Lime and Organic Manure Amendment Enhances Crop Productivity of Wheat–Mungbean–T. Aman Cropping Pattern in Acidic Piedmont Soils
Abstract
1. Introduction
2. Materials and Methods
2.1. Experimental Site and Soil Properties
2.2. Plant Materials and Treatments
2.3. Preparation of Experimental Plots and Growing Crops
2.4. Harvesting and Data Recording
2.5. Analysis of Soil Samples before and after the Experiment
2.6. Statistical Analysis
3. Results
3.1. Effect of Lime and Organic Manure Amendment on Yield of Wheat–Mungbean–T. Aman Cropping Pattern
3.1.1. Grain and Straw Yield of T. Aman
3.1.2. Grain and Straw Yield of Wheat
3.1.3. Grain and Straw Yield of Mungbean
3.2. Effect of Lime and Organic Manure Amendment on Nutrient Uptake of Wheat–Mungbean–T. Aman Cropping Pattern
3.2.1. Nutrient Uptake by T. Aman
3.2.2. Nutrient Uptake by Wheat
3.2.3. Nutrient Uptake by Mungbean
3.3. Effect of Lime and Manure Amendment on Soil Properties under Wheat–Mungbean–T. Aman Cropping Pattern
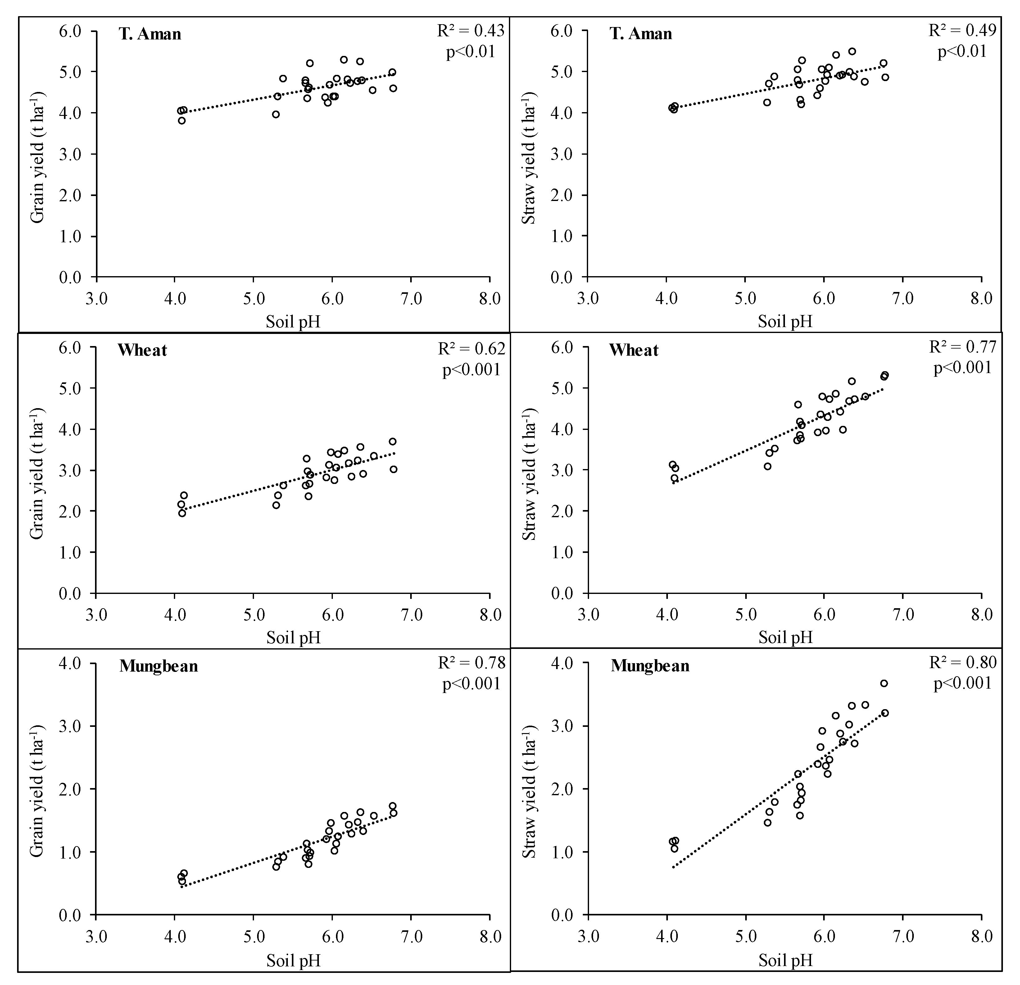
3.4. Correlation among Soil Properties, and between pH and Crop Yield in Wheat–Mungbean–T. Aman Cropping Pattern
4. Discussion
5. Conclusions
Supplementary Materials
Author Contributions
Funding
Institutional Review Board Statement
Informed Consent Statement
Data Availability Statement
Acknowledgments
Conflicts of Interest
References
- Nair, K.M.; Anilkumar, K.S.; Srinivas, S.; Sujatha, K.; Venkatesh, D.H.; Naidu, L.G.K.; Sarkar, D.; Rajasekharan, P. Agro-Ecology of Kerala. NBSS Publ. No. 1038; National Bureau of Soil Survey and Land Use Planning: Nagpur, India, 2011; p. 408. [Google Scholar]
- Nair, K.M.; Sureshkumar, P.; Narayanankutty, M.C. Soils of Kerala. In Soil Fertility Assessment and Information Management for Enhancing Crop Productivity in Kerala; Rajasekharan, P., Nair, K.M., Rajasree, G., Sureshkumar, P., Narayanankutty, M.C., Eds.; Kerala State Planning Board: Thiruvananthapuram, India, 2013; pp. 72–92. [Google Scholar]
- Ryan, P.R.; Tyerman, S.D.; Sasaki, T.; Furuichi, T.; Yamamoto, Y.; Zhang, W.H.; Delhaize, E. The identification of aluminium-resistance genes provides opportunities for enhancing crop production on acid soils. J. Exp. Bot. 2011, 62, 9–20. [Google Scholar] [CrossRef]
- Havlin, J.L.; Tisdale, S.L.; Nelson, W.L.; Beaton, J.D. Soil Fertility and Fertilizers; Pearson Education: Chennai, India, 2016. [Google Scholar]
- Rossel, R.V.; McBratney, A.B. A response-surface calibration model for rapid and versatile site-specific lime-requirement predictions in southeastern Australia. Soil Res. 2011, 39, 185–201. [Google Scholar] [CrossRef]
- Jafer, D.G.; Hailu, G. Application of lime for acid soil amelioration and better soybean performance in South Western Ethiopia. J. Biol. Agric. Healthc. 2017, 7, 95–100. [Google Scholar]
- Kunhikrishnan, A.; Thangarajan, R.; Bolan, N.; Xu, Y.; Mandal, S.; Gleeson, D.; Seshadri, B.; Zaman, M.; Barton, L.; Tang, C.; et al. Functional relationships of soil acidification, liming, and greenhouse gas flux. Adv. Agron. 2016, 139, 1–71. [Google Scholar]
- Halim, A.; Siddique, M.N.E.A.; Sarker, B.C.; Islam, M.J.; Hossain, M.F.; Kamaruzzaman, M. Assessment of Nutrient Dynamics Affected by Different Levels of Lime in a Mungbean Field of the Old Himalayan Piedmont Soil in Bangladesh. J. Agric. Vet. Sci. 2014, 7, 101–112. [Google Scholar] [CrossRef]
- Barrow, N.J. The effects of pH on phosphate uptake from the soil. Plant Soil 2017, 410, 401–410. [Google Scholar] [CrossRef]
- Aye, N.S.; Sale, P.W.G.; Tang, C.X. The impact of long-term liming on soil organic carbon and aggregate stability in low-input acid soils. Biol. Fert. Soils 2016, 52, 697–709. [Google Scholar] [CrossRef]
