Effects of Degreening Treatment on Quality and Shelf-Life of Organic Lemons
Abstract
:1. Introduction
2. Materials and Methods
2.1. Experimental Design and Postharvest Storage Conditions
2.2. Descriptive Sensory Analysis
2.3. Physico-Chemical and Quality Parameters
2.4. Total Phenolic Quantification
2.5. Statistical Analysis
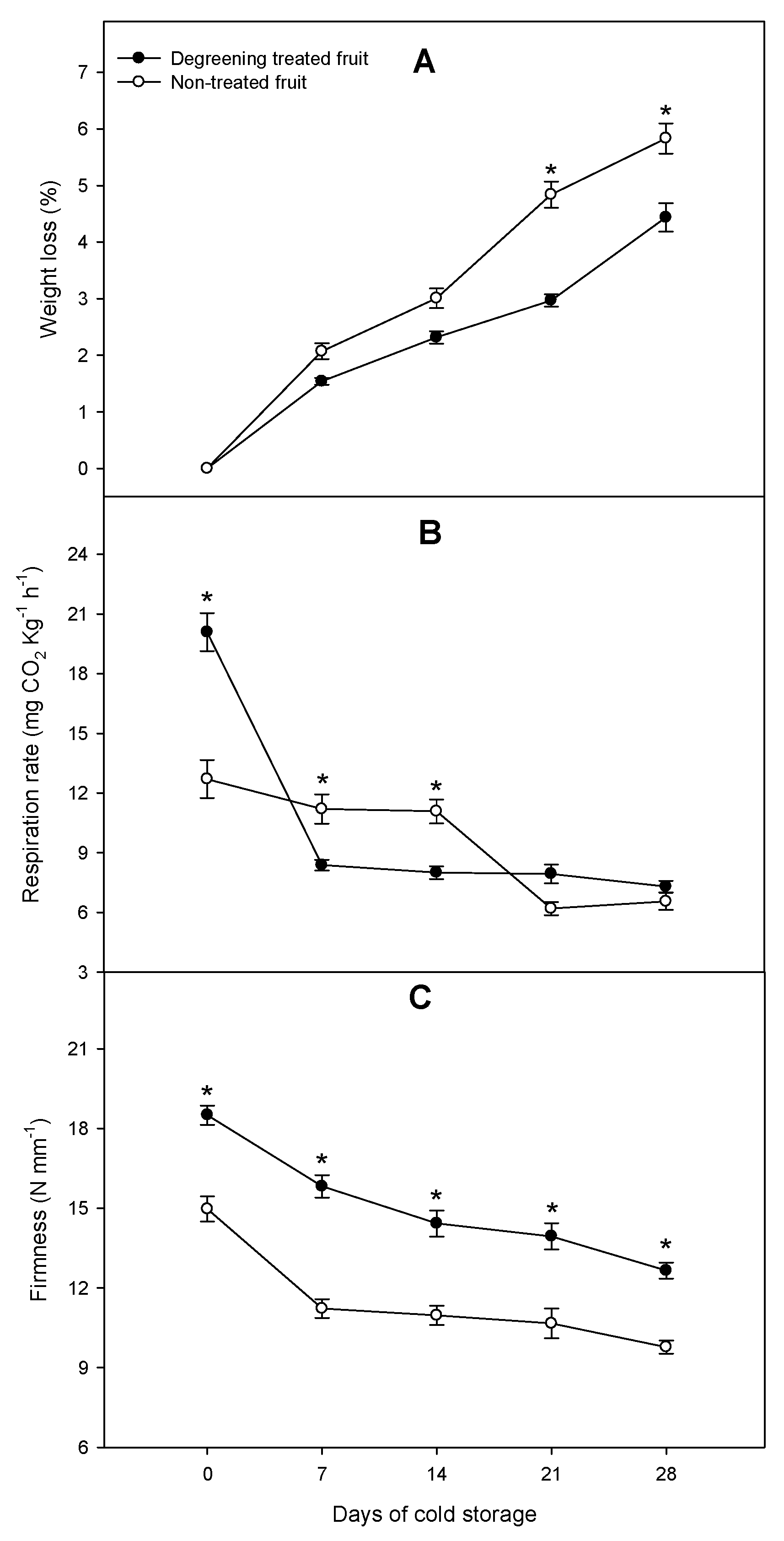
3. Results and Discussion
4. Conclusions
Author Contributions
Funding
Institutional Review Board Statement
Informed Consent Statement
Data Availability Statement
Conflicts of Interest
References
- Smith, O.M.; Cohen, A.L.; Rieser, C.J.; Davis, A.G.; Taylor, J.M.; Adesanya, A.W.; Jones, M.S.; Meier, A.R.; Reganold, J.P.; Orpet, R.J.; et al. Organic farming provides reliable environmental benefits but increases variability in crop yields: A global meta-analysis. Front. Sustain. Food Syst. 2018, 3, 82. [Google Scholar] [CrossRef] [Green Version]
- Campbell, B.L.; Nelson, R.G.; Ebel, R.C.; Dozier, W.A.; Adrian, J.L.; Hockema, B.R. Fruit quality characteristics that affect consumer preferences for satsuma mandarins. HortScience 2004, 39, 1664–1669. [Google Scholar] [CrossRef]
- Ministerio de Agricultura, Pesca y Alimentación (MAPA). Informe Anual de Resultados para los Cultivos Ecológicos. 12 Octubre 2020. Available online: https://www.mapa.gob.es/es/alimentacion/temas/produccion-eco/informeanual2020produccionecologica_tcm30-551456.pdf (accessed on 12 November 2021).
- Willner, H. The World of the Organic Agriculture 2021; Trávníček, J., Meier, C., Schlatter, B., Eds.; FiBL & IFOAM Press: Frick, Switzerland, 2021; Available online: https://www.fibl.org/fileadmin/documents/shop/1150-organic-world-2021.pdf (accessed on 12 November 2021).
- Conesa, A.; Brotons, J.M.; Manera, F.J.; Porras, I. The degreening of lemon and grapefruit in ethylene atmosphere: A cost analysis. Sci. Hort. 2004, 179, 140–145. [Google Scholar] [CrossRef]
- Mitalo, O.W.; Otsuki, T.; Okada, R.; Obitsu, S.; Masuda, K.; Hojo, Y.; Matsuura, T.; Mori, I.C.; Abe, D.; Asiche, W.O.; et al. Low temperature modulates natural peel degreening in lemon fruit independently of endogenous ethylene. J. Exp. Bot. 2020, 71, 4778–4796. [Google Scholar] [CrossRef] [PubMed]
- Hu, Y.; Wang, G.; Pan, S.; Wang, L. Influence of ethylene and ethephon treatments on the peel color and carotenoids of Gannan Newhall navel orange during postharvest storage. J. Food Biochem. 2018, 42, e12534. [Google Scholar] [CrossRef]
- Mayuoni, L.; Tietel, Z.; Patil, B.S.; Porat, R. Does ethylene degreening affect internal quality of citrus fruit? Postharvest Biol. Technol. 2011, 62, 50–58. [Google Scholar] [CrossRef]
- Tietel, Z.; Plotto, A.; Fallik, E.; Lewinsohn, E.; Porat, R. Taste and aroma of fresh and stored mandarins. J. Sci. Food Agric. 2011, 91, 14–23. [Google Scholar] [CrossRef] [PubMed]
