Next Article in Journal
Mycobiome Composition and Diversity under the Long-Term Application of Spent Mushroom Substrate and Chicken Manure
Next Article in Special Issue
Abiotic Stress in Plants; Stress Perception to Molecular Response and Role of Biotechnological Tools in Stress Resistance
Previous Article in Journal
Planting Density Interferes with Strawberry Production Efficiency in Southern Brazil
 
 
Font Type:
Arial Georgia Verdana
Font Size:
Aa Aa Aa
Line Spacing:
Column Width:
Background:
Article

Lead (Pb)-Induced Oxidative Stress Alters the Morphological and Physio-Biochemical Properties of Rice (Oryza sativa L.)

1
Laboratory of Plant Functional Genomics, School of Applied Biosciences, Kyungpook National University, Daegu 41566, Korea
2
Department of Southern Area Crop Science, National Institute of Crop Science, RDA, Miryang 50424, Korea
3
National Laboratory of Seed Testing, National Seed Service, SENASEM, Ministry of Agriculture, Kinshasa 904KIN1, Democratic Republic of the Congo
4
Ministry of Agriculture, State Company for Agricultural Supplies, Baghdad 10064, Iraq
5
Laboratory of Crop Physiology, School of Applied Biosciences, Kyungpook National University, Daegu 41566, Korea
*
Authors to whom correspondence should be addressed.
These authors contributed equally to this work as first authors.
Agronomy 2021, 11(3), 409; https://doi.org/10.3390/agronomy11030409
Submission received: 15 January 2021 / Revised: 18 February 2021 / Accepted: 22 February 2021 / Published: 24 February 2021
(This article belongs to the Special Issue Redox-Mediated Signaling in Plants under Stress Conditions)

Abstract

Lead (Pb) is one of the major environmental heavy metal pollutants, known as being neither essential nor beneficial for any living organisms, and which is detrimental to plant fitness, growth, and productivity, as well as human health. This study investigated the changes in the morphological, physiological, and biochemical properties of rice cultivars exposed to lead (Pb). Therefore, soil was contaminated with a solution containing 0.6 mM or 1.2 mM Pb four weeks prior to transplanting. Then, 4-week-old rice seedlings of Tunnae, Ilmi, Yasmen, Mashkab, and Amber Barka were transplanted into the contaminated soil and grown until maturity. The results showed that a high concentration of lead (1.2 mM) induced significant reduction in the plant height, number of tillers, number of panicles per plant, and the number of spikelets per panicle in Pb-sensitive rice cultivars, while in Pb-tolerant cultivars, a balanced growth of plants and non-significant change in the major yield components were recorded. However, all rice cultivars showed a reduced biomass dry weight. Under the same conditions, we observed a differential enzymatic antioxidant activity, with catalase (CAT) and peroxidase (POD) being the most active. In addition, the proline accumulation and sucrose content increased concomitant with an increase in the Pb concentration, while the total protein and chlorophyll contents significantly decreased. Of all the soluble sugars analyzed, sucrose was the most abundant in response to Pb treatment. Interestingly, the rice cultivars Tunnae and Mashkab exhibited a high degree of tolerance towards Pb stress, with a balanced plant height, number of tillers, number of panicles, and number of spikelets per plant. Therefore, all results collectively suggest that the tolerance to Pb-induced oxidative stress observed in Tunnae and Mashkab could be a result of a synergetic action of both enzymatic and non-enzymatic antioxidant systems, leading to a balanced reduction–oxidation status in rice.

1. Introduction

For many years, heavy metals (HMs) have been one of the major problems impairing the sustainability of agro-ecosystems, and a threat to farming, particularly in industrial areas [1,2]. HMs, including lead (Pb), cadmium (Cd), arsenic (As), and mercury (Hg), are considered as pollutants, generally released by industries, mining, automobiles, and inorganic fertilizers, as well as other agrochemicals [3,4]. HMs have been reported to be detrimental to the health of humans and animals, plants, soil, and aquatic organisms [5]. In addition, HMs such as copper (Cu), zinc (Zn), manganese (Mn), iron (Fe), nickel (Ni), and cobalt (Co) are considered as essential micronutrients for the metabolism of plants, but when they are present in excess, as well as in low amounts (for non-essential HMs, such as cadmium, mercury, lead), they have the ability to induce toxicity.
Lead (Pb) was ranked second heavy metal after arsenic (As) based on its high risk of inducing toxicity [6]. Pb has the potential to impair the growth and development of plants by altering various aspects of the plant’s metabolism [7,8], including cell division, seed germination, seedling growth, photosynthesis, respiration, cell membrane permeability, and ultrastructural changes [9,10,11]. In addition, the toxicity of Pb depends on many factors, including the duration of the exposure, concentration, plant growth stage, and the accumulation of Pb in different parts of the plant [12].
Generally, when plants are exposed to an environmental stimulus, such as heavy metals, they activate various antioxidant (enzymatic and non-enzymatic) systems as part of the adaptive response mechanism, which helps maintain under a controlled level the accumulation of reactive oxygen species (ROS), converging towards tolerance to the stress [13]. However, overaccumulation of ROS has been shown to result in oxidative stress that may culminate in oxidative damage, thereby inducing programmed cell death (PCD). In the same way, a high concentration of HMs, including lead (Pb), triggers the generation of ROS, which may induce oxidative stress as well as damage to the cell membrane, and changes in the cellular metabolism and physiological processes, under which conditions, cellular components such as nucleic acids, soluble sugars levels, and the chloroplast pigments could be altered [14,15,16,17]. Similarly to other environmental stimuli, plants exposed to HMs use their intrinsic sophisticated strategies for metal uptake, storage, transportation, detoxification, elimination, and compartmentalization [18]. Furthermore, some evidence has been found that different plant species or varieties of the same species can show variations in their ability to take up, translocate, and accumulate Pb [19]. Additionally, contamination of soils with Pb, its translocation and accumulation in different parts of the plant, particularly in grains, and its effects on human health have been studied [20,21,22].
Despite the complexity of the food system and diversification in the preference for various foods, rice remains a staple food crop in many Asian countries solely cultivated for human consumption. However, this important crop is often exposed to various environmental cues, including heavy metal (HM) stress caused by the use of chemicals that are potential sources of metals, and the repeated use of wastewater and sewage sludge, for instance, during rice cultivation [23]. A recent report indicated that the exposure of rice plants to Pb caused a reduction in chlorophyll and carotenoid contents, and induced changes in protein content [24].
The European Chemicals Agency (ECHA) has classified lead (Pb) in the category of chemicals of great concern for the environment [25]. Therefore, this study aimed at evaluating the changes in the growth-related parameters and yield components of in indica and japonica rice varieties originating from different agro-ecological zones, in response to gradient lead concentrations. In addition, the activity of key antioxidant enzymes and their interplay in response to gradient Pb concentrations are discussed. Under the same conditions, we explored the possible involvement of soluble sugars in the adaptive response mechanism towards lead (Pb)-induced oxidative stress by analyzing the changes in the sucrose, glucose, and fructose contents.