- Penn, C.J.; Camberato, J.J. A critical review on soil chemical processes that control how soil pH affects phosphorus availability to plants. Agriculture 2019, 9, 120. [Google Scholar] [CrossRef]
- Liao, P.; Huang, S.; Van Gestel, N.C.; Zeng, Y.J.; Wu, Z.M.; Van Groenigen, K.J. Liming and straw retention interact to increase nitrogen uptake and grain yield in a double rice-cropping system. Field Crops Res. 2018, 216, 217–224. [Google Scholar] [CrossRef]
- Liao, P.; Liu, L.; He, Y.X.; Tang, G.; Zhang, J.; Zeng, Y.J.; Wu, Z.M.; Huang, S. Interactive effects of liming and straw incorporation on yield and nitrogen uptake in a double rice cropping system. Acta Agron. Sinica 2020, 46, 84–92. [Google Scholar] [CrossRef]
- Rahman, M.A.; Chikushi, J.; Duxbury, J.M.; Meisner, C.A.; Lauren, J.G.; Yasunaga, E. Chemical control of soil environment by lime and nutrients to improve the productivity of acidic alluvial soils under rice-wheat cropping system in Bangladesh. Environ. Control Biol. 2005, 43, 259–266. [Google Scholar] [CrossRef]
- Banik, P.; Ghosal, P.K.; Sasmal, T.K.; Bhattacharya, S.; Sarkar, B.K.; Bagchi, D.K. Effect of Organic and Inorganic Nutrients for Soil Quality Conservation and Yield of Rainfed Low Land Rice in Sub-tropical Plateau Region. J. Agron. Crop Sci. 2006, 192, 331–343. [Google Scholar] [CrossRef]
- Siavoshi, M.; Nasiri, A.; Laware, S.L. Effect of organic fertilizer on growth and yield component in rice. J. Agric. Sci. 2011, 3, 217–224. [Google Scholar] [CrossRef]
- Kobierski, M.; Bartkowiak, A.; Lemanowicz, J.; Piekarczyk, M. Impact of poultry manure fertilization on chemical and biochemical properties of soils. Plant Soil Environ. 2017, 63, 558–563. [Google Scholar] [CrossRef]
- Nweke, I.A.; Nsoanya, L.N. Effect of Cowdung and Urea Fertilization on Soil Properties, Growth, and Yield of Cucumber (Cucumis sativus L). J. Agric. Ecol. Res. Int. 2015, 3, 81–88. [Google Scholar] [CrossRef]
- Swain, M.R.; Laxminarayana, K.; Ray, R.C. Phosphorus solubilization by thermotolerant Bacillus subtilis isolated from cowdung microflora. Agric. Res. 2012, 1, 273–279. [Google Scholar] [CrossRef]
- Sultana, B.S.; Mian, M.H.; Jahiruddin, M.; Rahman, M.M.; Siddique, M.N.E.A.; Sultana, J. Liming and Soil Amendments for Acidity Regulation and Nutrients Uptake by Potato-Mungbean-Rice Cropping Pattern in the Old Himalayan Piedmont Plain. Asian J. Agric. Hort Res. 2019, 3, 1–15. [Google Scholar] [CrossRef]
- FAO. Land Resources Appraisal of Bangladesh for Agricultural Development. Report 2; Agro-ecological Regions of Bangladesh, Food and Agriculture Organization: Rome, Italy, 1988; pp. 212–221. [Google Scholar]
- Khan, M.S.H.; Abedin Mian, M.J.; Akhter, A.; Hosain, M.F.; Sikder, M.S.I. Effect of long-term fertilization and cropping on micronutrient cations of soils in Bangladesh. Pak. J. Biol. Sci. 2002, 5, 543–544. [Google Scholar] [CrossRef]
- BARC. Fertilizer Recommendation Guide. Bangladesh Agricultural Research Council, BARC, Soils Pub.; Bangladesh Agricultural Research Council: Dhaka, Bangladesh, 2005.
- Bremner, J.M.; Mulvaney, C.S. Nitrogen-total. In Methods of Soil Analysis Part 2; Page, A.L., Miller, R.H., Keeney, D.R., Eds.; Amer. Soc. Agron., Inc. Publ.: Madison, WI, USA, 1982; pp. 595–624. [Google Scholar]
- Olsen, S.R.; Cole, C.U.; Watanable, F.S.; Deun, L.A. Estimation of Available P in Soil Extraction with Sodium Bicarbonate; US Department of Agriculture, Circular No. 939; US Government Print Office: Washington, DC, USA, 1954; p. 929.
