Carbohydrate Partitioning, Growth and Ionic Compartmentalisation of Wheat Grown under Boron Toxic and Salt Degraded Land
Abstract
1. Introduction
2. Materials and Methods
2.1. Growth Conditions and Treatments Layout
2.2. Wheat Crop Husbandry Practices
2.3. Carbohydrate Analyses
2.4. Quality Assurance
2.5. Boron, Na+, K+, and Cl− Analyses
2.6. Statistical Analysis
3. Results
3.1. Growth and Yield
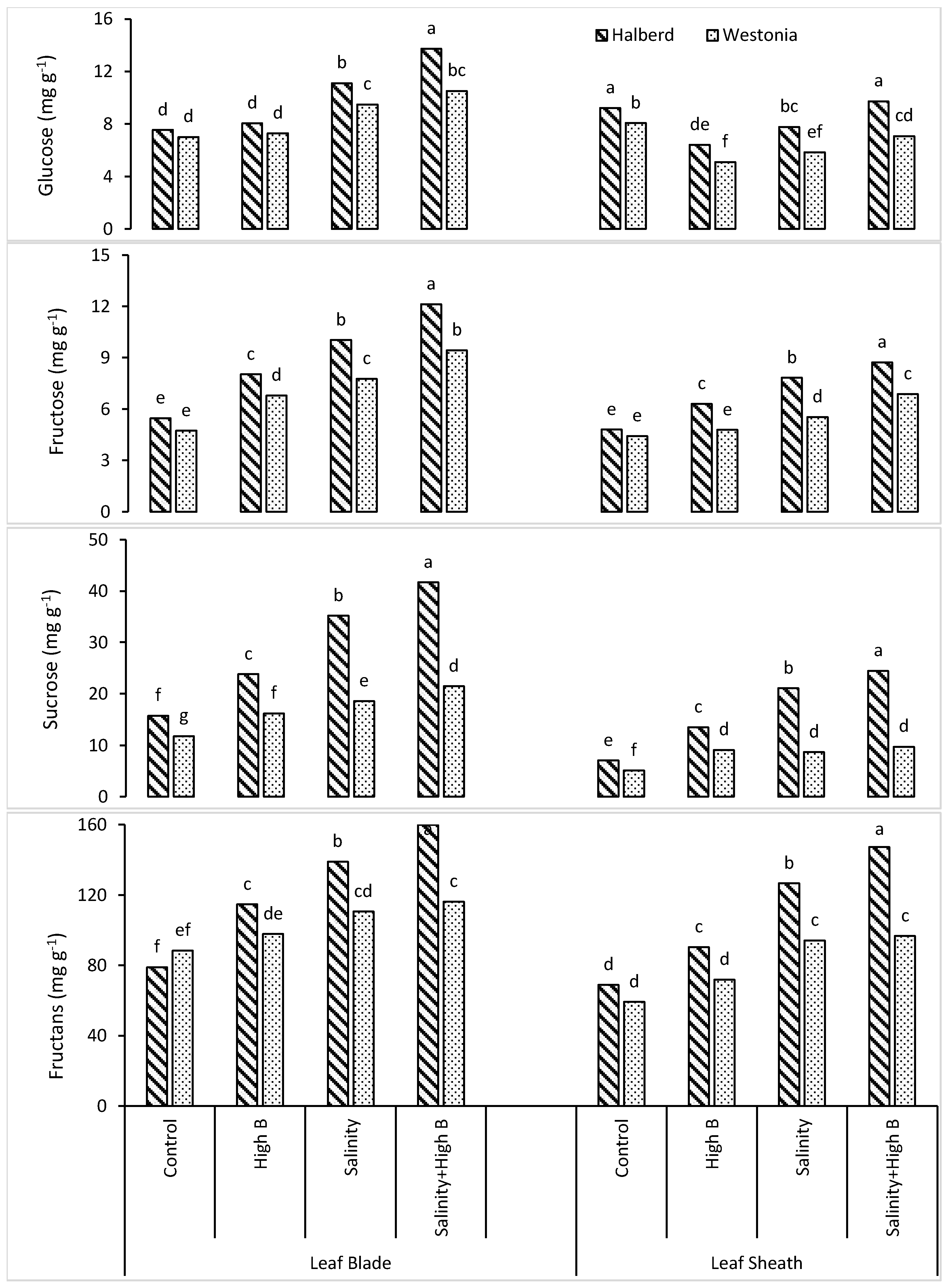
3.2. Carbohydrate Partitioning
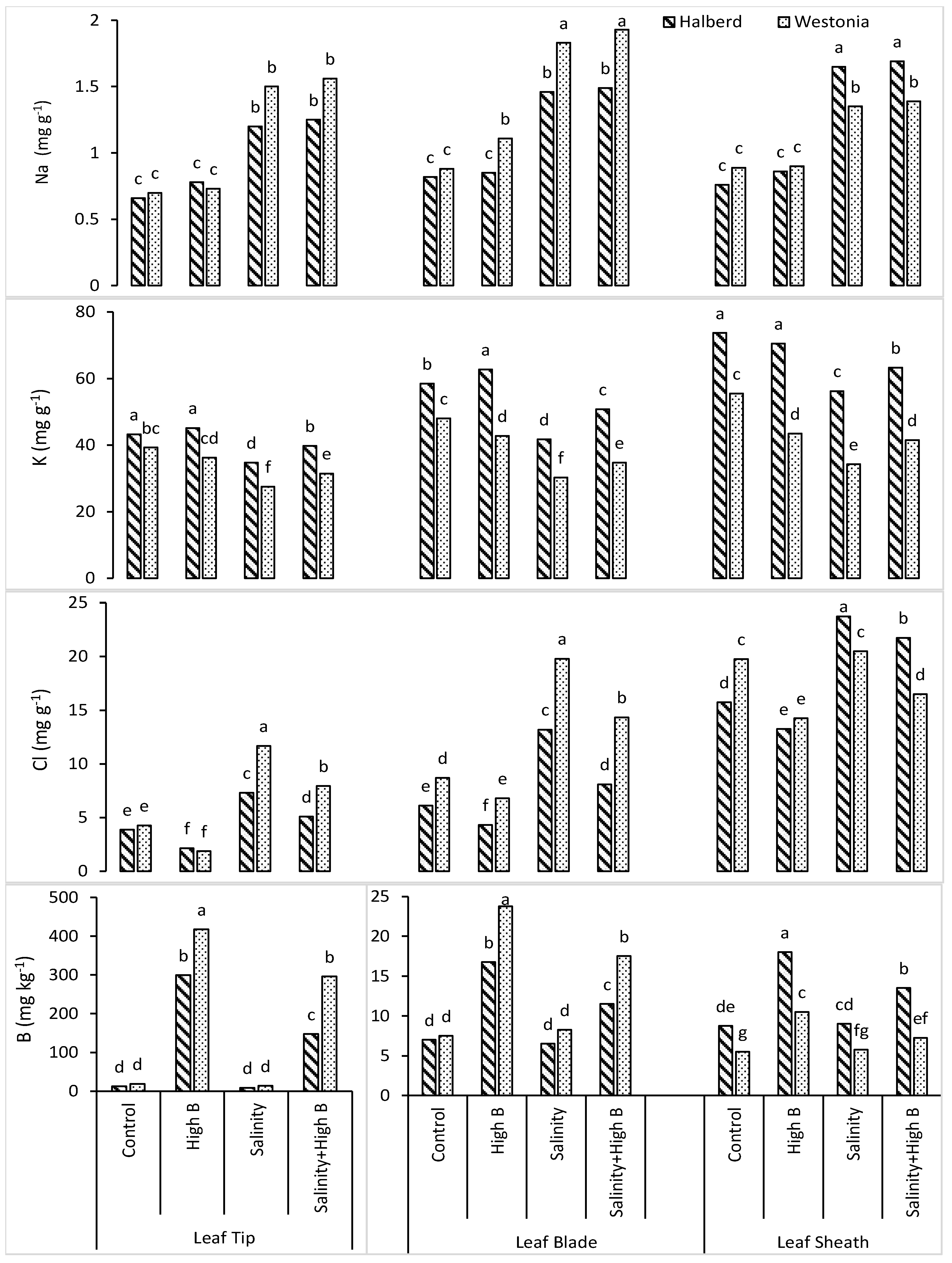
3.3. Ionic Compartmentalisation
4. Discussion
4.1. Wheat Growth and Yield under B and NaCl Toxicity
4.2. Carbohydrate Partitioning in Wheat under B and NaCl Toxicity
4.3. Ionic Compartmentalisation in Wheat under B and NaCl Toxicity
5. Conclusions
Author Contributions
Funding
Institutional Review Board Statement
Informed Consent Statement
Data Availability Statement
Conflicts of Interest
References
- Arbona, V.; Marco, A.J.; Iglesias, D.J.; López-Climent, M.F.; Talon, M.; Gómez-Cadenas, A. Carbohydrate Depletion in Roots and Leaves of Salt-Stressed Potted Citrus Clementina L. Plant Growth Regul. 2005, 46, 153–160. [Google Scholar] [CrossRef]
- Surekha Rao, P.; Mishra, B.; Gupta, S.; Rathore, A. Physiological Response to Salinity and Alkalinity of Rice Genotypes of Varying Salt Tolerance Grown in Field Lysimeters. Physiol. Response Salin. Alkalinity Rice Genotypes Varying Salt Toler. Grown Field Lysimeters 2013, 9, 54–60. [Google Scholar]
- Hayashi, H.; Alla; Mustardy, L.; Deshnium, P.; Ida, M.; Murata, N. Transformation of Arabidopsis Thaliana with the CodA Gene for Choline Oxidase; Accumulation of Glycinebetaine and Enhanced Tolerance to Salt and Cold Stress. Plant J. 1997, 12, 133–142. [Google Scholar] [CrossRef]
- Cheeseman, J.M. Mechanisms of Salinity Tolerance in Plants. Plant Physiol. 1988, 87, 547–550. [Google Scholar] [CrossRef] [PubMed]
- Plaut, Z.; Edelstein, M.; Ben-Hur, M. Overcoming Salinity Barriers to Crop Production Using Traditional Methods. Crit. Rev. Plant Sci. 2013, 32, 250–291. [Google Scholar] [CrossRef]
- Krishnaraj, S.; Thorpe, T.A. Salinity Stress Effects on [14C-1]-and [14C-6]-Glucose Metabolism of a Salt-Tolerant and Salt-Susceptible Variety of Wheat. Int. J. Plant Sci. 1996, 157, 110–117. [Google Scholar] [CrossRef]
- Hamada, A.M.; Khulaef, E.M. Effects of Salinity and Heat-Shock on Wheat Seedling Growth and Content of Carbohydrates, Proteins and Amino Acids. Biol. Plant. 1995, 37, 399–404. [Google Scholar] [CrossRef]