2. Materials and Methods

2.1. Plant Materials, Growth Conditions, and Lead Application

To perform the experiments, five rice cultivars, including Yasmen and Amber Barka (indica, from Iraq), Tunnae and Ilmi (japonica, from South Korea), and Mashkab (japonica, from Iraq) were used as genetic materials (Table 1). Tunnae was recently scored as tolerant to drought stress (data not shown), while Ilmi, Yasmen, and Amber Barka were reported as drought sensitive, and Mashkab was scored as drought tolerant [26]. Prior to germination, seeds were surface sterilized in Prochloraz 62.5 μL/125 mL (v/v) for about 2 h, and rinsed three times for 3 h (1 h each time), followed by incubation for 72 h at 28 °C under dark conditions to induce germination. Germinated seeds were sown in 50-well trays containing an enriched soil (Doobaena Plus, Nong Kyung Ltd., Yeongcheon-si, Korea) until the 3–4 leaf stage (about 4-week-old seedlings). To induced lead (Pb) stress, lead(II) nitrate (Pb(NO3)2) was used as a Pb donor [27]. The soil was contaminated with a solution containing 0.6 mM or 1.2 mM Pb four weeks prior to transplanting. The treatment was renewed every three days until transplanting time. Then, healthy and vigorous seedlings with a uniform height (4-week-old rice seedlings) were transplanted to big pots filled with Pb-contaminated soil. Plants were grown in a greenhouse during June–September 2020, at Kyungpook National University, Daegu, Republic of Korea. Control plants were routinely watered by irrigation to maintain a required soil moisture for an optimum plant growth until harvest.

2.2. Sampling and Phenotypic Evaluation under Lead Treatment

Samples for physiological and biochemical analyses were collected 30 days after Pb application, as described by Ashraf et al. [27], with slight modifications. The phenotypic parameters, such as plant height, number of tillers per plant, number of panicles per plant, number of spikelets per panicle, and panicle length were measured after rice plants reached their maturity. In addition, the biomass dry weight was estimated soon after harvesting, and expressed in grams and calculated as follows: (fresh weight − dry weight)/fresh weight × 100. The above-ground parts of plants were weighed with a digital electric balance (BSA323S-CW Sartorius, Tokyo, Japan) and noted as plant aboveground dry biomass.
To estimate the effect of Pb treatment on the grain weight of the tested rice cultivars, rice grains were harvested and post-harvest processed, and the thousand grain weight (TGW) was calculated as ((average grain weight/the number of samples (n)) × 100) as previously reported [30].

2.3. Chlorophyll Content Determination and Panicle Length Measurement

The chlorophyll content was measured in leaf samples using a SPAD meter (SPAD-502., Minolta Co., Ltd., Osaka, Japan) following the method described by Khan et al. [31]. The length of panicles was measured using a regular ruler.

2.4. Estimation of Electrolyte Leakage

We performed an electrolyte leakage assay to estimate the ion leakage that would be caused by the Pb-induced oxidative damage, as described by Khan et al. [32], with slight modifications. Briefly, about 200 mg fresh leaf samples collected from control and Pb-treated plants were rinsed with deionized water to remove any surface electrolytes. Samples were placed in test tubes containing 10 mL deionized water, and kept for 6 h at room temperature. Then, the electrical conductivity (EC1) was analyzed using a portable conductivity meter (HURIBA Twin Cond B-173, Japan) (Step 1). For the determination of EC2, leaf samples from step 1 were autoclaved for 15 min at about 120 °C and cooled down at room temperature. The ion leakage was calculated from step 1 and step 2, as the ratio between EC1/EC2 × 100, and expressed as a percentage.

2.5. Proline Measurement Assay

Proline quantification was done following the colorimetric method as described by Bates et al. [33]. The absorbance of the reaction mixture containing toluene was read at 520 nm wavelength, and proline concentration was calculated on the basis of fresh weight and expressed in μg g−1 FW.

2.6. Enzymatic Antioxidant Assay, Protein, DAB Staining, and Soluble Sugar Contents

The activity of antioxidant enzymes, such as catalase (CAT), peroxidase (POD), polyphenol oxidase (PPO), and superoxide dismutase (SOD), as well as the accumulation of superoxide anion (O2•–) were analyzed as described previously [34]. About 400 mg leaf samples were crushed using a chilled mortar and pestle. Then, the samples were homogenized with 0.1 M phosphate buffer (pH 6.8) and centrifuged at 4 °C for 15 min at 5000 rpm. The supernatant was used as the crude enzyme source for CAT, POD, and PPO activities, and total protein content.
The CAT activity was measured as described earlier [26]. Briefly, 50 μL of H2O2 (50 mM) (CAS No: 7722-84-1, Sigma-Aldrich, Korea) were added to the crude enzyme extract, and the absorbance of the reaction was read at 240 nm wavelength after 1 min. The activity of CAT was expressed in μg mg−1 of samples’ dry weight as described by Sirhindi et al. [35].
The activity of PPO and POD was determined following the method described by Khan et al. [34]. The reaction mixture for POD consisted of 50 μL crude enzyme extract, 50 μL of pyrogallol (50 μM) (CAS No: 87-66-1, Sigma-Aldrich, St. Louis, MO, USA), 25 μL of H2O2 (50 mM), and 10 μL of phosphate buffer (0.1M, pH 6.8), and was incubated at room temperature for 5 min under dark conditions (in a drawer). Then, 25 μL of H2SO4 (5% w/v) (CAS No: 7664-93-9, DUKSAN PURE CHEMICALS, Korea) were added to the reaction mixture, followed by the reading of the absorbance at 420 nm wavelength. For PPO activity analysis, the reaction mixture was composed of 50 µL of the crude enzyme extract, 50 µL pyrogallol (50 µM), and 100 µL phosphate buffer (0.1 M). The absorbance was read at 420 nm wavelength. Calculations were done as previously described [36].
Furthermore, the superoxide dismutase (SOD) activity was analyzed following the photoreduction of nitroblue tetrazolium (NBT), as described by Sirhindi et al. [35]. The absorbance of the reaction mixture was read at 540 nm wavelength using a spectrophotometer (T60 UV-Visible Spectrophotometer, pgInstruments, Leicestershire, UK). A unit of SOD is estimated as the quantity of enzyme that hampers 50% of photoreduction of NBT, and is expressed as U mg−1 of the sample.
To quantify the accumulation of superoxide anion (O2•–), the method proposed by De Sousa et al. [37] was used. Briefly, 1 g of fresh shoot plants ground to fine powder was immersed in 0.01 M sodium phosphate buffer (pH 7.0) containing 0.05% (w/v) NBT (CAS No: 298-83-9, Sigma-Aldrich, Korea) and 10 mM sodium azide (NaN3) (CAS No: 26628-22-8, Sigma-Aldrich, Korea), and the mixture was incubated at room temperature for 1 h. Then, 5 mL of the mixture were transferred into fresh tubes and incubated at 85 °C for 15 min in a water bath. The solution was immediately cooled down on ice and vacuum filtered. The absorbance of the sample was read at 580 nm wavelength using a spectrophotometer (Shimadzu, Kyoto, Japan). Superoxide anion scavenging activity was calculated using the following formula: O2•– scavenging % = [(A580 of control−A580 of treated samples)/A580 of control)] × 100.
To estimate the accumulation of hydrogen peroxide (H2O2) in response to Pb-induced oxidative stress, diaminobenzidine tetrahydrochloride (DAB) staining was employed as described previously [38]. Briefly, detached leaf samples were immersed in a staining solution containing 1 mg mL−1 DAB solution (CAS No: 7411-49-6, Sigma-Aldrich, Korea), pH 3.8. Then, leaf samples were vacuum infiltrated for about 1 min, and the vacuum was released gently, and this process was repeated up to three times until the leaves were completely infiltrated, followed by incubation in a plastic box for about 6 h until brown precipitates were visible. Chlorophyll was removed by repeated washing with ethanol (96% v/v) at 40 °C. Stained leaf samples were fixed with a solution of 3:1:1 ethanol:lactic acid:glycerol and the picture was taken.
Total protein content was quantified according to the method described by Bradford [39], with slight modifications. The absorbance of the reaction mixture was read at 595 nm wavelength.
The soluble sugars were determined from freeze-dried samples and were put in test tubes containing 10 mL of distilled water, and boiled for 20 min in a water bath at 90 °C. Then, the samples were immediately cooled down in an ice bath, and 5 mL of anthrone (CAS No: 90-44-8, Sigma-Aldrich, Korea) solution were added to 500 μL of the extract (supernatant), and mixed by vortexing. The absorbance was read 620 nm wavelength. The soluble sugar contents were expressed as mg g−1 DW [40].