- Rani, S.; Sukumari, P. Root Growth, Nutrient Uptake and Yield of Medicinal Rice Njavara under Different Establishment Techniques and Nutrient Sources. Am. J. Plant Sci. 2013, 4, 35343. [Google Scholar] [CrossRef][Green Version]
- Ghosh, A.B.; Bajaj, J.C.; Hasan, R.; Singh, D. Soil and Water Testing Methods; A Laboratory Manual; Division of Soil Science and Agricultural Chemistry, IARI: New Delhi, India, 1983; pp. 1–45. [Google Scholar]
- Walkey, A.J.; Black, A.I. Estimation of organic carbon by chromic acid titration method. J. Soil Sci. 1934, 25, 259–260. [Google Scholar]
- Bray, H.R.; Kurtz, L.T. Determination of total organic and available forms of phosphorus in soil. Soil Sci. 1945, 59, 39–45. [Google Scholar] [CrossRef]
- Jackson, M.L. Soil Chemical Analysis; Prentice Hall of India Pvt. Ltd.: New Delhi, India, 1973; pp. 69–182. [Google Scholar]
- Chapman, H.D. Cation-exchange capacity. In Methods of Soil Analysis—Chemical and Microbiological Properties; Black, C.A., Ed.; American Society of Agronomy: Madison, WI, USA, 1965; Volume 9, pp. 891–901. [Google Scholar]
- Gomez, K.A.; Gomez, A.A. Statistical Procedures for Agricultural Research; John Wiley and Sons: New York, NY, USA, 1984. [Google Scholar]
- Dai, Z.; Zhang, X.; Tang, C.; Muhammad, N.; Wu, J.; Brookes, P.C.; Xu, J. Potential role of biochars in decreasing soil acidification-a critical review. Sci. Total Environ. 2017, 581–582, 601–611. [Google Scholar] [CrossRef]
- Fageria, N.K.; Nascente, A.S. Management of soil acidity of South American soils for sustainable crop production. Adv. Agron. 2014, 128, 221–275. [Google Scholar] [CrossRef]
- Sumner, M.; Noble, A. Handbook of Soil Acidity; Rengel, Z., Ed.; Marcel Dekker: New York, NY, USA, 2003; pp. 1–28. [Google Scholar] [CrossRef]
- Holland, J.E.; Bennett, A.E.; Newton, A.C.; White, P.J.; McKenzie, B.M.; George, T.S.; Pakeman, R.J.; Bailey, J.S.; Fornara, D.A.; Hayes, R.C. Liming impacts on soils, crops and biodiversity in the UK: A review. Sci. Total Environ. 2018, 610–611, 316–332. [Google Scholar] [CrossRef] [PubMed]
- Pagani, A.; Mallarino, A.P. Soil pH and crop grain yield as affected by the source and rate of lime. Soil Sci. Soc. Am. J. 2012, 76, 1877–1886. [Google Scholar] [CrossRef]
- Álvarez, E.; Viadé, A.; Fernández-Marcos, M.L. Effect of liming with different sized limestone on the forms of aluminium in a Galician soil (NW Spain). Geoderma 2009, 152, 1–8. [Google Scholar] [CrossRef]
- Bolan, N.S.; Adriano, D.C.; Curtin, D. Soil acidification and liming interactions with nutrient and heavy metal transformation and bioavailability. Adv. Agron. 2003, 78, 215–272. [Google Scholar]
- Briedis, C.; De Moraes, J.C.; Caires, E.F.; De Fátima, J.; Inagaki, T.M.; Boer, A.; De Oliveira, A.; Neto, C.Q.; Canalli, L.B.; Bürkner dos Santos, J. Changes in organic matter pools and increases in carbon sequestration in response to surface liming in an Oxisol under long-term no-till. Soil Sci. Soc. Am. J. 2012, 76, 151–160. [Google Scholar] [CrossRef]
- Ozlu, E.; Kumar, S. Response of surface GHG fluxes to long-term manure and inorganic fertilizer application in corn and soybean rotation. Sci. Total Environ. 2018, 626, 817–825. [Google Scholar] [CrossRef]
- Dong, J.; Yao, L.; Zhang, J.; Feng, J.; Sa, R. Feed Additive Manual; China Agricultural University Press: Beijing, China, 2001; p. 289. (In Chinese) [Google Scholar]
- Hue, N.; Craddock, G.; Adams, F. Effect of organic acids on aluminum toxicity in subsoils. Soil Sci. Soc. Am. J. 1986, 50, 28–34. [Google Scholar] [CrossRef]
- Eghball, B. Liming effects of beef cattle feedlot manure or compost. Commun. Soil Sci. Plant Anal. 1999, 30, 2563–2570. [Google Scholar] [CrossRef]
- Van Chuong, N. Effect of lime, organic and inorganic fertilizers on soil chemical properties and yield of chilli (Capsicum frutescens L.). AGU Int. J. Sci. 2019, 7, 84–90. [Google Scholar]
- Mosharrof, M.; Uddin, M.K.; Jusop, S.; Sulaiman, M.F.; Shamsuzzaman, S.M.; Haque, A.N. Changes in Acidic Soil Chemical Properties and Carbon Dioxide Emission Due to Biochar and Lime Treatments. Agriculture 2021, 11, 219. [Google Scholar] [CrossRef]
- Yagi, R.; Ferreira, M.E.; Cruz, M.; Barbosa, J. Organic matter fractions and soil fertility under the influence of liming, vermicompost and cattle manure. Sci. Agric. 2003, 60, 549–557. [Google Scholar] [CrossRef]
- Kisić, I.; Bašić, F.; Mešić, M.; Butorac, A.; Vađić, Ž. The Effect of Fertilization and Limingon Some Soil Chemical Properties of Eutric Gleysol. AGRIS 2004, 69, 43–49. [Google Scholar]
- Fageria, N.K. Soil quality vs. environmentally-based agricultural management practices. Commun. Soil Sci. Plant Anal. 2002, 33, 2301–2329. [Google Scholar] [CrossRef]
- Cheng, Y.; Wang, J.; Mary, B.; Zhang, J.B.; Cai, Z.C.; Chang, S.X. Soil pH has contrasting effects on gross and net nitrogen mineralizations in adjacent forest and grassland soils in central Alberta, Canada. Soil Biol. Biochem. 2013, 57, 848–857. [Google Scholar] [CrossRef]
- Fageria, N.K.; Baligar, V.C. Ameliorating soil acidity of tropical Oxisols by liming for sustainable crop production. Adv. Agron. 2008, 99, 345–399. [Google Scholar] [CrossRef]
