Planting Density Interferes with Strawberry Production Efficiency in Southern Brazil
Abstract
1. Introduction
2. Materials and Methods
2.1. Plant Material and Experimental Design
2.2. Analyzed Variables
2.2.1. Productive Parameters
2.2.2. Qualitative Parameters
2.2.3. Photosintetic Parameters
2.3. Statistical Analysis
3. Results and Discussion
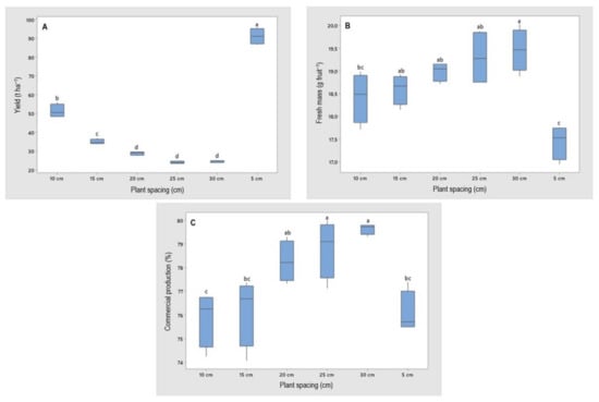
3.1. Productive Parameters
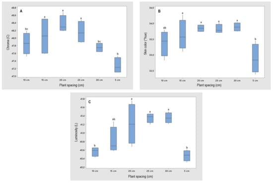
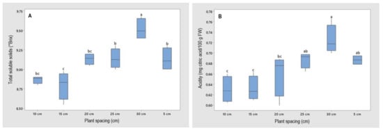
3.2. Qualitative Parameters
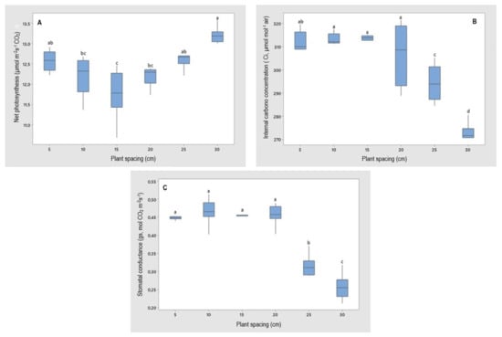
3.3. Gas Exchange
3.4. Multivariate Analysis
4. Conclusions
Author Contributions
Funding
Data Availability Statement
Acknowledgments
Conflicts of Interest
References
- Henz, G.P. Desafios enfrentados por agricultores familiares na produção de morango no Distrito Federal. Hortic. Bras. 2010, 28, 260–265. [Google Scholar] [CrossRef][Green Version]
- Cervantes, L.; Ariza, M.T.; Miranda, L.; Lozano, D.; Medina, J.J.; Soria, C.; Martínez-Ferri, E. Stability of Fruit Quality Traits of Different Strawberry Varieties under Variable Environmental Conditions. Agronomy 2020, 10, 1242. [Google Scholar] [CrossRef]
- Chaves, V.C.; Boff, L.; Vizzotto, M.; Calvete, E.; Reginatto, F.H.; Simões, C.M. Berries grown in Brazil: Anthocyanin profiles and biological properties. J. Sci. Food Agric. 2018, 11, 4331–4338. [Google Scholar] [CrossRef] [PubMed]
- Food and Agriculture Organization of the United Nations. Countries by Commodity. Available online: http://www.fao.org/faostat/en/#data/QC (accessed on 14 November 2020).