- Munns, R.; Greenway, H.; Delane, R.; Gibbs, J. Ion Concentration and Carbohydrate Status of the Elongating Leaf Tissue 4Hordeum Vulgare Growing at High External NaCl: II. Cause of the Growth Reduction. J. Exp. Bot. 1982, 33, 574–583. [Google Scholar] [CrossRef]
- Munns, R.; Termaat, A. Whole-Plant Responses to Salinity. Aust. J. Plant Physiol. 1986, 13, 143–160. [Google Scholar] [CrossRef]
- Masood, S.; Saleh, L.; Witzel, K.; Plieth, C.; Mühling, K.H. Determination of Oxidative Stress in Wheat Leaves as Influenced by Boron Toxicity and NaCl Stress. Plant Physiol. Biochem. 2012, 56, 56–61. [Google Scholar] [CrossRef]
- Masood, S.; Wimmer, M.A.; Witzel, K.; Zörb, C.; Mühling, K.H. Interactive Effects of High Boron and NaCl Stresses on Subcellular Localization of Chloride and Boron in Wheat Leaves. J. Agron. Crop Sci. 2012, 198, 227–235. [Google Scholar] [CrossRef]
- Naz, T.; Akhtar, J.; Anwar-ul-Haq, M.; Saqib, M.; Iqbal, M.M.; Shahid, M. Interaction of salinity and boron in wheat affects physiological attributes, growth and activity of antioxidant enzymes. Pak. J. Agric. Sci. 2018, 55, 339–347. [Google Scholar] [CrossRef]
- Naz, T.; Akhtar, J.; Iqbal, M.M.; Haq, M.A.U.; Murtaza, G.; Niazi, N.K.; Rehman, A.; Farooq, O.; Ali, M.; Dell, B. Assessment of gas exchange attributes, chlorophyll contents, ionic composition and antioxidant enzymes of bread wheat genotypes in boron toxic, saline and boron toxic-saline soils. Int. J. Agric. Biol. 2019, 21, 1271–1278. [Google Scholar] [CrossRef]
- Chatzistathis, T.; Fanourakis, D.; Aliniaeifard, S.; Kotsiras, A.; Delis, C.; Tsaniklidis, G. Leaf Age-Dependent Effects of Boron Toxicity in Two Cucumis melo Varieties. Agronomy 2021, 11, 759. [Google Scholar] [CrossRef]
- Naz, T.; Akhtar, J.; Iqbal, M.M.; Haq, M.A.; Saqib, M. Boron Toxicity in Salt-Affected Soils and Effects on Plants. In Soil Science: Agricultural and Environmental Prospectives; Hakeem, K., Akhtar, J., Sabir, M., Eds.; Springer International Publishing: Cham, Switzerland, 2016; pp. 259–286. ISBN 9783319344515. [Google Scholar]
- Zhang, J.; Huang, S.; Fosu-Nyarko, J.; Dell, B.; McNeil, M.; Waters, I.; Moolhuijzen, P.; Conocono, E.; Appels, R. The Genome Structure of the 1-FEH Genes in Wheat (Triticum Aestivum L.): New Markers to Track Stem Carbohydrates and Grain Filling QTLs in Breeding. Mol. Breed. 2008, 22, 339–351. [Google Scholar] [CrossRef]
