Determination of Moisture in Rice Grains Based on Visible Spectrum Analysis
Abstract
1. Introduction
2. Materials and Methods
2.1. Preparation of Rice Samples
2.2. Image Acquisition
2.3. Image Preprocessing for Feature Extraction
2.3.1. Global Descriptors
- The color histogram is rotation and scale invariant and is used under the hypothesis that images with similar color model distributions are semantically similar. The color model is a mathematical representation that usually uses three or four different components [38]. Some common color models are Gray, HSV, and RGB.The grayscale color model (GRAY_CH) defines color by using only one component, lightness, which is measured in values ranging from 0 to 255. The RGB color model (RGB_CH) is a color model with three dimensions—red, green, and blue—that are mixed to produce a specific color. The HSV color model (HSV_CH) is a cylindrical color model that remaps the RGB primary colors into three dimensions that are easier for humans to understand.The color moments (HSV_CM) represent the color distribution by three moments: the average is the first-order moment, the variance is the second-order moment, and the skewness is the third-order moment.
- Local binary patterns (LBP) [39] look at points surrounding a central point and test whether the surrounding points are greater than or less than the central point. It is illumination and translation invariant. The image is converted to grayscale, and a histogram is computed with a mask of P = 16 and R = 10.
- Haralick (HRLK) [40] distinguishes between rough and smooth surfaces using the gray level co-occurrence matrix (GLCM), which uses the adjacency concept in images. It looks for pairs of adjacent pixel values that occur in an image and keeps recording it over the entire image.
- A gray level co-occurrence matrix (GLCM) is a histogram of co-occurring gray-scale values at a given offset over an image [41]. It is created in four directions with the distance between pixels as one. Texture features are extracted from the statistics of this matrix according to the correlation of a couple pixels’ gray-level value at different positions.
2.3.2. Local Descriptors
- Scale Invariant Feature Transform (SIFT) [44] is robustly invariant to image rotations, scale, and limited affine variations, but its main drawback is high computational cost.
- Binary Robust Invariant Scalable Keypoints (BRISK) [45] is invariant to scale, rotation, and limited affine changes. It uses an easily configurable circular sampling pattern from which it computes brightness comparisons to form a binary descriptor string.
- Oriented FAST and Rotated BRIEF (ORB) [15] is invariant to scale, rotation, and limited affine changes.
- AKAZE [46] is invariant to scale, rotation, and limited affine changes and has more distinctiveness at varying scales because of nonlinear scale spaces.
3. Results
