Maize Seedling Establishment, Grain Yield and Crop Water Productivity Response to Seed Priming and Irrigation Management in a Mediterranean Arid Environment
Abstract
1. Introduction
2. Materials and Methods
2.1. Laboratory Trial
2.1.1. Seed Priming Treatments
2.1.2. Laboratory Measurements
2.2. Field Trial
2.2.1. Experimental Site and Agricultural Practices
2.2.2. Experimental Design and Treatments
2.2.3. Field Measurements
2.3. Statistical Analysis
3. Results
3.1. Laboratory Measurements
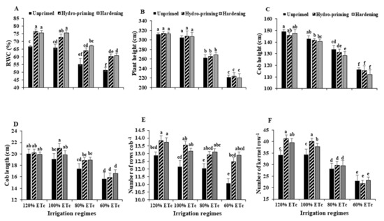
3.2. Grain Yield and Attributed Traits
3.3. Crop Water Productivity (CWP)
3.4. Grain Yield Response to Irrigation Regimes
3.5. Interrelationship Among Measured Traits
4. Discussion
5. Conclusions
Author Contributions
Funding
Data Availability Statement
Acknowledgments
Conflicts of Interest
References
- Ozturk, T.; Ceber, Z.P.; Türkeş, M.; Kurnaz, M.L. Projections of climate change in the Mediterranean Basin by using downscaled global climate model outputs. Int. J. Climatol. 2015, 35, 4276–4292. [Google Scholar] [CrossRef]
- Valdes-Abellan, J.; Pardo, M.; Jódar-Abellán, A.; Pla, C.; Fernandez-Mejuto, M. Climate change impact on karstic aquifer hydrodynamics in southern Europe semi-arid region using the KAGIS model. Sci. Total Environ. 2020, 723, 138110. [Google Scholar] [CrossRef] [PubMed]
- Ullah, H.; Santiago-Arenas, R.; Ferdous, Z.; Attia, A.; Datta, A. Improving water use efficiency, nitrogen use efficiency, and radiation use efficiency in field crops under drought stress: A review. Adv. Agron. 2019, 156, 109–157. [Google Scholar]
- Mansour, E.; Moustafa, E.S.; Desoky, E.M.; Ali, M.; Yasin, M.A.; Attia, A.; Alsuhaibani, N.; Tahir, M.U.; El-Hendawy, S. Multidimensional evaluation for detecting salt tolerance of bread wheat genotypes under actual saline field growing conditions. Plants 2020, 9, 1324. [Google Scholar] [CrossRef] [PubMed]
- Attia, A.; El-Hendawy, S.; Al-Suhaibani, N.; Tahir, M.U.; Mubushar, M.; dos Santos Vianna, M.; Ullah, H.; Mansour, E.; Datta, A. Sensitivity of the DSSAT model in simulating maize yield and soil carbon dynamics in arid Mediterranean climate: Effect of soil, genotype and crop management. Field Crops Res. 2021, 260, 107981. [Google Scholar] [CrossRef]
- Awaad, H.A.; Mansour, E.; Akrami, M.; Fath, H.E.; Javadi, A.A.; Negm, A. Availability and feasibility of water desalination as a non-conventional resource for agricultural irrigation in the mena region: A review. Sustainability 2020, 12, 7592. [Google Scholar] [CrossRef]
- Desoky, E.M.; Mansour, E.; Yasin, M.A.; El Sobky, E.E.; Rady, M.M. Improvement of drought tolerance in five different cultivars of Vicia faba with foliar application of ascorbic acid or silicon. Span. J. Agric. Res. 2020, 18, 16. [Google Scholar] [CrossRef]
- Mansour, E.; Desoky, E.-S.M.; Ali, M.M.; Abdul-Hamid, M.I.; Ullah, H.; Attia, A.; Datta, A. Identifying drought-tolerant genotypes of faba bean and their agro-physiological responses to different water regimes in an arid Mediterranean environment. Agric. Water Manag. 2021, 247, 106754. [Google Scholar] [CrossRef]
