Micronutrients Foliar and Drench Application Mitigate Mango Sudden Decline Disorder and Impact Fruit Yield
Abstract
1. Introduction
2. Materials and Methods
2.1. Study Sites
2.2. Micronutrients Application
2.3. Leaf Analysis for Zn and Cu
2.4. Calculation of Boron in the Leaves
2.5. Calculation of Micronutrients in the Soil
2.6. Determination of Boron in the Soil
2.7. Disease Measurement
2.8. Statistical Analysis
3. Results
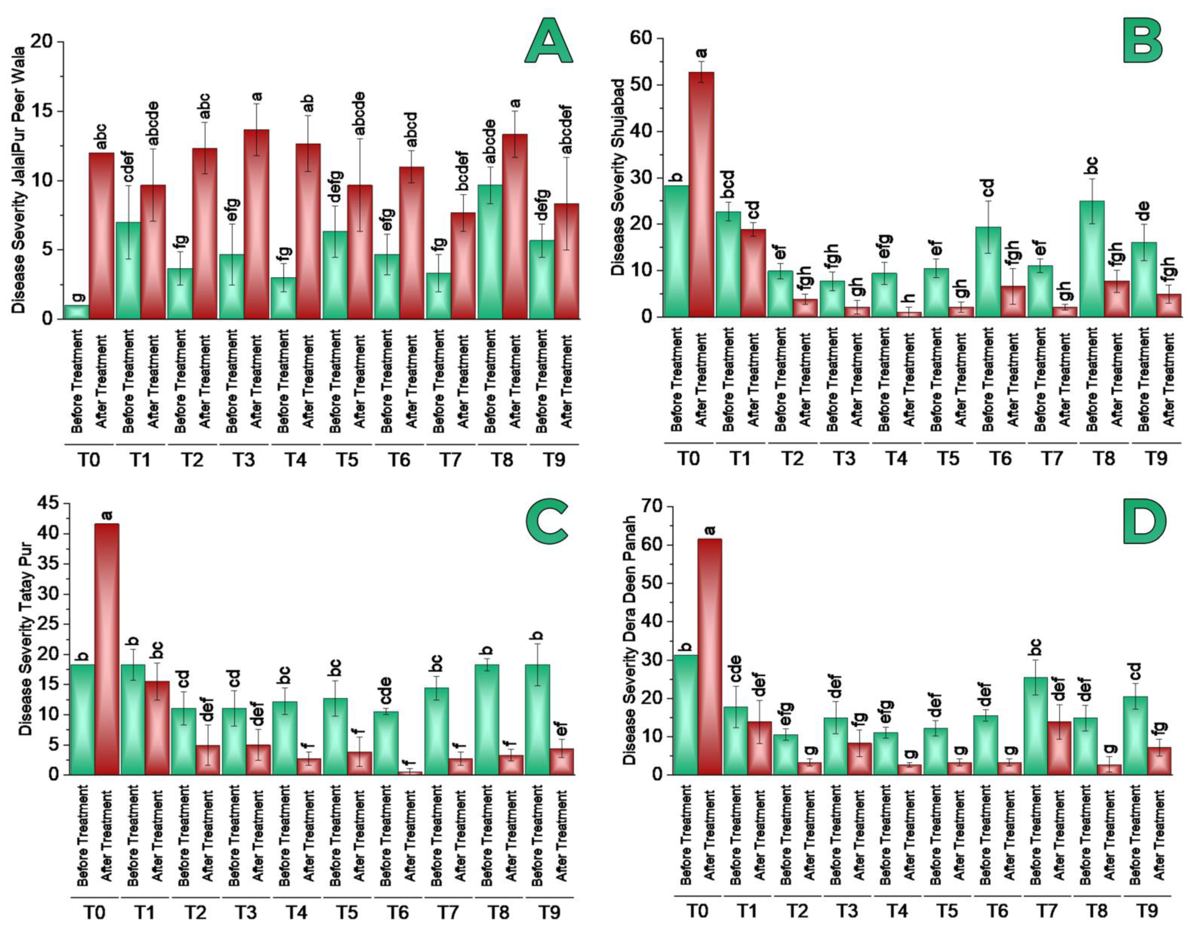
3.1. Effect of Micronutrients (Zn, Cu, and B) on MSD Disease Severity at Jalalpur Pirwala
3.2. Effect of Micronutrients (Zn, Cu, and B) on MSD Disease Severity at Shujaabad
3.3. Effect of Micronutrients (Zn, Cu, and B) on (MSD) at TatayPur
3.4. Effect of Micronutrients (Zn, Cu, and B) on MSD at Dera DeenPanah
3.5. Principal Component Analysis
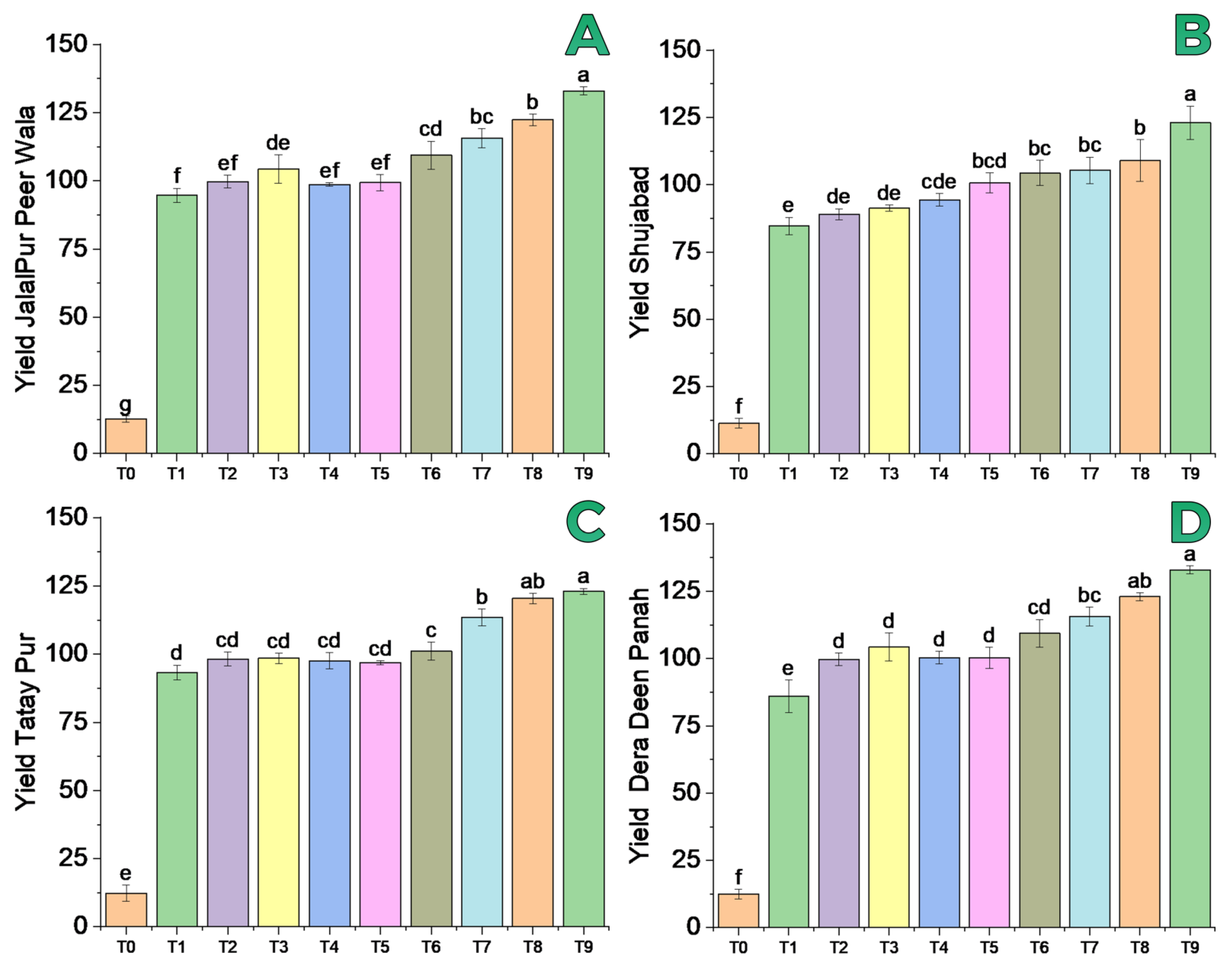
3.6. Effect of Micronutrients (Zn, Cu, and B) on Mango Yield at the Selected Locations
3.7. The Overall Comparison of Treatments on Disease Severity and Yield at All Sites
3.8. Analysis of Zn, B, and Cu in Plant Leaves
3.9. Analysis of Zn, B, and Cu in the Soil
4. Discussion
5. Conclusions
Author Contributions
Funding
Data Availability Statement
Acknowledgments
Conflicts of Interest
References
- Muchiri, D.R.; Mahungu, S.M.; Gituanja, S.N. Studies on mango (Mangifera indica L.) kernel fat of some Kenyan varieties in Meru. J. Am. Oil Chem. Soc. 2012, 89, 1567–1575. [Google Scholar] [CrossRef]
- Government of Pakistan. Statistical Division, Federal Bureau of Statistics; Ministry of Food and Agriculture: Islamabad, Pakistan, 2018. [Google Scholar]
- Khalid, P.; Akhtar, S.; Alam, S. Assessment keys for some important diseases of mango. Pak. J. Biol. Sci. 2002, 5, 246–250. [Google Scholar]
- Al-Adawi, A.O.; Deadman, M.L.; Al-Rawahi, A.K.; Khan, A.J.; Al-Maqbali, Y.M. Diplodia theobromae associated with sudden decline of mango in the Sultanate of Oman. Plant Pathol. 2003, 52, 419. [Google Scholar] [CrossRef]
- Iqbal, Z.; Valeem, E.E.; Shahbaz, M.; Ahmad, K.; Khan, Z.I.; Malik, M.T.; Danish, M. Determination of different decline disorders in mango orchards of the Punjab, Pakistan. Pak. J. Bot. 2003, 39, 1313. [Google Scholar]
- Malik, M.T.; Dasti, A.A.; Khan, S.M. Mango decline disorders prevailing in Pakistan. In Proceedings of the International Conference on Mango and Date palm Culture and Export University of Agriculture, Faisalabad, Pakistan, 20–23 June 2005; pp. 20–23. [Google Scholar]
- Al Adawi, A.O.; Deadman, M.L.; Al Rawahi, A.K.; Al-Maqbali, Y.M.; Al-Jahwari, A.A.; Al-Saadi, B.A.; Wingfield, M.J. Aetiology and causal agents of mango sudden decline disease in the Sultanate of Oman. Eur. J. Plant Pathol. 2005, 116, 247–254. [Google Scholar] [CrossRef]
