Proper Deficit Nitrogen Application and Irrigation of Tomato Can Obtain a Higher Fruit Quality and Improve Cultivation Profit
Abstract
1. Introduction
2. Materials and Methods
2.1. Experimental Site
2.2. Experimental Design
2.3. Measurements
2.3.1. Meteorological Variables
2.3.2. Evapotranspiration
2.3.3. Plant Growth
2.3.4. Yield, Water and Nitrogen Use Efficiency
2.3.5. Fruit Quality
2.4. The Calculation of Comprehensive Quality
- (1)
- Normalize individual fruit quality parameters. The low optimal parameter is converted into high optimal parameter as follows:where is the forward original quality value of i-th treatment and j-th fruit quality parameter. In this study, m = 12 and n = 7; is the antidromic original quality value; and only OA was considered to be small optimal index in this study.
- (2)
- Define the best and worst ideal solutions:where is the defining maximum matrix; is the maximum value of parameter j; is the defining minimum matrix; and is the minimum value of parameter j.
- (3)
- Calculate the distance using AHP weights:where is the distance between i treatment and the maximum value; is the distance between i treatment and the minimum value; is the weight of index j determined by AHP method [48].
- (4)
- Compute the comprehensive index under different treatments (Qi):
2.5. Economic Analysis
2.6. Statistical Analysis
3. Results
3.1. Effect of Deficit Irrigation and Nitrogen on Plant Growth
3.2. Effect of Deficit Irrigation and Nitrogen on Evapotranspiration, Yield, Water and Nitrogen Use Efficiency
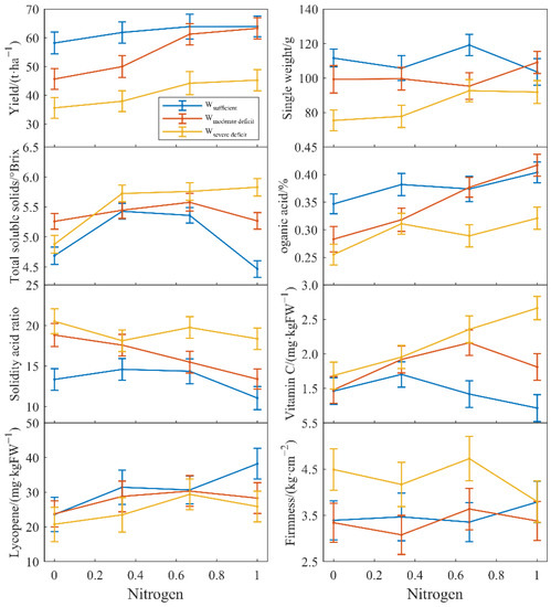
3.3. Effect of Deficit Irrigation and Nitrogen on Fruit Quality
3.4. The Interactive Relationship between Water and Nitrogen Application
3.5. Comprehensive Quality Assessment and Economic Analysis
4. Discussion
5. Conclusions
Author Contributions
Funding
Institutional Review Board Statement
Informed Consent Statement
Data Availability Statement
Conflicts of Interest
References
- Giuliani, M.M.; Carucci, F.; Nardella, E.; Francavilla, M.; Ricciardi, L.; Lotti, C.; Gatta, G. Combined effects of deficit irrigation and strobilurin application on gas exchange, yield and water use efficiency in tomato (Solanum lycopersicum L.). Sci. Hortic. 2018, 233, 149–158. [Google Scholar] [CrossRef]
- Kumar, M.; Tomar, M.; Bhuyan, D.J.; Punia, S.; Grasso, S.; Sá, A.G.A.; Carciofi, B.A.M.; Arrutia, F.; Changan, S.; Radha; et al. Tomato (Solanum lycopersicum L.) seed: A review on bioactives and biomedical activities. Biomed. Pharmacother. 2021, 142, 112018. [Google Scholar] [CrossRef] [PubMed]
- Costa-Rodrigues, J.; Pinho, O.; Monteiro, P.R.R. Can lycopene be considered an effective protection against cardiovascular disease? Food Chem. 2018, 245, 1148–1153. [Google Scholar] [CrossRef] [PubMed]
- Li, N.; Wu, X.; Zhuang, W.; Xia, L.; Chen, Y.; Wu, C.; Rao, Z.; Du, L.; Zhao, R.; Yi, M.; et al. Tomato and lycopene and multiple health outcomes: Umbrella review. Food Chem. 2020, 343, 128396. [Google Scholar] [CrossRef]
- Rattanavipanon, W.; Nithiphongwarakul, C.; Sirisuwansith, P.; Chaiyasothi, T.; Thakkinstian, A.; Nathisuwan, S.; Pathomwichaiwat, T. Effect of tomato, lycopene and related products on blood pressure: A systematic review and network meta-analysis. Phytomedicine 2021, 88, 153512. [Google Scholar] [CrossRef]
- FAOSTAT, Food and Agricultural Organization of United Nations, Rome. 2018. Available online: https://www.fao.org/faostat/es/#data (accessed on 16 April 2022).