- Fagherazzi, A.F.; Kretzschmar, A.A.; Macedo, T.A.; Vignolo, G.K.; Antunes, L.E.C.; Kirschbaum, D.; Franquez, G.G.; Zoppolo, R.; Jofrè, F.; Rufato, L. La coltivazione dei piccoli frutti in Sud America: Non solo mirtilli. Frutticoltura 2017, 8, 44–47. [Google Scholar]
- Antunes, L.E.C.; Bonow, S.; Reisser Júnior, C. Morango: Crescimento constante em área e produção. Campo Negócios 2020, 37, 88–92. [Google Scholar]
- Gonçalves, M.A.; Cocco, C.; Picoloto, L.; Vignolo, G.K.; Antunes, L.E.C. Diâmetro de coroa e presença de folhas na produção de mudas de morangueiro. Congr. Bras. Frutic. 2012, 22, 5402–5405. [Google Scholar]
- Fagherazzi, A.F.; Grimaldi, F.; Kretzschmar, A.A.; Molina, A.R.; Gonçalves, M.A.; Antunes, L.E.C.; Baruzzi, G. Rufato, L. Strawberry production progress in Brazil. Acta Hortic. 2016, 1156, 937–940. [Google Scholar]
- Rigon, L. Anuário Brasileiro da Fruticultura; Editora Gazeta: Santa Cruz do Sul, Brasil, 2015; pp. 98–99. [Google Scholar]
- Ronque, E.R.V.; Ventura, M.U.; Soares Júnior, D.; Macedo, R.B.; Campos, B.R.S. Viabilidade da cultura do morangueiro no Paraná-BR. Rev. Bras. Frutic. 2013, 4, 1032–1041. [Google Scholar] [CrossRef][Green Version]
- Neri, D.; Baruzzi, G.; Massetani, F.; Faedi, W. Strawberry production in forced and protected culture in Europe as a response to climate change. Can. J. Plant Sci. 2012, 92, 1021–1036. [Google Scholar] [CrossRef]
- Feza, A.M. Effect of planting density on growth and yield of strawberry. Indian J. Hortic. 2009, 66, 132–134. [Google Scholar]
- Tariq, R.; Qureshi, K.M.; Hassan, I.; Rasheed, M.; Qureshi, U.S. Effect of planting density and growing media on growth and yield of strawberry. Pak. J. Agric. Res. 2013, 26, 113–123. [Google Scholar]
- Costa, A.F.; Leal, N.R.; Ventura, J.A.; Gonçalvez, L.S.A.; Amaral Júnior, A.T.; Costa, H. Adaptability and stability of strawberry cultivars using a mixed model. Acta Sci. Agron. 2015, 37, 435–440. [Google Scholar] [CrossRef]
- Tazzo, I.F.; Fagherazzi, A.F.; Lerin, S.; Kretzschmar, A.A.; Rufato, L. Exigência térmica de duas seleções e quatro cultivares de morangueiro cultivado no Planalto Catarinense. Rev. Bras. Frutic. 2015, 37, 550–558. [Google Scholar] [CrossRef]
- Heide, O.M.; Stavang, J.A.; Sønsteby, A. Physiology and genetics of flowering in cultivated and wild strawberries—A review. J. Hortic. Sci. Biotechnol. 2013, 88, 1–18. [Google Scholar] [CrossRef]
- Peper, P.J.; McPherson, E.G.; Mori, S.M. Equations for predicting diameter, height, crown width, and leaf area of San Joaquin Valley street trees. J. Arboric. 2001, 27, 306–317. [Google Scholar]
- Bish, E.B.; Cantliffe, D.J.; Chandler, C.K. Temperature conditioning and container size affect early season fruit yield of strawberry plug plants in a winter, annual hill production system. HortScience 2002, 37, 762–764. [Google Scholar] [CrossRef]
- Giménez, G.; Andriolo, J.L.; Janish, D.J.; Cocco, C.; Dal Picio, M. Tamanho da célula em bandejas para a produção de transplantes de morango. Pesqui. Agropecuária Bras. 2009, 44, 726–729. [Google Scholar]
- Portela, I.P.; Peil, M.M.N.; Rodrigues, S.; Carini, F. Densidade de plantio, crescimento, produtividade e qualidade das frutas de morangueiro “Camino Real” em hidroponia. Rev. Bras Frutic. 2012, 34, 792–798. [Google Scholar] [CrossRef][Green Version]
- Fagherazzi, A.F. Adaptabilidade de Novas Cultivares e Seleções de Morangueiro para o Planalto Sul Catarinense. Ph.D. Thesis, Universidade do Estado de Santa Catarina, Lages, Brazil, 2017. [Google Scholar]
- Richter, A.F. Produção e Qualidade de Genótipos de Morangueiro em Diferentes Sistemas de Cultivo. Ph.D. Thesis, Universidade do Estado de Santa Catarina, Lages, Brazil, 2018. [Google Scholar]
- Produção de Morangos Fora do Solo. Pelotas: Embrapa Clima Temperado. Available online: https://www.infoteca.cnptia.embrapa.br/infoteca/bitstream/doc/1048342/1/Documento410.pdf (accessed on 14 November 2020).