- Li, Y.; Cui, S.; Chang, S.X.; Zhang, Q. Liming effects on soil pH and crop yield depend on lime material type, application method and rate, and crop species: A global meta-analysis. J. Soils Sediments 2018, 19, 1393–1406. [Google Scholar] [CrossRef]
- Jaskulska, I.; Jaskulski, D.; Kobierski, M. Effect of liming on the change of some agrochemical soil properties in a long-term fertilization experiment. Plant Soil Environ. 2014, 60, 146–150. [Google Scholar] [CrossRef]
- Meena, R.S.; Dhakal, Y.; Bohra, J.S.; Singh., S.P.; Singh, M.K.; Sanodiya, P. Influence of Bioinorganic Combinations on Yield, Quality and Economics of Mungbean. Am. J. Exp. Agric. 2015, 8, 159–166. [Google Scholar] [CrossRef]
- Bekere, W. Liming effects on yield and yield attributes of nitrogen fertilizer and bradyrhizobia inoculated soybean (Glycine max L.) grown in acidic soil at Jimma, South Western Ethiopia. J. Biol. 2013, 3, 139–143. [Google Scholar]
- Kisinyo, J.A.; Kebeney, S.J.; Too, E.J.; Opile, W.R. Immediate and residual effects of lime and phosphorus fertilizer on soil acidity and maize production in western Kenya. Exp. Agric. 2014, 50, 128–143. [Google Scholar] [CrossRef]
- Kumar, S.; Meena, R.S.; Yadav, G.S.; Pandey, A. Response of sesame (Sesamum indicum L.) to sulphur and lime application under soil acidity. Int. J. Plant Soil Sci. 2017, 14, 1–9. [Google Scholar] [CrossRef]
- Kemmitt, S.J.; Wright, D.; Goulding, K.W.T.; Jones, D.L. pH regulation of carbon and nitrogen dynamics in two agricultural soils. Soil Biol. Biochem. 2006, 38, 898–911. [Google Scholar] [CrossRef]
- Simonsson, M.; Östlund, A.; Renfjäll, L.; Sigtryggsson, C.; Börjesson, G.; Kätterer, T. Pools and solubility of soil phosphorus as affected by liming in long-term agricultural field experiments. Geoderma 2018, 315, 208–219. [Google Scholar] [CrossRef]
- Johnston, A.; Poulton, P. The importance of long-term experiments in agriculture: Their management to ensure continued crop production and soil fertility; the Rothamsted experience. Eur. J. Soil Sci. 2013, 69, 113–125. [Google Scholar] [CrossRef] [PubMed]
- Alemu, G.; Desalegn, T.; Debele, T.; Adela, A.; Taye, G.; Yirga, C. Effect of lime and phosphorus fertilizer on acid soil properties and barley grain yield at Bedi in Western Ethiopia. Afr. J. Agric. Res. 2017, 12, 3005–3012. [Google Scholar] [CrossRef]
- Von Tucher, S.; Hörndl, D.; Schmidhalter, U. Interaction of soil pH and phosphorus efficacy: Long-term effects of P fertilizer and lime applications on wheat, barley, and sugar beet. Ambio 2018, 47, 41–49. [Google Scholar] [CrossRef]
- Caires, E.F.; Garhuio, F.J.; Churka, S.; Barth, G.; Correa, J.C.L. Effects of Soil Acidity Amelioration by Surface Liming on No-till corn, soybean and wheat root growth and yield. Eur. J. Agron. 2008, 28, 57–64. [Google Scholar] [CrossRef]
- Ernani, P.R.; Bayer, C.; Maestri, L. Corn yield as affected by liming and tillage system on an acid Brazilian Oxisol. Agron. J. 2002, 94, 305–309. [Google Scholar] [CrossRef]
- Murphy, P.N.C.; Sims, J.T. Effects of Lime and Phosphorus Application on Phosphorus Runoff Risk. Water Air Soil Pollut. 2012, 2012, 223. [Google Scholar] [CrossRef]
- Tang, C.; Rene, Z.; Diatloff, E.; Gazey, C. Response of wheat and barley to liming on a sandy soil with subsoil acidity. Field Crop Res. 2003, 80, 235–244. [Google Scholar] [CrossRef]
- Tsakelidou, K. Effect of calcium carbonate as determined by lime requirement buffer pH methods on soil characteristics and yield of sorghum plants. Commun. Soil Sci. Plant Anal. 2000, 31, 1249–1260. [Google Scholar] [CrossRef]
- Sultana, B.S.; Mian, M.M.H.; Islam, M.R.; Rahman, M.M.; Sarker, B.C.; Zoha, M.S. Effect of liming on soil properties, yield and nutrient uptake by wheat. Curr. World Environ. 2009, 4, 39–47. [Google Scholar] [CrossRef]
- Arsat, M.; Gebrekidan, H.; Yli-Halla, M.; Bedadi, B.; Negassa, W. Effect of Integrated Use of Lime, Manure and Mineral P Fertilizer on Bread Wheat (Triticum aestivum) Yield, P uptake and Status of Residual Soil P on Acidic Soils of Gozamin District, North-Western Ethiopia. Agric. For. Fish. 2014, 3, 76–85. [Google Scholar] [CrossRef]
- Jovanovic, Ž.; Djalovic, I.; Komljenovic, I.; Kovacevic, V.; Cvijović, M. Influences of Liming on Vertisol Properties and Yields of The Field Crops. Cereal Res. Commun. 2006, 34, 517–520. [Google Scholar] [CrossRef]
- Samia, B.S. Effect of Liming on Soil Properties and Yield of Wheat. Master’s Thesis, HSTU, Dinajpur, Bangladesh, 2009. [Google Scholar]
- Basak, V. Nutrient Dynamics and Chemical Properties of Acid Soil under Different Liming Conditions in Mungbean Field Followed by Transplanted Aman. Master’s Thesis, HSTU, Dinajpur, Bangladesh, 2010. [Google Scholar]
- Varma, D.; Meena, R.S.; Kumar, S. Response of Mungbean to Fertility and Lime Levels under Soil Acidity in an Alley Cropping System of Vindhyan Region, India. Int. J. Chem. Stud. 2017, 5, 1558–1560. Available online: https://www.chemijournal.com/archives/?year=2017&vol=5&issue=4&ArticleId=851 (accessed on 3 June 2021).