- Baldwin, E.A.; Bai, J.; Plotto, A.; Ritenour, M.A. Citrus fruit quality assessment; producer and consumer perspectives. Stewart Postharvest Rev. 2014, 10, 1–7. [Google Scholar]
- Sdiri, S.; Rambla, J.L.; Besada, C.; Granell, A.; Salvador, A. Changes in the volatile profile of citrus fruit submitted to postharvest degreening treatment. Postharvest Biol. Technol. 2017, 133, 48–56. [Google Scholar] [CrossRef]
- Ladaniya, M.S.; Singh, S. Use of ethylene gas for degreening of sweet orange (Citrus sinenesis Osbeck) cv. Mosambi. J. Sci. Ind. Res. 2001, 60, 662–667. [Google Scholar]
- Sdiri, S.; Navarro, P.; Monterde, A.; Benabda, J.; Salvador, A. New degreening treatments to improve the quality of citrus fruit combining different periods with and without ethylene exposure. Postharvest Biol. Technol. 2012, 63, 25–32. [Google Scholar] [CrossRef]
- Julhia, L.; Belmin, R.; Meynard, J.M.; Pailly, O.; Casabianca, F. Acidity Drop and Coloration in Clementine: Implications for Fruit Quality and Harvesting Practices. Front. Plant Sci. 2019, 10, 754. [Google Scholar] [CrossRef] [Green Version]
- Serna-Escolano, V.; Martínez-Romero, D.; Giménez, M.J.; Serrano, M.; García-Martínez, S.; Valero, D.; Valverde, J.M.; Zapata, P.J. Enhancing antioxidant systems by preharvest treatments with methyl jasmonate and salicylic acid leads to maintain lemon quality during cold storage. Food Chem. 2021, 338, 128044. [Google Scholar] [CrossRef]
- Iglesias, D.J.; Cercós, M.; Colmenero-Flores, J.M.; Naranjo, M.A.; Rios, G.; Carrera, E. Physiology of citrus fruiting. Braz. J. Plant Physiol. 2007, 19, 333–362. [Google Scholar]
- Ballester, C.; Castel, J.; El-Mageed, T.A.A.; Castel, J.R.; Intrigliolo, D.S. Long-term response of “Clementina de Nules” citrus trees to summer regulated deficit irrigation. Agric. Water Manag. 2014, 138, 78–84. [Google Scholar] [CrossRef]
- Lin, Q.; Qian, J.; Zhao, C.; Wang, D.; Liu, C.; Wang, Z. Low temperature induced changes in citrate metabolism in ponkan (Citrus reticulata blanco cv. ponkan) fruit during maturation. PLoS ONE 2016, 11, e0156703. [Google Scholar] [CrossRef] [PubMed] [Green Version]
- Strano, M.C.; Di Silvestro, S.; Allegra, M.; Russo, G.; Caruso, M. Effect of cold storage on the postharvest quality of different Tarocco sweet orange clonal selections. Sci. Hort. 2021, 285, 110167. [Google Scholar] [CrossRef]
- Haider, S.T.; Ahmad, S.; Anjum, M.A. Effects of different postharvest techniques on quality management and shelf life of ‘Kinnow’ mandarin fruit. Food Meas. 2021, 15, 2549–2561. [Google Scholar] [CrossRef]
- Valverde, J.M.; Giménez, M.J.; Guillén, F.; Valero, D.; Martínez-Romero, D.; Serrano, M. Methyl salicylate treatments of sweet cherry trees increase antioxidant systems in fruit at harvest and during storage. Postharvest Biol. Technol. 2015, 109, 106–113. [Google Scholar] [CrossRef]