- Zhang, J.; Xu, Y.; Chen, W.; Dell, B.; Vergauwen, R.; Biddulph, B.; Khan, N.; Luo, H.; Appels, R.; van den Ende, W. A Wheat 1-FEH W3 Variant Underlies Enzyme Activity for Stem WSC Remobilization to Grain under Drought. New Phytol. 2015, 205, 293–305. [Google Scholar] [CrossRef]
- Verspreet, J.; Pollet, A.; Cuyvers, S.; Vergauwen, R.; van den Ende, W.; Delcour, J.A.; Courtin, C.M. A Simple and Accurate Method for Determining Wheat Grain Fructan Content and Average Degree of Polymerization. J. Agric. Food Chem. 2012, 60, 2102–2107. [Google Scholar] [CrossRef] [PubMed]
- Bingham, F.T. Boron. In Methods of Soil Analysis, Part 2; Agron. Monogr. No. 9; ASA and SSSA: Madison, WI, USA, 1982; pp. 437–447. [Google Scholar]
- Steel, R.G.; Torrie, J.H.; Dickey, D.A. Principles and Procedures of Statistics: A Biometrical Approach, 3rd ed.; McGraw Hill Book International Co.: Singapore, 1997; pp. 352–358. [Google Scholar]
- Chen, Y.; Fanourakis, D.; Tsaniklidis, G.; Aliniaeifard, S.; Yang, Q.; Li, T. Low UVA intensity during cultivation improves the lettuce shelf-life, an effect that is not sustained at higher intensity. Postharvest Biol. Technol. 2021, 172, 111376. [Google Scholar] [CrossRef]
- Landi, M.; Degl’Innocenti, E.; Pardossi, A.; Guidi, L. Antioxidant and Photosynthetic Responses in Plants under Boron Toxicity: A Review. Am. J. Agric. Biol. Sci. 2012, 7, 255–270. [Google Scholar] [CrossRef]
- Martinez-Ballesta, M.D.C.; Bastías, E.; Zhu, C.; Schäffner, A.R.; González-Moro, B.; González-Murua, C.; Carvajal, M. Boric Acid and Salinity Effects on Maize Roots. Response of Aquaporins ZmPIP1 and ZmPIP2, and Plasma Membrane H+-ATPase, in Relation to Water and Nutrient Uptake. Physiol. Plant. 2008, 132, 479–490. [Google Scholar] [CrossRef]
- Dordas, C.; Brown, P.H. Evidence for Channel Mediated Transport of Boric Acid in Squash (Cucurbita pepo). Plant Soil 2001, 235, 95–103. [Google Scholar] [CrossRef]
- Dordas, C.; Chrispeels, M.J.; Brown, P.H. Permeability and Channel-Mediated Transport of Boric Acid across Membrane Vesicles Isolated from Squash Roots. Plant Physiol. 2000, 124, 1349–1361. [Google Scholar] [CrossRef] [PubMed]
- El-Hamdaoui, A.; Redondo-Nieto, M.; Rivilla, R.; Bonilla, I.; Bolaños, L. Effects of Boron and Calcium Nutrition on the Establishment of the Rhizobium Leguminosarum-Pea (Pisum sativum L.) Symbiosis and Nodule Development under Salt Stress. Plant Cell Environ. 2003, 26, 1003–1011. [Google Scholar] [CrossRef]
