Effect of Growing Media pH on Performance of Huanglongbing-Affected Young Citrus Trees
Abstract
1. Introduction
2. Materials and Methods
2.1. Plant Material and Growing Conditions
2.2. Tree Growth
2.3. Midday Stem Water Potential
2.4. Physical, Chemical, and Nutrient Profile of Hydroponic Solution and Trees
2.5. Feeder Root Characteristics
2.6. RNA Extraction and Gene Expression Analysis
2.7. Statistical Analysis
3. Results
3.1. Plant Growth
3.2. Midday Stem Water Potential
3.3. Physical, Chemical, and Nutrient Profile of Hydroponic Solution and Trees
3.4. Feeder Root Characteristics
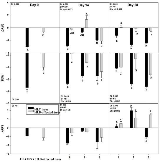
3.5. Gene Expression Analysis
4. Discussion
5. Conclusions
Supplementary Materials
Author Contributions
Funding
Institutional Review Board Statement
Informed Consent Statement
Data Availability Statement
Conflicts of Interest
References
- Halbert, S.E.; Manjunath, K.L. Asian citrus psyllids (Sternorrhyncha: Psyllidae) and greening disease of citrus: A literature review and assessment of risk in Florida. Fla. Entomol. 2004, 87, 330–353. [Google Scholar] [CrossRef]
- Jagoueix, S.; Bové, J.M.; Garnier, M. PCR detection of the two«Candidatus»liberobacter species associated with greening disease of citrus. Mol. Cell. Probes 1996, 10, 43–50. [Google Scholar] [CrossRef]
- US. Department of Agriculture (USDA). Florida Citrus Fruit Size and Drop, 2018–2019; Department of Agriculture: Washington, DC, USA, 2019.
- Kim, E.H.; Kim, Y.S.; Park, S.-H.; Koo, Y.J.; Choi, Y.D.; Chung, Y.-Y.; Lee, I.-J.; Kim, J.-K. Methyl Jasmonate Reduces Grain Yield by Mediating Stress Signals to Alter Spikelet Development in Rice. Plant Physiol. 2009, 149, 1751–1760. [Google Scholar] [CrossRef]
- Etxeberria, E.; Gonzalez, P.; Achor, D.; Albrigo, G. Anatomical distribution of abnormally high levels of starch in HLB-affected Valencia orange trees. Physiol. Mol. Plant Pathol. 2009, 74, 76–83. [Google Scholar] [CrossRef]
- Bové, J.M. Huanglongbing: A destructive, newly-emerging, century-old disease of citrus. J. Plant Pathol. 2006, 1, 7–37. [Google Scholar]
- Tang, L.; Chhajed, S.; Vashisth, T. Preharvest fruit drop in Huanglongbing-affected ‘Valencia’ sweet orange. J. Am. Soc. Hortic. Sci. 2019, 144, 107–117. [Google Scholar] [CrossRef]
- Morgan, K.T.; Graham, J.H. Nutrient Status and Root Density of Huanglongbing-Affected Trees: Consequences of Irrigation Water Bicarbonate and Soil pH Mitigation with Acidification. Agronomy 2019, 9, 746. [Google Scholar] [CrossRef]
- Ghimire, L.; Kadyampakeni, D.; Vashisth, T. Effect of Irrigation Water pH on the Performance of Healthy and Huanglongbing-affected Citrus. J. Am. Soc. Hortic. Sci. 2020, 145, 1–10. [Google Scholar] [CrossRef]
- Obreza, T.A.; Zekri, M.; Hanlon, E.W. Soil and leaf tissue testing. In Nutrition of Florida Citrus Trees, 2nd ed.; Obreza, T.A., Morgan, K.T., Eds.; Fla. Coop. Ext. Publ. Florida, IFAS, University of Florida: Florida, FL, USA, 2008; pp. 24–32. [Google Scholar]
- Graham, J.; Johnson, E.; Morgan, K. What growers need to know about bicarbonates and root health? Citrus Ind. 2014, 95, 6–9. Available online: https://crec.ifas.ufl.edu/extension/trade_journals/2014/2014_January_root_health.pdf (accessed on 2 December 2020).