- Chen, J.; Kang, S.; Du, T.; Qiu, R.; Guo, P.; Chen, R. Quantitative response of greenhouse tomato yield and quality to water deficit at different growth stages. Agric. Water Manag. 2013, 129, 152–162. [Google Scholar] [CrossRef]
- Valcárcel, M.; Lahoz, I.; Campillo, C.; Martí, R.; Leiva-Brondo, M.; Roselló, S.; Cebolla-Cornejo, J. Controlled deficit irrigation as a water-saving strategy for processing tomato. Sci. Hortic. 2019, 261, 108972. [Google Scholar] [CrossRef]
- Khapte, P.; Kumar, P.; Burman, U.; Kumar, P. Deficit irrigation in tomato: Agronomical and physio-biochemical implications. Sci. Hortic. 2019, 248, 256–264. [Google Scholar] [CrossRef]
- Gu, X.-B.; Li, Y.-N.; Du, Y.-D. Effects of ridge-furrow film mulching and nitrogen fertilization on growth, seed yield and water productivity of winter oilseed rape (Brassica napus L.) in Northwestern China. Agric. Water Manag. 2018, 200, 60–70. [Google Scholar] [CrossRef]
- Singh, M.; Singh, P.; Singh, S.; Saini, R.K.; Angadi, S.V. A global meta-analysis of yield and water productivity responses of vegetables to deficit irrigation. Sci. Rep. 2021, 11, 22095. [Google Scholar] [CrossRef] [PubMed]
- Yu, C.; Huang, X.; Chen, H.; Godfray, H.C.J.; Wright, J.S.; Hall, J.W.; Gong, P.; Ni, S.Q.; Qiao, S.C.; Huang, G.R.; et al. Managing nitrogen to restore water quality in China. Nature 2019, 567, 516–520. [Google Scholar] [CrossRef] [PubMed]
- Hooshmand, M.; Albaji, M.; Nasab, S.B.; Ansari, N.A.Z. The effect of deficit irrigation on yield and yield components of greenhouse tomato (Solanum lycopersicum) in hydroponic culture in Ahvaz region, Iran. Sci. Hortic. 2019, 254, 84–90. [Google Scholar] [CrossRef]
- Jiang, X.; Zhao, Y.; Wang, R.; Zhao, S. Modeling the Relationship of Tomato Yield Parameters with Deficit Irrigation at Different Growth Stages. HortScience 2019, 54, 1492–1500. [Google Scholar] [CrossRef]
- Lu, J.; Shao, G.; Gao, Y.; Zhang, K.; Wei, Q.; Cheng, J. Effects of water deficit combined with soil texture, soil bulk density and tomato variety on tomato fruit quality: A meta-analysis. Agric. Water Manag. 2021, 243, 106427. [Google Scholar] [CrossRef]
- Dariva, F.D.; Pessoa, H.P.; Copati, M.G.F.; de Almeida, G.Q.; Filho, M.N.D.C.; Picoli, E.A.D.T.; da Cunha, F.F.; Nick, C. Yield and fruit quality attributes of selected tomato introgression lines subjected to long-term deficit irrigation. Sci. Hortic. 2021, 289, 110426. [Google Scholar] [CrossRef]
- Martí, R.; Valcárcel, M.; Leiva-Brondo, M.; Lahoz, I.; Campillo, C.; Roselló, S.; Cebolla-Cornejo, J. Influence of controlled deficit irrigation on tomato functional value. Food Chem. 2018, 252, 250–257. [Google Scholar] [CrossRef] [PubMed]
- Gong, X.W.; Qiu, R.J.; Sun, J.S.; Ge, J.K.; Li, Y.B.; Wang, S.S. Evapotranspiration and crop coefficient of tomato grown in a solar greenhouse under full and deficit irrigation. Agric. Water Manag. 2020, 235, 106154. [Google Scholar] [CrossRef]
- Wu, Y.; Yan, S.; Fan, J.; Zhang, F.; Xiang, Y.; Zheng, J.; Guo, J. Responses of growth, fruit yield, quality and water productivity of greenhouse tomato to deficit drip irrigation. Sci. Hortic. 2021, 275, 109710. [Google Scholar] [CrossRef]
- Agbna, G.H.; Dongli, S.; Zhipeng, L.; Elshaikh, N.A.; Guangcheng, S.; Timm, L.C. Effects of deficit irrigation and biochar addition on the growth, yield, and quality of tomato. Sci. Hortic. 2017, 222, 90–101. [Google Scholar] [CrossRef]
- DU, Y.-D.; Cao, H.-X.; Liu, S.-Q.; Gu, X.; Cao, Y.-X. Response of yield, quality, water and nitrogen use efficiency of tomato to different levels of water and nitrogen under drip irrigation in Northwestern China. J. Integr. Agric. 2017, 16, 1153–1161. [Google Scholar] [CrossRef]