- Bodner, G.; Loiskandl, W.; Kaul, H.-P. Cover crop evapotranspiration under semi-arid conditions using FAO dual crop coefficient method with water stress compensation. Agric. Water Manag. 2007, 93, 85–98. [Google Scholar] [CrossRef]
- Jabloun, M.d.; Sahli, A. Evaluation of FAO-56 methodology for estimating reference evapotranspiration using limited climatic data: Application to Tunisia. Agric. Water Manag. 2008, 95, 707–715. [Google Scholar] [CrossRef]
- Allen, R.G.; Pereira, L.S.; Raes, D.; Smith, M. Crop evapotranspiration-Guidelines for computing crop water requirements-FAO Irrigation and drainage paper 56. Fao Rome 1998, 300, D05109. [Google Scholar]
- Penman, H.L. Natural evaporation from open water, bare soil and grass. Proc. R. Soc. Lond. Ser. A Math. Phys. Sci. 1948, 193, 120–145. [Google Scholar]
- Monteith, J. Evaporation and surface temperature. Q. J. R. Meteorol. Soc. 1981, 107, 1–27. [Google Scholar] [CrossRef]
- Tabari, H.; Talaee, P.H. Sensitivity of evapotranspiration to climatic change in different climates. Glob. Planet. Chang. 2014, 115, 16–23. [Google Scholar] [CrossRef]
- Liu, Y.; Liu, Y.; Chen, M.; Labat, D.; Li, Y.; Bian, X.; Ding, Q. Characteristics and drivers of reference evapotranspiration in hilly regions in southern China. Water 2019, 11, 1914. [Google Scholar] [CrossRef]
- FAOSTAT. Food and Agriculture Organization of the United Nations. Available online: http://www.fao.org/statistics/en/ (accessed on 13 March 2021).
- Shiferaw, B.; Prasanna, B.M.; Hellin, J.; Bänziger, M. Crops that feed the world 6. Past successes and future challenges to the role played by maize in global food security. Food Secur. 2011, 3, 307–327. [Google Scholar] [CrossRef]
- Klopfenstein, T.; Erickson, G.; Berger, L. Maize is a critically important source of food, feed, energy and forage in the USA. Field Crops Res. 2013, 153, 5–11. [Google Scholar] [CrossRef]
- Todaka, D.; Shinozaki, K.; Yamaguchi-Shinozaki, K. Recent advances in the dissection of drought-stress regulatory networks and strategies for development of drought-tolerant transgenic rice plants. Front. Plant Sci. 2015, 6, 84. [Google Scholar] [CrossRef]
- Pires, M.V.; de Castro, E.M.; de Freitas, B.S.M.; Lira, J.M.S.; Magalhães, P.C.; Pereira, M.P. Yield-related phenotypic traits of drought resistant maize genotypes. Environ. Exp. Bot. 2020, 171, 103962. [Google Scholar] [CrossRef]
- Shirinbayan, S.; Khosravi, H.; Malakouti, M.J. Alleviation of drought stress in maize (Zea mays) by inoculation with Azotobacter strains isolated from semi-arid regions. Appl. Soil Ecol. 2019, 133, 138–145. [Google Scholar] [CrossRef]
- Mohammadi, H.; Akhondzadeh, M.; Ghorbanpour, M.; Aghaee, A. Physiological responses and secondary metabolite ingredients in sage plants induced by 24-epibrassinolide foliar application under different water deficit regimes. Sci. Hortic. 2020, 263, 109139. [Google Scholar] [CrossRef]