- Kadyampakeni, D.M. Citrus advanced production system: Understanding water and NPK uptake and leaching in Florida Flatwoods and Ridge soils. Ph.D. Thesis, University of Florida, Florida, FL, USA, 2012. [Google Scholar]
- Kadyampakeni, D.M.; Morgan, K.T.; Schumann, A.W.; Nkedi-Kizza, P. Effect of Irrigation Pattern and Timing on Root Density of Young Citrus Trees Infected with Huanglongbing Disease. HortTechnology 2014, 24, 209–221. [Google Scholar] [CrossRef]
- Shahzad, F.; Chun, C.; Schumann, A.; Vashisth, T. Nutrient uptake in Huanglongbing-affected sweet orange: Tran-scriptomic and physiological analysis. J. Am. Soc. Hortic. Sci. 2020, 145, 349–362. [Google Scholar] [CrossRef]
- Lucas, R.E.; Davis, J.F. Relationships between pH values of organic soils and availabilities of 12 plant nutrients. Soil Sci. 1961, 92, 177–182. [Google Scholar] [CrossRef]
- Vashisth, T.; Livingston, T. Assessment of Pruning and Controlled-release Fertilizer to Rejuvenate Huanglongbing-affected Sweet Orange. HortTechnology 2019, 29, 933–940. [Google Scholar] [CrossRef]
- Morgan, K.T.; Barkataky, S.; Kadyampakeni, D.; Ebel, R.; Roka, F. Effects of Short-term Drought Stress and Mechanical Harvesting on Sweet Orange Tree Health, Water Uptake, and Yield. HortScience 2014, 49, 835–842. [Google Scholar] [CrossRef]
- Rio, D.C. Denaturation and Electrophoresis of RNA with Formaldehyde. Cold Spring Harb. Protoc. 2015, 2, 219–222. [Google Scholar] [CrossRef] [PubMed]
- Mafra, V.; Kubo, K.S.; Alves-Ferreira, M.; Ribeiro-Alves, M.; Stuart, R.M.; Boava, L.P.; Rodrigues, C.M.; Machado, M.A. Reference Genes for Accurate Transcript Normalization in Citrus Genotypes under Different Experimental Conditions. PLoS ONE 2012, 7, e31263. [Google Scholar] [CrossRef]
- Mafra, V.; Martins, P.K.; Francisco, C.S.; Ribeiro-Alves, M.; Freitas-Astúa, J.; A Machado, M. Candidatus Liberibacter americanus induces significant reprogramming of the transcriptome of the susceptible citrus genotype. BMC Genom. 2013, 14, 247. [Google Scholar] [CrossRef] [PubMed]
- Valdez-Aguilar, L.A.; Reed, D.W. Influence of potassium substitution by rubidium and sodium on growth, ion accumulation, and ion partitioning in bean under high alkalinity. J. Plant Nutr. 2008, 31, 867–883. [Google Scholar] [CrossRef]
- Ksouri, R.; Debez, A.; Mahmoudi, H.; Ouerghi, Z.; Gharsalli, M.; Lachaâl, M. Genotypic variability within Tunisian grapevine varieties (Vitis vinifera L.) facing bicarbonate-induced iron deficiency. Plant Physiol. Biochem. 2007, 45, 315–322. [Google Scholar] [CrossRef]
- Khunaw, A.R.; Radziah, O.; Nusaibah, S.A.; Hanafi, M.M. Effect of ph on growth of oil palm seedlings and basal stem rot disease incidence in ganoderma inoculated plants. J. Kirkuk Univ. Agric. Sci. 2019, 2018, 75–81. [Google Scholar]
- Hamido, S.A.; Morgan, K.T.; Ebel, R.C.; Kadyampakeni, D.M. Improved Irrigation Management of Sweet Orange with Huanglongbing. HortScience 2017, 52, 916–921. [Google Scholar] [CrossRef]
- Gasque, M.; Martí, P.; Granero, B.; González-Altozano, P. Effects of long-term summer deficit irrigation on ‘Navelina’ citrus trees. Agric. Water Manag. 2016, 169, 140–147. [Google Scholar] [CrossRef]
- Rayle, D.L.; Cleland, R. Enhancement of Wall Loosening and Elongation by Acid Solutions. Plant Physiol. 1970, 46, 250–253. [Google Scholar] [CrossRef] [PubMed]
- Zambon, F.T.; Kadyampakeni, D.M.; Grosser, J.W. Ground Application of Overdoses of Manganese Have a Therapeutic Effect on Sweet Orange Trees Infected with Candidatus Liberibacter asiaticus. HortScience 2019, 54, 1077–1086. [Google Scholar] [CrossRef]
- Vashisth, T. Nutrition: No one size fits all. Citrus Ind. 2000. Available online: https://citrusindustry.net/2020/03/05/nutrition-no-one-size-fits-all/ (accessed on 2 December 2020).