- Al-Subhi, A.M.; Al-Adawi, A.O.; Van Wyk, M.; Deadman, M.L.; Wingfield, M.J. Ceratocystis omanensis, a new species from diseased mango trees in Oman. Mycol. Res. 2006, 110, 237–245. [Google Scholar] [CrossRef]
- Van Wyk, M.; Al Adawi, A.O.; Khan, I.A.; Deadman, M.L.; Al Jahwari, A.A.; Wingfield, B.D.; Wingfield, M.J. Ceratocystis manginecans sp. nov., causal agent of a destructive mango wilt disease in Oman and Pakistan. Fungal Divers 2007, 27, 213–230. [Google Scholar]
- Kazmi, M.R.; Fateh, F.S.; Majeed, K.; Kashkhely, A.M.; Hussain, I.; Ahmad, I.; Jabeen, A. Incidence and etiology of mango sudden death phenomenon in Pakistan. Pak. J. Phytopathol. 2005, 17, 154–158. [Google Scholar]
- Rawal, R.D. Management of fungal diseases in tropical fruits. In Tropical Fruits in Asia: Diversity, Maintenance Conservation and Use; ResearchGate: Berlin, Germany, 1997. [Google Scholar]
- Saeed, S.; Masood, A. Association of Bark beetle Hypocrphalus mangiferae Stebbing (Coleptera: Scolytidae) with pathogens Ceratocystis fimbriata and Phompsis sp. in relation to Mango Sudden Death in Pakistan. In Proceedings of the International Conference, 93rd ESA Annual Meeting, Milwaukee, WI, USA, 3–8 August 2008; pp. 3–8. [Google Scholar]
- Masood, A.; Saeed, S.; Iqbal, N.; Malik, M.T.; Kazmi, M.R. Methodology for the evaluation of symptoms severity of mango sudden death syndrome in Pakistan. Pak. J. Bot. 1998, 42, 1289–1299. [Google Scholar]
- Ploetz, R.C. Diseases of Tropical Fruit Crops. In Diseases of Mango; Ploetz, R.C., Ed.; CABI Publishers: Wallingford, UK, 2003; p. 327. [Google Scholar]
- Nafees, M.; Anwar, R.; Jameel, M.; Aslam, M.N.; Ahmad, S.; Akhtar, F.Z.; Memon, N. Flushing pattern of mango (Mangifera indica L.) cultivars in response to pruning of panicles and its effect on carry over effect of floral malformation. Pak. J. Agri. Sci. 2003, 47, 13–18. [Google Scholar]
- Masood, A.; Saeed, S.; Mahmood, A.; Malik, S.A.; Hussain, N. Role of nutrients in management of mango sudden death disease in Punjab, Pakistan. Pak. J. Zool. 2012, 44, 675–683. [Google Scholar]
- Saeed, S.; Hussain, N.; Attique, R.; Masood, A. Etiology and Management of Sudden Death Phenomenon in Mango; Second Annual Report; Department of Entomology, University College of Agriculture, Bahauddin Zakariya University: Multan, Pakistan, 2004; pp. 15–24. [Google Scholar]
- Naqvi, S.A.H.; Perveen, R.; Malik, M.T.; Malik, O.; Umer, U.D.; Wazeer, M.S.; Abbas, Z. Characterization of symptoms severity on various mango cultivars to quick decline of mango in district Multan. Int. J. Biosci. 2006, 4, 157–163. [Google Scholar]