- Lu, B.; Qian, J.; Hu, J.; Wang, P.; Jin, W.; Tang, S.; He, Y.; Zhang, C. The role of fine root morphology in nitrogen uptake by riparian plants. Plant Soil 2022, 472, 527–542. [Google Scholar] [CrossRef]
- Biel, C.; Camprubí, A.; Lovato, P.E.; Calvet, C. On-farm reduced irrigation and fertilizer doses, and arbuscular mycorrhizal fungal inoculation improve water productivity in tomato production. Sci. Hortic. 2021, 288, 110337. [Google Scholar] [CrossRef]
- Maroušek, J.; Maroušková, A. Economic Considerations on Nutrient Utilization in Wastewater Management. Energies 2021, 14, 3468. [Google Scholar] [CrossRef]
- Kusano, M.; Fukushima, A.; Redestig, H.; Saito, K. Metabolomic approaches toward understanding nitrogen metabolism in plants. J. Exp. Bot. 2011, 62, 1439–1453. [Google Scholar] [CrossRef] [PubMed]
- Muttucumaru, N.; Powers, S.J.; Elmore, J.S.; Mottram, D.S.; Halford, N.G. Effects of Nitrogen and Sulfur Fertilization on Free Amino Acids, Sugars, and Acrylamide-Forming Potential in Potato. J. Agric. Food Chem. 2013, 61, 6734–6742. [Google Scholar] [CrossRef] [PubMed]
- Zhang, H.; Liu, X.; Song, B.; Nie, B.; Zhang, W.; Zhao, Z. Effect of excessive nitrogen on levels of amino acids and sugars, and differential response to post-harvest cold storage in potato (Solanum tuberosum L.) tubers. Plant Physiol. Biochem. 2020, 157, 38–46. [Google Scholar] [CrossRef] [PubMed]
- Yang, X.; Zhang, P.; Wei, Z.; Liu, J.; Hu, X.; Liu, F. Effects of elevated CO2 and nitrogen supply on leaf gas exchange, plant water relations and nutrient uptake of tomato plants exposed to progressive soil drying. Sci. Hortic. 2021, 292, 110643. [Google Scholar] [CrossRef]
- Cheng, M.; Wang, H.; Fan, J.; Xiang, Y.; Tang, Z.; Pei, S.; Zeng, H.; Zhang, C.; Dai, Y.; Li, Z.; et al. Effects of nitrogen supply on tomato yield, water use efficiency and fruit quality: A global meta-analysis. Sci. Hortic. 2021, 290, 110553. [Google Scholar] [CrossRef]
- Li, Y.; Sun, Y.; Liao, S.; Zou, G.; Zhao, T.; Chen, Y.; Yang, J.; Zhang, L. Effects of two slow-release nitrogen fertilizers and irrigation on yield, quality, and water-fertilizer productivity of greenhouse tomato. Agric. Water Manag. 2017, 186, 139–146. [Google Scholar] [CrossRef]
- Ochoa-Velasco, C.E.; Valadez-Blanco, R.; Salas-Coronado, R.; Sustaita-Rivera, F.; Hernández-Carlos, B.; García-Ortega, S.; Santos-Sánchez, N.F. Effect of nitrogen fertilization and Bacillus licheniformis biofertilizer addition on the antioxidants compounds and antioxidant activity of greenhouse cultivated tomato fruits (Solanum lycopersicum L. var. Sheva). Sci. Hortic. 2016, 201, 338–345. [Google Scholar] [CrossRef]
- Geisseler, D.; Aegerter, B.J.; Miyao, E.M.; Turini, T.; Cahn, M.D. Nitrogen in soil and subsurface drip-irrigated processing tomato plants (Solanum lycopersicum L.) as affected by fertilization level. Sci. Hortic. 2019, 261, 108999. [Google Scholar] [CrossRef]
- Zotarelli, L.; Dukes, M.; Scholberg, J.; Muñoz-Carpena, R.; Icerman, J. Tomato nitrogen accumulation and fertilizer use efficiency on a sandy soil, as affected by nitrogen rate and irrigation scheduling. Agric. Water Manag. 2009, 96, 1247–1258. [Google Scholar] [CrossRef]
- Wang, C.; Gu, F.; Chen, J.; Yang, H.; Jiang, J.; Du, T.; Zhang, J. Assessing the response of yield and comprehensive fruit quality of tomato grown in greenhouse to deficit irrigation and nitrogen application strategies. Agric. Water Manag. 2015, 161, 9–19. [Google Scholar] [CrossRef]