- Polzella, A.; Terzaghi, M.; Trupiano, D.; Baronti, S.; Scippa, G.S.; Chiatante, D.; Montagnoli, A. Morpho-Physiological Responses of Pisum sativum L. to Different Light-Emitting Diode (LED) Light Spectra in Combination with Biochar Amendment. Agronomy 2020, 10, 398. [Google Scholar] [CrossRef]
- Pires, R.C.M.; Folegatti, M.V.; Passos, F.A. Estimativa da área foliar de morangueiro. Hortic. Bras. 1999, 17, 86–90. [Google Scholar] [CrossRef]
- Antunes, L.E.C.; Reisser Júnior, C. Fragole i prodottori brasiliani mirano all esportazione in Europa. Frutticoltura 2007, 69, 60–65. [Google Scholar]
- Jansen, W.A.G.M. Growing media and plant densities for strawberry tray plants. Acta Hortic. 1997, 1, 456–460. [Google Scholar] [CrossRef]
- Fernandes, J.R.F.; Kano, C.; Donadelli, A.; Ferrara, L.M.; Azevedo, F.J.A. Produção de três cultivares de morangueiro em substrato com diferentes espaçamentos entre plantas e sistemas de sustentação das sacolas de cultivo. Hortic. Bras. 2011, 29, 243–249. [Google Scholar]
- Rosa, H.T.; Streck, N.A. Crescimento vegetativo e produtivo de duas cultivares de morango sob épocas de plantio em ambiente subtropical. Ciência Rural 2013, 44, 604–613. [Google Scholar] [CrossRef]
- Chavarria, G.; Tomm, G.O.; Muller, A.; Mendonça, H.F.; Mello, N.; Betto, M.S. Índice de área foliar em canola cultivada sob variações de espaçamento e de densidade de semeadura. Ciência Rural 2013, 41, 2084–2089. [Google Scholar] [CrossRef][Green Version]
- Oliveira, R.P.; Scivittaro, W.B. Produção de frutos de morango em função de diferentes períodos de vernalização das mudas. Hortic. Bras. 2009, 27, 091–095. [Google Scholar] [CrossRef][Green Version]
- Fagherazzi, A.F.; Bortolini, A.J.; Zanin, D.S.; Bisol, L.; Dos Santos, A.M.; Grimaldi, F.; Kretzschmar, A.A.; Baruzzi, G.; Faedi, W.; Lucchi, P.; et al. New strawberry cultivars and breeding activities in Brazil. Acta Hortic. 2016, 1156, 167–170. [Google Scholar] [CrossRef]
- Faedi, W.; Baruzzi, G.; Lucchi, P.; Maggnani, S.; Carullo, A.; Maltoni, M.L.; Migani, M.; Sbrighi, P. The new ‘Pircinque’ strawberry cultivar released under Italy’s PIR Project. Acta Hortic. 2014, 1049, 961–1966. [Google Scholar] [CrossRef]
- Embrapa—Empresa Brasileira De Pesquisa Agropecuária. Centro Nacional de Pesquisa de Solos. Solos do Estado de Santa Catarina. Available online: http://www.infoteca.cnptia.embrapa.br/infoteca/handle/doc/964417 (accessed on 14 November 2020).
- Instituto Nacional de Metrologia Normalização e Qualidade Industrial—NMETRO. Informações Sobre Acreditação de Laboratórios. Available online: http://www.inmetro.gov.br/index-pbac.asp (accessed on 14 November 2020).