2.7. Statistical Analysis

All the experiments were done using a CRD design. The data were collected in triplicate and analyzed statistically with GraphPad Prism software (Version 7.00, 1992–2016 GraphPad). An analysis of variance (ANOVA) for completely randomized design was performed to assess the statistical significance between the lead (Pb)-treated and control plants, and Tukey’s multiple comparison test was employed at a significance level of 0.05.

3. Results

3.1. Lead-Induced Oxidative Stress Inhibited Plant Growth, and Reduced Rice Productivity and Biomass

Rice plants were exposed to gradient lead (Pb) concentrations throughout the vegetative growth and maturity in order to examine their phenotypic responses. The results show that under the 0.6 mM Pb treatment, Yasmen and Mashkab showed a non-significant change in plant height, while Amber Barka, Tunnae, and Ilmi showed 3, 5.7, and 14.1% reductions, respectively, compared to their corresponding controls. However, under 1.2 mM Pb, the highest reduction in plant growth was observed in Ilmi (22.3%), followed by Yasmen (13.9%), Tunnae (7.9%), Amber Barka (6.5%), and Mashkab (1.7%) (Figure 1A,G–K). In addition, the rice cultivars Ilmi and Yasmen exhibited a significant reduction in the number of tillers (29.3 and 37.5%, respectively) (Figure 1B,H,I) under 0.6 mM, while showing 34.1 and 41.7% reductions, respectively, in response to 1.2 mM Pb treatment. However, Tunnae, Mashkab, and Amber Barka showed a non-significant change in the number of tillers when grown under 0.6 mM Pb, but under 1.2 mM Pb, Tunnae and Amber Barka exhibited 10 and 20% reductions in the number of tillers (Figure 1B,G,J,K). Under the same conditions, the number of panicles per plant significantly decreased in Ilmi (16.7 and 33.3%) and Yasmen (25 and 29.2%) when both 0.6 and 1.2 mM Pb were applied, respectively (Figure 1C), whereas Tunnae showed a non-significant change under 0.6 mM Pb but a 20% reduction in response to 1.2 mM Pb. Mashkab showed 4.2 and 8.3% (0.6 and 1.2 mM Pb, respectively) decreases in the number of panicles per plant, while Amber Barka showed 8.3 and 16.7% reductions. Similarly, the number of spikelets per panicle decreased significantly in Ilmi (18.2 and 27.3% for 0.6 and 1.2 mM Pb, respectively) and Yasmen (12.5 and 15.3% for 0.6 and 1.2 mM Pb, respectively) (Figure 1D), but Tunnae showed 0 and 10.3% (0.6 and 1.2 mM Pb, respectively) and Mashkab showed 10.3 and 17.6% (0.6 and 1.2 mM Pb, respectively) decreases. Furthermore, Pb application significantly inhibited the growth of panicles in Ilmi (2.6 and 4.4%), Mashkab (1.2 and 2%), and Amber Barka (11.9 and 20.8%) in response to 0.6 and 1.2 mM Pb, respectively (Figure 1E). However, Tunnae and Yasmen showed a non-significant change. In the same way, a significant reduction in the biomass dry weight was recorded in all tested rice cultivars in response to both Pb levels, where Amber Barka and Ilmi recorded the highest reduction percentages (32 and 27%, respectively) under 0.6 mM Pb. However, under 1.2 mM Pb treatment, the reduction in biomass ranged from 18.8% to 61%, with Ilmi and Yasmen having the highest reduction percentages (Figure 1F). Another important component of rice yield measured in response to Pb stress is the grain weight, herein expressed as thousand grain weight (TGW). As shown in Figure 2, Ilmi recorded the highest reduction in TGW (10 and 15.8% under 0.6 and 1.2 mM Pb, respectively), followed by Amber Barka (6 and 13% in response to 0.6 And 1.2 mM Pb, respectively). Tunnae and Yasmen showed a similar TGW reduction pattern under 0.6 mM Pb treatment (1.9%), but in response to 1.2 mM Pb, their respective TGW reduction percentages were 6.9 and 3.1%. Under the same conditions, Mashkab showed a decrease in TGW of about 1.4 and 3.5% when 0.6 and 1.2 mM Pb were applied, respectively.

3.2. Lead-Induced Oxidative Stress Triggered Hydrogen Peroxide Accumulation and Activated Antioxidant Enzymes

Upon their exposure to stressful conditions, different sorts of reactive oxygen species (ROS) accumulate within the cell as part of the signaling cascades activated to induce the adaptive response mechanism, which include enzymatic and non-enzymatic antioxidants, such as catalase (CAT, known to play a role in lowering overaccumulation hydrogen peroxide, H2O2), superoxide dismutase (SOD), peroxidase (POD), and polyphenol oxidase (PPO). Our data show that a significant increase in the activity of CAT was observed in all rice cultivars, and at all Pb concentrations. In essence, Tunnae showed the lowest CAT activity in response to 0.6 mM Pb (increased by 4.7%), while Ilmi, Yasmen, and Mashkab showed about 19.7%, 10.8%, 29.5%, and 11% increases, respectively. However, all rice cultivars showed a similar increasing pattern of CAT activity, ranging from 18.1% to 25.2%, in response to 1.2 mM Pb (Figure 3A). Under the same conditions, the activity of POD increased significantly with the increase in the Pb concentration in nearly all tested rice cultivars (Figure 3B). The rice cultivar Tunnae showed a higher POD activity at all Pb levels (102.1 and 157.7% increases under 0.6 and 1.2 mM Pb, respectively), followed by Ilmi (35%), Amber Barka (21.4%), Mashkab (17.9%), and Yasmen (11.3%) under 0.6 mM Pb. However, under 1.2 mM Pb treatment, Ilmi, Yasmen, Mashkab, and Amber Barka showed an increase in PPO activity of about 4.1, 14.5, 79.4, and 70%, respectively (Figure 3C). Likewise, the activity of PPO in Tunnae, Yasmen, and Amber Barka was the highest among the tested rice cultivars under 0.6 mM Pb (36.7, 22.3, and 35.8% increases, respectively).
When plants are exposed to an environmental stimulus, ROS are generated, including superoxide anion. To cope with the increase in oxidative stress due to overaccumulation of ROS, SOD, which catalyzes the dismutation of superoxide radicals to oxygen and H2O2, has been reported to be activated, among other antioxidant enzymes. Here, SOD activity increased significantly in all rice cultivars, except in Amber Barka (Figure 3D). We were also interested to see the changes in the accumulation of the superoxide anion (O2•–) in response to Pb stress. O2•– is a radical species involved in diverse chemical and biological systems. Our data show that O2•– content increased significantly in all Pb-treated rice cultivars (Figure 3E).
In the same way, plants subjected to Pb stress experience oxidative stress, which may result in oxidative damage. Here, we observed a significant increase in the electrolyte leakage in all rice cultivars, ranging between 10.9 and 52.7% due to 0.6 mM Pb application and 25.2 and 102% caused by 1.2 mM Pb treatment (Figure 3F). It is then evident that Pb application induced oxidative stress, and eventually the generation of ROS that might have affected the integrity of the cell membrane. Additionally, the diaminobenzidine tetrahydrochloride (DAB) staining results indicate a high accumulation of H2O2 in Ilmi and Amber Barka at all Pb levels, followed by Yasmen, Mashkab, and Tunnae at 0.6 mM Pb (Figure 4).