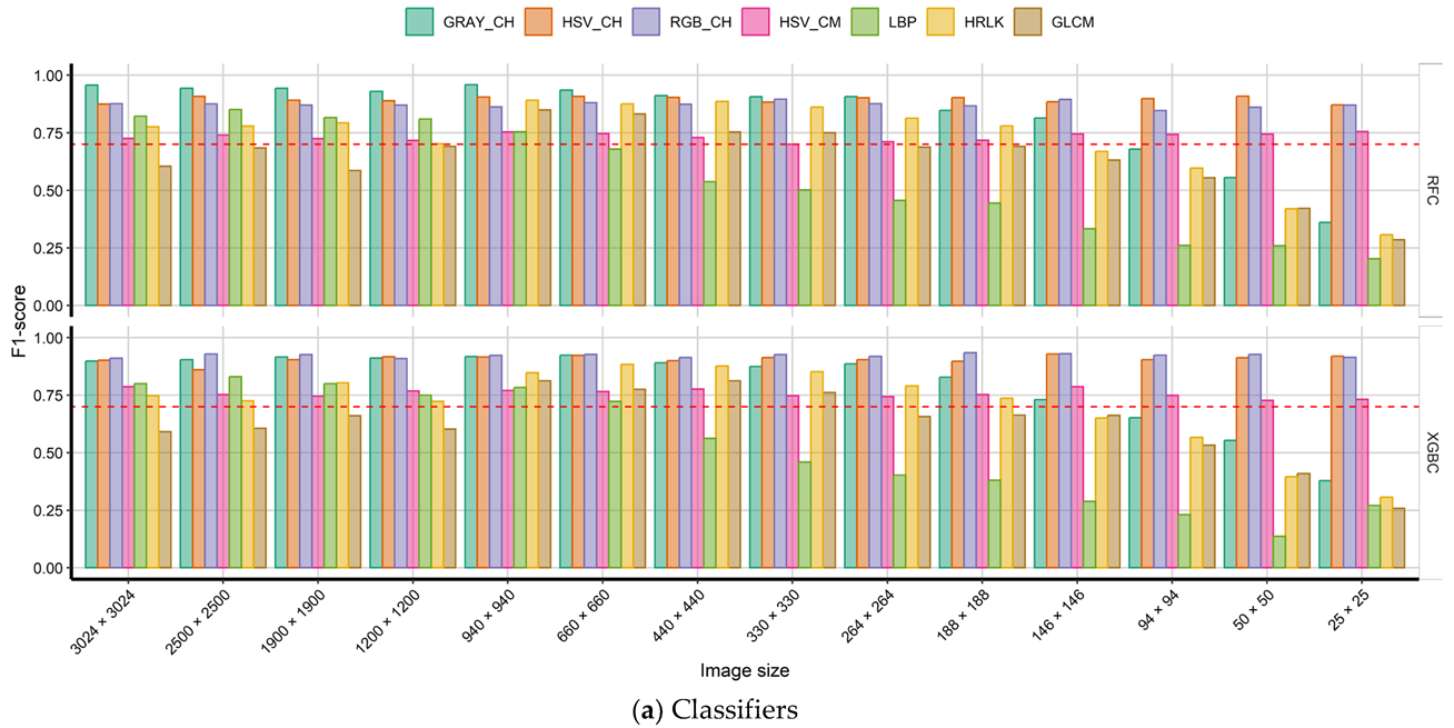
3.1. Global Descriptors
3.2. Local Descriptors
4. Conclusions
Author Contributions
Funding
Data Availability Statement
Conflicts of Interest
References
- Martínez, C.; CIAT. Evaluación de la Calidad Culinaria y Molinera del Arroz, 3rd ed.; Centro Internacional de Agricultura Tropical (CIAT); Serie 04SR-07.01; Cali, Colombia, 1989; pp. 1–75. [Google Scholar]
- Guzmán, B.D. Manejo Agronómico del Cultivo de Arroz (Oryza sativa L.) Sembrado bajo Riego en Finca Ranchos Horizonte. Tesis Bachiller, Tecnológico de Costa Rica, Costa Rica–San Carlos, CA, USA, 2006. [Google Scholar]
- Ilieva, V.; Karov, I.; Mihajlov, L.; Markova, R.N.; Ilievski, M. Effect of rice moisture at harvest and rough rice storage time on milling yield and grain breakage. Univ. Goce Delcev 2014, 6, 1–6. [Google Scholar]
- Müller, A.; Nunes, M.T.; Maldaner, V.; Coradi, P.C.; de Moraes, R.S.; Martens, S.; Marin, C.K. Rice drying, storage and processing: Effects of post-harvest operations on grain quality. Rice Sci. 2022, 29, 16–30. [Google Scholar] [CrossRef]
- Atungulu, G.G.; Kolb, R.E.; Karcher, J.; Shad, Z.M. Postharvest technology: Rice storage and cooling conservation. In Rice; AACC International Press: Washington, DC, USA, 2019; pp. 517–555. [Google Scholar]
- Hasanuzzaman, M.; Nahar, K.; Alam, M.; Bhowmik, P.C.; Hossain, A.; Rahman, M.M.; Prasad, M.N.V.; Ozturk, M.; Fujita, M. Use of moisture meter on the post-harvest loss reduction of rice. BioMed Res. Int. 2016, 27, 511–516. [Google Scholar]
- Tang, E.N.; Ndindeng, S.A.; Bigoga, J.; Traore, K.; Silue, D.; Futakuchi, K. Mycotoxin con-centrations in rice from three climatic locations in Africa as affected by grain quality, production site, and storage duration. Food Sci. Nutr. 2019, 7, 1274–1287. [Google Scholar] [CrossRef] [PubMed]
- Figueredo, A.S.; Gómez-Guerrero, B.F.; Billiris, M.A. Almacenamiento de arroz: Influencia en la inocuidad del grano. Innotec 2020, 109–124. [Google Scholar]
- Abadia, M.B.; Bartosik, R.E. Manual de Buenas Prácticas en Poscosecha de Granos: Hacia el Agregado de Valor en Origen de la Producción Primaria; Ediciones INTA: Buenos Aires, Argentina, 2013; pp. 1–195. [Google Scholar]
- Kanta, R.A. Paddy Quality during Storage in Different Storage Technologies. Ph.D. Thesis, Bangladesh Agricultural University, Mymensingh, Bangladesh, 2016. [Google Scholar]
- Nasirahmadi, A.; Emadi, B.; Abbaspour-Fard, M.H.; Aghagolzade, H. Influence of moisture content, variety and parboiling on milling quality of rice grains. Rice Sci. 2014, 21, 116–122. [Google Scholar] [CrossRef]
- Patil, R.T. Post-Harvest Technology of Rice; Punjab Agriculture University: Punjab, India, 2011; pp. 1–38. [Google Scholar]
- FAO. OECD-FAO Agricultural Outlook 2021–2030; Food and Agriculture Organization of the United Nations: Rome, Italy, 2019; pp. 1–337. [Google Scholar]