- Desoky, E.M.; Mansour, E.; Ali, M.; Yasin, M.A.; AbdulHamid, M.I.; Rady, M.M.; Ali, E.F. Exogenously used 24-epibrassinolide promotes drought tolerance in maize hybrids by improving plant and water productivity in an arid environment. Plants 2021, 10, 354. [Google Scholar] [CrossRef]
- Farajollahi, Z.; Eisvand, H.R. Storage duration and temperature of hydroprimed seeds affects some growth indices and yield of wheat. Plant Physiol. 2016, 7, 1909–1917. [Google Scholar]
- Damalas, C.A.; Koutroubas, S.D.; Fotiadis, S. Hydro-Priming Effects on Seed Germination and Field Performance of Faba Bean in Spring Sowing. Agri. 2019, 9, 201. [Google Scholar] [CrossRef]
- Golbashy, M.; Ebrahimi, M.; Mostafavi, K. Effects of drought stress on germination indices of corn hybrids (Zea mays L.). Electron. J. Plant Breed. 2012, 3, 664–670. [Google Scholar]
- Mahmoodi, T.M.; Ghassemi-Golezani, K.; Habibi, D.; Paknezhad, F.; Ardekani, M.-R. Effect of hydro-priming duration on seedling vigour and field establishment of maize (Zea mays L.). Res. Crops 2011, 12, 341–345. [Google Scholar]
- Da Silva, C.B.; Marcos-Filho, J.; Jourdan, P.; Bennett, M.A. Performance of bell pepper seeds in response to drum priming with addition of 24-epibrassinolide. HortScience 2015, 50, 873–878. [Google Scholar] [CrossRef]
- Kumar, M.; Pant, B.; Mondal, S.; Bose, B. Hydro and halo priming: Influenced germination responses in wheat Var-HUW-468 under heavy metal stress. Acta Physiol. Plant. 2016, 38, 1–7. [Google Scholar] [CrossRef]
- Sime, G.; Aune, J.B. On-farm seed priming and fertilizer micro-dosing: Agronomic and economic responses of maize in semi-arid Ethiopia. Food Energy Secur. 2020, 9, e190. [Google Scholar] [CrossRef]
- Ashraf, M.; Foolad, M.R. Pre-sowing seed treatment—A shotgun approach to improve germination, plant growth, and crop yield under saline and non-saline conditions. Adv. Agron. 2005, 88, 223–271. [Google Scholar]
- Sliwinska, E.; Bassel, G.W.; Bewley, J.D. Germination of Arabidopsis thaliana seeds is not completed as a result of elongation of the radicle but of the adjacent transition zone and lower hypocotyl. J. Exp. Bot. 2009, 60, 3587–3594. [Google Scholar] [CrossRef]
- Varier, A.; Vari, A.K.; Dadlani, M. The subcellular basis of seed priming. Curr. Sci. 2010, 99, 450–456. [Google Scholar]
- Hussain, S.; Zheng, M.; Khan, F.; Khaliq, A.; Fahad, S.; Peng, S.; Huang, J.; Cui, K.; Nie, L. Benefits of rice seed priming are offset permanently by prolonged storage and the storage conditions. Sci. Rep. 2015, 5, 1–12. [Google Scholar] [CrossRef] [PubMed]
- Gallardo, K.; Job, C.; Groot, S.P.; Puype, M.; Demol, H.; Vandekerckhove, J.; Job, D. Proteomic analysis of Arabidopsis seed germination and priming. Plant Physiol. 2001, 126, 835–848. [Google Scholar] [CrossRef] [PubMed]
- Kibinza, S.; Bazin, J.; Bailly, C.; Farrant, J.M.; Corbineau, F.; El-Maarouf-Bouteau, H. Catalase is a key enzyme in seed recovery from ageing during priming. Plant Sci. 2011, 181, 309–315. [Google Scholar] [CrossRef] [PubMed]