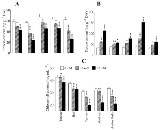
3.3. Application of Lead Reduced Protein and Chlorophyll Accumulation, and Increased Proline Content

We recorded a significant reduction in total protein content in all rice cultivars under both 0.6 and 1.2 mM Pb treatments, ranging between decreases of 14 and 33.3% due to 0.6 mM Pb application and 26.5 and 58% caused by 1.2 mM Pb treatment (Figure 5A). Furthermore, proline, a stress amino acid, also known for its role in the adaptive response mechanism towards abiotic stress tolerance, significantly increased concomitantly with the increase in the Pb concentration (31.5–98.7% increase by 0.6 mM Pb and 56.2–297.4% by 1.2 mM Pb) (Figure 5B), and Tunnae and Mashkab showed high proline accumulation levels with 1.2 mM Pb application. Moreover, as shown in panel C of Figure 5, Pb application in Tunnae and Mashkab resulted in the lowest change in chlorophyll content (0.4 and 2.6% decrease at 0.6 mM Pb), while Ilmi, Yasmen, and Amber Barka had 11.6, 14.7, and 19% reductions, respectively. However, when a high Pb concentration (1.2 mM) was applied, the recorded decrease in chlorophyll content in Tunnae, Ilmi, Yasmen, Mashkab, and Amber Barka was about 9.8, 12.9, 34.8, 31.3, and 37%, respectively.

3.4. Lead Application Differentially Affected Soluble Sugar Levels in Rice

A change in the metabolism of plants is expected when they are exposed to environmental stimuli. Under these conditions, plants reallocate their resources, including energy use, to the adaptive response mechanism towards stress tolerance, while maintaining a balanced reduction–oxidation status. In plants, soluble sugars accumulate during abiotic stress occurrence. Our data show a significant increase in sucrose content in Tunnae and Yasmen under both 0.6 and 1.2 mM Pb treatments (31.4 and 86.3%, respectively), followed by Yasmen (28.8 and 34.1%), and Amber Barka (20.2 and 35.5%). Ilmi and Mashkab showed about 2.1 and 9.6%, and 1.3 and 12.2%, increases in sucrose content under 0.6 and 1.2 mM Pb, respectively (Figure 6A). Meanwhile, the glucose content (Figure 6B) decreased significantly in all rice cultivars, ranging between 33.8 and 100% in response to 0.6 mM Pb, and 38.1–100% under 1.2 mM Pb. Similarly, fructose content decreased in Tunnae, Ilmi, Yasmen, and Mashkab by 35.2, 69.9, 50.2, and 49.2%, respectively (under 0.6 mM Pb), while under 1.2 mM Pb, we observed a reduction of about 35.1, 71.5%, 63.2, and 100%, respectively. However, neither glucose nor fructose could be detected in the 0.6 nor 1.2 mM Pb-treated samples of Amber Barka. It is believed that these soluble sugars could have been reduced to trace amounts that could not be detected.

4. Discussion

4.1. Exogenous Application of Lead Inhibits Plant Growth and Reduces Productivity of Rice

Due to their sessile nature, crop plants are subject to various environmental cues, causing severe damage and loss of productivity. Heavy metals, such as lead (Pb), have been reported as the elements that were most extensively used by humans over recent decades, which led to extensive pollution of surface soils, by binding to humic matter in organic-rich soil and to iron oxides in mineral soil. Pb and its compounds are said to accumulate in soils and sediments, where they may remain bioavailable for a long period of time [41]. The chemical behavior of Pb in the soil was suggested to depend on the organic matter content, as Pb is strongly absorbed on humic matter at pH 4 and above [42,43]. As reported earlier [44,45], most of the lead in the soil appears to be generally unavailable to the plant tops, considering that from the Pb (Pb2+) absorbed by the roots of plants, very little is translocated from the roots to the above-ground plant organs, which was shown to depend on the physiological status of the plant [46] and may cause toxicity, leading to changes in the metabolism of the plant [47,48]. Different plant species have different tolerance levels to Pb contamination, which could depend on the Pb concentration [49], as well as the root Pb storage potential and transport of a particular plant species [50]. The observed inhibitory effect of Pb on the morphological aspects of rice plants, including major yield components of rice (Figure 1A–D and Figure 2), particularly in rice cultivars identified as Pb sensitive (Ilmi, Yasmen, and Amber Barka), and much less in those identified as Pb tolerant (Tunnae and Mashkab), suggest that the applied Pb concentration had a significant effect on the growth-related parameters of rice as well as the major yield components of rice, in a concentration-, genotype-, and duration of exposure-dependent manner. In a converse approach, heavy metals were reported to negatively affect cell division and plant growth and development [51]. In addition, Ilmi, Yasmen, and Amber Barka were recently reported to be sensitive towards drought and dehydration stresses [52]. A similar response was observed when Ilmi and Yasmen were exposed to Pb stress. The negative effects on plant growth and development could be attributed in part to the obstruction of nutrient uptake from the roots due to the high Pb application [27]. Additionally, Ali et al. [53] supported that rice cultivars grown in soil contaminated with 1 mg Hg Kg−1 Pb exhibited a significant reduction in plant height, number of tillers per plant, and number of panicles per plant. In the same way, another study suggested that the toxic effect of heavy metals on the growth parameters of plants could be attributed to a reduction in the alteration of the activity of some antioxidant enzymes or mineral nutrition uptake or the photosynthetic process [48].