- Ishizuka, Y. Nutrient Deficiencies of Crops; Asian and Pacific Council: Taipei, Taiwan, 1978; p. 102. [Google Scholar]
- Williams, J.; Smith, S.G. Correcting potassium deficiency can reduce rice stem diseases. Better Crops 2001, 85, 7–9. [Google Scholar]
- Lea-Cox, J.D.; Syvertsen, J.P. Salinity reduces water use and nitrate-N-use efficiency of citrus. Ann. Bot. 1993, 72, 47–54. [Google Scholar] [CrossRef]
- Stafstrom, J.P. Regulation of growth and dormancy in pea axillary buds. In Dormancy in Plants; Viémont, J.D., Crabbé, J., Eds.; CAB International: Wallingford, UK, 2000; pp. 331–346. [Google Scholar]
- Govind, G.; Harshavardhan, V.T.; Patricia, J.K.; Dhanalakshmi, R.; Kumar, M.S.; Sreenivasulu, N.; Udayakumar, M. Identification and functional validation of a unique set of drought induced genes preferentially expressed in response to gradual water stress in peanut. Mol. Genet. Genom. 2009, 281, 607. [Google Scholar] [CrossRef]
- Yang, S.; Yang, H.; Grisafi, P.; Sanchatjate, S.; Fink, G.R.; Sun, Q.; Hua, J. The BON/CPN gene family represses cell death and promotes cell growth in Arabidopsis. Plant J. 2006, 45, 166–179. [Google Scholar] [CrossRef]
- Lee, T.-F.; McNellis, T.W. Evidence that the BONZAI1/COPINE1 protein is a calcium- and pathogen-responsive defense suppressor. Plant Mol. Biol. 2008, 69, 155–166. [Google Scholar] [CrossRef] [PubMed]
- Reddy, A.S. Calcium: Silver bullet in signaling. Plant Sci. 2001, 160, 381–404. [Google Scholar] [CrossRef]
- Shirasu, K.; Schulze-Lefert, P. Regulators of cell death in disease resistance. In Programmed Cell Death in Higher Plants; Lam, E., Fukuda, H., Greenberg, J., Eds.; Springer: Dordrecht, The Netherlands, 2000; Volume 44, pp. 127–141. [Google Scholar]
- Perochon, A.; Aldon, D.; Galaud, J.-P.; Ranty, B. Calmodulin and calmodulin-like proteins in plant calcium signaling. Biochimie 2011, 93, 2048–2053. [Google Scholar] [CrossRef] [PubMed]
- Reddy, A.; Ben-Hur, A.; Day, I.S. Experimental and computational approaches for the study of calmodulin interactions. Phytochemistry 2011, 72, 1007–1019. [Google Scholar] [CrossRef]
- Patterson, S.E. Cutting Loose. Abscission and Dehiscence in Arabidopsis. Plant Physiol. 2001, 126, 494–500. [Google Scholar] [CrossRef] [PubMed]
- González-Carranza, Z.H.; Whitelaw, C.A.; Swarup, R.; Roberts, J.A. Temporal and spatial expression of a polygalac-turonase during leaf and flower abscission in oilseed rape and Arabidopsis. Plant Physiol. 2002, 128, 534–543. [Google Scholar] [CrossRef] [PubMed]
- González-Carranza, Z.H.; Elliott, K.A.; Roberts, J.A. Expression of polygalacturonases and evidence to support their role during cell separation processes in Arabidopsis thaliana. J. Exp. Bot. 2007, 58, 3719–3730. [Google Scholar] [CrossRef]