- Patane, C.; Cavallaro, V.; Avola, G.; D’Agosta, G. Seed respiration of sorghum (Sorghum bicolor (L.) Moench during germination as affected by temperature and osmoconditioning. Seed Sci. Res. 2006, 16, 251–260. [Google Scholar] [CrossRef]
- Hussain, S.; Khan, F.; Hussain, H.A.; Nie, L. Physiological and biochemical mechanisms of seed priming-induced chilling tolerance in rice cultivars. Front. Plant Sci. 2016, 7, 116. [Google Scholar] [CrossRef] [PubMed]
- Beckers, G.J.; Conrath, U. Priming for stress resistance: From the lab to the field. Curr. Opin. Plant Biol. 2007, 10, 425–431. [Google Scholar] [CrossRef]
- Jisha, K.; Vijayakumari, K.; Puthur, J.T. Seed priming for abiotic stress tolerance: An overview. Acta Physiol. Plant. 2013, 35, 1381–1396. [Google Scholar] [CrossRef]
- Afzal, I.; Basra, S.M.; Ahmad, N.; Cheema, M.A.; Warraich, E.A.; Khaliq, A. Effect of priming and growth regulator treatments on emergence and seedling growth of hybrid maize (Zea mays L.). Int. J. Agric. Biol. 2002, 4, 303–306. [Google Scholar]
- Farooq, M.; Usman, M.; Nadeem, F.; ur Rehman, H.; Wahid, A.; Basra, S.M.; Siddique, K.H. Seed priming in field crops: Potential benefits, adoption and challenges. Crop Pasture Sci. 2019, 70, 731–771. [Google Scholar] [CrossRef]
- Andoh, H.; Kobata, T. Effct of hardening, wetting and redrying before sowing, on germination and seedling emergence of a Japanese wheat variety Norin 61 in desiccated soil. Plant Prod. Sci. 2001, 4, 50–55. [Google Scholar] [CrossRef]
- Mahajan, G.; Sarlach, R.; Japinder, S.; Gill, M. Seed priming effects on germination, growth and yield of dry direct-seeded rice. J. Crop Improv. 2011, 25, 409–417. [Google Scholar] [CrossRef]
- Mansour, E.; Moustafa, E.S.; El-Naggar, N.Z.; Abdelsalam, A.; Igartua, E. Grain yield stability of high-yielding barley genotypes under Egyptian conditions for enhancing resilience to climate change. Crop Pasture Sci. 2018, 69, 681–690. [Google Scholar] [CrossRef]
- Hatfield, J.L.; Dold, C. Water-use efficiency: Advances and challenges in a changing climate. Front. Plant Sci. 2019, 10, 103. [Google Scholar] [CrossRef]
- Irmak, S.; Djaman, K.; Rudnick, D.R. Effect of full and limited irrigation amount and frequency on subsurface drip-irrigated maize evapotranspiration, yield, water use efficiency and yield response factors. Irrig. Sci. 2016, 34, 271–286. [Google Scholar] [CrossRef]
- Liu, H.; Wang, X.; Zhang, X.; Zhang, L.; Li, Y.; Huang, G. Evaluation on the responses of maize (Zea mays L.) growth, yield and water use efficiency to drip irrigation water under mulch condition in the Hetao irrigation District of China. Agric. Water Manag. 2017, 179, 144–157. [Google Scholar] [CrossRef]
- Bozkurt, S.; Yazar, A. Effects of different drip irrigation levels on yield and some agronomic characteristics of raised bed planted corn. Afr. J. Agric. Res. 2011, 6, 5291–5300. [Google Scholar]