4.2. Lead-Mediated Oxidative Stress Alters the Physiological and Biochemical Properties of Rice

Upon stress induction, caused by either biotic or abiotic stress stimuli, plants undergo a complex physiological and biochemical reprogramming and redistribution of resources to combat the stress, in our case, in response to lead-induced oxidative stress. As a result, various antioxidant (enzymatic and non-enzymatic) systems are activated, and the synthesis of various biological components is initiated. In the present study, the activity of catalase (CAT) was shown to be significantly induced in all rice cultivars (in both Pb-tolerant and -sensitive rice cultivars) as a result of Pb treatment (Figure 3A). Generally, an increase in CAT activity is expected to play a role in lowering ROS overaccumulation, particularly H2O2. Here, we observed that the H2O2 accumulation pattern was much pronounced in Ilmi (0.6 and 1.2 mM Pb), Yasmen, and Amber Barka (Figure 4), which were also identified as the most sensitive cultivars regarding their phenotypic responses towards Pb stress. In our recent study, we also observed that CAT activity increased in both drought-tolerant and -sensitive genotypes when Arabidopsis (a model plant for dicots) plants were exposed to drought stress [53]. It is therefore believed that CAT activity alone may not be sufficient to provide the required level of tolerance towards Pb stress. Rather, our study favors the hypothesis that a coordinated action involving various antioxidant (enzymatic and non-enzymatic) systems and well-organized signaling cascades would be more beneficial to plants in providing the expected degree of tolerance, while tending to maintain a balanced reduction–oxidation state within the cells. In addition to CAT, the activity of peroxidase (POD) (Figure 3B) and that of polyphenol oxidase (PPO) increased concomitantly with an increase in Pb concentration. Furthermore, the Pb-tolerant rice cultivars Tunnae and Mashkab that exhibited a balanced phenotypic growth and improved tolerance towards Pb stress showed a significant increase in POD activity. Moreover, Tunnae showed a significant increase in PPO (Figure 3C) as well as an increase in superoxide dismutase (SOD) activity (Figure 3D).
Initially, we were expecting to see a reduced accumulation level of superoxide anion (O2•–), particularly in Pb-tolerant cultivars, such as Tunnae and Mashkab, with regard to the increase in SOD activity. Rather, we recorded an increased O2•– content in both Pb-tolerant and -sensitive rice cultivars. In higher plants, SOD enzymes act as antioxidants and protect cellular components from being oxidized by the reactive oxygen species (ROS). SODs catalyze the conversion of O2•– into oxygen and hydrogen peroxide (H2O2) [54]. In the same way, we were expecting to see a high SOD activity concomitant with the increase in O2•– generation. Under abiotic or biotic stress conditions, the activity of SOD typically increases with the degree of the stress. Here, we recorded a contrasting SOD activity, which did not systematically match the accumulation pattern of O2•– (Figure 3D,E). It is said that an overaccumulation of ROS in response to abiotic stress may cause oxidation of proteins, inhibition of the activity of enzymes, damage to nucleic acids, and induction of programmed cell death (PCD) that may culminate in cell death [15,55]. We would then speculate that the observed mismatch between the SOD activity and the accumulation of O2•– would be caused by disturbed or reduced catalytic ability of SOD to reduce O2•– into H2O2 and H2O. From another perspective, O2•– has been reported as one of the highly reactive free radicals that promote oxidative stress, while interacting with nitric oxide (NO) to generate peroxynitrite (ONOO) [56]. The recorded significant increase in O2•– at all Pb levels and all tested cultivars would indicate the extent of the oxidative stress induced by Pb treatment. Moreover, the recorded increase in ion leakage would imply that the cell membrane integrity might have been affected by the Pb treatment (Figure 3F).
To withstand abiotic stresses, plants activate various adaptive response mechanisms that include the accumulation of solutes as well as proteins, in addition to the enzymatic antioxidant system. Here, we recorded a significant reduction in total protein content in all rice cultivars, and at all Pb levels (Figure 5A). Another non-enzymatic antioxidant acting as an osmoprotectant, which generally accumulates in response to abiotic stress, is proline, also known as the stress amino acid [57]. Recent studies reported that proline was differentially accumulated when rice cultivars were exposed to Pb [48] and copper (Cu) stress [58]. Our data indicated that the accumulation of proline was much higher in the Pb-tolerant rice cultivars Tunnae and Mashkab under 1.2 mM Pb treatment (Figure 5B), therefore suggesting a possible role of proline in the adaptive response mechanism towards Pb stress tolerance in rice.
Many studies have reported a change in the accumulation of photosynthetic pigments, such as chlorophyll, in response to abiotic stresses [26,58]. Under normal growth conditions of plants, chlorophylls contribute to nutrition and energy acquisition for plants to complete their life cycle. Therefore, the recorded reduction in chlorophyll (Figure 6C) would reflect a disturbed photosynthetic process and energy supply within the cell due to the Pb toxicity, which in turn would have an effect on the synthesis of soluble sugars. Here, our findings revealed that the soluble sugars, such as sucrose, glucose, and fructose, were differentially affected under Pb stress. For instance, we observed a significant increase in sucrose content, particularly with the 1.2 mM Pb application (Figure 6A). Under the same conditions, glucose and fructose levels were shown to be significantly reduced (Figure 6B), suggesting a prevalent role of sucrose over glucose and fructose in the adaptive response mechanism towards Pb tolerance. Similarly, previous reports revealed a variation in the production of carbohydrates, a change in the sugar metabolism, and aggregation of various osmolytes in response to heavy metal stress [59,60,61].
It appears that each antioxidant system taken independently may not be enough to provide the required level of tolerance towards lead (Pb) stress. Rather, all the results put together suggest that the tolerance to lead (Pb)-induced oxidative stress would be a consequence of synergetic actions of both enzymatic and non-enzymatic antioxidant systems within the cell that help maintain a balanced reduction–oxidation state and an optimum growth and productivity of rice plants.

5. Conclusions

Heavy metals are detrimental to the growth and development of crop plants, as well as to their productivity. In this study, five rice cultivars originating from different agro-ecological zones were exposed to gradient lead (Pb) concentrations for 30 days, and the effects on major agronomic traits, including plant height, number of tillers per plant, number of panicles per plant, number of spikelets per panicle, length of panicles, and the biomass dry weight, were examined. The results revealed that out of the five tested rice cultivars, Tunnae and Mashkab showed a high level of tolerance towards Pb stress. These cultivars exhibited a balanced plant growth and a reduced effect on their productivity. In addition, a change in the enzymatic antioxidant activity and differential soluble sugar accumulation, as well as a reduced chlorophyll content, were recorded. Therefore, all data put together suggest a possible role of soluble sugars in the adaptive response mechanism towards lead (Pb) tolerance in rice.

Author Contributions

Conceptualization, methodology, and validation, B.-W.Y. and I.-J.L.; formal analysis, investigation, and data curation, M.K., M.I., and N.K.R.; writing—original draft preparation, M.K. and N.K.R.; writing—review and editing, N.K.R., B.-G.M., and T.N.I.A.A.; visualization and supervision, B.-W.Y. and I.-J.L.; funding acquisition, B.-W.Y. All authors have read and agreed to the published version of the manuscript.

Funding

This research was supported by Kyungpook National University Research Fund, 2019, Republic of Korea.

Institutional Review Board Statement

Not applicable.

Informed Consent Statement

Not applicable.

Data Availability Statement

The data presented in this study are available on request from the corresponding author. The data are not publicly available due to privacy.

Conflicts of Interest

The authors declare no conflict of interest.