- Kim, H.J.; Hong, S.H.; Kim, Y.W.; Lee, I.H.; Jun, J.H.; Phee, B.-K.; Rupak, T.; Jeong, H.; Lee, Y.; Hong, B.S.; et al. Gene regulatory cascade of senescence-associated NAC transcription factors activated by ETHYLENE-INSENSITIVE2-mediated leaf senescence signalling in Arabidopsis. J. Exp. Bot. 2014, 65, 4023–4036. [Google Scholar] [CrossRef] [PubMed]
- Patharkar, O.R.; Walker, J.C. Advances in abscission signaling. J. Exp. Bot. 2018, 69, 733–740. [Google Scholar] [CrossRef]
- Guo, H.; Ecker, J.R. The ethylene signaling pathway: New insights. Curr. Opin. Plant Biol. 2004, 7, 40–49. [Google Scholar] [CrossRef]
- Weaver, L.M.; Gan, S.; Quirino, B.; Amasino, R.M. A comparison of the expression patterns of several senescence-associated genes in response to stress and hormone treatment. Plant Mol. Biol. 1998, 37, 455–469. [Google Scholar] [CrossRef]
- Espinoza, C.; Medina, C.; Somerville, S.; Arce-Johnson, P. Senescence-associated genes induced during compatible viral interactions with grapevine and Arabidopsis. J. Exp. Bot. 2007, 58, 3197–3212. [Google Scholar] [CrossRef] [PubMed]
- Navabpour, S.; Bagherieh-Najjar, M.B.; Soltanloo, H. Identification of novel genes expressed in Brassica napus during leaf senescence and in response to oxidative stress. Int. J. Plant Prod. 2012, 1, 35–44. [Google Scholar]
- Jeong, J.; Connolly, E.L. Iron uptake mechanisms in plants: Functions of the FRO family of ferric reductases. Plant Sci. 2009, 176, 709–714. [Google Scholar] [CrossRef]






| Parameters | p Value | Disease | pH 6.0 | pH 7.0 | pH 8.0 |
|---|---|---|---|---|---|
| Increase in SPAD value | DI NS pH 0.049 DI × pH NS | HLY | 52.6 ± 27.5 a | 19.1 ± 10.7 ab | 8.15 ± 11.5 b |
| HLB | 42.0 ± 21.8 a | 22.9 ± 12.9 ab | 12.6 ± 13.7 b | ||
| Increase in trunk diameter | DI NS pH NS DI × pH NS | HLY | 5.29 ± 4.74 | 8.42 ± 3.00 | 8.47 ± 2.97 |
| HLB | 4.62 ± 5.46 | 6.32 ±3.99 | 3.35 ± 10.0 | ||
| D 14, stem water potential (MPa) | DI NS pH 0.033 DI × pH 0.015 | HLY | −1.5 ± 0.24 AB | −1.4 ± 0.33 AB | −1.7 ± 0.24 B |
| HLB | −0.96 ± 0.21 A | −1.98 ± 0.30 B | −1.5 ± 0.24 AB | ||
| D 28, stem water potential (MPa) | DI NS pH 0.025 DI × pH 0.033 | HLY | −1.6 ± 0.50 AB | -1.3 ± 0.40 A | −1.8 ± 0.50 AB |
| HLB | −1.1 ± 0.39 A | −1.9 ± 0.63 AB | −2.3 ± 0.78 B | ||
| Biomass | |||||
| Fresh shoot biomass (g) | DI NS pH NS DI × pH NS | HLY | 20.6 ± 2.79 | 25.2 ± 4.02 | 21.6 ± 3.87 |
| HLB | 19.8 ± 1.80 | 20.6 ± 3.63 | 19.0 ± 3.60 | ||
| Fresh root biomass (g) | DI 0.04 pH NS DI × pH NS | HLY | 23.0 ± 2.85 a | 30.0 ± 2.67 a | 22.5 ± 4.14 a |
| HLB | 13.6 ± 4.80 b | 16.5 ± 5.55 b | 20.8 ± 4.08 b | ||
| Dry shoot biomass (g) | DI NS pH NS DI × pH NS | HLY | 13.7 ± 0.87 | 14.2 ± 0.63 | 14.3 ± 1.04 |
| HLB | 11.2 ± 0.59 | 13.2 ± 0.73 | 12.3 ± 0.95 | ||
| Dry root biomass (g) | DI NS pH NS DI × pH NS | HLY | 12.5 ± 0.74 | 13.0 ± 0.61 | 12.0 ± 1.12 |
| HLB | 6.0 ± 0.68 | 10.8 ± 0.77 | 7.60 ± 1.04 | ||
| Hoagland solution | |||||