- Kuscu, H.; Karasu, A.; Mehmet, O.; Demir, A.O.; Turgut, I. Effect of irrigation amounts applied with drip irrigation on maize evapotranspiration, yield, water use efficiency, and net return in a sub–humid climate. Turk. J. Field Crops 2013, 18, 13–19. [Google Scholar]
- Kuscu, H.; Demir, A.O. Yield and water use efficiency of maize under deficit irrigation regimes in a sub-humid climate. Philipp. Agric. Sci. 2013, 96, 32–41. [Google Scholar]
- Comas, L.H.; Trout, T.J.; DeJonge, K.C.; Zhang, H.; Gleason, S.M. Water productivity under strategic growth stage-based deficit irrigation in maize. Agric. Water Manag. 2019, 212, 433–440. [Google Scholar] [CrossRef]
- Zhang, H.; Han, M.; Comas, L.H.; DeJonge, K.C.; Gleason, S.M.; Trout, T.J.; Ma, L. Response of maize yield components to growth stage-based deficit irrigation. Agron. J. 2019, 111, 3244–3252. [Google Scholar] [CrossRef]
- NeSmith, D.; Ritchie, J. Effects of soil water-deficits during tassel emergence on development and yield component of maize (Zea mays). Field Crops Res. 1992, 28, 251–256. [Google Scholar] [CrossRef]
- Bharathi, A.; Ragavan, T.; Geethalakshmi, V.; Rathinasamy, A.; Amutha, R. Influence of deficit irrigation schedules on nutrient uptake of maize hybrid under drip system. J. Pharmacogn. Phytochem. 2018, 7, 272–275. [Google Scholar]
- Rafiee, M.; Kalhor, M. Economic water use efficiency of corn (Zea mays L.) hybrids as affected by irrigation regimes: A case study in West Iran. Arch. Agron. Soil Sci. 2016, 62, 781–789. [Google Scholar] [CrossRef]
- Greaves, G.E.; Wang, Y.-M. Effect of regulated deficit irrigation scheduling on water use of corn in southern Taiwan tropical environment. Agric. Water Manag. 2017, 188, 115–125. [Google Scholar] [CrossRef]
- Wang, J.; Tong, L.; Kang, S.; Li, F.; Zhang, X.; Ding, R.; Du, T.; Li, S. Flowering characteristics and yield of maize inbreds grown for hybrid seed production under deficit irrigation. Crop Sci. 2017, 57, 2238–2250. [Google Scholar] [CrossRef]
- Siyami, R.; Mirshekari, B.; Farahvash, F.; Rashidi, V.; Tarinejad, A. The effect of physical priming of seed on traits and yield of corn (Zea mays L.) under water deficit conditions in Iran. Appl. Ecol. Environ. Res. 2018, 16, 617–627. [Google Scholar] [CrossRef]
- Farooq, M.; Basra, S.; Khalid, M.; Tabassum, R.; Mahmood, T. Nutrient homeostasis, metabolism of reserves, and seedling vigor as affected by seed priming in coarse rice. Botany 2006, 84, 1196–1202. [Google Scholar] [CrossRef]
- Hussain, M.; Farooq, M.; Basra, S.M.; Ahmad, N. Influence of seed priming techniques on the seedling establishment, yield and quality of hybrid sunflower. Int. J. Agric. Biol. 2006, 8, 14–18. [Google Scholar]
- Rehman, H.U.; Basra, S.M.A.; Farooq, M. Field appraisal of seed priming to improve the growth, yield, and quality of direct seeded rice. Turk. J. Agric. For. 2011, 35, 357–365. [Google Scholar]
- Nouman, W.; Siddiqui, M.T.; Basra, S.M.A.; Afzal, I.; Rehman, H.U. Enhancement of emergence potential and stand establishment of Moringa oleifera Lam. by seed priming. Turk. J. Agric. For. 2012, 36, 227–235. [Google Scholar]