- Bonilla, I.; El-Hamdaoui, A.; Bolaños, L. Boron and Calcium Increase Pisum sativum Seed Germination and Seedling Development under Salt Stress. Plant Soil 2004, 267, 97–107. [Google Scholar] [CrossRef]
- Grieve, C.M.; Poss, J.A. Wheat Response to Interactive Effects of Boron and Salinity. J. Plant Nutr. 2000, 23, 1217–1226. [Google Scholar] [CrossRef]
- Wimmer, M.A.; Mühling, K.H.; Läuchli, A.; Brown, P.H.; Goldbach, H.E. The Interaction between Salinity and Boron Toxicity Affects the Subcellular Distribution of Ions and Proteins in Wheat Leaves. Plant Cell Environ. 2003, 26, 1267–1274. [Google Scholar] [CrossRef]
- Smith, T.E.; Grattana, S.R.; Grieveb, C.M.; Possb, J.A.; Suarezb, D.L. Salinity’s Influence on Boron Toxicity in Broccoli: I. Impacts on Yield, Biomass Distribution, and Water Use. Agric. Water Manag. 2010, 97, 777–782. [Google Scholar] [CrossRef]
- Smith, T.E.; Grattan, S.R.; Grieve, C.M.; Poss, J.A.; Läuchli, A.E.; Suarez, D.L. PH Dependent Salinity-Boron Interactions Impact Yield, Biomass, Evapotranspiration and Boron Uptake in Broccoli (Brassica oleracea L.). Plant Soil 2013, 370, 541–554. [Google Scholar] [CrossRef]
- Yermiyahu, U.; Ben-Gal, A.; Keren, R.; Reid, R.J. Combined Effect of Salinity and Excess Boron on Plant Growth and Yield. Plant Soil 2008, 304, 73–87. [Google Scholar] [CrossRef]
- Bastías, E.; Alcaraz-López, C.; Bonilla, I.; Martínez-Ballesta, M.C.; Bolaños, L.; Carvajal, M. Interactions between Salinity and Boron Toxicity in Tomato Plants Involve Apoplastic Calcium. J. Plant Physiol. 2010, 167, 54–60. [Google Scholar] [CrossRef]
- Alpaslan, M.; Gunes, A. Interactive Effects of Boron and Salinity Stress on the Growth, Membrane Permeability and Mineral Composition of Tomato and Cucumber Plants. Plant Soil 2001, 236, 123–128. [Google Scholar] [CrossRef]
- Guidi, L.; Degl’Innocenti, E.; Carmassi, G.; Massa, D.; Pardossi, A. Effects of Boron on Leaf Chlorophyll Fluorescence of Greenhouse Tomato Grown with Saline Water. Environ. Exp. Bot. 2011, 73, 57–63. [Google Scholar] [CrossRef]
- Edelstein, M.; Ben-Hur, M.; Cohen, R.; Burger, Y.; Ravina, I. Boron and Salinity Effects on Grafted and Non-Grafted Melon Plants. Plant Soil 2004, 269, 273–284. [Google Scholar] [CrossRef]
- Eraslan, F.; Inal, A.; Gunes, A.; Alpaslan, M. Impact of Exogenous Salicylic Acid on the Growth, Antioxidant Activity and Physiology of Carrot Plants Subjected to Combined Salinity and Boron Toxicity. Sci. Hortic. 2007, 113, 120–128. [Google Scholar] [CrossRef]