| Electrical conductivity (µS/cm) | DI NS pH 0.001 DI × pH 0.009 | HLY | 1488 ± 141 B | 1189 ± 107 B | 1401 ± 203 AB |
| HLB | 1503 ± 32.3 B | 1173 ± 98.8 B | 1602 ± 144 A | ||
| Nutrient (mg·kg−1) | Tree Part | HLY | HLB | Optimum Range | p Value | ||||
|---|---|---|---|---|---|---|---|---|---|
| pH 6.0 | pH 7.0 | pH 8.0 | pH 6.0 | pH 7.0 | pH 8.0 | (mg·kg−1) | |||
| N | Leaf | 25500 ± 100 b | 29250 ± 1150 a | 24900 ± 200 b | 26400 ± 100 b | 28700 ± 3300 a | 22150 ± 2250 b | 25,000−27,000 | DI NS pH 0.001 DI × pH NS |
| Whole tree | 60700 ± 1242 D | 66500 ± 245 BC | 63150 ± 911 DC | 72167 ± 3966 A | 70650 ± 1516 AB | 60225 ± 2727 D | DI 0.001 pH 0.001 DI × pH 0.001 | ||
| P | Leaf | 3500 ± 600 B | 5050 ± 50 A | 4700 ± 200 AB | 4050 ± 350 AB | 3650 ± 1150 AB | 3550 ± 450 B | 1200–1600 | DI 0.032 pH NS DI × pH 0.027 |
| Whole tree | 8650 ± 481.3 D | 16183 ± 2697 A | 11775 ± 263 B | 9133 ± 455 DC | 11500 ± 1128 BC | 11600 ± 642 B | DI 0.011 pH 0.001 DI × pH 0.001 | ||
| K | Leaf | 31600 ± 400 | 32450 ± 650 | 34650 ± 1150 | 30200 ± 1700 | 31950 ± 3650 | 32300 ± 2900 | 12000–17000 | DI NS pH NS DI × pH NS |
| Whole tree | 52325 ± 1037 B | 57233 ± 818 AB | 59625 ± 674 A | 61383 ± 3331 A | 57750 ± 4109 AB | 56350 ± 3687 AB | DI 0.07 pH NS DI × pH 0.001 | ||
| Ca | Leaf | 28550 ± 2950 AB | 31600 ± 400 A | 30100 ± 300 AB | 30650 ± 1650 AB | 26650 ± 1850 B | 29400 ± 2500 AB | 30000–49000 | DI NS pH NS DI × pH 0.022 |
| Whole tree | 49750 ± 2339 C | 68183 ± 5958 A | 56425 ± 775 BC | 59133 ± 2590 B | 54775 ± 3570 BC | 58675 ± 3468 B | DI NS pH 0.003 DI × pH 0.001 | ||
| Mg | Leaf | 4550 ± 250 a | 4350 ± 150 a | 3850 ± 250 a | 3500 ± 700 b | 3450 ± 450 b | 3750 ± 250 b | 3000–4900 | DI 0.003 pH NS DI × pH NS |
| Whole tree | 8250 ± 402 | 8500 ± 81.6 | 8475 ± 359 | 8883 ± 706 | 8150 ± 255 | 8075 ± 260 | DI NS pH NS DI × pH NS | ||
| S | Leaf | 4700 ± 800 B | 5900 ± 100 AB | 6850 ± 150 A | 4850 ± 50 B | 4550 ± 1150 B | 5150 ± 450 AB | DI 0.005 pH 0.014 DI × pH 0.048 | |
| Whole tree | 9900 ± 596 C | 11500 ± 81.6 AB | 12325 ± 176 A | 10900 ± 294 BC | 9800 ± 979 C | 10475 ± 614 BC | DI 0.001 pH 0.005 DI × pH 0.001 | ||
| B | Leaf | 70.8 ± 5.20 | 68.8 ± 7.40 | 79.8 ± 1.80 | 72.8 ± 10.6 | 66.9 ± 17.6 | 72.1 ± 9.90 | 36.0–100 | DI NS pH NS DI × pH NS |
| Whole tree | 101.2 ± 4.0 | 101.7 ± 6.9 | 112.6 ± 1.30 | 109.2 ± 10.0 | 99.5 ± 14.5 | 105.2 ± 7.8 | DI NS pH NS DI × pH NS | ||
| Zn | Leaf | 22.4 ± 1.0 A | 20.4 ± 0.40 AB | 17.5 ± 1.30 ABC | 13.1 ± 1.50 C | 16.6 ± 3.20 BC | 17.9 ± 2.80 ABC | 25–100 | DI 0.001 pH NS DI × pH 0.004 |
| Whole tree | 229.7 ± 54.5 BC | 226.4 ± 3.10 BC | 347.8 ± 19.2 A | 272.8 ± 80.9 AB | 331.8 ± 35.9 A | 143.7 ± 7.5 C | DI NS pH NS DI × pH 0.001 | ||
| Mn | Leaf | 8.5 ± 0.90 A | 4.1 ± 0.10 BC | 6.9 ± 0.40 AB | 3.8 ± 1.60 C | 5.7 ± 0.80 ABC | 3.8 ± 1.30 C | 25–100 | DI 0.001 pH NS DI × pH 0.001 |