- Ur Rehman, H.; Iqbal, H.; Basra, S.M.; Afzal, I.; Farooq, M.; Wakeel, A.; Ning, W. Seed priming improves early seedling vigor, growth and productivity of spring maize. J. Integr. Agric. 2015, 14, 1745–1754. [Google Scholar] [CrossRef]
- Adhikary, R.; Mandal, V. Hydro-priming and hydration-dehydration treatment improve seed invigoration and biotic stress tolerance. Russ. Agric. Sci. 2019, 45, 35–42. [Google Scholar] [CrossRef]
- Bakht, J.; Shafi, M.; Shah, R.; Munir, I. Response of maize cultivars to various priming sources. Pak. J. Bot. 2011, 43, 205–212. [Google Scholar]
- Wasaya, A.; Zhang, X.; Fang, Q.; Yan, Z. Root phenotyping for drought tolerance: A review. Agronomy 2018, 8, 241. [Google Scholar] [CrossRef]
- Kipkorir, E.; Raes, D.; Massawe, B. Seasonal water production functions and yield response factors for maize and onion in Perkerra, Kenya. Agric. Water Manag. 2002, 56, 229–240. [Google Scholar] [CrossRef]
- Bozkurt, Y.; Yazar, A.; Gençel, B.; Sezen, M.S. Optimum lateral spacing for drip-irrigated corn in the Mediterranean Region of Turkey. Agric. Water Manag. 2006, 85, 113–120. [Google Scholar] [CrossRef]
- Farré, I.; Faci, J.-M. Deficit irrigation in maize for reducing agricultural water use in a Mediterranean environment. Agric. Water Manag. 2009, 96, 383–394. [Google Scholar] [CrossRef]





| Month | Min. (°C) | Max. (°C) | GDD 1 (°C) | RH. (%) | Prec. (mm) |
|---|---|---|---|---|---|
| First growing season (2019) | |||||
| May | 22.2 | 34.1 | 562.6 | 46 | 0 |
| June | 24.7 | 35.3 | 600.0 | 49 | 0 |
| July | 24.9 | 35.8 | 630.9 | 55 | 0 |
| August | 25.8 | 35.3 | 498.5 | 59 | 0 |
| Second growing season (2020) | |||||
| May | 20.8 | 34.3 | 544.1 | 42 | 0 |
| June | 23.3 | 35.3 | 579.0 | 49 | 0 |
| July | 24.8 | 35.9 | 630.9 | 54 | 0 |
| August | 25.4 | 35.6 | 508.0 | 56 | 0 |
| 20-yr average | |||||
| May | 18.9 | 32.4 | 45 | 0 | |
| June | 21.2 | 34.5 | 47 | 0 | |
| July | 23.1 | 35.1 | 57 | 0 | |
| August | 20.3 | 31.4 | 61 | 0 | |
| Soil Depth (cm) | Soil Bulk Density (g cm−3) | Field Capacity (%) | Wilting Point (%) | Available Moisture (%) | pH | Calcium Carbonate (%) |
|---|---|---|---|---|---|---|
| 0–30 | 1.47 | 13.51 | 6.75 | 6.76 | 7.95 | 0.42 |
| 30–60 | 1.52 | 12.23 | 6.11 | 6.12 | 7.91 | 0.40 |
| 60–90 | 1.56 | 12.11 | 6.05 | 6.05 | 7.80 | 0.40 |
| Soil Depth (cm) | Organic Matter (%) | EC (dS m−1) | Sand (%) | Silt (%) | Clay (%) | Texture |
| 0–30 | 0.47 | 1.63 | 47.95 | 14.03 | 38.02 | Sandy clay |
| 30–60 | 0.35 | 1.60 | 48.19 | 13.81 | 38.00 | Sandy clay |
| 60–90 | 0.31 | 1.53 | 48.23 | 13.87 | 37.90 | Sandy clay |
| Treatment | GP (%) | GI (seed day−1) | EG | MGT (day) | SL (cm) |
|---|---|---|---|---|---|
| Unprimed | 81.33 b | 12.91 b | 2.88 b | 6.70 a | 5.08 b |
| Hydro-priming | 90.66 a | 20.02 a | 3.33 a | 6.17 b | 6.97 b |
| Hardening | 97.33 a | 22.99 a | 3.84 a | 6.08 b | 9.11 a |