- Pritts, M.; Handley, D. Strawberry Production Guide for the Northeast, Midwest, and Eastern Canada; Natural Resource, Agriculture, and Engineering Service (NRAES): Ithaca, NY, USA, 1998; pp. 5701–14853. [Google Scholar]
- Furlani, P.R.; Fernandez, F., Jr. Cultivo hidropônico de morango em ambiente protegido. In Embrapa Clima Temperado-Artigo em Anais do Simpósio Nacional do Morango & Encontro de Pequenas Frutas e Frutas Nativas do Mercosul; Embrapa: Pelotas, Brazil, 2004. [Google Scholar]
- Castricini, A.; Dias, M.S.C.; Martins, R.N.; Santos, L.O. Morangos produzidos no semiárido de Minas Gerais: Qualidade do fruto e da polpa congelados. Braz. J. Food Technol. 2017, 20, 1–7. [Google Scholar] [CrossRef][Green Version]
- Carvalho, S.F.; Ferreira, L.V.; Cocco, C.; Picolotto, L.; Cantillano, R.F.F.; Antunes, L.E.C. Caracterização física e química de cultivares de morango de dias neutros. Anais Congr. Bras. Frutic. 2012, 22, 1–5. [Google Scholar]
- Miranda, F.R.; Silva, V.B.; Santos, F.S.R.; Rossetti, A.G.; Silva, C.F.B. Production of strawberry cultivars in closed hydroponic systems and coconut fibre substrate. Rev. Ciência Agronômica 2014, 45, 833–841. [Google Scholar] [CrossRef]
- Zanin, D.S.; Fagherazzi, A.F.; Santos, A.M.; Martins, R.; Kretzschmar, A.A.; Rufato, L. Agronomic performance of cultivars and advanced selections of strawberry in the South Plateau of Santa Catarina State. Rev. Ceres 2019, 66, 159–167. [Google Scholar] [CrossRef]
- LI-COR. Utilizando o LI-6400/LI-6400XT Versão 6. Inc. Available online: https://www.licor.com/documents/rbb7cfgea4m51qjoas202g9ti21p25ub (accessed on 14 November 2020).
- Kerbauy, G.B. Fisiologia Vegetal; Editora Guanabara Koogan, S.A: Rio de Janeiro, Brasil, 2004; p. 470. [Google Scholar]
- Devore, J.L. Probabilidade e Estatística para Engenharia e Ciências, 9th ed.; Learning Edições Ltd.: São Paulo, Brazil, 2019; p. 656. [Google Scholar]
- R Core Team. R: A Language and Environment for Statistical Computing. R Foundation for Statistical Computing, Vienna, Austria. 2013. Available online: http://www.R-project.org/ (accessed on 2 September 2020).
- Ferreira, J.F.S.; Liu, X.; Suarez, D.L. Fruit yield and survival offive commercial strawberry cultivars underfield cultivation and salinity stress. Sci. Horticuturae 2019, 243, 401–410. [Google Scholar] [CrossRef]
- Oliveira, R.P.; Scivittaro, W.B.; Finkennauer, P.S.G. Produção de morangueiro da cultivar Camino Real em sistema de túnel. Rev. Bras. Frutic. 2008, 30, 681–684. [Google Scholar] [CrossRef]
- Ruan, J.; Yeoung, Y.R.; Larson, K.D. Influence of Cultivar, Planting Date, and Planting Material on Yield of Day-neutral Strawberry Cultivars in Highland Areas of Korea. Hortic. Environ. Biotechnol. 2011, 52, 567–575. [Google Scholar] [CrossRef]
- Ariza, M.T.; Soria, C.; Mínguez, J.J.M.; Ferri, E.M. Incidence of misshapen fruits in strawberry plants grown under tunnels is affected by cultivar, planting date, pollination, and low temperatures. HortScience 2012, 47, 1569–1573. [Google Scholar] [CrossRef]