- Martínez-Esplá, A.; Zapata, P.J.; Valero, D.; Martínez-Romero, D.; Díaz-Mula, H.M.; Serrano, M. Preharvest treatments with salicylates enhance nutrient and antioxidant compounds in plum at harvest and after storage. J. Sci. Food Agric. 2018, 98, 2742–2750. [Google Scholar] [CrossRef]
- García-Pastor, M.; Serrano, M.; Guillén, F.; Giménez, M.J.; Martínez-Romero, D.; Valero, D.; Zapata, P.J. Preharvest application of methyl jasmonate increases crop yield, fruit quality and bioactive compounds in pomegranate ‘Mollar de Elche’ at harvest and during postharvest storage. J. Sci. Food Agric. 2020, 100, 145–153. [Google Scholar] [CrossRef]
- Habibi, F.; Ramezanian, A.; Guillén, F.; Serrano, M.; Valero, D. Blood oranges maintain bioactive compounds and nutritional quality by postharvest treatments with γ-aminobutyric acid, methyl jasmonate or methyl salicylate during cold storage. Food Chem. 2020, 15, 125634. [Google Scholar] [CrossRef]
- Manera, F.C.; Brotons, J.M.; Conesa, A.; Porras, I. Relationship between air temperature and degreening of lemon (Citrus lemon L. Burm. F.) peel color during maturation. Aust. J. Crop. Sci. 2012, 6, 10. [Google Scholar]
- Poole, N.D.; Gray, K. Quality in citrus fruit: To degreen or not degreen? Br. Food J. 2002, 104, 492–505. [Google Scholar] [CrossRef]
- Wardowski, W. Degreening. Packinghouse Newslett. 1985, 141, 2–3. [Google Scholar]
- Morales, J.; Tárrega, A.; Salvador, A.; Navarro, P.; Besada, C. Impact of ethylene degreening treatment on sensory properties and consumer response to citrus fruits. Int. Food Res. 2020, 127, 108641. [Google Scholar] [CrossRef]
- Kays, S.J.; Paul, R.R. Stress in Harvested Products; Kays, S.J., Paul, R.R., Eds.; Exon Press: Athens, Greece, 2004; pp. 355–414. [Google Scholar]
- Cohen, E.; Schiffmann-Nadel, M. Storage capability at different temperatures of lemons grown in Israel. Sci. Hort. 1978, 9, 251–257. [Google Scholar] [CrossRef]
- Brizzolara, S.; Manganaris, G.A.; Fotopoulos, V.; Watkins, C.B.; Tonutti, P. Primary Metabolism in Fresh Fruits During Storage. Front. Plant Sci. 2020, 11, 80. [Google Scholar] [CrossRef] [Green Version]
- Grierson, W. Maturity and Grade Standards. In Fresh Citrus Fruits, 2nd ed.; Wardowsk, W.F., Miller, W.N., Hall, D.J., Grierson, W., Eds.; Source Inc.: Longboat Key, FL, USA, 2004; pp. 23–48. [Google Scholar]
- Rasouli, M.; Koushesh-Saba, M.; Ramezanian, A. Inhibitory effect of salicylic acid and Aloe vera gel edible coating on microbial load and chilling injury of orange fruit. Sci. Hort. 2019, 247, 27–34. [Google Scholar] [CrossRef]