| ANOVA | 0.018 | 0.002 | 0.018 | 0.007 | 0.039 |
| Treatment | RL (cm) | SFW (mg) | SDW (mg) | SVI | |
| Unprimed | 15.79 b | 635.20 b | 203.70 b | 1697.4 c | |
| Hydro-priming | 17.65 ab | 658.62 a | 228.12 a | 2237.2 b | |
| Hardening | 19.16 a | 687.45 a | 232.04 a | 2790.6 a | |
| ANOVA | 0.032 | 0.021 | 0.026 | 0.019 |
| Studied Factors | RWC | Plant Height (cm) | Cob Height (cm) | ||||
|---|---|---|---|---|---|---|---|
| 2019 | 2020 | 2019 | 2020 | 2019 | 2020 | ||
| Irrigation regimes (I) | |||||||
| 120% ETc | 72.45 A | 73.34 A | 315.63 A | 304.87 A | 144.01 A | 151.21 A | |
| 100% ETc | 70.56 A | 72.07 A | 310.06 A | 297.21 A | 144.40 A | 148.97 A | |
| 80% ETc | 62.37 B | 61.70 B | 258.71 B | 279.89 B | 136.43 B | 135.68 B | |
| 60% ETc | 57.19 C | 57.60 C | 212.60 C | 237.97 C | 109.44 C | 119.85 C | |
| Priming treatments (P) | |||||||
| Unprimed | 61.65 b | 57.70 b | 274.58 | 277.00 | 136.22 a | 134.99 a | |
| Hydro-priming | 66.70 a | 69.99 a | 276.61 | 279.38 | 132.68 b | 133.35 b | |
| Hardening | 68.58 a | 70.84 a | 275.06 | 280.57 | 131.81 b | 131.44 c | |
| ANOVA | df | p-value of main effects and their interaction | |||||
| I | 3 | 0.006 | 0.005 | <0.001 | <0.001 | <0.001 | <0.001 |
| P | 2 | 0.017 | <0.001 | 0.23 | 0.36 | 0.012 | 0.027 |
| I × P | 6 | 0.048 | 0.037 | 0.072 | 0.081 | 0.73 | 0.62 |
| Studied Factors | Cob Length (cm) | Number of Rows Cob−1 | Number of Kernels Row−1 | ||||
| 2019 | 2020 | 2019 | 2020 | 2019 | 2020 | ||
| Irrigation regimes (I) | |||||||
| 120% ETc | 20.77 A | 19.34 A | 13.58 A | 13.39 A | 42.17 A | 34.50 A | |
| 100% ETc | 20.67 A | 18.28 AB | 13.18 AB | 12.71AB | 41.57 A | 33.24 A | |
| 80% ETc | 19.14 B | 17.64 AB | 13.05 AB | 12.3 BC | 33.31 B | 25.04 B | |
| 60% ETc | 16.94 C | 15.16 C | 12.63 B | 11.66 C | 26.4 C | 19.03 C | |
| Priming treatments (P) | |||||||
| Unprimed | 17.68 b | 16.42 b | 12.74 b | 11.32 b | 35.43 b | 24.55 c | |
| Hydro-priming | 19.53 a | 18.39 a | 13.43 a | 12.95 a | 35.95 ab | 30.47 b | |
| Hardening | 19.68 a | 18.01 a | 13.16 a | 13.27 a | 36.21 a | 31.84 a | |
| ANOVA | df | p-value of main effects and their interaction | |||||
| I | 3 | 0.019 | <0.001 | 0.001 | 0.008 | 0.008 | <0.001 |
| P | 2 | 0.016 | 0.003 | 0.026 | 0.001 | 0.003 | 0.001 |
| I × P | 6 | 0.025 | 0.041 | 0.035 | 0.044 | 0.013 | 0.002 |
| Studied Factors | Kernel Weight cob−1 | Shelling Percentage | 100-Kernel Weight (g) | ||||
|---|---|---|---|---|---|---|---|
| 2019 | 2020 | 2019 | 2020 | 2019 | 2020 | ||
| Irrigation regimes (I) | |||||||
| 120% ETc | 131.31 A | 123.99 A | 75.37 A | 72.87 A | 27.03 A | 27.63 A | |
| 100% ETc | 124.57 A | 111.76 A | 73.38 A | 72.81 A | 26.04 AB | 26.13 A | |
| 80% ETc | 78.24 B | 81.73 B | 69.26 AB | 65.80 B | 25.38 B | 23.48 B | |
| 60% ETc | 65.32 B | 55.79 C | 65.27 B | 61.93 B | 23.13 C | 23.41 B | |
| Priming treatments (P) | |||||||
| Unprimed | 89.25 c | 82.18 c | 68.65 b | 65.55 b | 24.57 b | 21.47 b | |
| Hydro-priming | 100.50 b | 96.12 b | 71.60 a | 69.77 a | 25.50 ab | 27.91 a | |