- Meena, R.S.; Varma, D. Mungbean yield and nutrient uptake performance in response of NPK and lime levels under acid soil in Vindhyan region, India. J. Appl. Nat. Sci. 2016, 8, 860–863. [Google Scholar] [CrossRef]
- Cifu, M.; Xiaonan, L.; Zhihong, C.; Zhengyi, H.; Wanzhu, M. Long-term effects of lime application on soil acidity and crop yields on a red soil in Central Zhejiang. Plant Soil 2004, 265, 101–109. [Google Scholar] [CrossRef]
- Kasa, M.; Yebo, B.; Habte, A. Effects of liming and Phosphorus levels on yield and yield components of Haricot bean (Pharsalus vulgarism L.) varieties on Nitosols at Wolaita zone, Ethiopia. Asian J. Crop. Sci. 2014, 6, 245–253. [Google Scholar] [CrossRef][Green Version]
- Zhao, J.; Michalk, L.Y.; Wen, Y.; Kemp, K.R.; Gand, D.; Helen, N. Effect of phosphorus, potassium and lime application on pasture in acidic soils in Yunnan province, China. New Zealand J. Agric. Res. 2007, 50, 523–535. [Google Scholar] [CrossRef]

| Manure | C (g kg−1) | N (g kg−1) | P (g kg−1) | S (g kg−1) | Ca (g kg−1) | Mg (g kg−1) | pH (Water) | Source |
|---|---|---|---|---|---|---|---|---|
| Cow dung | 331.4 | 12.7 | 4.96 | 2.8 | 4.2 | 16.2 | 7.6 | Local household |
| Poultry manure | 335.4 | 30.8 | 23.3 | 5.6 | 6.2 | 18.5 | 8.1 | Local poultry farm |
| Dololime | - | - | - | - | 201 | 107 | 8.3 | Local market |
| Treatments | T. Aman | Wheat | Mungbean | |||
|---|---|---|---|---|---|---|
| Grain Yield (t ha−1) | Straw Yield (t ha−1) | Grain Yield (t ha−1) | Straw Yield (t ha−1) | Grain Yield (t ha−1) | Straw Yield (t ha−1) | |
| T1: Control | 4.24 ± 0.2 f | 4.51 ± 0.26 d | 2.17 ± 0.13 f | 3.11 ± 0.18 e | 0.60 ± 0.03 f | 1.15 ± 0.04 f |
| T2: Lime-1 | 4.36 ± 0.3 e | 4.67 ± 0.27 bcd | 2.97 ± 0.17 c | 4.16 ± 0.24 c | 1.03 ± 0.06 cd | 2.02 ± 0.12 d |
| T3: Lime-2 | 4.39 ± 0.3 e | 4.62 ± 0.27 cd | 3.07 ± 0.18 bc | 4.28 ± 0.25 bc | 1.13 ± 0.07 c | 2.23 ± 0.06 d |
| T4: OM-1 | 4.4 ± 0.25 e | 4.7 ± 0.27 bcd | 2.39 ± 0.14 e | 3.41 ± 0.20 de | 0.84 ± 0.05 e | 1.62 ± 0.09 e |
| T5: OM-2 | 4.73 ± 0.27 c | 4.78 ± 0.28 abc | 2.62 ± 0.15 d | 3.70 ± 0.21 d | 0.90 ± 0.05 de | 1.75 ± 0.10 e |
| T6: Lime-1 OM-1 | 4.25 ± 0.25 f | 4.58 ± 0.26 cd | 3.12 ± 0.18 bc | 4.35 ± 0.25 abc | 1.33 ± 0.08 b | 2.65 ± 0.15 c |
| T7: Lime-1 OM-2 | 4.81 ± 0.28 a | 4.9 ± 0.28 ab | 3.16 ± 0.18 abc | 4.4 ± 0.25 abc | 1.43 ± 0.08 ab | 2.86 ± 0.12 b |
| T8: Lime-2 OM-1 | 4.77 ± 0.28 b | 4.98 ± 0.29 a | 3.23 ± 0.19 ab | 4.68 ± 0.27 ab | 1.48 ± 0.09 ab | 3.00 ± 0.17 b |
| T9: Lime-2 OM-2 | 4.54 ± 0.26 d | 4.73 ± 0.27 abc | 3.35 ± 0.19 a | 4.79 ± 0.28 a | 1.57 ± 0.09 a | 3.33 ± 0.14 a |
| SE (±) | 0.02 | 0.11 | 0.09 | 0.20 | 0.05 | 0.14 |
| CV (%) | 4.3 | 4.9 | 4.0 | 5.9 | 4.4 | 3.16 |
| T. Aman | ||||||||
|---|---|---|---|---|---|---|---|---|
| Treatments | N Uptake (kg ha−1) | P Uptake (kg ha−1) | K Uptake (kg ha−1) | S Uptake (kg ha−1) | ||||
| Grain | Straw | Grain | Straw | Grain | Straw | Grain | Straw | |
| T1: Control | 42.78 ± 2.23 f | 13.97 ± 0.73 e | 8.87 ± 0.46 e | 5.39 ± 0.28 e | 11.01 ± 0.57 f | 50.43 ± 2.62 e | 11.44 ± 0.59 f | 8.11 ± 0.42 f |
| T2: Lime-1 | 48.09 ± 2.42 e | 15.81 ± 0.80 d | 10.52 ± 0.53 d | 7.00 ± 0.35 d | 13.57 ± 0.68 e | 55.43 ± 2.79 d | 12.30 ± 0.59 e | 9.70 ± 0.47 e |
| T3: Lime-2 | 49.96 ± 2.51 d | 15.85 ± 0.80 d | 10.83 ± 0.55 c | 7.84 ± 0.40 c | 14.84 ± 0.75 d | 55.27 ± 2.79 d | 13.12 ± 0.66 d | 9.77 ± 0.49 e |