References

  1. Anjum, S.A.; Ashraf, U.; Khan, I.; Tanveer, M.; Ali, M.; Hussain, I.; Wang, L.C. Chromium and aluminum phytotoxicity in maize: Morpho—Physiological responses and metal uptake. CLEAN Soil Air Water 2016, 44, 1075–1084. [Google Scholar] [CrossRef]
  2. Wang, X.M.; Zhang, C.; Qiu, B.L.; Ashraf, U.; Azad, R.; Wu, J.H.; Ali, S. Biotransfer of Cd along a soil-plant- mealybug-ladybird food chain: A comparison with host plants. Chemosphere 2017, 168, 699–706. [Google Scholar] [CrossRef] [PubMed]
  3. Hu, J.Z.; Shi, G.X.; Xu, Q.S.; Wang, X.; Yuan, Q.H.; Du, K.H. Effects of Pb2+ on the active oxygen-scavenging enzyme activities and ultrastructure in Potamogeton crispus leaves. Russ. J. Plant Physiol. 2007, 54, 414–419. [Google Scholar] [CrossRef]
  4. Li, Y.; Gou, X.; Wang, G.; Zhang, Q.; Su, Q.; Xiao, G. Heavy metal contamination and source in arid agricultural soil in central Gansu Province, China. J. Environ. Sci. 2008, 20, 607–612. [Google Scholar] [CrossRef]
  5. Grimm, N.B.; Foster, D.; Groffman, P.; Grove, J.M.; Hopkinson, C.S.; Nadelhoffer, K.J.; Pataki, D.E.; Peters, D.P.C. The changing landscape: Ecosystem responses to urbanization and pollution across climatic and societal gradients. Front. Ecol. Environ. 2008, 6, 264–272. [Google Scholar] [CrossRef]
  6. Gaya, U.; Ikechukwu, S. Heavy metal contamination of selected spices obtained from Nigeria. J. Appl. Sci. Environ. Manag. 2016, 20, 681–688. [Google Scholar] [CrossRef]
  7. Islam, E.; Yang, X.; Li, T.Q.; Liu, D.; Jin, X.F.; Meng, F.H. Effect of Pb toxicity on root morphology, physiology and ultrastructure in the two ecotypes of Elsholtzia argyi. J. Hazard. Mater. 2007, 147, 806–816. [Google Scholar] [CrossRef]
  8. Uzu, G.; Sobanska, S.; Aliouane, Y.; Pradere, P.; Dumat, C.J.E.P. Study of lead phytoavailability for atmospheric industrial micronic and sub-micronic particles in relation with lead speciation. Environ. Pollut. 2009, 157, 1178–1185. [Google Scholar] [CrossRef] [PubMed]
  9. Dogan, M.; Saygideger, S.D.; Colak, U. Effect of Lead Toxicity on Aquatic Macrophyte Elodea canadensis Michx. Bull. Environ. Contam. Toxicol. 2009, 83, 249–254. [Google Scholar] [CrossRef]
  10. Gupta, D.K.; Nicoloso, F.T.; Schetinger, M.R.C.; Rossato, L.V.; Pereira, L.B.; Castro, G.Y.; Srivastava, S.; Tripathi, R.D. Antioxidant defense mechanism in hydroponically grown Zea mays seedlings under moderate lead stress. J. Hazard. Mater. 2009, 172, 479–484. [Google Scholar] [CrossRef]
  11. Maestri, E.; Marmiroli, M.; Visioli, G.; Marmiroli, N. Metal tolerance and hyperaccumulation: Costs and trade-offs between traits and environment. Environ. Exp. Bot. 2010, 68, 1–13. [Google Scholar] [CrossRef]
  12. Ashraf, U.; Kanu, A.S.; Mo, Z.W.; Hussain, S.; Anjum, S.A.; Khan, I.; Abbas, R.N.; Tang, X.R. Lead toxicity in rice: Effects, mechanisms, and mitigation strategies-a mini review. Environ. Sci. Pollut. R 2015, 22, 18318–18332. [Google Scholar] [CrossRef] [PubMed]
  13. Verma, S.; Dubey, R.S. Lead toxicity induces lipid peroxidation and alters the activities of antioxidant enzymes in growing rice plants. Plant Sci. 2003, 164, 645–655. [Google Scholar] [CrossRef]
  14. Clemens, S. Evolution and function of phytochelatin synthases. J. Plant Physiol. 2006, 163, 319–332. [Google Scholar] [CrossRef]
  15. Mittler, R.J. Oxidative stress, antioxidants and stress tolerance. Trends Plant Sci. 2002, 7, 405–410. [Google Scholar] [CrossRef]
  16. Ali, B.; Xu, X.; Gill, R.A.; Yang, S.; Ali, S.; Tahir, M.; Zhou, W.J. Promotive role of 5-aminolevulinic acid on mineral nutrients and antioxidative defense system under lead toxicity in Brassica napus. Ind. Crops Prod. 2014, 52, 617–626. [Google Scholar] [CrossRef]
  17. Mishra, A.; Choudhuri, M.J. Amelioration of lead and mercury effects on germination and rice seedling growth by antioxidants. Biol. Plant. 1998, 41, 469–473. [Google Scholar] [CrossRef]
  18. Jiang, W.S.; Liu, D.H. Pb-induced cellular defense system in the root meristematic cells of Allium sativum L. BMC Plant Biol. 2010, 10, 40. [Google Scholar] [CrossRef] [PubMed]
  19. Cheng, W.D.; Zhang, G.P.; Yao, H.G.; Wu, W.; Xu, M. Genotypic and environmental variation in cadmium, chromium, arsenic, nickel, and lead concentrations in rice grains. J. Zhejiang Univ. Sci. B 2006, 7, 565–571. [Google Scholar] [CrossRef]
  20. Davis, J.M.; Elias, R.W.; Grant, L.D. Current Issues in Human Lead-Exposure and Regulation of Lead. Neurotoxicology 1993, 14, 15–28. [Google Scholar] [PubMed]
  21. Feng, J.; Wang, Y.; Zhao, J.; Zhu, L.; Bian, X.; Zhang, W. Source attributions of heavy metals in rice plant along highway in Eastern China. J. Environ. Sci. 2011, 23, 1158–1164. [Google Scholar] [CrossRef]
  22. Liu, J.G.; Ma, X.M.; Wang, M.X.; Sun, X.W. Genotypic differences among rice cultivars in lead accumulation and translocation and the relation with grain Pb levels. Ecotox. Environ. Safe 2013, 90, 35–40. [Google Scholar] [CrossRef] [PubMed]
  23. Cheng, F.M.; Zhao, N.C.; Xu, H.M.; Li, Y.; Zhang, W.F.; Zhu, Z.W.; Chen, M.X. Cadmium and lead contamination in japonica rice grains and its variation among the different locations in southeast China. Sci. Total Environ. 2006, 359, 156–166. [Google Scholar] [CrossRef] [PubMed]
  24. Chatterjee, C.; Dube, B.K.; Sinha, P.; Srivastava, P. Detrimental effects of lead phytotoxicity on growth, yield, and metabolism of rice. Commun. Soil Sci. Plant Anal. 2004, 35, 255–265. [Google Scholar] [CrossRef]
  25. Pourrut, B.; Shahid, M.; Dumat, C.; Winterton, P.; Pinelli, E. Lead Uptake, Toxicity, and Detoxification in Plants. Rev. Environ. Contam. Toxicol. Vol. 2011, 213, 113–136. [Google Scholar] [CrossRef]
  26. Rolly, N.K.; Imran, Q.M.; Shahid, M.; Imran, M.; Khan, M.; Lee, S.-U.; Hussain, A.; Lee, I.-J.; Yun, B.-W.J. Drought-induced AtbZIP62 transcription factor regulates drought stress response in Arabidopsis. Plant Physiol. Biochem. 2020, 156, 384–395. [Google Scholar] [CrossRef] [PubMed]
  27. Ashraf, U.; Hussain, S.; Anjum, S.A.; Abbas, F.; Tanveer, M.; Noor, M.A.; Tang, X.J. Alterations in growth, oxidative damage, and metal uptake of five aromatic rice cultivars under lead toxicity. Plant Physiol. Biochem. 2017, 115, 461–471. [Google Scholar] [CrossRef]