- Venkatachalam, K.; Meenune, M. Effect of methyl jasmonate on physiological and biochemical quality changes of longkong fruit under low temperature storage. Fruits 2015, 70, 69–75. [Google Scholar] [CrossRef] [Green Version]
- Gil-Izquierdo, A.; Riquelme, M.T.; Porras, I.; Ferreres, F. Effect of the Rootstock and Interstock Grafted in Lemon Tree (Citrus limon (L.) Burm.) on the flavonoid content of lemon juice. J. Agric. Food Chem. 2004, 52, 324–331. [Google Scholar] [CrossRef]
- Di Matteo, A.; Di Rauso-Simeone, G.; Cirillo, A.; Rao, M.A.; Di Vaio, C. Morphological characteristics, ascorbic acid and antioxidant activity during fruit ripening of four lemon (Citrus limon (L.) Burm. F.) cultivars. Sci. Hort. 2021, 276, 109741. [Google Scholar] [CrossRef]
- Sun, Y.; Singh, Z.; Tokala, Y.; Heather, B. Harvest maturity stage and cold storage period influence lemon fruit quality. Sci. Hort. 2019, 249, 322–328. [Google Scholar] [CrossRef]
- Barberis, A.; Cefola, M.; Pace, B.; Azara, E.; Spissu, Y.; Serra, P.A.; Logrieco, A.F.; D’Hallewin, G.; Fadda, A. Postharvest application of oxalic acid to preserve overall appearance and nutritional quality of fresh-cut green and purple asparagus during cold storage: A combined electrochemical and mass-spectrometry analysis approach. Postharvest Biol. Technol. 2019, 148, 158–167. [Google Scholar] [CrossRef]
- Ruiz-García, Y.; Gómez-Plaza, E. Elicitors: A tool for improving fruit phenolic content. Agriculture 2013, 3, 33–52. [Google Scholar] [CrossRef] [Green Version]
- Siboza, X.I.; Bertling, I.; Odindo, A.O. Salicylic acid and methyl jasmonate improve chilling tolerance in cold-stored lemon fruit (Citrus limon). J. Plant Physiol. 2014, 171, 1722–1731. [Google Scholar] [CrossRef]
- Serna-Escolano, V.; Valverde, J.M.; García-Pastor, M.E.; Valero, D.; Castillo, S.; Guillén, F.; Martínez-Romero, D.; Zapata, P.J.; Serrano, M. Pre-harvest methyl jasmonate treatments increase antioxidant systems in lemon fruit without affecting yield or other fruit quality parameters. J. Sci. Food Agric. 2019, 99, 5035–5043. [Google Scholar] [CrossRef]
- Zapata, P.; Martínez-Esplá, A.; Guillén, F.; Díaz-Mula, H.M.; Martínez-Romero, D.; Serrano, M.; Valero, D. Preharvest application of methyl jasmonate (MeJA) in two plum cultivars. 2. Improvement of fruit quality and antioxidant systems during postharvest storage. Postharvest Biol. Technol. 2014, 98, 115–122. [Google Scholar] [CrossRef]
- Gimenez, M.J.; Serrano, M.; Valverde, J.M.; Martinez-Romero, D.; Castillo, S.; Valero, D.; Guillen, F. Preharvest salicylic acid and acetylsalicylic acid treatments preserve quality and enhance antioxidant systems during postharvest storage of sweet cherry cultivars. J. Sci. Food Agric. 2017, 97, 1220–1228. [Google Scholar] [CrossRef] [PubMed]