- Lu, J.; Shao, G.; Cui, J.; Wang, X.; Keabetswe, L. Yield, fruit quality and water use efficiency of tomato for processing under regulated deficit irrigation: A meta-analysis. Agric. Water Manag. 2019, 222, 301–312. [Google Scholar] [CrossRef]
- Zhou, H.P.; Kang, S.Z.; Li, F.S.; Du, T.S.; Shukla, M.K.; Li, X.J. Nitrogen application modified the effect of deficit irrigation on tomato transpiration, and water use efficiency in different growth stages. Sci. Hortic. 2020, 263, 109112. [Google Scholar] [CrossRef]
- Zhang, Q.; Du, Y.; Cui, B.; Sun, J.; Wang, J.; Wu, M.; Niu, W. Aerated irrigation offsets the negative effects of nitrogen reduction on crop growth and water-nitrogen utilization. J. Clean. Prod. 2021, 313, 127917. [Google Scholar] [CrossRef]
- Du, Y.-D.; Zhang, Q.; Cui, B.-J.; Sun, J.; Wang, Z.; Ma, L.-H.; Niu, W.-Q. Aerated irrigation improves tomato yield and nitrogen use efficiency while reducing nitrogen application rate. Agric. Water Manag. 2020, 235, 106152. [Google Scholar] [CrossRef]
- Zotarelli, L.; Scholberg, J.M.; Dukes, M.; Muñoz-Carpena, R.; Icerman, J. Tomato yield, biomass accumulation, root distribution and irrigation water use efficiency on a sandy soil, as affected by nitrogen rate and irrigation scheduling. Agric. Water Manag. 2009, 96, 23–34. [Google Scholar] [CrossRef]
- Li, H.; Liu, H.; Gong, X.; Li, S.; Pang, J.; Chen, Z.; Sun, J. Optimizing irrigation and nitrogen management strategy to trade off yield, crop water productivity, nitrogen use efficiency and fruit quality of greenhouse grown tomato. Agric. Water Manag. 2020, 245, 106570. [Google Scholar] [CrossRef]
- Ran, H.; Kang, S.; Li, F.; Du, T.; Ding, R.; Li, S.; Tong, L. Responses of water productivity to irrigation and N supply for hybrid maize seed production in an arid region of Northwest China. J. Arid Land 2017, 9, 504–514. [Google Scholar] [CrossRef]
- Hong, T.; Cai, Z.; Li, R.; Liu, J.; Li, J.; Wang, Z.; Zhang, Z. Effects of water and nitrogen coupling on watermelon growth, photosynthesis and yield under CO2 enrichment. Agric. Water Manag. 2021, 259, 107229. [Google Scholar] [CrossRef]
- Rana, G.; Katerji, N. Measurement and estimation of actual evapotranspiration in the field under Mediterranean climate: A review. Eur. J. Agron. 2000, 13, 125–153. [Google Scholar] [CrossRef]
- Gong, X.; Qiu, R.; Zhang, B.; Wang, S.; Ge, J.; Gao, S.; Yang, Z. Energy budget for tomato plants grown in a greenhouse in northern China. Agric. Water Manag. 2021, 255, 107039. [Google Scholar] [CrossRef]
- Godana, E.A.; Yang, Q.; Wang, K.; Zhang, H.; Zhang, X.; Zhao, L.; Abdelhai, M.H.; Legrand, N.N.G. Bio-control activity of Pichia anomala supplemented with chitosan against Penicillium expansum in postharvest grapes and its possible inhibition mechanism. LWT 2020, 124, 109188. [Google Scholar] [CrossRef]
- García-Robledo, E.; Corzo, A.; Papaspyrou, S. A fast and direct spectrophotometric method for the sequential determination of nitrate and nitrite at low concentrations in small volumes. Mar. Chem. 2014, 162, 30–36. [Google Scholar] [CrossRef]
- Sharma, S.K.; Le Maguer, M. Kinetics of lycopene degradation in tomato pulp solids under different processing and storage conditions. Food Res. Int. 1996, 29, 309–315. [Google Scholar] [CrossRef]
- Wang, F.; Kang, S.; Du, T.; Li, F.; Qiu, R. Determination of comprehensive quality index for tomato and its response to different irrigation treatments. Agric. Water Manag. 2011, 98, 1228–1238. [Google Scholar] [CrossRef]
- He, Z.; Li, M.; Cai, Z.; Zhao, R.; Hong, T.; Yang, Z.; Zhang, Z. Optimal irrigation and fertilizer amounts based on multi-level fuzzy comprehensive evaluation of yield, growth and fruit quality on cherry tomato. Agric. Water Manag. 2020, 243, 106360. [Google Scholar] [CrossRef]