- Eraslan, F.; Inal, A.; Gunes, A.; Alpaslan, M. Boron Toxicity Alters Nitrate Reductase Activity, Proline Accumulation, Membrane Permeability, and Mineral Constituents of Tomato and Pepper Plants. J. Plant Nutr. 2007, 30, 981–994. [Google Scholar] [CrossRef]
- Eraslan, F.; Inal, A.; Pilbeam, D.J.; Gunes, A. Interactive Effects of Salicylic Acid and Silicon on Oxidative Damage and Antioxidant Activity in Spinach (Spinacia oleracea L. Cv. Matador) Grown under Boron Toxicity and Salinity. Plant Growth Regul. 2008, 55, 207–219. [Google Scholar] [CrossRef]
- Bogiani, J.C.; Amaro, A.C.E.; Rosolem, C.A. Carbohydrate Production and Transport in Cotton Cultivars Grown under Boron Deficiency. Sci. Agric. 2013, 70, 442–448. [Google Scholar] [CrossRef][Green Version]
- Fayez, K.A.; Bazaid, S.A. Improving Drought and Salinity Tolerance in Barley by Application of Salicylic Acid and Potassium Nitrate. J. Saudi Soc. Agric. Sci. 2014, 13, 45–55. [Google Scholar] [CrossRef]
- Kerepesi, I.; Galiba, G.; Bányai, É. Osmotic and Salt Stresses Induced Differential Alteration in Water-Soluble Carbohydrate Content in Wheat Seedlings. J. Agric. Food Chem. 1998, 46, 5347–5354. [Google Scholar] [CrossRef]
- Van den Ende, W. Multifunctional Fructans and Raffinose Family Oligosaccharides. Front. Plant Sci. 2013, 4, 247. [Google Scholar]
- Amini, F.; Ehsanpour, A.A. Soluble Proteins, Proline, Carbohydrates and Na+/K+ Changes in Two Tomato (Lycopersicon esculentum Mill.) Cultivars under in Vitro Salt Stress. Am. J. Biochem. Biotechnol. 2005, 1, 204–208. [Google Scholar] [CrossRef]
- Picchioni, G.A.; Miyamoto, S.; Storey, J.B. Boron Uptake and Effects on Growth and Carbohydrate Partitioning of Pistachio Seedlings. J. Am. Soc. Hortic. Sci. 2019, 116, 706–711. [Google Scholar] [CrossRef]
- El-Feky, S.S.; El-Shintinawy, F.A.; Shaker, E.M. Role of CaCl2 and Salicylic Acid on Metabolic Activities and Productivity of Boron Stressed Barley (Hordeum vulgare L.). Int. J. Curr. Microbiol. Appl. Sci. 2014, 3, 368–380. [Google Scholar]
- Choi, E.Y.; Kolesik, P.; McNeill, A.; Collins, H.; Zhang, Q.; Huynh, B.L.; Graham, R.; Stangoulis, J. The Mechanism of Boron Tolerance for Maintenance of Root Growth in Barley (Hordeum vulgare L.). Plant Cell Environ. 2007, 30, 984–993. [Google Scholar] [CrossRef] [PubMed]
- Karimi, S.; Karami, H.; Mokhtassi-Bidgoli, A.; Tavallali, V.; Vahdati, K. Inducing drought tolerance in greenhouse grown Juglans regia by imposing controlled salt stress: The role of osmotic adjustment. Sci. Hortic. 2018, 239, 181–192. [Google Scholar] [CrossRef]