| Whole tree | 1470 ± 368 a | 1254 ± 151 b | 580.8 ± 10.7 c | 1997 ± 50.2 a | 983.9 ± 72.4 b | 500.9 ± 64.9 c | DI NS pH 0.001 DI × pH NS | ||
| Fe | Leaf | 44.0 ± 6.10 AB | 44.1 ± 1.30 AB | 46.4 ± 6.60 AB | 53.3 ± 4.5 A | 36.3 ± 4.1 B | 51.5 ± 3.0 A | 60–120 | DI NS pH 0.010 DI × pH 0.020 |
| Whole tree | 933.2 ± 199 a | 684.6 ± 55.7 b | 473.6 ± 4.0 c | 966.6 ± 23.7 a | 815.0 ± 25.0 b | 510.0 ± 28.7 c | DI 0.07 pH 0.001 DI × pH NS | ||
| Cu | Leaf | 31.9 ± 17.5 | 31.2 ± 2.7 | 30.7 ± 1.0 | 36.1 ± 7.1 | 28.1 ± 9.0 | 34.1 ± 1.80 | 5.00–6.0 | DI NS pH NS DI × pH NS |
| Whole tree | 84.6 ± 3.10 a | 88.9 ± 7.40 a | 84.5 ± 1.80 a | 82.3 ± 6.3 b | 77.8 ± 12.0 b | 78.9 ± 2.30 b | DI 0.029 pH NS DI × pH NS | ||
| Parameters | p Value | Disease | pH 6.0 | pH 7.0 | pH 8.0 |
|---|---|---|---|---|---|
| Average root diameter (mm) | DI NS pH 0.028 DI × pH NS | HLY | 0.68 ± 0.03 b | 0.72 ± 0.03 a | 0.65 ± 0.03 ab |
| HLB | 0.62 ± 0.03 b | 0.70 ± 0.03 a | 0.65 ± 0.06 ab | ||
| Root length < 2 mm (cm) | DI NS pH 0.07 DI × pH NS | HLY | 2959 ± 9.87 a | 1632 ± 489 b | 1360 ± 249 ab |
| HLB | 2805 ± 321 a | 989 ± 212 b | 950 ± 516 ab | ||
| Surface area < 2 mm (cm) | DI NS pH 0.09 DI × pH NS | HLY | 573 ± 309 a | 336 ± 297 b | 331 ± 139 ab |
| HLB | 511 ± 266 a | 197 ± 109 b | 254 ± 132 ab | ||
| Older root area (cm3) | DI NS pH 0.09 DI × pH NS | HLY | 168 ± 87.3 a | 95.9 ± 78.3 b | 103 ± 47.4 ab |
| HLB | 145 ± 74.4 a | 53.9 ± 30.0 b | 67.7 ± 35.1 ab | ||
| New root area (cm3) | DI NS pH NS DI × pH NS | HLY | 33.3 ± 22.5 | 21.6 ± 18.8 | 13.3 ± 3.75 |
| HLB | 32.0 ± 18.6 | 15.0 ± 8.40 | 20.6 ± 11.8 |
Publisher’s Note: MDPI stays neutral with regard to jurisdictional claims in published maps and institutional affiliations. |
© 2021 by the authors. Licensee MDPI, Basel, Switzerland. This article is an open access article distributed under the terms and conditions of the Creative Commons Attribution (CC BY) license (http://creativecommons.org/licenses/by/4.0/).
Share and Cite
Shahzad, F.; M. Kadyampakeni, D.; Vashisth, T. Effect of Growing Media pH on Performance of Huanglongbing-Affected Young Citrus Trees. Agronomy 2021, 11, 439. https://doi.org/10.3390/agronomy11030439
Shahzad F, M. Kadyampakeni D, Vashisth T. Effect of Growing Media pH on Performance of Huanglongbing-Affected Young Citrus Trees. Agronomy. 2021; 11(3):439. https://doi.org/10.3390/agronomy11030439
Chicago/Turabian StyleShahzad, Faisal, Davie M. Kadyampakeni, and Tripti Vashisth. 2021. "Effect of Growing Media pH on Performance of Huanglongbing-Affected Young Citrus Trees" Agronomy 11, no. 3: 439. https://doi.org/10.3390/agronomy11030439
APA StyleShahzad, F., M. Kadyampakeni, D., & Vashisth, T. (2021). Effect of Growing Media pH on Performance of Huanglongbing-Affected Young Citrus Trees. Agronomy, 11(3), 439. https://doi.org/10.3390/agronomy11030439