  28. Ubaidillah, M.; Faperta, M.; Kim, K.-M. Identification of phytohormone changes and its related genes under abiotic stresses in transgenic rice. Biocell 2019, 43, 215–224. [Google Scholar] [CrossRef]
  29. Badro, H.; Furtado, A.; Henry, R. Relationships between Iraqi Rice Varieties at the Nuclear and Plastid Genome Levels. Plants 2019, 8, 481. [Google Scholar] [CrossRef]
  30. Kang, J.-W.; Kabange, N.R.; Phyo, Z.; Park, S.-Y.; Lee, S.-M.; Lee, J.-Y.; Shin, D.; Cho, J.H.; Park, D.-S.; Ko, J.-M.; et al. Combined Linkage Mapping and Genome-Wide Association Study Identified QTLs Associated with Grain Shape and Weight in Rice (Oryza Sativa L.). Agronomy 2020, 10, 1532. [Google Scholar] [CrossRef]
  31. Khan, M.A.; Asaf, S.; Khan, A.L.; Adhikari, A.; Jan, R.; Ali, S.; Imran, M.; Kim, K.M.; Lee, I.J. Halotolerant Rhizobacterial Strains Mitigate the Adverse Effects of NaCl Stress in Soybean Seedlings. Biomed. Res. Int. 2019, 2019, 9530963. [Google Scholar] [CrossRef] [PubMed]
  32. Khan, M.; Imran, Q.M.; Shahid, M.; Mun, B.G.; Lee, S.U.; Khan, M.A.; Hussain, A.; Lee, I.J.; Yun, B.W. Nitric oxide- induced AtAO3 differentially regulates plant defense and drought tolerance in Arabidopsis thaliana. BMC Plant Biol. 2019, 19, 602. [Google Scholar] [CrossRef] [PubMed]
  33. Bates, L.S.; Waldren, R.P.; Teare, I. Rapid determination of free proline for water-stress studies. Plant Soil 1973, 39, 205–207. [Google Scholar] [CrossRef]
  34. Khan, A.R.; Ullah, I.; Waqas, M.; Park, G.S.; Khan, A.L.; Hong, S.J.; Ullah, R.; Jung, B.K.; Park, C.E.; Ur-Rehman, S.; et al. Host plant growth promotion and cadmium detoxification in Solanum nigrum, mediated by endophytic fungi. Ecotox. Environ. Safe 2017, 136, 180–188. [Google Scholar] [CrossRef] [PubMed]
  35. Sirhindi, G.; Mir, M.A.; Abd-Allah, E.F.; Ahmad, P.; Gucel, S. Jasmonic Acid Modulates the Physio-Biochemical Attributes, Antioxidant Enzyme Activity, and Gene Expression in Glycine max under Nickel Toxicity. Front. Plant Sci. 2016, 7, 591. [Google Scholar] [CrossRef]
  36. Chance, B.; Maehly, A. Assay of catalases and peroxidases. Methods Enzymol. 1955, 2, 764–775. [Google Scholar]
  37. De Sousa, A.; AbdElgawad, H.; Asard, H.; Pinto, A.; Soares, C.; Branco-Neves, S.; Braga, T.; Azenha, M.; Selim, S.; Al Jaouni, S. Metalaxyl effects on antioxidant defenses in leaves and roots of Solanum Nigrum L. Front. Plant Sci. 2017, 8, 1967. [Google Scholar] [CrossRef]
  38. Jambunathan, N. Determination and detection of reactive oxygen species (ROS), lipid peroxidation, and electrolyte leakage in plants. In Plant Stress Tolerance; Springer: Berlin/Heidelberg, Germany, 2010; pp. 291–297. [Google Scholar]
  39. Bradford, M.M. A rapid and sensitive method for the quantitation of microgram quantities of protein utilizing the principle of protein-dye binding. Anal. Biochem. 1976, 72, 248–254. [Google Scholar] [CrossRef]
  40. Yemm, E.W.; Willis, A.J. The estimation of carbohydrates in plant extracts by anthrone. Biochem. J. 1954, 57, 508–514. [Google Scholar] [CrossRef]
  41. Alloway, B.J. Heavy Metals in Soils: Trace Metals and Metalloids in Soils and their Bioavailability; Springer: Berlin/Heidelberg, Germany, 2012; Volume 22. [Google Scholar]
  42. Bunzl, K.; Schmidt, W.; Sansoni, B.J. Kinetics of ion exchange in soil organic matter. IV. Adsorption and desorption of Pb2+, Cu2+, Cd2+, Zn2+ and Ca2+ by peat. J. Soil Sci. 1976, 27, 32–41. [Google Scholar] [CrossRef]
  43. Kerndorff, H.; Schnitzer, M.J. Sorption of metals on humic acid. Geochim. Cosmochim. Acta 1980, 44, 1701–1708. [Google Scholar] [CrossRef]
  44. Jones, L.; Clement, C.; Hopper, M.J. Lead uptake from solution by perennial ryegrass and its transport from roots to shoots. Plant Soil 1973, 38, 403–414. [Google Scholar] [CrossRef]
  45. Li, J.; Yang, X.; He, Z.; Jilani, G.; Sun, C.; Chen, S.J. Fractionation of lead in paddy soils and its bioavailability to rice plants. Geoderma 2007, 141, 174–180. [Google Scholar] [CrossRef]
  46. Koeppe, D.E.J. The uptake, distribution, and effect of cadmium and lead in plants. Sci. Total Environ. 1977, 7, 197–206. [Google Scholar] [CrossRef]
  47. Pourrut, B.; Shahid, M.; Dumat, C.; Winterton, P.; Pinelli, E. Lead uptake, toxicity, and detoxification in plants. In Reviews of Environmental Contamination and Toxicology; Springer: Berlin/Heidelberg, Germany, 2011; Volume 213, pp. 113–136. [Google Scholar]
  48. Ashraf, U.; Kanu, A.S.; Deng, Q.; Mo, Z.; Pan, S.; Tian, H.; Tang, X.J. Lead (Pb) toxicity; physio-biochemical mechanisms, grain yield, quality, and Pb distribution proportions in scented rice. Front. Plant Sci. 2017, 8, 259. [Google Scholar] [CrossRef]
  49. Yoon, J.; Cao, X.; Zhou, Q.; Ma, L.Q. Accumulation of Pb, Cu, and Zn in native plants growing on a contaminated Florida site. Sci. Total Environ. 2006, 368, 456–464. [Google Scholar] [CrossRef]
  50. Rout, G.R.; Samantaray, S.; Das, P. Differential lead tolerance of rice and black gram genotypes in hydroponic culture. Rost Vyroba 2001, 47, 541–548. [Google Scholar]
  51. Singh, S.; Parihar, P.; Singh, R.; Singh, V.P.; Prasad, S.M. Heavy metal tolerance in plants: Role of transcriptomics, proteomics, metabolomics, and ionomics. Front. Plant Sci. 2016, 6, 1143. [Google Scholar] [CrossRef] [PubMed]
  52. Al Azzawi, T.N.I.; Khan, M.; Hussain, A.; Shahid, M.; Imran, Q.M.; Mun, B.-G.; Lee, S.-U.; Yun, B.-W.J. Evaluation of Iraqi Rice Cultivars for Their Tolerance to Drought Stress. Agronomy 2020, 10, 1782. [Google Scholar] [CrossRef]
  53. Kibra, M. Effects of mercury on some growth parameters of rice (Oryza Sativa L.). Soil Environ. 2008, 27, 23–28. [Google Scholar]
  54. Wang, Y.; Branicky, R.; Noë, A.; Hekimi, S.J. Superoxide dismutases: Dual roles in controlling ROS damage and regulating ROS signaling. J. Cell Biol. 2018, 217, 1915–1928. [Google Scholar] [CrossRef] [PubMed]