- Marín, D.; Urioste, S.; Celi, R.; Castro, M.; Pérez, P.; Aguilar, D.; Andrade, R. Caracterización del sector Arrocero en Ecuador 2014–2019: Ęstá Cambiando el Manejo del Cultivo? Publicación CIAT No. 511. Centro Internacional de Agricultura Tropical (CIAT); Fondo Latinoamericano para Arroz de Riego (FLAR); Ministerio de Agricultura y Ganadería (MAG) de Ecuador; Instituto Nacional de Investigaciones Agropecuarias (INIAP) de Ecuador: Cali, Colombia, 2021; 58p. [Google Scholar]
- Rublee, E.; Rabaud, V.; Konolige, K.; Bradski, G. ORB: An efficient alternative to SIFT or SURF. In Proceedings of the IEEE International Conference on Computer Vision, Barcelona, Spain, 6–13 November 2011; pp. 2564–2571. [Google Scholar]
- Flor, O.; Palacios, H.; Suárez, F.; Salazar, K.; Reyes, L.; González, M.; Jimenes, K. New Sensing Technologies for Grain Moisture. Agriculture 2022, 12, 386. [Google Scholar] [CrossRef]
- Wang, R.; Han, F.; Jin, Y.; Wu, W. Correlation between moisture content and machine vision image characteristics of corn kernels. Int. J. Food Prop. 2020, 23, 319–328. [Google Scholar] [CrossRef]
- Tareen, S.A.; Saleem, Z. A comparative analysis of SIFT, SURF, KAZE, AKAZE, ORB, and BRISK. In Proceedings of the In-ternational Conference on Computing, Mathematics and Engineering Technologies (iCoMET) 2018, Sukkur, Pakistan, 3–4 March 2018; pp. 1–10. [Google Scholar] [CrossRef]
- Ramalingam, G. Characterization of Influence of Moisture Content on Morphological Features of Single Wheat Kernels Using Machine Vision System. Master’s Thesis, University of Manitoba, Winnipeg, Manitoba, December 2009. Available online: https://mspace.lib.umanitoba.ca/xmlui/handle/1993/3938 (accessed on 11 October 2022).
- Tahir, A.R.; Neethirajan, S.; Jayas, D.S.; Shanin, M.A.; Symons, S.J.; White, N.D.G. Evaluation of the effect of moisture content on cereal grains by digital image analysis. Food Res. Int. 2007, 40, 1140–1145. [Google Scholar] [CrossRef]
- Jayas, D.S.; Singh, C.B. Grain quality evaluation by computer vision. In Woodhead Publishing Series in Food Science, Technology and Nutrition; Elsevier: Amsterdam, The Netherlands, 2012; pp. 400–412. ISBN 9780857090362. [Google Scholar] [CrossRef]
- Velesaca, E.O.; Suarez, P.L.; Mira, R.; Sappa, A.D. Computer vision based food grain classification: A comprehensive survey. Comput. Electron. Agric. 2021, 187, 106–287. [Google Scholar] [CrossRef]
- Pflanz, M.; Nordmeyer, H.; Schirrmann, M. Weed Mapping with UAS Imagery and a Bag of Visual Words Based Image Clas-sifier. Remote Sens. 2018, 10, 1530. [Google Scholar] [CrossRef]
- Csurka, G.; Dance, C.R.; Fan, L.; Willamowski, J.; Bray, C. Visual Categorization with Bags of Keypoints. In Proceedings of the Workshop on Statistical Learning in Computer Vision 2004, Prague, Czech Republic, 11–14 May 2004; Available online: https://www.cs.cmu.edu/~efros/courses/LBMV07/Papers/csurka-eccv-04.pdf (accessed on 11 October 2022).