| Hardening | 106.29 a | 101.65 a | 72.22 a | 69.80 a | 26.11 a | 26.10 a | |
| ANOVA | df | p-value of main effects and their interaction | |||||
| I | 3 | 0.001 | <0.001 | 0.035 | 0.032 | 0.001 | 0.004 |
| P | 2 | 0.038 | 0.001 | 0.031 | 0.015 | 0.012 | <0.001 |
| I × P | 6 | 0.046 | 0.025 | 0.039 | 0.036 | 0.025 | 0.045 |
| Studied Factors | Grain Yield ha−1 (kg) | Harvest Index (%) | CWP (kg m−3) | ||||
| 2019 | 2020 | 2019 | 2020 | 2019 | 2020 | ||
| Irrigation regimes (I) | |||||||
| 120% ETc | 7351.2 A | 7597.9 A | 35.88 AB | 35.62 AB | 1.06 C | 1.09 B | |
| 100% ETc | 7246.7 A | 7492.8 A | 38.89 A | 37.24 A | 1.25 A | 1.29 A | |
| 80% ETc | 5330.5 B | 5982.8 B | 34.74 AB | 33.83 AB | 1.15 | 1.28 A | |
| 60% ETc | 4249.4 C | 4250.1 C | 30.11 B | 27.39 B | 1.22 A | 1.22 A | |
| Priming treatments (P) | |||||||
| Unprimed | 5675.8 b | 5904.3 b | 33.35 b | 32.53 b | 1.09 b | 1.13 c | |
| Hydro-priming | 6215.2 a | 6384.6 a | 35.53 a | 34.81 a | 1.21 a | 1.23 b | |
| Hardening | 6242.3 a | 6703.9 a | 36.84 a | 34.17 a | 1.21 a | 1.31 a | |
| ANOVA | df | p-value of main effects and their interaction | |||||
| I | 3 | <0.001 | <0.001 | 0.040 | 0.031 | <0.001 | 0.0046 |
| P | 2 | 0.004 | 0.002 | 0.039 | 0.036 | <0.001 | <0.001 |
| I × P | 6 | 0.035 | 0.028 | 0.026 | 0.045 | 0.044 | 0.028 |
Publisher’s Note: MDPI stays neutral with regard to jurisdictional claims in published maps and institutional affiliations. |
© 2021 by the authors. Licensee MDPI, Basel, Switzerland. This article is an open access article distributed under the terms and conditions of the Creative Commons Attribution (CC BY) license (https://creativecommons.org/licenses/by/4.0/).
Share and Cite
El-Sanatawy, A.M.; El-Kholy, A.S.M.; Ali, M.M.A.; Awad, M.F.; Mansour, E. Maize Seedling Establishment, Grain Yield and Crop Water Productivity Response to Seed Priming and Irrigation Management in a Mediterranean Arid Environment. Agronomy 2021, 11, 756. https://doi.org/10.3390/agronomy11040756
El-Sanatawy AM, El-Kholy ASM, Ali MMA, Awad MF, Mansour E. Maize Seedling Establishment, Grain Yield and Crop Water Productivity Response to Seed Priming and Irrigation Management in a Mediterranean Arid Environment. Agronomy. 2021; 11(4):756. https://doi.org/10.3390/agronomy11040756
Chicago/Turabian StyleEl-Sanatawy, AbdAllah M., Ahmed S. M. El-Kholy, Mohamed M. A. Ali, Mohamed F. Awad, and Elsayed Mansour. 2021. "Maize Seedling Establishment, Grain Yield and Crop Water Productivity Response to Seed Priming and Irrigation Management in a Mediterranean Arid Environment" Agronomy 11, no. 4: 756. https://doi.org/10.3390/agronomy11040756
APA StyleEl-Sanatawy, A. M., El-Kholy, A. S. M., Ali, M. M. A., Awad, M. F., & Mansour, E. (2021). Maize Seedling Establishment, Grain Yield and Crop Water Productivity Response to Seed Priming and Irrigation Management in a Mediterranean Arid Environment. Agronomy, 11(4), 756. https://doi.org/10.3390/agronomy11040756