- Garcia-Pastor, M.E.; Zapata, P.J.; Castillo, S.; Martinez-Romero, D.; Guillen, F.; Valero, D.; Serrano, M. The effects of salicylic acid and its derivatives on increasing pomegranate fruit quality and bioactive compounds at harvest and during storage. Front. Plant Sci. 2020, 11, 668. [Google Scholar] [CrossRef]
- Multari, S.; Licciardello, C.; Caruso, M.; Martens, S. Monitoring the changes in phenolic compounds and carotenoids occurring during fruit development in the tissues of four citrus fruits. Food Res. Int. 2020, 134, 109228. [Google Scholar] [CrossRef] [PubMed]
- Serna-Escolano, V.; Gimenez, M.J.; Castillo, S.; Valverde, J.M.; Martínez-Romero, D.; Guillén, F.; Serrano, M.; Valero, D.; Zapata, P.J. Preharvest Treatment with Oxalic Acid Improves Postharvest Storage of Lemon Fruit by Stimulation of the Antioxidant System and Phenolic Content. Antioxidants 2021, 10, 963. [Google Scholar] [CrossRef] [PubMed]
- Dong, X.; Hu, Y.; Li, Y.; Zhou, Z. The maturity degree, phenolic compounds antioxidant activity of Eureka lemon [Citrus limon (L.) Burm. f.]: A negative correlation between total phenolic content, antioxidant capacity and soluble solid content. Sci. Hort. 2019, 243, 281–289. [Google Scholar] [CrossRef]
- Castillo, A.; Meitha, K.; Pramesti, Y.; Suhandono, S. Reactive oxygen species and antioxidants in postharvest vegetables and fruits. Int. J. Food Sci. 2020, 2020, 8817778. [Google Scholar]







Publisher’s Note: MDPI stays neutral with regard to jurisdictional claims in published maps and institutional affiliations. |
© 2022 by the authors. Licensee MDPI, Basel, Switzerland. This article is an open access article distributed under the terms and conditions of the Creative Commons Attribution (CC BY) license (https://creativecommons.org/licenses/by/4.0/).
Share and Cite
Serna-Escolano, V.; Giménez, M.J.; García-Pastor, M.E.; Dobón-Suárez, A.; Pardo-Pina, S.; Zapata, P.J. Effects of Degreening Treatment on Quality and Shelf-Life of Organic Lemons. Agronomy 2022, 12, 270. https://doi.org/10.3390/agronomy12020270
Serna-Escolano V, Giménez MJ, García-Pastor ME, Dobón-Suárez A, Pardo-Pina S, Zapata PJ. Effects of Degreening Treatment on Quality and Shelf-Life of Organic Lemons. Agronomy. 2022; 12(2):270. https://doi.org/10.3390/agronomy12020270
Chicago/Turabian StyleSerna-Escolano, Vicente, María José Giménez, María Emma García-Pastor, Alicia Dobón-Suárez, Sofía Pardo-Pina, and Pedro J. Zapata. 2022. "Effects of Degreening Treatment on Quality and Shelf-Life of Organic Lemons" Agronomy 12, no. 2: 270. https://doi.org/10.3390/agronomy12020270
APA StyleSerna-Escolano, V., Giménez, M. J., García-Pastor, M. E., Dobón-Suárez, A., Pardo-Pina, S., & Zapata, P. J. (2022). Effects of Degreening Treatment on Quality and Shelf-Life of Organic Lemons. Agronomy, 12(2), 270. https://doi.org/10.3390/agronomy12020270