- Sun, X.; Lui, L.; Wang, H.; Song, W.; Lu, J. Image classification via support vector machine. In Proceedings of the International Conference on Computer Science and Network Technology (ICCSNT) 2015, Harbin, China, 1 December 2015; pp. 485–489. [Google Scholar] [CrossRef]
- Zhao, Y.; Zhai, Y.; Dubois, E.; Wang, S. Image matching algorithm based on SIFT using color and exposure information. J. Syst. Eng. Electron. 2016, 27, 691–699. [Google Scholar] [CrossRef]
- Qi, F.; Weihong, X.; Qiang, L. Research of Image Matching Based on Improved SURF Algorithm. TELKOMNIKA Indones. J. Electr. Eng. 2014, 12, 1395–1402. [Google Scholar] [CrossRef]
- Ma, X.; Xie, Q.; Kong, X. Improving KAZE Feature Matching Algorithm with Alternative Image Gray Method. In Proceedings of the 2nd International Conference on Computer Science and Application Engineering, Hohhot, China, 22–24 October 2018. [Google Scholar] [CrossRef]
- Ou, Y.; Cai, Z.; Lu, J.; Dong, J.; Ling, Y. Evaluation of Image Feature Detection and Matching Algorithms. In Proceedings of the 5th International Conference on Computer and Communication Systems (ICCCS), Shanghai, China, 16 June 2020; pp. 220–224. [Google Scholar] [CrossRef]
- Manyi, W. Research on optimization of image fast feature point matching algorithm. EURASIP J. Image Video Processing 2018, 216, 1–27. [Google Scholar] [CrossRef]
- Leutenegger, S.; Chli, M.; Siegwart, R.Y. BRISK: Binary Robust invariant scalable keypoints. In Proceedings of the 2011 International Conference on Computer Vision, Barcelona, Spain, 6-13 November 2011; pp. 2548–2555. [Google Scholar] [CrossRef]
- Dong, X.; Yu, Z.; Cao, W.; Shi, Y.; Ma, Q. A Survey on Ensemble learning. Front. Comput. Sci. 2020, 14, 241–258. [Google Scholar] [CrossRef]
- Sagi, O.; Rokach, L. Ensemble learning: A survey. WIREs Data Min. Knowl. Discovery. 2018, 8, e1249. [Google Scholar] [CrossRef]
- Gough, M.C. A simple technique for the determination of humidity equilibria in particulate foods. J. Stored Prod. Research. 1975, 11, 161–166. [Google Scholar] [CrossRef]
- Palacios, H.; Tamayo, M.; Terán, H.; Velásquez, J.; Vásquez, W. Comparison of methodologies for determination total humidity in two types of Andean corn (Zea mays L.). IOP Conference Series Earth and Environmental Science. International Conference on Sustainable Agriculture for Rural Development(ICSARD), Purwokerto, Indonesia, 23–24 October 2018; IOP Publishing: Bristol, UK, 2019; Volume 250, p. 12071. [Google Scholar] [CrossRef]
- Flor, O.; Palacios, H. Method and Device Moisture Meter Grains and Cereals Vision by Visible Spectrum. EC. Patent ECSENADI201946221A, 30 September 2019. [Google Scholar]
- Lisin, D.A.; Mattar, M.A.; Blaschko, M.B.; Learned-Miller, E.G.; Benfield, M.C. Combining Local and Global Image Features for Object Class Recognition. In Proceedings of the IEEE Computer Society Conference on Computer Vision and Pattern Recognition (CVPR’05)—Workshops, San Diego, CA, USA, 2016, 21–23 September 2005; p. 47. [Google Scholar] [CrossRef]