- Parida, A.K.; Das, A.B.; Mohanty, P. Investigations on theantioxidative defence responses to NaCl stress in a mangrove, Bruguiera parviflora: Differential regulations of isoforms ofsome antioxidative enzymes. Plant Growth Regul. 2004, 42, 213–226. [Google Scholar] [CrossRef]
- Kerepesi, I.; Galiba, G. Osmotic and salt stress-induced alteration in soluble carbohydrate content in wheat seedlings. Crop Sci. 2000, 40, 482–487. [Google Scholar] [CrossRef]
- Ahmad, R.; Lim, C.J.; Kwon, S.Y. Glycine betaine: Aversatile compound with great potential for gene pyramiding to improve crop plant performance against environmentalstresses. Plant Biotechnol. Rep. 2013, 7, 49–57. [Google Scholar] [CrossRef]
- Williams, J.H.H.; Williams, A.L.; Pollock, C.J.; Farrar, J.F. Regulation of leaf metabolism by sucrose. Sov. Plant Physiol. 1992, 39, 443–446. [Google Scholar]
- Housley, L.; Pollock, C.J. The metabolism of fructan in higher plants. In Science and Technology of Fructans; Suzuki, M., Chatterton, N.J., Eds.; CRC Press: London, UK, 1993; pp. 191–225. [Google Scholar]
- McKersie, B.D.; Leshem, Y. Stress and Stress Coping in Cultivated Plants; Kluwer Acedmic Publishers: Dordrecht, The Netherlands, 1994; 256p, eISBN 978-94-017-3093-8. [Google Scholar]
- Yau, S.K.; Nachit, M.; Ryan, J. Variation in Growth, Development, and Yield of Durum Wheat in Response to High Soil Boron. II. Differences between Genotypes. Aust. J. Agric. Res. 1997, 48, 951–958. [Google Scholar] [CrossRef]
- Torun, A.A.; Yazici, A.; Erdem, H.; Çakmak, I. Genotypic variation in tolerance to boron toxicity in 70 durum wheat genotypes. Turk. J. Agric. For. 2006, 30, 49–58. [Google Scholar]
- Oertli, J.J. Non-homogeneity of boron distribution in plants and consequence for foliar diagnosis. Commun. Soil Sci. Plant Anal. 1994, 25, 1133–1147. [Google Scholar] [CrossRef]
- Nable, R.O.; Bañuelos, G.S.; Paull, J.G. Boron Toxicity. Plant Soil 1997, 193, 181–198. [Google Scholar] [CrossRef]
- Gupta, U.C. Deficiency, Sufficiency, and Toxicity Levels of Boron in Crops. In Boron and Its Role in Crop Production; CRC Press: Boca Raton, FL, USA, 1993; pp. 137–145. [Google Scholar]
- Nadav, N. Boron Removal from Seawater Reverse Osmosis Permeate Utilizing Selective Ion Exchange Resin. Desalination 1999, 124, 131–135. [Google Scholar] [CrossRef]