- Naqvi, S.A.H.; Perveen, R. Mango quick decline manifestation on various cultivars at plants of particular age in the vicinity of district Multan. Pak. J. Phytopathol. 2007, 27, 31–39. [Google Scholar]
- Ram, R.A.; Bose, T.K. Effect of foliar application of magnesium and micro-nutrients on growth, yield and fruit quality of mandarin orange (Citrus reticulata Blanco). Indian J. Hortic. 2015, 57, 215–220. [Google Scholar]
- Kumar, P. Managing micronutrient deficiency in ornamental crops. Indian Hortic. 2004, 46, 30–31. [Google Scholar]
- Das, D.K. Micronutrients: Their Behaviors in Soils and Plants; Kalyani Publishers: New Delhi, India, 2003. [Google Scholar]
- Phillips, M. Economic benefits from using micronutrients for the farmer and the fertilizer producer. IFA. In Proceedings of the International Symposium on Micronutrients, New Delhi, India, 23–25 February 2004; pp. 23–25. [Google Scholar]
- Anees, M.; Tahir, F.M.; Shahzad, J.; Mahmood, N. Effect of foliar application of micronutrients on the quality of mango (Mangiferaindica L.) cv. Dusehri fruit. Mycopathologia 2002, 9, 25–28. [Google Scholar]
- Estefan, G.; Sommer, R.; Ryan, J. Methods of Soil, Plant, and Water Analysis: A Manual for the West Asia and North Africa Region; International Center for Agricultural Research in the Dry Areas (ICARDA): Beirut, Lebanon, 2013; Volume 3, pp. 65–119. [Google Scholar]
- Chapman, H.D.; Pratt, P.F. Methods of analysis for soils, plants and waters. Soil Sci. 1962, 93, 68. [Google Scholar] [CrossRef]
- McKinney, H.H. Influence of Soil Temperature and Moisture on Infection of Wheat Seedlings by Helminthosporium sativum. J. Agric. Res. 1923, 26, 195. [Google Scholar]
- Cooke, B.M. Disease assessment and yield loss. In The Epidemiology of Plant Diseases; Jones, D.G., Ed.; Kluwer Publishers: Amsterdam, The Netherlands, 1998; pp. 42–71. [Google Scholar]
- Chun, D.; Kao, L.B.; Lockwood, J.L.; Isleib, T.G. Laboratory and field assessment of resistance in soybean to stem rot caused by Sclerotinia sclerotiorum. Plant Dis. 1961, 71, 811–815. [Google Scholar] [CrossRef]
- Steel, R.G.; Torrie, J.H.; Dickey, D.A. Principles and Procedures of Statistics: A Biometrical Approach, 3rd ed.; McGraw Hill Book International Co.: Singapore, 1997. [Google Scholar]
- Ramos, L.J.; Lara, S.P.; McMillan, R.T., Jr.; Narayanan, K. R Tip dieback of mango (Mangifera indica) caused by Botryosphaeriaribis. Plant Dis. 1991, 75, 315–318. [Google Scholar] [CrossRef]