| T4: OM-1 | 49.35 ± 2.47 de | 17.34 ± 0.87 c | 10.58 ± 0.53 cd | 6.57 ± 0.33 d | 13.70 ± 0.68 e | 54.51 ± 2.72 d | 13.35 ± 0.62 e | 10.32 ± 0.52 d |
| T5: OM-2 | 55.07 ± 2.60 b | 18.87 ± 0.89 b | 11.14 ± 0.53 b | 7.90 ± 0.37 c | 15.45 ± 0.75 c | 56.54 ± 2.74 c | 13.40 ± 0.64 d | 11.30 ± 0.54 c |
| T6: Lime-1 OM-1 | 51.86 ± 2.69 c | 17.18 ± 0.89 c | 10.63 ± 0.55 cd | 7.69 ± 0.40 c | 15.01 ± 0.77 cd | 55.18 ± 2.84 d | 14.07 ± 0.73 c | 10.43 ± 0.54 d |
| T7: Lime-1 OM-2 | 58.07 ± 2.69 a | 19.74 ± 0.91 a | 11.82 ± 0.55 a | 10.06 ± 0.47 a | 16.28 ± 0.77 b | 61.84 ± 2.93 a | 16.53 ± 0.77 a | 12.56 ± 0.59 b |
| T8: Lime-2 OM-1 | 58.42 ± 2.71 a | 19.70 ± 0.90 a | 11.94 ± 0.56 a | 9.14 ± 0.42 b | 16.92 ± 0.79 a | 61.97 ± 2.91 a | 15.61 ± 0.73 b | 13.08 ± 0.61 a |
| T9: Lime-2 OM-2 | 58.21 ± 2.82 a | 18.87 ± 0.91 b | 11.35 ± 0.56 b | 9.66 ± 0.47 a | 16.09 ± 0.79 b | 60.40 ± 2.98 b | 16.21 ± 0.79 a | 12.93 ± 0.63 ab |
| SE (±) | 3.93 | 1.39 | 0.73 | 0.92 | 1.23 | 3.47 | 1.22 | 1.08 |
| CV (%) | 1.03 | 1.14 | 0.83 | 1.90 | 1.22 | 0.67 | 1.31 | 0.56 |
| Wheat | ||||||||
| Treatments | N Uptake (kg ha−1) | P Uptake (kg ha−1) | K Uptake (kg ha−1) | S Uptake (kg ha−1) | ||||
| Grain | Straw | Grain | Straw | Grain | Straw | Straw | Grain | |
| T1: Control | 36.85 ± 1.92 h | 10.25 ± 0.53 f | 4.55 ± 0.25 g | 2.08 ± 0.11 g | 8.68 ± 0.45 g | 44.17 ± 2.29 g | 4.29 ± 0.23 g | 4.62 ± 0.24 g |
| T2: Lime-1 | 51.54 ± 1.95 e | 16.22 ± 0.61 c | 8.12 d ± 0.33 e | 2.81 ± 0.11 e | 12.83 ± 0.50 e | 60.58 ± 2.34 d | 6.40 ± 0.25 d | 7.50 ± 0.29 de |
| T3: Lime-2 | 55.20 ± 2.04 d | 17.04 ± 0.63 c | 8.68 ± 0.33 d | 3.43 ± 0.13 c | 13.21 ± 0.50 e | 62.83 ± 2.36 d | 7.35 ± 0.27 c | 8.34 ± 0.31 c |
| T4: OM-1 | 42.52 ± 2.01 g | 13.35 ± 0.63 e | 6.43 ± 0.29 f | 2.48 ± 0.11 f | 9.98 ± 0.47 f | 49.72 ± 2.36 f | 5.06 ± 0.24 f | 5.18 ± 0.24 f |
| T5: OM-2 | 47.71 ± 2.06 f | 14.95 ± 0.65 d | 7.79 ± 0.33 e | 2.31 ± 0.10 f | 12.43 ± 0.54 e | 55.31 ± 2.41 e | 5.66 ± 0.25 e | 7.01 ± 0.31 e |
| T6: Lime-1 OM-1 | 57.34 ± 2.09 cd | 19.10 ± 0.69 b | 9.84 ± 0.35 c | 3.18 ± 0.11 d | 14.96 ± 0.55 d | 66.93 ± 2.47 c | 7.39 ± 0.27 c | 7.50 ± 0.27 de |
| T7: Lime-1 OM-2 | 59.25 ± 2.12 bc | 19.87 ± 0.71 b | 10.87 ± 0.37 b | 3.31 ± 0.11 cd | 16.06 ± 0.58 c | 69.48 ± 2.49 bc | 7.72 ± 0.28 c | 7.52 ± 0.27 d |
| T8: Lime-2 OM-1 | 61.33 ± 2.13 ab | 20.00 ± 0.69 b | 10.98 ± 0.38 b | 3.70 ± 0.13 b | 17.24 ± 0.60 b | 71.33 ± 2.47 ab | 8.38 ± 0.29 b | 9.24 ± 0.32 b |
| T9: Lime-2 OM-2 | 63.10 ± 2.13 a | 21.05 ± 0.71 a | 12.00 ± 0.39 a | 3.93 ± 0.13 a | 18.37 ± 0.62 a | 73.71 ± 2.49 a | 9.36 ± 0.32 a | 10.07 ± 0.34 a |
| SE (±) | 5.57 | 2.14 | 1.39 | 0.9 | 1.91 | 6.36 | 0.97 | 1.03 |
| CV (%) | 1.69 | 2.11 | 2.71 | 2.11 | 2.34 | 1.64 | 2.37 | 2.31 |
| Mungbean | ||||||||
| Treatments | N Uptake (kg ha−1) | P Uptake (kg ha−1) | K Uptake (kg ha−1) | S Uptake (kg ha−1) | ||||
| Grain | Straw | Grain | Straw | Grain | Straw | Grain | Straw | |
| T1: Control | 21.77 ± 1.26 i | 5.54 ± 0.32 e | 2.40 ± 0.14 i | 0.48 ± 0.03 g | 8.52 ± 0.49 i | 3.56 ± 0.21 e | 2.40 ± 0.14 i | 0.32 ± 0.02 g |
| T2: Lime-1 | 38.62 ± 2.23 f | 5.99 ± 0.35 d | 5.47 ± 0.32 f | 0.72 ± 0.04 e | 15.28 ± 0.88 f | 3.70 ± 0.21 d | 4.85 ± 0.28 f | 0.34 ± 0.02 fg |
| T3: Lime-2 | 42.86 ± 2.47 e | 6.16 ± 0.36 c | 6.56 ± 0.38 e | 0.79 ± 0.05 cd | 16.74 ± 0.97 e | 3.73 ± 0.22 d | 5.88 ± 0.34 e | 0.34 ± 0.02 ef |