- Jiang, X.; Liu, B.; Guan, X.; Wang, Z.; Wang, B.; Zhao, S.; Song, Y.; Zhao, Y.; Bi, J. Proper deficit irrigation applied at various stages of growth can maintain yield and improve the comprehensive fruit quality and economic return of table grapes grown in greenhouses. Irrig. Drain. 2021, 70, 1056–1072. [Google Scholar] [CrossRef]
- Lu, B.; Qian, J.; Wang, P.; Wang, C.; Hu, J.; Li, K.; He, X.; Jin, W. Effect of perfluorooctanesulfonate (PFOS) on the rhizosphere soil nitrogen cycling of two riparian plants. Sci. Total Environ. 2020, 741, 140494. [Google Scholar] [CrossRef]
- Wu, Y.; Yan, S.; Fan, J.; Zhang, F.; Zhao, W.; Zheng, J.; Guo, J.; Xiang, Y.; Wu, L. Combined effects of irrigation level and fertilization practice on yield, economic benefit and water-nitrogen use efficiency of drip-irrigated greenhouse tomato. Agric. Water Manag. 2021, 262, 107401. [Google Scholar] [CrossRef]
- Coyago-Cruz, E.; Meléndez-Martínez, A.J.; Moriana, A.; Girón, I.F.; Martín-Palomo, M.J.; Galindo, A.; Pérez-López, D.; Torrecillas, A.; Beltrán-Sinchiguano, E.; Corell, M. Yield response to regulated deficit irrigation of greenhouse cherry tomatoes. Agric. Water Manag. 2018, 213, 212–221. [Google Scholar] [CrossRef]
- Du, M.; Zhang, J.; Wang, Y.; Liu, H.; Wang, Z.; Liu, C.; Yang, Q.; Hu, Y.; Bao, Z.; Liu, Y.; et al. Evaluating the contribution of different environmental drivers to changes in evapotranspiration and soil moisture, a case study of the Wudaogou Experimental Station. J. Contam. Hydrol. 2021, 243, 103912. [Google Scholar] [CrossRef] [PubMed]
- Liu, R.; Yang, Y.; Wang, Y.-S.; Wang, X.-C.; Rengel, Z.; Zhang, W.-J.; Shu, L.-Z. Alternate partial root-zone drip irrigation with nitrogen fertigation promoted tomato growth, water and fertilizer-nitrogen use efficiency. Agric. Water Manag. 2020, 233, 106049. [Google Scholar] [CrossRef]
- Wei, Z.; Fang, L.; Li, X.; Liu, J.; Liu, F. Endogenous ABA level modulates the effects of CO2 elevation and soil water deficit on growth, water and nitrogen use efficiencies in barley and tomato plants. Agric. Water Manag. 2021, 249, 106808. [Google Scholar] [CrossRef]
- An, T.; Wu, Y.; Xu, B.; Zhang, S.; Deng, X.; Zhang, Y.; Siddique, K.H.; Chen, Y. Nitrogen supply improved plant growth and Cd translocation in maize at the silking and physiological maturity under moderate Cd stress. Ecotoxicol. Environ. Saf. 2021, 230, 113137. [Google Scholar] [CrossRef]
- Maroušek, J.; Maroušková, A.; Zoubek, T.; Bartoš, P. Economic impacts of soil fertility degradation by traces of iron from drinking water treatment. Environ. Dev. Sustain. 2021, 24, 4835–4844. [Google Scholar] [CrossRef]
- Maroušek, J.; Trakal, L. Techno-economic analysis reveals the untapped potential of wood biochar. Chemosphere 2021, 291, 133000. [Google Scholar] [CrossRef]
- Hao, S.; Cao, H.; Wang, H.; Pan, X. The physiological responses of tomato to water stress and re-water in different growth periods. Sci. Hortic. 2019, 249, 143–154. [Google Scholar] [CrossRef]
- Hernandez-Espinoza, L.H.; Barrios-Masias, F.H. Physiological and anatomical changes in tomato roots in response to low water stress. Sci. Hortic. 2020, 265, 109208. [Google Scholar] [CrossRef]
- Sánchez-Rodríguez, E.; del Mar Rubio-Wilhelmi, M.; Blasco, B.; Leyva, R.; Romero, L.; Ruiz, J.M. Antioxidant response resides in the shoot in reciprocal grafts of drought-tolerant and drought-sensitive cultivars in tomato under water stress. Plant Sci. 2012, 188–189, 89–96. [Google Scholar] [CrossRef] [PubMed]