- Pernezny, K.; Ploetz, R. Some Common Diseases of Mango in Florida; Florida Cooperative Extension Service, Institute of Food and Agricultural Sciences, University of Florida: Belle Glade, FL, USA, 1997. [Google Scholar]
- Ploetz, R.C.; Benscher, D.; Vázquez, A.; Colls, A.; Nagel, J.; Schaffer, B. Mango Decline: Research in Florida on an apparently wide-spread disease complex. In Proceedings of the 5th International Mango Symposium 455, Tel Aviv, Israel, 1–6 September 1996; pp. 547–557. [Google Scholar]
- Mahaveer, D.; Soni, A.K.; Yadav, P.K.; Atul, C.; Harish, K. Response of different levels of farm yard manure and boron on growth and yield of bael (Aegle marmelos C.). Asian J. Hortic. 2000, 8, 767–771. [Google Scholar]
- Masood, A.; Saeed, S.; Erbilgin, N.; Jung Kwon, Y. Role of stressed mango host conditions in attraction of and colonization by the mango bark beetle Hypocryphalus mangiferae Stebbing (Coleoptera: Curculionidae: Scolytinae) and in the symptom development of quick decline of mango trees in Pakistan. Entomol. Res. 2010, 40, 316–327. [Google Scholar] [CrossRef]
- Arvind, B.; Mishra, N.K.; Mishra, D.S.; Singh, C.P. Foliar application of potassium, calcium, zinc and boron enhanced yield, quality and shelf life of mango. Hort. Flora Res. Spectr. 2012, 1, 300–305. [Google Scholar]
- Reuveni, M.; Agapov, V.; Reuveni, R. A foliar spray of micronutrient solutions induces local and systemic protection against powdery mildew (Sphaerotheca fuliginia) in cucumber plants. Eur. J. Plant Pathol. 1997, 103, 581–588. [Google Scholar] [CrossRef]
- Goswami, A.K.; Shukla, H.S.; Prabhat, K.; Mishra, D.S. Effect of pre-harvest application of micro-nutrients on quality of guava (Psidium guajava L.) cv. Sardar. Hort. Flora Res. Spectr. 2012, 1, 60–63. [Google Scholar]
- Sharma, J.; Sharma, S.K.; Panwar, R.D.; Gupta, R.B. Fruit retention, yield and leaf nutrient content of ber as influenced by foliar application of nutrients and growth regulators. Environ. Ecol. 2011, 29, 627–631. [Google Scholar]
- Amiri, M.E.; Fallahi, E.; Golchin, A. Influence of foliar and ground fertilization on yield, fruit quality, and soil, leaf, and fruit mineral nutrients in apple. J. Plant Nutr. 2000, 31, 515–525. [Google Scholar] [CrossRef]
- Kizilgoz, I.; Sakin, E.; Aslan, N. The effects of zinc fertilisation on the yield of pistachio (Pistacia vera L.) grown under rainfed conditions. Afr. J. Agric. Res. 2010, 5, 3427–3430. [Google Scholar]
- Soliemanzadeh, A.; Mozafari, V.; Pour, A.T.; Akhgar, A. Effect of Zn, Cu and Fe foliar application on fruit set and some quality and quantity characteristics of Pistachio trees. J. Hortic. Biol. Environ. 2013, 4, 19–34. [Google Scholar]