| T4: OM-1 | 30.76 ± 1.78 h | 5.55 ± 0.32 e | 3.84 ± 0.22 h | 0.55 ± 0.03 f | 12.45 ± 0.72 h | 3.80 ± 0.22 c | 3.59 ± 0.21 h | 0.35 ± 0.23 ef |
| T5: OM-2 | 33.65 ± 1.94 g | 5.88 ± 0.35 d | 4.34 ± 0.25 g | 0.58 ± 0.03 f | 13.75 ± 0.79 g | 3.83 ± 0.22 c | 4.25 ± 0.25 g | 0.36 ± 0.23 e |
| T6: Lime-1 OM-1 | 50.45 ± 2.92 d | 6.23 ± 0.36 c | 7.43 ± 0.43 d | 0.75 ± 0.04 de | 20.31 ± 1.17 d | 3.83 ± 0.22 c | 6.90 ± 0.40 d | 0.38 ± 0.23 d |
| T7: Lime-1 OM-2 | 54.75 ± 3.16 c | 6.43 ± 0.37 b | 8.40 ± 0.49 c | 0.82 ± 0.05 c | 21.96 ± 1.27 c | 3.93 ± 0.23 b | 7.56 ± 0.44 c | 0.42 ± 0.22 c |
| T8: Lime-2 OM-1 | 57.67 ± 3.33 b | 6.74 ± 0.39 a | 8.85 ± 0.51 b | 0.89 ± 0.05 b | 23.01 ± 1.33 b | 3.97 ± 0.23 b | 7.97 ± 0.46 b | 0.46 ± 0.23 b |
| T9: Lime-2 OM-2 | 61.67 ± 3.56 a | 6.84 ± 0.42 a | 9.60 ± 0.55 a | 0.96 ± 0.06 a | 25.02 ± 1.44 a | 4.04 ± 0.23 a | 8.81 ± 0.51 a | 0.51 ± 0.24 a |
| SE (±) | 0.86 | 0.13 | 0.16 | 0.03 | 0.35 | 0.07 | 0.14 | 0.01 |
| CV (%) | 2.41 | 0.76 | 3.04 | 2.14 | 2.44 | 0.44 | 2.91 | 1.67 |
| Treatments | SOM Content (%) | STN (%) | Available P (ppm) | Exchangeable Ca (cmolc/kg) | ||||
|---|---|---|---|---|---|---|---|---|
| Before | After | Before | After | Before | After | Before | After | |
| T1: Control | 1.54 ± 0.01 c | 1.31 ± 0.01 e | 0.11 ± 0.01 b | 0.09 ± 0.01 c | 7.05 ± 0.04 g | 6.77 ± 0.04 i | 5.20 ± 0.02 f | 4.68 ± 0.02 h |
| T2: Lime-1 | 1.54 ± 0.01 c | 1.42 ± 0.01 d | 0.12 ± 0.01 b | 0.11 ± 0.01 c | 7.31 ± 0.02 f | 9.14 ± 0.03 g | 5.36 ± 0.01 de | 5.90 ± 0.02 f |
| T3: Lime-2 | 1.56 ± 0.01 c | 1.44 ± 0.01 d | 0.12 ± 0.01 b | 0.11 ± 0.01 c | 7.47 ± 0.02 de | 10.08 ± 0.03 d | 5.49 ± 0.01 ab | 6.21 ± 0.01 c |
| T4: OM-1 | 1.58 ± 0.01 b | 1.50 ± 0.01 c | 0.15 ± 0.01 a | 0.16 ± 0.01 b | 7.41 ± 0.01 ef | 8.52 ± 0.01 h | 5.29 ± 0.02 e | 5.71 ± 0.02 g |
| T5: OM-2 | 1.60 ± 0.01 b | 1.54 ± 0.01 b | 0.16 ± 0.01 a | 0.17 ± 0.01 ab | 7.54 ± 0.02 cd | 9.42 ± 0.02 f | 5.34 ± 0.01 de | 6.04 ± 0.01 e |
| T6: Lime-1 OM-1 | 1.60 ± 0.01 b | 1.52 ± 0.01 c | 0.15 ± 0.01 a | 0.16 ± 0.01 ab | 7.63 ± 0.02 bc | 9.92 ± 0.02 e | 5.37 ± 0.01 d | 6.12 ± 0.01 de |
| T7: Lime-1 OM-2 | 1.63 ± 0.02 a | 1.56 ± 0.02 a | 0.16 ± 0.01 a | 0.19 ± 0.02 a | 7.72 ± 0.02 b | 10.42 ± 0.02 c | 5.41 ± 0.01 cd | 6.16 ± 0.01 cd |
| T8: Lime-2 OM-1 | 1.59 ± 0.02 b | 1.51 ± 0.01 c | 0.15 ± 0.01 a | 0.17 ± 0.01 ab | 7.86 ± 0.02 a | 11.00 ± 0.03 b | 5.47 ± 0.02 bc | 6.40 ± 0.02 b |
| T9: Lime-2 OM-2 | 1.63 ± 0.02 a | 1.56 ± 0.02 a | 0.16 ± 0.01 a | 0.19 ± 0.02 a | 7.96 ± 0.01 a | 11.54 ± 0.02 a | 5.55 ± 0.02 a | 6.88 ± 0.03 a |
| SE (±) | 0.01 | 0.02 | 0.01 | 0.01 | 0.05 | 0.26 | 0.02 | 0.11 |
| CV (%) | 0.41 | 0.39 | 4.10 | 6.12 | 0.46 | 0.44 | 0.47 | 0.49 |
| Treatments | Exchangeable Mg (cmolc/kg) | pH | EC (dS/m) | CEC (cmolc/kg) | ||||
| Before | After | Before | After | Before | After | Before | After | |
| T1: Control | 1.35 ± 0.01 g | 1.22 ± 0.01 h | 4.66 ± 0.01 g | 4.10 ± 0.01 g | 0.22 ± 0.01 g | 0.22 ± 0.01 g | 34.97 ± 0.02 b | 33.14 ± 1.43 d |
| T2: Lime-1 | 1.45 ± 0.01 f | 1.60 ± 0.01 f | 5.13 ± 0.01 d | 5.69 ± 0.01 e | 0.26 ± 0.01 f | 0.29 ± 0.01 f | 35.23 ± 0.01 b | 38.75 ± 0.01 bc |
| T3: Lime-2 | 1.51 ± 0.02 e | 1.70 ± 0.01 e | 5.26 ± 0.01 ab | 6.05 ± 0.01 cd | 0.28 ± 0.01 e | 0.33 ± 0.01 e | 35.41 ± 0.01 b | 40.01 ± 0.02 bc |
| T4: OM-1 | 1.37 ± 0.01 g | 1.48 ± 0.01 g | 4.84 ± 0.02 f | 5.33 ± 0.03 f | 0.29 ± 0.02 de | 0.32 ± 0.02 ef | 35.40 ± 0.33 b | 37.63 ± 0.84 c |