- Shaik, K.B.; Ganesan, P.; Kalist, V.; Sathish, B.S.; Jenitha, J.M. Comparative Study of Skin Color Detection and Segmentation in HSV and YCbCr Color Space. Procedia Comput. Sci. 2015, 57, 41–48. [Google Scholar] [CrossRef]
- Ojala, M.; Maenpaa, P.; Maenpaa, T. Multiresolution gray-scale and rotation invariant texture classification with local binary patterns. IEEE Trans. Pattern Anal. Mach. Intell. 2002, 24, 971–987. [Google Scholar] [CrossRef]
- Haralick, R.M.; Shanmugam, K. and Dinstein, I. Textural features for image classification. IEEE Trans. Syst. Man Cybern. 1973, SMC-3, 610–621. [Google Scholar] [CrossRef]
- Costianes, P.J.; Plock, J.B. Gray-level co-occurrence matrices as features in edge enhanced images. In Proceedings of the IEEE 39th Applied Imagery Pattern Recognition Workshop (AIPR), Washington, DC, USA, 3–15 October 2010; pp. 1–6. [Google Scholar] [CrossRef]
- Berrar, D. Cross-Validation. In Encyclopedia of Bioinformatics and Computational Biology; Academic Press: Cambridge, MA, USA, 2019; Volume 1, pp. 542–545. [Google Scholar] [CrossRef]
- Takahashi, K.; Yamamoto, K.; Kuchiba, A.; Toyama, T. Confidence interval for micro-averaged F1 and macro-averaged F1 scores. Appl. Intell. 2022, 52, 4961–4972. [Google Scholar] [CrossRef] [PubMed]
- Lowe, D.G. Distinctive image features from scale-invariant keypoints. Int. J. Comput. Vis. 2004, 60, 91–110. [Google Scholar] [CrossRef]
- Mazzeo, P.L.; Spagnolo, P.; Distante, C.B. Local descriptors for heavily occluded ball recognition. In Image Analysis and Processing ICIAP, Genoa, Italy, 7–11 September 2015; Murino, V., Puppo, E., Eds.; Lecture Notes in Computer Science; Springer: Cham, Switzerland, 2015; Volume 9279. [Google Scholar] [CrossRef]
- Alcantarilla, P.F.; Nuevo, J.; Bartoli, A. Fast explicit diffusion for accelerated features in non-linear scale spaces. In Proceedings of the British Machine Vision Conference; Digital Science: London, UK, 2013; pp. 13.1–13.11. [Google Scholar] [CrossRef]
- Abdullah, A.A.; Sameer, R.A. Image Classification Using Bag of Visual Words (BoVW). Al-Nahrain J. Sci. 2018, 21, 76–82. [Google Scholar] [CrossRef]
- Cutler, A.; Cutler, D.R.; Stevens, J.R. Random Forest. In Book Ensemble Machine Learning; Zhang, C., Ma, Y., Eds.; Springer: Boston, MA, USA, 2012; pp. 157–175. [Google Scholar] [CrossRef]
- Bentéjac, C.; Csörgő, A.; Martínez-Muñoz, G. A comparative analysis of gradient boosting algorithms. Artif. Intell. Rev. 2021, 54, 1937–1967. [Google Scholar] [CrossRef]
- Nguyen, Q.H.; Ly, H.-B.; Al-Ansari, N.; Le, H.V.; Van Quan, T.; Binh Thai, P. Influence of data splitting on performance of machine learning models in prediction of shear strength of soil. Math. Probl. Eng. 2021, 2021, 4832864. [Google Scholar] [CrossRef]
















| Global Descriptors | Dataset | Feature Size | RFC | XGBC | RFR | XGBR | |
|---|---|---|---|---|---|---|---|
| Color histogram 1D | CRAY_CH | G01 | 92 | 0.66 | 0.55 | 0.66 | 0.6 |
| Color histogram 3D | HSV_CH | G01 | 1728 | 0.73 | 0.7 | 0.57 | 0.55 |
| Color histogram 3D | RGB_CH | G01 | 8000 | 0.75 | 0.6 | 0.65 | 0.58 |
| Color moments | HSV_M | G01 | 9 | 0.51 | 0.55 | 0.57 | 0.67 |
| LBP | LBP | G01 | 34 | 0.72 | 0.69 | 0.68 | 0.62 |