- Araújo, V.F.; Vignolo, G.K.; Perin, E.C.; Piana, C.F.B.; Silveira, C.A.P.; Medeiros, C.A.B. Foliar fertilization with gradual release of shale-based nutrients in strawberry and its effect on yield and compounds with functional potential. Científica 2016, 44, 338–345. [Google Scholar]
- Costa, A.F.; Teodoro, P.E.; Bhering, L.L.; Leal, N.R.; Tardin, F.D.; Daher, R.F. Biplot analysis of strawberry genotypes recommended for the State of Espírito Santo. Genet. Mol. Res. 2016, 15, 1–9. [Google Scholar] [CrossRef]
- Peil, R.M.N.; Galvéz, J.L. Growth and biomass allocation to the fruits in cucumber: Effect of plant density and arrangement. Acta Hortic. 2002, 3, 75–80. [Google Scholar] [CrossRef]
- Duarte, T.S.; Peil, R.M.N.; Montezano, E.M. Crescimento de frutos do meloeiro sob diferentes relações fonte: Dreno. Hortic. Bras. 2008, 26, 342–347. [Google Scholar] [CrossRef]
- Strassburger, A.S.; Peil, R.M.N.; Scwengber, J.E.; Medeiros, C.A.B.; Martins, D.S.; Silva, J.B. Crescimento e produtividade de cultivares de morangueiro de “dia neutro” em diferentes densidades de plantio em sistema de cultivo orgânico. Bragantia 2010, 69, 623–630. [Google Scholar] [CrossRef][Green Version]
- Marco, E.D.; Peres, M.M.; Boelter, J.H.; Matoso, E.S.; Silva, S.D.A.; da Silva, M.T. Desenvolvimento e produção de frutas de morangueiro cultivar camarosa em substrato alternativo sob diferentes densidades de plantio. Braz. J. Develop. 2019, 5, 15800–15814. [Google Scholar] [CrossRef]
- Honjo, M.; Nunome, T.; Kataoka, S.; Yano, T.; Hamano, M.; Yamazaki, H.; Yui, S. Simple sequence repeat markers linked to the everbearing flowering gene in long-day and day-neutral cultivars of the octoploid cultivated strawberry Fragaria x ananassa. Euphytica 2015, 2, 291–303. [Google Scholar] [CrossRef]
- Franquez, G.G. Seleção e Multiplicação de Clones de Morangueiro (Fragaria x Ananassa Duch.). Ph.D. Thesis, Universidade Federal de Santa Maria, Santa Maria, Brazil, 2008. [Google Scholar]
- Camacaro, M.E.P.; Camacaro, G.J.; Hadley, P.; Dennertt, M.D.; Battey, N.H.; Carew, J.G. Effect of plant density and initial crown size on growth, development and yield in strawberry cultivars Elsanta and Bolero. J. Hortic. Sci. Biotechnol. 2004, 79, 739–746. [Google Scholar] [CrossRef]
- Legard, D.E.; Xiao, C.L.; Mertely, J.C.; Chandler, C.K. Effects of Plant Spacing and Cultivar on Incidence of Botrytis Fruit Rot in Annual Strawberry. Plant Dis. 2000, 84, 531–538. [Google Scholar] [CrossRef]
- Paranjpe, A.V.; Cantliffe, D.J.; Stoffella, P.J.; Lamb, E.M.; Powell, C.A. Relationship of plant density to fruit yield of ‘Sweet Charlie’ strawberry grown in a pine bark soilless medium in a high-roof passively ventilated greenhouse. Sci. Hortic. 2008, 115, 117–123. [Google Scholar] [CrossRef]
- Sarooshi, R.A.; Cresswell, G.C. Effects of hydroponic solution composi-tion, electrical conductivity and plant spacing on yield and quality of strawberries. Aust. J. Exp. Agric. 1994, 43, 529–535. [Google Scholar] [CrossRef]
- CONAB—Companhia Nacional de Abastecimento. Relatório—Média Mensal dos Preços. PROHORT—Programa Brasileiro de Modernização do Mercado de Hortigranjeiro. Available online: http://www3.ceasa.gov.br/prohortweb (accessed on 2 December 2020).
