under Future Climate Scenarios in Heilongjiang Province Based on the AquaCrop Model. Agronomy, 12(4), 810. https://doi.org/10.3390/agronomy12040810