- Mosanna, R.; Behrozyar, E.K. Morpho-physiological response of maize (Zea mays L.) to zinc nano-chelate foliar and soil application at different growth stages. J. New Biol. Rep. 2015, 4, 46–50. [Google Scholar]
- Singh, J.; Maurya, A.N. Effect of micronutrients on quality of fruits of mango (Mangifera indica) ev. Mallika. Progress. Agric. 2003, 3, 92–94. [Google Scholar]
- Negi, S.S.; Singh, A.K.; Rai, P.N. Effect of foliar application of nutrients on pollen, flowering, fruit-set, fruit drop and yield in mango cv. Dashehari. Hortic. J. 2010, 23, 45–48. [Google Scholar]
- Gurjar, T.D.; Patel, N.L.; Panchal, B.; Chaudhari, D. Effect of foliar spray of micronutrients on flowering and fruiting of Alphonso mango (Mangifera indica L.). Bioscan 2015, 10, 1053–1056. [Google Scholar]
- Haldankar, P.M.; Somavanshi, A.V. Studies on the effect of foliar sprays of nutrients after fruit set on harvesting, yield and quality of kokum (Garcinia indica Choisy). Indian J. Hortic. 2015, 72, 38–42. [Google Scholar] [CrossRef]
- Marschner, H. Mineral Nutrition of Higher Plants; Academic Press London: London, UK, 1980. [Google Scholar]
- Graham, W.A.; McDonald, G.K. Effects of zinc on photosynthesis and yield of wheat under heat stress. In Proceedings of the 10th Australian Agronomy Conference, Hobart, Tasmania, 29 January–1 February 2001. [Google Scholar]
- Graham, D.R.; Webb, M.J. Micronutrients and disease resistance and tolerance in plants. In Micronutrients in Agriculture, 2nd ed; Mortvedt, J.J., Cox, F.R., Shuman, L.M., Welch, R.M., Eds.; Soil Science Society of America: Madison, WI, USA, 1991; pp. 329–370. [Google Scholar]
- Huber, D.M.; Römheld, V.; Weinmann, M. Relationship between nutrition, plant, diseases and pests. In Marschner’s Mineral Nutrition of Higher Plants; Marschner, P., Ed.; Academic Press Sydney: Sydney, Australia, 2012; pp. 2836–2909. [Google Scholar]
- Bolle-Jones, E.W.; Hilton, R.N. Zinc-deficiency of Heveabra siliensis as a predisposing factor to odium infection. Nature 1995, 177, 619–620. [Google Scholar] [CrossRef]
- Khoshgoftarmanesh, A.; Kabiri, S.; Shariatmadari, H.B.; Sharifnabi, B.; Schulin, R. Zinc nutrition effect on the tolerance of wheat genotypes to Fusarium root rot disease in a solution culture experiment. Soil Sci. Plant Nutr. 2010, 56, 234–243. [Google Scholar] [CrossRef]
- Singh, A.; Prasad, D.; Singh, R. Management of sheath blight of rice with integrated nutrients. Ind. Phytopathol. 2010, 63, 11–15. [Google Scholar]
- Khaing, E.E.; Ahmad, Z.A.M.; Yun, W.M.; Ismail, M.R. Effects of silicon, copper and zinc applications on sheath blight disease severity on rice. World J. Agric. Res. 2014, 2, 309–314. [Google Scholar] [CrossRef]