| GLCM | GLCM | G01 | 24 | 0.53 | 0.51 | 0.58 | 0.62 |
| Haralick | HRLK | G01 | 13 | 0.53 | 0.55 | 0.6 | 0.49 |
| Color histogram 1D | CRAY_CH | G02 | 20 | 0.81 | 0.66 | 0.63 | 0.7 |
| Color histogram 3D | HSV_CH | G02 | 8000 | 0.72 | 0.7 | 0.46 | 0.63 |
| Color histogram 3D | RGB_CH | G02 | 8000 | 0.8 | 0.72 | 0.65 | 0.65 |
| Color moments | HSV_M | G02 | 9 | 0.73 | 0.72 | 0.65 | 0.71 |
| LBP | LBP | G02 | 34 | 0.83 | 0.80 | 0.7 | 0.7 |
| GLCM | GLCM | G02 | 13 | 0.73 | 0.71 | 0.69 | 0.69 |
| GLCM | HRLK | G02 | 24 | 0.73 | 0.64 | 0.69 | 0.67 |
| Color histogram 1D | CRAY_CH | G03 | 44 | 0.96 | 0.92 | 0.92 | 0.87 |
| Color histogram 3D | HSV_CH | G03 | 8000 | 0.9 | 0.92 | 0.86 | 0.85 |
| Color histogram 3D | RGB_CH | G03 | 8000 | 0.87 | 0.9 | 0.9 | 0.86 |
| Color moments | HSV_M | G03 | 9 | 0.75 | 0.77 | 0.72 | 0.7 |
| LBP | LBP | G03 | 32 | 0.75 | 0.78 | 0.65 | 0.58 |
| GLCM | GLCM | G03 | 13 | 0.87 | 0.85 | 0.83 | 0.84 |
| Haralick | HRLK | G03 | 24 | 0.85 | 0.81 | 0.81 | 0.79 |
| Mean Difference | Lower Estimation | Upper Estimation | p-Adjusted | |
|---|---|---|---|---|
| RFR-RFC | −0.037281746 | −0.08877360 | 0.01421011 | 0.2423261 |
| XGBC-RFC | −0.003769841 | −0.05526170 | 0.04772201 | 0.9975838 |
| XGBR-RFC | −0.069207058 | −0.12069891 | −0.01771520 | 0.0033528 |
| XGBC-RFR | 0.033511905 | −0.01797995 | 0.08500376 | 0.3344428 |
| XGBR-RFR | −0.031925312 | −0.08341717 | 0.01956654 | 0.3782033 |
| XGBR-XGBC | −0.065437216 | −0.11692907 | −0.01394536 | 0.0063473 |
| Local Descriptors | Feature Size | RFC | XGBC | RFR | XGBR |
|---|---|---|---|---|---|
| BRISK | 70 | 0.96 | 0.87 | 0.93 | 0.88 |
| SIFT | 80 | 0.93 | 0.85 | 0.79 | 0.74 |
| AKAZE | 70 | 0.98 | 0.78 | 0.82 | 0.72 |
| ORB | 70 | 0.67 | 0.59 | 0.68 | 0.58 |
Publisher’s Note: MDPI stays neutral with regard to jurisdictional claims in published maps and institutional affiliations. |
© 2022 by the authors. Licensee MDPI, Basel, Switzerland. This article is an open access article distributed under the terms and conditions of the Creative Commons Attribution (CC BY) license (https://creativecommons.org/licenses/by/4.0/).
Share and Cite
Palacios-Cabrera, H.; Jimenes-Vargas, K.; González, M.; Flor-Unda, O.; Almeida, B. Determination of Moisture in Rice Grains Based on Visible Spectrum Analysis. Agronomy 2022, 12, 3021. https://doi.org/10.3390/agronomy12123021
Palacios-Cabrera H, Jimenes-Vargas K, González M, Flor-Unda O, Almeida B. Determination of Moisture in Rice Grains Based on Visible Spectrum Analysis. Agronomy. 2022; 12(12):3021. https://doi.org/10.3390/agronomy12123021
Chicago/Turabian StylePalacios-Cabrera, Héctor, Karina Jimenes-Vargas, Mario González, Omar Flor-Unda, and Belén Almeida. 2022. "Determination of Moisture in Rice Grains Based on Visible Spectrum Analysis" Agronomy 12, no. 12: 3021. https://doi.org/10.3390/agronomy12123021
APA StylePalacios-Cabrera, H., Jimenes-Vargas, K., González, M., Flor-Unda, O., & Almeida, B. (2022). Determination of Moisture in Rice Grains Based on Visible Spectrum Analysis. Agronomy, 12(12), 3021. https://doi.org/10.3390/agronomy12123021