- EPAGRI—Empresa de Pesquisa Agropecuária e Extenssão Rural de Santa Catarina. Custos de Produção Do Morangueiro Produzido em Cultivo Fora Do Solo. Unidade Demosntrativa Familiar; EPAGRI—Empresa de Pesquisa Agropecuária e Extenssão Rural de Santa Catarina: Rancho Queimado, SC, Brazil, 2019. [Google Scholar]
- Oliveira, I.P.; Belarmino, L.C.; Belarmino, A.J. Viabilidade da produção de morango no sistema semi-hidropônico recirculante. Custos Gronegócio Online 2017, 13, 315–332. [Google Scholar]
- Biasio, R.; Dani, D.; Eckert, A.; Mecca, M.S. Determinação do custo e da rentabilidade na cultura do morango em uma pequena propriedade agrícola situada em flores da Cunha/RS. Custos Gronegócio Online 2015, 11, 1808–2882. [Google Scholar]
- Mackenzie, S.J.; Chandler, C.K.; Hasing, T.; Whitaker, V.M. The role of temperature in the late-season decline in soluble solids content of strawberry fruit in a subtropical production system. HortScience 2011, 46, 1562–1566. [Google Scholar] [CrossRef]
- Kader, A. Quality and Its Maintenance in Relation to Postharvest Physiology of Strawberry; Timber Press: Portland, OR, USA, 1991; pp. 145–152. [Google Scholar]
- Basson, C.E.; Groenewald, J.H.; Kossmann, J.; Croné, C.; Bauer, R. Sugar and acid-related quality attributes and enzyme activities in strawberry fruits: Invertase is the main sucrose hydrolysing enzyme. Food Chem. 2010, 121, 1156–1162. [Google Scholar]
- Tang, A.C.; Kawamitsu, Y.; Kanechi, M.; Boyer, J.S. Photosynthetic oxygen evolution at low water potential in leaf discs lacking an epidermis. Ann. Bot. 2002, 89, 861–870. [Google Scholar] [CrossRef] [PubMed]
- Alves, V.; da Luz, F.D.R.; Schwarz, K.; Vieira, R.L.D.; Bennemann, G.D.; de Resende, J.T.V. Sensory acceptability and physico-chemical characteristics of dehydrated strawberries with different treatments. Demetra Foodnutr. Health 2018, 13, 745–763. [Google Scholar] [CrossRef]
- Hancock, J.F.; Sjulin, T.M.; Lobos, G.A. Temperate Fruit Crop Breeding; Springer: Dordrecht, Netherlands, 2008; pp. 393–437. [Google Scholar]
- Backes, D.B.; Cocco, C.; Schildt, G.W. Poda e renovação para o segundo ciclo produtivo e origem da muda de morangueiro. Rev. Elet. Cient. UERGS 2020, 6, 110–119. [Google Scholar] [CrossRef]
- Lerceteau-Köhler, E.; Moing, A.; Guérin, G.; Renaud, C.; Petit, A.; Rothan, C.; Denoyes, B. Genetic dissection of fruit quality traits in the octoploid cultivated strawberry highlights the role of homoeo-QTL in their control. Theor. Appl. Genet. 2012, 124, 1059–1077. [Google Scholar] [CrossRef] [PubMed]
- Capocasa, F.; Scallzo, J.; Mezzetti, B.; Battino, M. Combining quality and antioxidant attributes in the strawberry: The role of genotype. Food Chem. 2008, 111, 872–878. [Google Scholar] [CrossRef]
- Jouquand, C.; Chandler, C.K.; Plotto, A.; Goodner, K. A sensory and chemical analysis of fresh strawberries over harvest dates and seasons reveals factors that affect eating quality. J. Am. Soc. Hortic. Sci. 2011, 46, 553–557. [Google Scholar] [CrossRef]
- Antunes, L.E.C.; Ristow, N.C.; Krolow, A.C.R.; Carpenedo, S.; Reisser, C., Jr. Yield and quality of strawberry cultivars. Hortic. Bras. 2010, 28, 222–226. [Google Scholar] [CrossRef]
- Taiz, L.; Zeiger, E.; Møller, I.M.; Murphy, A. Fisiologia Vegetal, 5th ed.; Artmed: Porto Alegre, Brazil, 2017; p. 585. [Google Scholar]
- Resende, J.T.V.; Camargo, L.K.P.; Argandonã, E.J.S.; Marchese, A.; Camargo, C.K. Sensory analysis and chemical characterization of strawberry fruits. Hortic. Bras. 2008, 26, 371–374. [Google Scholar] [CrossRef]