- Grewal, H.S.; Graham, R.D.; Rengel, Z. Genotypic variation in zinc efficiency and resistance to crown rot disease (Fusarium graminearum Schw. Group 1) in wheat. Plant Soil 1996, 186, 219–226. [Google Scholar] [CrossRef]
- Pareek, S. Effect of macro and micronutrients on charcoal rot disease development of maize induced by Macrophomina phaseolina. Ann. Agric. Res. 1999, 20, 129–131. [Google Scholar]
- Wadhwa, N.; Joshi, U.N.; Mehta, N. Zinc induced enzymatic defense mechanisms in Rhizoctonia root rot infected cluster bean seedlings. J. Bot. 2014, 2014, 1–7. [Google Scholar] [CrossRef]
- Dordas, C. Role of nutrients in controlling plant diseases in sustainable agriculture: A review. Agron Sustain. Dev. 2014, 28, 33–46. [Google Scholar] [CrossRef]
- Broadley, M.; Brown, P.; Cakmak, I.; Rengel, Z.; Zhao, F. Function of nutrient: Micronutrients. In Mineral Nutrition of Higher Plants; Marschner, P., Ed.; Academic Sydney: Sydney, Australia, 1980; pp. 191–248. [Google Scholar]
- Schutte, K.H. The influence of boron and copper deficiency upon infection by Erysiphe graminis D.C. on the powdery mildew in wheat var. Kenya. Plant Soil 2012, 27, 450–452. [Google Scholar] [CrossRef]
- Stangoulis, J.C.R.; Graham, R.D. Boron and plant disease. In Mineral Nutrition and Plant Disease; Datnoff, L.E., Elmer, W.H., Huber, D.M., Eds.; APS Press St Paul: Eagan, MN, USA, 2007; pp. 207–214. [Google Scholar]
- Qin, G.Y.; Zong, Q.; Chen, D.; HuaTian, S. Inhibitory effect of boron against Botrytis cinerea on table grapes and its possible mechanisms of action. Int. J. Food Microbiol. 2007, 138, 145–150. [Google Scholar] [CrossRef]
- Liew, Y.A.; Omar, S.R.S.; Husni, M.H.A.; Zainal, A.M.A.; Ashikin, P.A.N. Effects of foliar applied copper and boron on fungal diseases and rice yield on cultivar MR219. Pertanika J. Trop. AgricSci. 2012, 35, 339–349. [Google Scholar]
- Tarabih, M.E.; El-Metwelly, M.A. Effect of jojoba oil and boric acid as postharvest treatments on the shelf life of Washington navel orange fruits. Int. J. Agric. Res. 2014, 9, 1–16. [Google Scholar] [CrossRef]
- Evans, I.; Solberg, E.; Huber, D.M. Copper and plant disease. In Mineral Nutrition and Plant Disease; Datnoff, L.E., Elmer, W.H., Huber, D.M., Eds.; APS Press: St. Paul, MN, USA, 2007; pp. 177–188. [Google Scholar]
- Minnatullah, M.D.; Sattar, A. Brown spot development in Boro rice as influenced by weather condition. J. Appl. Biol. 2007, 12, 71–73. [Google Scholar]
- Ehret, D.L.; Utkhede, R.S.; Frey, B.; Menzies, J.G.; Bogdanoff, C. Foliar applications of fertilizer salts inhibit powdery mildew on tomato. Can. J. Plant Pathol. 2001, 24, 437–444. [Google Scholar] [CrossRef]