| Num | Treatment | Description (at Whole Season) | First Season | Second Season | ||
|---|---|---|---|---|---|---|
| I | N | I | N | |||
| T1 | W1N1/CK | full irrigation and full nitrogen | 260.4 (10) | 14.7 (3) | 184.3 (10) | 19.6 (4) |
| T2 | W1N2/3 | full irrigation and 2/3 full nitrogen | 260.4 (10) | 9.8 (3) | 184.3 (10) | 15.8 (4) |
| T3 | W1N1/3 | full irrigation and 1/3 full nitrogen | 260.4 (10) | 4.9 (3) | 184.3 (10) | 12.0 (4) |
| T4 | W1N0 | full irrigation and no nitrogen | 260.4 (10) | 0.0 (0) | 184.3 (10) | 8.2 (1) |
| T5 | W2/3N1 | 2/3 full irrigation and full nitrogen | 180.6 (10) | 14.7 (3) | 139.4 (10) | 19.6 (4) |
| T6 | W2/3N2/3 | 2/3 full irrigation and 2/3 full nitrogen | 180.6 (10) | 9.8 (3) | 139.4 (10) | 15.8 (4) |
| T7 | W1/3N1/3 | 2/3 full irrigation and 1/3 full nitrogen | 180.6 (10) | 4.9 (3) | 139.4 (10) | 12.0 (4) |
| T8 | W1N0 | 2/3 full irrigation and no nitrogen | 180.6 (10) | 0.0 (0) | 139.4 (10) | 8.2 (1) |
| T9 | W1/3N1 | 1/3 full irrigation and full nitrogen | 104.9 (10) | 14.7 (3) | 87.5 (10) | 19.6 (4) |
| T10 | W1/3N2/3 | 1/3 full irrigation and 2/3 full nitrogen | 104.9 (10) | 9.8 (3) | 87.5 (10) | 15.8 (4) |
| T11 | W1/3N1/3 | 1/3 full irrigation and 1/3 full nitrogen | 104.9 (10) | 4.9 (3) | 87.5 (10) | 12.0 (4) |
| T12 | W1/3N0 | 1/3 full irrigation and no nitrogen | 104.9 (10) | 0.0 (0) | 87.5 (10) | 8.2 (1) |
| stage I | seedling stage | 13 Apr.–7 May | 13 Aug.–6 Sep. | |||
| stage II | flowering and fruit development stage | 8 May–20 Jun. | 7 Sep.–13 Oct. | |||
| stage III | fruit maturation and harvest stage | 21 Jun.–26 Jul. | 14 Oct.–28 Nov. | |||
| Treatment | ET (mm) | Yield (t·ha−1) | WUE (kg·m−3) | WUEI (kg·m−3) | NUE (kg·g−1) | |
|---|---|---|---|---|---|---|
| First season | CK | 299.41 a | 66.09 a | 22.07 ab | 25.38 cd | 0.45 d |
| T2 | 300.99 a | 66.46 a | 22.08 ab | 25.52 cd | 0.68 c | |
| T3 | 288.44 ab | 65.33 a | 22.65 ab | 25.09 cd | 1.33 a | |
| T4 | 282.33 b | 58.79 ab | 20.82 b | 22.58 d | ||
| T5 | 245.79 c | 68.28 a | 27.78 a | 37.81 a | 0.46 d | |
| T6 | 243.26 c | 63.84 a | 26.24 ab | 35.35 ab | 0.65 c | |
| T7 | 239.89 c | 48.23 bc | 20.11 b | 26.71 bcd | 0.98 b | |
| T8 | 225.05 d | 47.98 bc | 21.32 ab | 26.57 bcd | ||
| T9 | 204.59 e | 40.23 c | 19.66 b | 38.35 a | 0.27 e | |
| T10 | 190.83 f | 38.48 c | 20.16 b | 36.68 a | 0.39 de | |
| T11 | 181.28 fg | 35.08 c | 19.35 b | 33.44 abc | 0.72 c | |
| T12 | 173.77 g | 34.32 c | 19.75 b | 32.72 abc | ||
| Sig test | W | 0.000 ** | 0.000 ** | 0.022 * | 0.000 ** | 0.000 ** |
| N | 0.000 ** | 0.019 * | 0.278 ns | 0.017 * | 0.011 * | |
| W*N | 0.326 ns | 0.482 ns | 0.397 ns | 0.608 ns | 0.135 ns | |
| Second season | CK | 239.80 a | 59.92 a | 24.99 ab | 32.51 cd | 0.29 e |
| T2 | 229.59 ab | 57.55 ab | 25.07 ab | 31.23 cd | 0.34 de | |
| T3 | 225.45 b | 54.32 ab | 24.09 ab | 29.47 d | 0.42 bcd | |
| T4 | 212.01 c | 56.97 ab | 26.87 ab | 30.91 cd | 0.61 a | |
| T5 | 206.46 c | 49.36 abc | 23.91 ab | 35.41 bcd | 0.25 e | |
| T6 | 206.69 c | 56.86 ab | 27.51 ab | 40.79 bcd | 0.36 cde | |
| T7 | 205.51 c | 51.77 abc | 25.19 ab | 37.14 bcd | 0.43 bcd | |
| T8 | 183.56 d | 42.14 bc | 22.96 b | 30.23 cd | 0.51 ab | |
| T9 | 183.16 d | 53.85 abc | 29.40 ab | 61.54 a | 0.28 e | |
| T10 | 177.75 d | 56.79 ab | 31.95 a | 64.90 a | 0.36 cde | |
| T11 | 176.77 d | 41.46 bc | 23.46 b | 47.39 b | 0.35 de | |
| T12 | 161.49 e | 38.00 c | 23.53 b | 43.43 bc | 0.46 bc | |
| Sig test | W | 0.000 ** | 0.027 * | 0.392 ns | 0.000 ** | 0.134 ns |
| N | 0.000 ** | 0.034 * | 0.221 ns | 0.000 ** | 0.000 ** | |