| T5: OM-2 | 1.40 ± 0.01 g | 1.58 ± 0.01 f | 4.96 ± 0.01 e | 5.70 ± 0.02 e | 0.30 ± 0.01 de | 0.34 ± 0.02 de | 35.15 ± 0.01 b | 38.53 ± 1.18 bc |
| T6: Lime-1 OM-1 | 1.55 ± 0.02 d | 1.77 ± 0.02 d | 5.18 ± 0.01 cd | 5.95 ± 0.02 d | 0.31 ± 0.01 cd | 0.36 ± 0.01 cd | 35.33 ± 0.01 b | 40.28 ± 0.01 bc |
| T7: Lime-1 OM-2 | 1.61 ± 0.02 c | 1.83 ± 0.02 c | 5.26 ± 0.02 bc | 6.20 ± 0.02 c | 0.34 ± 0.01 bc | 0.40 ± 0.01 bc | 35.42 ± 0.02 b | 40.38 ± 0.02 bc |
| T8: Lime-2 OM-1 | 1.66 ± 0.03 b | 1.94 ± 0.03 b | 5.26 ± 0.01 bc | 6.36 ± 0.02 b | 0.35 ± 0.01 ab | 0.43 ± 0.01 b | 35.54 ± 0.01 b | 41.58 ± 0.01 b |
| T9: Lime-2 OM-2 | 1.72 ± 0.03 a | 2.11 ± 0.03 a | 5.34 ± 0.02 a | 6.69 ± 0.08 a | 0.38 ± 0.02 a | 0.47 ± 0.02 a | 38.22 ± 0.30 a | 45.86 ± 0.36 a |
| SE (±) | 0.02 | 0.05 | 0.04 | 0.014 | 0.01 | 0.01 | 0.19 | 0.66 |
| CV (%) | 0.99 | 1.12 | 0.55 | 0.92 | 2.97 | 3.34 | 0.69 | 2.86 |
| SOM Content (%) | STN (%) | Available P (ppm) | Exchangeable Ca (cmolc/kg) | Exchangeable Mg (cmolc/kg) | Soil pH | EC (dS/m) | CEC (cmolc/kg) | |
|---|---|---|---|---|---|---|---|---|
| SOM content (%) | 1 | |||||||
| STN (%) | 0.398 * | 1 | ||||||
| Available P (ppm) | 0.790 *** | 0.513 ** | 1 | |||||
| Exchangeable Ca (cmolc/kg) | 0.817 *** | 0.434 * | 0.974 *** | 1 | ||||
| Exchangeable Mg (cmolc/kg) | 0.756 *** | 0.610 *** | 0.980 *** | 0.944 *** | 1 | |||
| Soil pH | 0.813 *** | 0.487 ** | 0.985 *** | 0.984 *** | 0.951 *** | 1 | ||
| EC (dS/m) | 0.854 *** | 0.582 ** | 0.932 *** | 0.904 *** | 0.948 *** | 0.895 *** | 1 | |
| CEC (cmolc/kg) | 0.732 *** | 0.524 ** | 0.916 *** | 0.926 *** | 0.930 *** | 0.905 *** | 0.886 *** | 1 |
Publisher’s Note: MDPI stays neutral with regard to jurisdictional claims in published maps and institutional affiliations. |
© 2021 by the authors. Licensee MDPI, Basel, Switzerland. This article is an open access article distributed under the terms and conditions of the Creative Commons Attribution (CC BY) license (https://creativecommons.org/licenses/by/4.0/).
Share and Cite
Islam, M.R.; Jahan, R.; Uddin, S.; Harine, I.J.; Hoque, M.A.; Hassan, S.; Hassan, M.M.; Hossain, M.A. Lime and Organic Manure Amendment Enhances Crop Productivity of Wheat–Mungbean–T. Aman Cropping Pattern in Acidic Piedmont Soils. Agronomy 2021, 11, 1595. https://doi.org/10.3390/agronomy11081595
Islam MR, Jahan R, Uddin S, Harine IJ, Hoque MA, Hassan S, Hassan MM, Hossain MA. Lime and Organic Manure Amendment Enhances Crop Productivity of Wheat–Mungbean–T. Aman Cropping Pattern in Acidic Piedmont Soils. Agronomy. 2021; 11(8):1595. https://doi.org/10.3390/agronomy11081595
Chicago/Turabian StyleIslam, Mohammad Rafiqul, Rounok Jahan, Shihab Uddin, Israt Jahan Harine, Mohammad Anamul Hoque, Sabry Hassan, Mohamed M. Hassan, and Mohammad Anwar Hossain. 2021. "Lime and Organic Manure Amendment Enhances Crop Productivity of Wheat–Mungbean–T. Aman Cropping Pattern in Acidic Piedmont Soils" Agronomy 11, no. 8: 1595. https://doi.org/10.3390/agronomy11081595
APA StyleIslam, M. R., Jahan, R., Uddin, S., Harine, I. J., Hoque, M. A., Hassan, S., Hassan, M. M., & Hossain, M. A. (2021). Lime and Organic Manure Amendment Enhances Crop Productivity of Wheat–Mungbean–T. Aman Cropping Pattern in Acidic Piedmont Soils. Agronomy, 11(8), 1595. https://doi.org/10.3390/agronomy11081595