- Kalim, S.; Luthra, Y.P.; Gandhi, S.K. Cowpea root rot severity and metabolic changes in relation to manganese application. J. Phytopathol. 2003, 151, 92–97. [Google Scholar] [CrossRef]
- Vanitha, S.; Alice, D.; Paneerselvam, Z. Management of leaf blight disease in Solanum nigrum by fungicides and nutrients. Madras. Agric. J. 2005, 92, 660–666. [Google Scholar]
- Heyman, F. Root Rot of Pea Caused by Aphanomyces euteiches. Doctoral Thesis, Swedish University of Agricultural Sciences, Uppsala, Sweden, 2008. [Google Scholar]




| Treatments | NPK | FYM | Nutrition | Application |
|---|---|---|---|---|
| T1 | RD | 80 kg plant−1 | ----- ----- ----- ----- | Drench |
| T2 | RD | 80 kg plant−1 | ZnSO4.H2O (400 g plant−1) | Drench |
| T3 | RD | 80 kg plant−1 | ZnSO4.H2O (0.8%) | Foliar |
| T4 | RD | 80 kg plant−1 | Borax (200 g plant−1) | Drench |
| T5 | RD | 80 kg plant−1 | H3BO3 (0.8%), | Foliar |
| T6 | RD | 80 kg plant−1 | ZnSO4.H2O (400 g plant−1) + Borax (200 g plant−1) | Drench |
| T7 | RD | 80 kg plant−1 | ZnSO4.H2O (0.8%), + H3BO3 (0.8%) | Foliar |
| T8 | RD | 80 kg plant−1 | ZnSO4.H2O (400 g plant−1) + Borax (200 g plant−1) + CuSO4.5H2O (200 g plant−1) | Drench |
| T9 | RD | 80 kg plant−1 | ZnSO4.H2O (0.8%) + H3BO3 (0.8%) + CuSO4.5H2O (0.5%) | Foliar |
| Treatments | DS (%) | Yield (kg) | Yield Loss (%) |
|---|---|---|---|
| T0 (control) | 34.72 a | 12.19 g | 90.47 |
| T1 (NPK + FYM) | 16.55 b | 89.64 f | 29.96 |
| T2 (NPK + FYM + ZnSO4.H2O) soil | 12.72 c | 96.64 e | 24.5 |
| T3 (NPK + FYM + ZnSO4.H2O) foliar | 11.86 c | 99.61 e | 22.17 |
| T4 (NPK + FYM + Borax) soil | 11.47 c | 97.72 e | 23.65 |
| T5 (NPK + FYM + H3BO3) foliar | 8.10 de | 99.31 e | 22.41 |
| T6 (NPK + FYM + ZnSO4.H2O + Borax) soil | 9.71 d | 106.31 d | 16.94 |
| T7 (NPK + FYM + ZnSO4.H2O + H3BO3) foliar | 7.86 e | 112.55 c | 12.07 |
| T8 (NPK + FYM + ZnSO4.H2O + Borax + CuSO4. 5H2O) soil | 7.77 e | 118.70 b | 7.26 |
| T9 (NPK + FYM + ZnSO4.H2O + H3BO3 + CuSO4. 5H2O) foliar | 6.72 e | 128.00 a | 0.00 |
| List of the Treatments | Zn (mg/kg) | B (mg/kg) | Cu (mg/kg) |
|---|---|---|---|
| T0 (control) | 2.16 h | 2.16g | 2.16 h |
| T1 (NPK + FYM) | 2.53 gh | 2.50fg | 2.55 gh |
| T2 (NPK + FYM + ZnSO4.H2O) soil | 3.50 f | 3.54e | 2.83 fgh |
| T3 (NPK + FYM + ZnSO4.H2O) foliar | 18.18 d | 2.70 efg | 2.17 h |
| T4 (NPK + FYM + Borax) soil | 2.81 fgh | 2.87efg | 3.50 f |
| T5 (NPK + FYM + H3BO3) foliar | 24.39 b | 17.21b | 2.53 gh |
| T6 (NPK + FYM + ZnSO4.H2O + Borax) soil | 3.91 efg | 3.11ef | 3.21 fg |
| T7 (NPK + FYM + ZnSO4.H2O + H3BO3) foliar | 25.28 a | 16.49c | 2.98 fgh |