| W*N | 0.749 ns | 0.456 ns | 0.384 ns | 0.001 ** | 0.248 ns | |
| Treatment | SW (g) | TSS (°Brix) | OA (%) | SAR (ratio) | VC (mg·kg−1) | Lyc (mg·kg−1) | Fn (kg·cm−2) | |
|---|---|---|---|---|---|---|---|---|
| First season | CK | 93.08 ab | 4.85 fg | 0.42 a | 10.54 d | 1.06 b | 26.40 a | 4.15 abc |
| T2 | 95.86 a | 5.38 def | 0.38 ab | 14.01 cd | 1.44 ab | 24.00 a | 3.45 bc | |
| T3 | 95.94 a | 5.30 def | 0.32 bcd | 16.53 bcd | 1.39 ab | 22.03 a | 3.32 bc | |
| T4 | 88.25 abc | 4.38 g | 0.33 bcd | 12.93 cd | 0.92 b | 17.11 a | 3.19 bc | |
| T5 | 99.69 a | 5.06 ef | 0.34 abcd | 15.83 bcd | 1.29 b | 23.76 a | 3.12 bc | |
| T6 | 91.79 abc | 5.61 bcde | 0.36 abc | 15.34 bcd | 1.67 ab | 20.20 a | 3.73 abc | |
| T7 | 85.32 abc | 5.83 abcd | 0.30 bcde | 20.00 bc | 1.03 b | 18.46 a | 3.03 c | |
| T8 | 84.07 abc | 5.55 bcde | 0.26 de | 21.97 ab | 1.08 b | 20.70 a | 3.24 bc | |
| T9 | 79.50 bcd | 5.96 abc | 0.32 bcd | 18.90 bc | 2.25 a | 20.84 a | 3.93 abc | |
| T10 | 76.88 cd | 6.24 a | 0.27 cde | 22.59 ab | 2.20 a | 27.20 a | 5.24 a | |
| T11 | 69.33 d | 6.05 ab | 0.33 bcd | 18.35 bc | 1.54 ab | 17.01 a | 4.71 abc | |
| T12 | 67.00 d | 5.42 cde | 0.23 e | 28.63 a | 1.06 b | 13.63 a | 4.83 ab | |
| Sig test | W | 0.000 ** | 0.000 ** | 0.001 ** | 0.000 ** | 0.012 * | 0.715 ns | 0.001 ** |
| N | 0.002 ** | 0.000 ** | 0.003 ** | 0.027 * | 0.022 * | 0.210 ns | 0.709 ns | |
| W*N | 0.384 ns | 0.034 * | 0.254 ns | 0.108 ns | 0.321 ns | 0.773 ns | 0.589 ns | |
| Second season | CK | 129.56 ab | 4.16 f | 0.36 bcd | 11.76 d | 1.34 g | 46.08 a | 3.18 a |
| T2 | 132.44 ab | 5.35 abcd | 0.37 bc | 15.09 bc | 1.40 fg | 44.01 ab | 3.16 a | |
| T3 | 127.35 ab | 5.52 abc | 0.46 a | 12.65 d | 1.91 de | 40.83 abc | 3.76 a | |
| T4 | 122.71 ab | 5.00 de | 0.37 bc | 13.76 cd | 1.73 efg | 30.06 bc | 3.79 a | |
| T5 | 126.47 ab | 5.44 abcd | 0.48 a | 11.46 d | 2.23 bcd | 35.10 abc | 4.30 a | |
| T6 | 108.33 ab | 5.55 ab | 0.39 b | 15.62 abc | 2.49 b | 37.12 abc | 3.36 a | |
| T7 | 115.53 ab | 5.14 bcde | 0.34 bcde | 15.15 bc | 2.63 b | 35.67 abc | 3.26 a | |
| T8 | 150.01 a | 5.07 cde | 0.30 e | 16.46 ab | 1.80 ef | 31.39 abc | 3.54 a | |
| T9 | 113.02 ab | 5.70 a | 0.32 cde | 17.83 a | 3.08 a | 29.25 bc | 3.40 a | |
| T10 | 116.37 ab | 5.28 abcd | 0.31 de | 16.94 ab | 2.43 b | 30.84 bc | 3.45 a | |
| T11 | 93.50 b | 5.47 abcd | 0.29 e | 17.89 a | 2.37 bc | 29.97 bc | 2.83 a | |
| T12 | 84.60 b | 4.70 e | 0.30 e | 16.46 ab | 2.00 cde | 27.86 c | 3.48 a | |
| Sig test | W | 0.011 * | 0.008 ** | 0.000 ** | 0.000 ** | 0.000 ** | 0.011 * | 0.879 ns |
| N | 0.819 ns | 0.000 ** | 0.000 ** | 0.008 ** | 0.001 ** | 0.199 ns | 0.941 ns | |
| W*N | 0.466 ns | 0.000 ** | 0.000 ** | 0.003 ** | 0.000 ** | 0.755 ns | 0.962 ns | |
| Treatment | SW | TSS | OA | SAR | VC | Lyc | Fn | D+ | D− | Q | Rank | |
|---|---|---|---|---|---|---|---|---|---|---|---|---|
| Weight | 0.110 | 0.131 | 0.088 | 0.180 | 0.173 | 0.198 | 0.116 | - | - | - | - | |
| First season | CK | 0.312 | 0.255 | 0.210 | 0.164 | 0.207 | 0.358 | 0.308 | 0.169 | 0.088 | 0.344 | 11 |
| T2 | 0.321 | 0.283 | 0.236 | 0.218 | 0.281 | 0.325 | 0.256 | 0.137 | 0.088 | 0.392 | 8 | |
| T3 | 0.321 | 0.278 | 0.275 | 0.257 | 0.273 | 0.299 | 0.246 | 0.128 | 0.086 | 0.403 | 7 | |
| T4 | 0.295 | 0.230 | 0.270 | 0.201 | 0.180 | 0.232 | 0.237 | 0.178 | 0.040 | 0.182 | 12 | |
| T5 | 0.334 | 0.266 | 0.258 | 0.246 | 0.252 | 0.322 | 0.231 | 0.137 | 0.087 | 0.388 | 9 | |
| T6 | 0.309 | 0.295 | 0.245 | 0.238 | 0.328 | 0.274 | 0.277 | 0.124 | 0.090 | 0.421 | 6 | |
| T7 | 0.286 | 0.306 | 0.295 | 0.311 | 0.202 | 0.250 | 0.224 | 0.143 | 0.082 | 0.364 | 10 | |