- Kader, A.A. Standardization and Inspection of Fresh Fruits and Vegetables. In Postharvest Technology of Horticultural Crops; University of California Agriculture and Natural Resources: Davis, CA, USA, 2002; pp. 287–300. [Google Scholar]
- Oliveira, A.B.C.; Bonow, S. Novos desafios para o melhoramento genético da cultura do morangueiro no Brasil. Informe Agropecuário 2012, 33, 21–26. [Google Scholar]
- Brackmann, A.; Elizandra, P.P.; Vanderlei, B.; Isabel, J.D.; José, S.O.; Gustavo, G. Avaliação de genótipos de morangueiro quanto à qualidade e potencial de armazenamento. Ceres 2011, 58, 542–547. [Google Scholar] [CrossRef][Green Version]
- Zanin, D.S. Divergência genética morfoagronômica e seleção de genótipos avançados de morangueiro. Ph.D. Thesis, Universidade do Estado de Santa Catarina, Lages, Brazil, 2019. [Google Scholar]
- Chen, F.; Liu, H.; Yang, H.; Lai, S.; Cheng, X.; Xin, Y.; Deng, Y. Quality attributes and cell wall properties of strawberries (Fragaria annanassa Duch.) under calcium chloride treatment. Food Chem. 2011, 2, 450–459. [Google Scholar] [CrossRef]
- Villarreal, N.M.; Martínez, G.A.; Civello, P.M. Influence of plant growth regulators on polygalacturonase expression in strawberry fruit. Plant Sci. 2009, 176, 749–757. [Google Scholar] [CrossRef]
- Carpenedo, S.; Antunes, L.E.C.; Treptow, R.O. Caracterização sensorial de morangos cultivados na região de Pelotas. Hortic. Bras. 2016, 34, 565–570. [Google Scholar] [CrossRef]
- Alves, M.C.; Matoso, E.S.; Vighi, V.A.; Moura, J.C.; Castro, T.V. Qualidade pós-colheita de frutas de morangueiro produzidas no solo e em substratos. Jorn. Pós-Grad. Pesqui. 2017, 14, 1–8. [Google Scholar]
- Cocco, C. Produção e Qualidade de Mudas e Frutas de Morangueiro no Brasil e na Itália. Master’s Thesis, Universidade Federal de Pelotas, Pelotas, Brazil, 2014. [Google Scholar]
- Sack, L.; Holbrook, N.M. Leaf Hydraulics. Annual Review of Plant Biology. Available online: https://www.researchgate.net/publication/7110388_Leaf_Hydraulics (accessed on 2 September 2020).
- Silva, E.C.; Nogueira, R.J.M.C.; Vale, F.H.A. Water relations and organic solutes production in four umbu tree (Spondias tuberosa) genotypes under intermittent drought. Brazilian. J. Plant Physiol. 2009, 21, 43–53. [Google Scholar]
- Naves-Barbiero, C.C.; Franco, A.C.; Bucci, S.J.; Goldstein, G. Fluxo de seiva e condutância estomática de duas espécies lenhosas sempre-verdes no campo sujo e cerradão. Rev. Bras. Fisiol. Veg. 2000, 12, 119–134. [Google Scholar] [CrossRef]
- Messinger, S.M.; Buckley, T.N.; Mott, K.K.A. Evidence for involvement of photosynthetic processes in the stomatal response to CO2. Plant Physiol. 2006, 140, 771–778. [Google Scholar] [CrossRef]
- Qiu, G.Y.; Miyamoto, K.; Sase, S.; Limi, O. Detection of crop transpiration and water stress by temperature-related approach under field and greenhouse conditions. Agric. Res. Q. 2000, 34, 29–37. [Google Scholar]
- Shimazaki, K.I.; Doi, M.; Assmann, S.M.; Kinoshita, T. Light regulation of stomatal movement. Annu. Rev. Plant Biol. 2007, 58, 219–247. [Google Scholar] [CrossRef]
- Paiva, A.S.; Fernandes, E.J.; Rodrigues, T.J.D.; Turco, J.E.P. Condutância estomática em folhas de feijoeiro submetido a diferentes regimes de irrigação. Eng. Agrícola 2005, 25, 161–169. [Google Scholar] [CrossRef]
- Jaimez, R.E.; Rada, F.; Núñez, C.G.; Azocar, A. Seasonal variations in leaf gas exchange of plantain cv. ‘Hartón’ (Musa AAB) under different soil water conditions in a humid tropical region. Sci. Hortic. 2005, 104, 79–89. [Google Scholar] [CrossRef]