| T8 (NPK + FYM + ZnSO4.H2O + Borax + CuSO4.5H2O) soil | 10.74 e | 14.33d | 8.12 e |
| T9 (NPK + FYM + ZnSO4.H2O + Borax + CuSO4.5H2O) foliar | 21.40 c | 22.51a | 14.59 a |
| List of the Treatments | Zn (mg/kg) | B (mg/kg) | Cu (mg/kg) |
|---|---|---|---|
| T0 (control) | 0.25 e | 0.23 g | 0.2 f |
| T1 (NPK + FYM) | 0.27 de | 0.26 gf | 0.32 de |
| T2 (NPK + FYM+ ZnSO4.H2O) soil | 0.53 b | 0.30 de | 0.30 ef |
| T3 (NPK + FYM+ ZnSO4.H2O) foliar | 0.28 d | 0.29 ef | 0.33 d |
| T4 (NPK + FYM + Borax) soil | 0.31 c | 0.53 b | 0.36 bc |
| T5 (NPK + FYM + H3BO3) foliar | 0.33 c | 0.34 c | 0.36 c |
| T6 (NPK + FYM+ ZnSO4.H2O + Borax) soil | 0.56 a | 0.56 a | 0.38 b |
| T7 (NPK + FYM+ ZnSO4.H2O+ H3BO3) foliar | 0.34 c | 0.33 cd | 0.36 bc |
| T8(NPK + FYM + ZnSO4.H2O + Borax+ CuSO4.5H2O) soil | 0.57 a | 0.58 a | 0.48 a |
| T9 (NPK + FYM+ ZnSO4.H2O+ Borax + CuSO4.5H2O) foliar | 0.32 c | 0.31 cde | 0.38 bc |
Publisher’s Note: MDPI stays neutral with regard to jurisdictional claims in published maps and institutional affiliations. |
© 2022 by the authors. Licensee MDPI, Basel, Switzerland. This article is an open access article distributed under the terms and conditions of the Creative Commons Attribution (CC BY) license (https://creativecommons.org/licenses/by/4.0/).
Share and Cite
Umar, U.d.; Ahmed, N.; Zafar, M.Z.; Rehman, A.; Naqvi, S.A.H.; Zulfiqar, M.A.; Malik, M.T.; Ali, B.; Saleem, M.H.; Marc, R.A. Micronutrients Foliar and Drench Application Mitigate Mango Sudden Decline Disorder and Impact Fruit Yield. Agronomy 2022, 12, 2449. https://doi.org/10.3390/agronomy12102449
Umar Ud, Ahmed N, Zafar MZ, Rehman A, Naqvi SAH, Zulfiqar MA, Malik MT, Ali B, Saleem MH, Marc RA. Micronutrients Foliar and Drench Application Mitigate Mango Sudden Decline Disorder and Impact Fruit Yield. Agronomy. 2022; 12(10):2449. https://doi.org/10.3390/agronomy12102449
Chicago/Turabian StyleUmar, Ummadud din, Niaz Ahmed, Muhammad Zeshan Zafar, Ateequr Rehman, Syed Atif Hasan Naqvi, Muhammad Asif Zulfiqar, Muhammad Tariq Malik, Baber Ali, Muhammad Hamzah Saleem, and Romina Alina Marc. 2022. "Micronutrients Foliar and Drench Application Mitigate Mango Sudden Decline Disorder and Impact Fruit Yield" Agronomy 12, no. 10: 2449. https://doi.org/10.3390/agronomy12102449
APA StyleUmar, U. d., Ahmed, N., Zafar, M. Z., Rehman, A., Naqvi, S. A. H., Zulfiqar, M. A., Malik, M. T., Ali, B., Saleem, M. H., & Marc, R. A. (2022). Micronutrients Foliar and Drench Application Mitigate Mango Sudden Decline Disorder and Impact Fruit Yield. Agronomy, 12(10), 2449. https://doi.org/10.3390/agronomy12102449