| T8 | 0.281 | 0.292 | 0.348 | 0.341 | 0.211 | 0.281 | 0.240 | 0.126 | 0.101 | 0.445 | 4 | |
| T9 | 0.266 | 0.313 | 0.280 | 0.294 | 0.441 | 0.282 | 0.291 | 0.092 | 0.137 | 0.599 | 2 | |
| T10 | 0.257 | 0.328 | 0.329 | 0.351 | 0.431 | 0.369 | 0.388 | 0.051 | 0.173 | 0.770 | 1 | |
| T11 | 0.232 | 0.318 | 0.271 | 0.285 | 0.302 | 0.231 | 0.349 | 0.120 | 0.094 | 0.438 | 5 | |
| T12 | 0.224 | 0.285 | 0.395 | 0.445 | 0.207 | 0.185 | 0.358 | 0.134 | 0.141 | 0.513 | 3 | |
| A+ | 0.334 | 0.328 | 0.395 | 0.445 | 0.441 | 0.369 | 0.388 | |||||
| A− | 0.224 | 0.230 | 0.210 | 0.164 | 0.180 | 0.185 | 0.224 | |||||
| R | −0.650 * | 0.748 ** | 0.636 * | 0.762ns | 0.720 ** | 0.000 ns | 0.643 * | |||||
| Second season | CK | 0.327 | 0.230 | 0.277 | 0.223 | 0.178 | 0.377 | 0.264 | 0.118 | 0.080 | 0.404 | 10 |
| T2 | 0.330 | 0.296 | 0.270 | 0.286 | 0.186 | 0.360 | 0.263 | 0.103 | 0.083 | 0.446 | 8 | |
| T3 | 0.313 | 0.305 | 0.219 | 0.240 | 0.253 | 0.334 | 0.312 | 0.089 | 0.077 | 0.464 | 7 | |
| T4 | 0.307 | 0.277 | 0.270 | 0.261 | 0.230 | 0.246 | 0.315 | 0.105 | 0.057 | 0.353 | 12 | |
| T5 | 0.300 | 0.301 | 0.210 | 0.217 | 0.296 | 0.287 | 0.357 | 0.090 | 0.080 | 0.470 | 6 | |
| T6 | 0.264 | 0.307 | 0.257 | 0.296 | 0.330 | 0.303 | 0.279 | 0.065 | 0.088 | 0.575 | 3 | |
| T7 | 0.287 | 0.285 | 0.297 | 0.287 | 0.349 | 0.291 | 0.270 | 0.063 | 0.093 | 0.598 | 2 | |
| T8 | 0.254 | 0.281 | 0.329 | 0.312 | 0.239 | 0.256 | 0.294 | 0.096 | 0.068 | 0.414 | 9 | |
| T9 | 0.296 | 0.316 | 0.307 | 0.338 | 0.409 | 0.239 | 0.282 | 0.068 | 0.121 | 0.641 | 1 | |
| T10 | 0.307 | 0.292 | 0.319 | 0.321 | 0.323 | 0.252 | 0.286 | 0.072 | 0.093 | 0.563 | 4 | |
| T11 | 0.242 | 0.303 | 0.340 | 0.339 | 0.315 | 0.245 | 0.235 | 0.087 | 0.091 | 0.510 | 5 | |
| T12 | 0.211 | 0.260 | 0.333 | 0.312 | 0.266 | 0.228 | 0.289 | 0.103 | 0.069 | 0.401 | 11 | |
| A+ | 0.330 | 0.316 | 0.340 | 0.339 | 0.409 | 0.377 | 0.357 | |||||
| A− | 0.211 | 0.230 | 0.210 | 0.217 | 0.178 | 0.228 | 0.235 | |||||
| R | −0.189 ns | 0.734 ** | −0.021 ns | 0.399 ns | 0.881 ** | −0.042 ns | −0.308 ns | |||||
Publisher’s Note: MDPI stays neutral with regard to jurisdictional claims in published maps and institutional affiliations. |
© 2022 by the authors. Licensee MDPI, Basel, Switzerland. This article is an open access article distributed under the terms and conditions of the Creative Commons Attribution (CC BY) license (https://creativecommons.org/licenses/by/4.0/).
Share and Cite
Fan, M.; Qin, Y.; Jiang, X.; Cui, N.; Wang, Y.; Zhang, Y.; Zhao, L.; Jiang, S. Proper Deficit Nitrogen Application and Irrigation of Tomato Can Obtain a Higher Fruit Quality and Improve Cultivation Profit. Agronomy 2022, 12, 2578. https://doi.org/10.3390/agronomy12102578
Fan M, Qin Y, Jiang X, Cui N, Wang Y, Zhang Y, Zhao L, Jiang S. Proper Deficit Nitrogen Application and Irrigation of Tomato Can Obtain a Higher Fruit Quality and Improve Cultivation Profit. Agronomy. 2022; 12(10):2578. https://doi.org/10.3390/agronomy12102578
Chicago/Turabian StyleFan, Mengying, Yonghui Qin, Xuelian Jiang, Ningbo Cui, Yaosheng Wang, Yixuan Zhang, Lu Zhao, and Shouzheng Jiang. 2022. "Proper Deficit Nitrogen Application and Irrigation of Tomato Can Obtain a Higher Fruit Quality and Improve Cultivation Profit" Agronomy 12, no. 10: 2578. https://doi.org/10.3390/agronomy12102578
APA StyleFan, M., Qin, Y., Jiang, X., Cui, N., Wang, Y., Zhang, Y., Zhao, L., & Jiang, S. (2022). Proper Deficit Nitrogen Application and Irrigation of Tomato Can Obtain a Higher Fruit Quality and Improve Cultivation Profit. Agronomy, 12(10), 2578. https://doi.org/10.3390/agronomy12102578