- Kovačević, D.B.; Putnik, P.; Dragovic-Uzelac, V.; Vahcic, N.; Babojelic, M.S.; Levaj, B. Influences of organically and conventionally grown strawberry cultivars on anthocyanins content and color in purees and low-sugar jams. Food Chem. 2015, 181, 94–100. [Google Scholar] [CrossRef] [PubMed]
- Nunes, M.C.N. Correlations between subjective quality and physicochemical attributes of fresh fruits and vegetables. Postharvest Biol. Technol. 2015, 107, 43–54. [Google Scholar] [CrossRef]













| Mean Temperature (Tmed; °C) | Maximum Temperature (Tmax; °C) | Minimum Temperature (Tmin; °C) | Relative Humidity (RH; %) | Rainfall (mm) | |
|---|---|---|---|---|---|
| 2018/2019 | |||||
| May | 13.9 | 14.4 | 13.4 | 86.0 | 66.8 |
| June | 11.6 | 12.1 | 11.1 | 86.0 | 124.8 |
| July | 12.7 | 13.2 | 12.1 | 83.6 | 80.0 |
| August | 11.0 | 11.5 | 10.5 | 83.8 | 101.4 |
| September | 15.0 | 15.5 | 14.5 | 84.5 | 191.6 |
| October | 15.6 | 16.1 | 15.2 | 85.5 | 150.8 |
| November | 17.8 | 18.4 | 17.3 | 80.8 | 161.4 |
| December | 20.0 | 20.8 | 19.3 | 74.7 | 210.4 |
| January | 22.0 | 22.6 | 21.4 | 80.5 | 137.6 |
| Average | 15.5 | 16.1 | 15.0 | 82.8 | 135.9 |
| 2019/2020 | |||||
| May | 15.4 | 15.8 | 15.0 | 89.8 | 241.6 |
| June | 14.0 | 14.6 | 13.5 | 85.7 | 13.6 |
| July | 11.5 | 12.0 | 11.0 | 82.9 | 96.2 |
| August | 12.0 | 12.6 | 11.5 | 80.6 | 37.2 |
| September | 15.2 | 15.7 | 14.7 | 80.5 | 51.4 |
| October | 17.7 | 18.2 | 17.1 | 80.2 | 214.0 |
| November | 18.0 | 18.5 | 17.5 | 79.4 | 170.4 |
| December | 19.7 | 20.4 | 19.1 | 73.4 | 53.2 |
| January | 20.6 | 21.2 | 20.0 | 74.8 | 35.2 |
| Average | 16.0 | 16.6 | 15.5 | 80.8 | 101.4 |
Publisher’s Note: MDPI stays neutral with regard to jurisdictional claims in published maps and institutional affiliations. |
© 2021 by the authors. Licensee MDPI, Basel, Switzerland. This article is an open access article distributed under the terms and conditions of the Creative Commons Attribution (CC BY) license (http://creativecommons.org/licenses/by/4.0/).
Share and Cite
Martins de Lima, J.; Welter, P.D.; Soares dos Santos, M.F.; Kavcic, W.; Miranda Costa, B.; Fagherazzi, A.F.; Regianini Nerbass, F.; Anneliese Kretzschmar, A.; Rufato, L.; Baruzzi, G. Planting Density Interferes with Strawberry Production Efficiency in Southern Brazil. Agronomy 2021, 11, 408. https://doi.org/10.3390/agronomy11030408
Martins de Lima J, Welter PD, Soares dos Santos MF, Kavcic W, Miranda Costa B, Fagherazzi AF, Regianini Nerbass F, Anneliese Kretzschmar A, Rufato L, Baruzzi G. Planting Density Interferes with Strawberry Production Efficiency in Southern Brazil. Agronomy. 2021; 11(3):408. https://doi.org/10.3390/agronomy11030408
Chicago/Turabian StyleMartins de Lima, Juliana, Paola Daiane Welter, Marllon Fernando Soares dos Santos, Wanda Kavcic, Bruna Miranda Costa, Antonio Felippe Fagherazzi, Francine Regianini Nerbass, Aike Anneliese Kretzschmar, Leo Rufato, and Gianluca Baruzzi. 2021. "Planting Density Interferes with Strawberry Production Efficiency in Southern Brazil" Agronomy 11, no. 3: 408. https://doi.org/10.3390/agronomy11030408
APA StyleMartins de Lima, J., Welter, P. D., Soares dos Santos, M. F., Kavcic, W., Miranda Costa, B., Fagherazzi, A. F., Regianini Nerbass, F., Anneliese Kretzschmar, A., Rufato, L., & Baruzzi, G. (2021). Planting Density Interferes with Strawberry Production Efficiency in Southern Brazil. Agronomy, 11(3), 408. https://doi.org/10.3390/agronomy11030408