- Behzadi Rad, P.; Roozban, M.R.; Karimi, S.; Ghahremani, R.; Vahdati, K. Osmolyte Accumulation and Sodium Compartmentation Has a Key Role in Salinity Tolerance of Pistachios Rootstocks. Agriculture 2021, 11, 708. [Google Scholar] [CrossRef]
- Gupta, B.; Huang, B. Mechanism of salinity tolerance in plants: Physiological, biochemical and molecular characterization. Int. J. Genom. 2014, 2014, 701596. [Google Scholar] [CrossRef]
- Benderradji, L.; Brini, F.; Kellou, K.; Ykhlef, N.; Djekoun, A.; Masmoudi, K.; Bouzerzour, H. Callus Induction, Proliferation, and Plantlets Regeneration of Two Bread Wheat (Triticum aestivum L.) Genotypes under Saline and Heat Stress Conditions. Int. Sch. Res. Not. 2012, 2012, 367851. [Google Scholar]
- Wu, H.; Shabala, L.; Liu, X.; Azzarello, E.; Zhou, M.; Pandolfi, C.; Chen, Z.H.; Bose, J.; Mancuso, S.; Shabala, S. Linking Salinity Stress Tolerance with Tissue-Specific Na+ Sequestration in Wheat Roots. Front. Plant Sci. 2015, 6, 71. [Google Scholar] [CrossRef]
- Reddy, M.P.; Sanish, S.; Iyengar, E.R.R. Photosynthetic studies and compartmentation of ions in different tissues of Salicornia brachiata Roxb. under saline conditions. Photosynthetica 1992, 26, 173–179. [Google Scholar]
- Zhu, J.K. Regulation of ion homeostasis under salt stress. Curr. Opin. Plant Biol. 2003, 6, 441–445. [Google Scholar] [CrossRef]



| Parameter | Value |
|---|---|
| Textural class | Sandy loam |
| Sand (%) | 69.7 |
| Silt (%) | 21.2 |
| Clay (%) | 9.1 |
| pHs | 7.5 |
| ECe (dS m−1) | 0.92 |
| TSS (me L−1) | 9.2 |
| Saturation percentage (%) | 29.6 |
| Organic matter (%) | 0.97 |
| SAR [(mmol L−1)1/2] | 2.91 |
| B (mg kg−1) | 0.43 |
| Parameter | Treatment (d.f. = 3) | Genotype (d.f. = 1) | Treatment × Genotype (d.f. = 3) |
|---|---|---|---|
| Plant height | 265.62 ** | 320.40 ** | 3.17 * |
| Straw dry matter | 1005.83 ** | 479.28 ** | 6.64 ** |
| Grain yield | 508.84 ** | 100.00 ** | 7.84 ** |
| Leaf blade glucose concentration | 52.76 ** | 23.46 ** | 3.71 * |
| Leaf sheath glucose concentration | 55.66 ** | 92.14 ** | 3.60 * |
| Leaf blade sucrose concentration | 230.64 ** | 553.29 ** | 54.53 ** |
| Leaf sheath sucrose concentration | 173.47 ** | 527.09 ** | 71.06 ** |
| Leaf blade fructose concentration | 172.52 ** | 90.20 ** | 6.12 ** |
| Leaf sheath fructose concentration | 96.16 ** | 114.44 ** | 8.50 ** |
| Leaf blade fructans concentration | 42.35 ** | 30.09 ** | 9.54 ** |
| Leaf sheath fructans concentration | 57.07 ** | 62.78 ** | 6.43 ** |
| Leaf tip Na+ concentration | 116.12 ** | 17.33 ** | 6.61 ** |
| Leaf base Na+ concentration | 180.64 ** | 71.38 ** | 6.54** |
| Leaf sheath Na+ concentration | 113.67 ** | 8.62 ** | 9.52 ** |
| Leaf tip K+ concentration | 42.05 ** | 93.55 ** | 2.22 * |
| Leaf base K+ concentration | 73.54 ** | 222.41 ** | 5.07 ** |
| Leaf sheath K+ concentration | 61.96 ** | 463.67 ** | 3.03 * |
| Leaf tip B concentration | 1230.25 ** | 207.74 ** | 59.97 ** |
| Leaf base B concentration | 167.05 ** | 61.84 ** | 10.70 ** |
| Leaf sheath B concentration | 82.44 ** | 191.10 ** | 8.65 ** |
| Leaf tip Cl− concentration | 551.54 ** | 179.72 ** | 62.14 ** |
| Leaf base Cl− concentration | 330.33 ** | 283.44 ** | 18.02 ** |
| Leaf sheath Cl− concentration | 37.14 ** | 2.35 * | 13.33 ** |
Publisher’s Note: MDPI stays neutral with regard to jurisdictional claims in published maps and institutional affiliations. |
© 2022 by the authors. Licensee MDPI, Basel, Switzerland. This article is an open access article distributed under the terms and conditions of the Creative Commons Attribution (CC BY) license (https://creativecommons.org/licenses/by/4.0/).
Share and Cite
Naz, T.; Iqbal, M.M.; Akhtar, J.; Saqib, M.; Ali, M.; Zafar, M.I.; Dell, B.; Datta, R.; Ansari, M.J.; Danish, S.; et al. Carbohydrate Partitioning, Growth and Ionic Compartmentalisation of Wheat Grown under Boron Toxic and Salt Degraded Land. Agronomy 2022, 12, 740. https://doi.org/10.3390/agronomy12030740
Naz T, Iqbal MM, Akhtar J, Saqib M, Ali M, Zafar MI, Dell B, Datta R, Ansari MJ, Danish S, et al. Carbohydrate Partitioning, Growth and Ionic Compartmentalisation of Wheat Grown under Boron Toxic and Salt Degraded Land. Agronomy. 2022; 12(3):740. https://doi.org/10.3390/agronomy12030740
Chicago/Turabian StyleNaz, Tayyaba, Muhammad Mazhar Iqbal, Javaid Akhtar, Muhammad Saqib, Muqarrab Ali, Mazhar Iqbal Zafar, Bernard Dell, Rahul Datta, Mohammad Javed Ansari, Subhan Danish, and et al. 2022. "Carbohydrate Partitioning, Growth and Ionic Compartmentalisation of Wheat Grown under Boron Toxic and Salt Degraded Land" Agronomy 12, no. 3: 740. https://doi.org/10.3390/agronomy12030740
APA StyleNaz, T., Iqbal, M. M., Akhtar, J., Saqib, M., Ali, M., Zafar, M. I., Dell, B., Datta, R., Ansari, M. J., Danish, S., & Fahad, S. (2022). Carbohydrate Partitioning, Growth and Ionic Compartmentalisation of Wheat Grown under Boron Toxic and Salt Degraded Land. Agronomy, 12(3), 740. https://doi.org/10.3390/agronomy12030740