  55. Sharma, P.; Jha, A.B.; Dubey, R.S.; Pessarakli, M.J. Reactive oxygen species, oxidative damage, and antioxidative defense mechanism in plants under stressful conditions. J. Bot. 2012, 2012, 26. [Google Scholar] [CrossRef]
  56. Beckman, J.S.; Koppenol, W.H. Nitric oxide, superoxide, and peroxynitrite: The good, the bad, and ugly. Am. J. Physiol. Cell Physiol. 1996, 271, C1424–C1437. [Google Scholar] [CrossRef]
  57. Yamada, M.; Morishita, H.; Urano, K.; Shiozaki, N.; Yamaguchi-Shinozaki, K.; Shinozaki, K.; Yoshiba, Y. Effects of free proline accumulation in petunias under drought stress. J. Exp. Bot. 2005, 56, 1975–1981. [Google Scholar] [CrossRef] [PubMed]
  58. Chen, C.T.; Chen, L.-M.; Lin, C.C.; Kao, C.H. Regulation of proline accumulation in detached rice leaves exposed to excess copper. Plant Sci. 2001, 160, 283–290. [Google Scholar] [CrossRef]
  59. Rodríguez-Serrano, M.; Romero-Puertas, M.C.; Pazmino, D.M.; Testillano, P.S.; Risueño, M.C.; Luis, A.; Sandalio, L.M. Cellular response of pea plants to cadmium toxicity: Cross talk between reactive oxygen species, nitric oxide, and calcium. Plant Physiol. 2009, 150, 229–243. [Google Scholar] [CrossRef] [PubMed]
  60. Devi, R.; Munjral, N.; Gupta, A.K.; Kaur, N. Effect of exogenous lead on growth and carbon metabolism of pea (Pisum Sativum L.) seedlings. Physiol. Mol. Biol. Plant. 2013, 19, 81–89. [Google Scholar] [CrossRef][Green Version]
  61. Kumar, S.; Dubey, R.S.; Tripathi, R.D.; Chakrabarty, D.; Trivedi, P.K. Omics and biotechnology of arsenic stress and detoxification in plants: Current updates and prospective. Environ. Int. 2015, 74, 221–230. [Google Scholar] [CrossRef] [PubMed]
Figure 1. Changes in the agronomic traits of different rice cultivars under a gradient Pb concentrations. (A) Plant height, (B) number of tillers per plant, (C) number of panicles per plant, (D) number of spikelets per panicle, (E) panicle length, (F) biomass dry weight, and (GK) visual phenotypes of five rice cultivars (Tunnae, Ilmi, Yasmen, Mashkab, and Amber Barka). Bars are mean values ± SE. Data are compared with their respective controls (untreated plants: 0 mM Pb). *** p < 0.001, ** p < 0.01, * p < 0.05, ns: non-significant.
Figure 1. Changes in the agronomic traits of different rice cultivars under a gradient Pb concentrations. (A) Plant height, (B) number of tillers per plant, (C) number of panicles per plant, (D) number of spikelets per panicle, (E) panicle length, (F) biomass dry weight, and (GK) visual phenotypes of five rice cultivars (Tunnae, Ilmi, Yasmen, Mashkab, and Amber Barka). Bars are mean values ± SE. Data are compared with their respective controls (untreated plants: 0 mM Pb). *** p < 0.001, ** p < 0.01, * p < 0.05, ns: non-significant.
Agronomy 11 00409 g001
Figure 2. Changes in the grain weight of five rice cultivars in response to Pb application. The above graph shows the changes in thousand grain weight (TGW) in each of the five rice cultivars exposed to lead (Pb) stress. Cultivars are Tunnae, Ilmi, Yasmen, Mashkab, and Amber Barka. Bars are mean values ± SE. Data were compared to the control (0 mM Pb). *** p < 0.001, ** p < 0.01, * p < 0.05, ns: non-significant.
Figure 2. Changes in the grain weight of five rice cultivars in response to Pb application. The above graph shows the changes in thousand grain weight (TGW) in each of the five rice cultivars exposed to lead (Pb) stress. Cultivars are Tunnae, Ilmi, Yasmen, Mashkab, and Amber Barka. Bars are mean values ± SE. Data were compared to the control (0 mM Pb). *** p < 0.001, ** p < 0.01, * p < 0.05, ns: non-significant.
Agronomy 11 00409 g002
Figure 3. Changes in the antioxidant enzyme activity under Pb treatment. (A) Catalase activity in Tunnae, Ilmi, Yasmen, Mashkab, and Amber Barka in response to gradient lead (Pb) concentrations, (B) peroxidase (POD) activity, (C) polyphenol oxidase (PPO) activity, (D) superoxide dismutase (SOD) activity, (E) superoxide anion, and (F) electrolyte leakage. Bars are mean values ± SE. White bars are controls (plants grown without Pb treatment), striped bars and black bars are plants treated with 0.6 and 1.2 mM Pb, respectively. *** p < 0.001, ** p < 0.01, * p < 0.05, ns: non-significant.
Figure 3. Changes in the antioxidant enzyme activity under Pb treatment. (A) Catalase activity in Tunnae, Ilmi, Yasmen, Mashkab, and Amber Barka in response to gradient lead (Pb) concentrations, (B) peroxidase (POD) activity, (C) polyphenol oxidase (PPO) activity, (D) superoxide dismutase (SOD) activity, (E) superoxide anion, and (F) electrolyte leakage. Bars are mean values ± SE. White bars are controls (plants grown without Pb treatment), striped bars and black bars are plants treated with 0.6 and 1.2 mM Pb, respectively. *** p < 0.001, ** p < 0.01, * p < 0.05, ns: non-significant.
Agronomy 11 00409 g003
Figure 4. Detection of hydrogen peroxide (H2O2) accumulation in response to lead (Pb)-induced oxidative stress. Upon stress induction, different sorts of reactive oxygen species (ROS) accumulate as part of the signaling cascades used to initiate the adaptive response mechanisms towards stress tolerance. However, overaccumulation of ROS, including H2O2, causes oxidative stress that may lead to oxidative damage, which may culminate in programmed cell death (PCD). The diaminobenzidine tetrahydrochloride (DAB) staining shows the detection of H2O2 accumulation under gradient Pb concentrations in five rice cultivars.
Figure 4. Detection of hydrogen peroxide (H2O2) accumulation in response to lead (Pb)-induced oxidative stress. Upon stress induction, different sorts of reactive oxygen species (ROS) accumulate as part of the signaling cascades used to initiate the adaptive response mechanisms towards stress tolerance. However, overaccumulation of ROS, including H2O2, causes oxidative stress that may lead to oxidative damage, which may culminate in programmed cell death (PCD). The diaminobenzidine tetrahydrochloride (DAB) staining shows the detection of H2O2 accumulation under gradient Pb concentrations in five rice cultivars.
Agronomy 11 00409 g004
Figure 5. Changes in the chlorophyll content under lead treatment. (A) Protein content, (B) proline content, and (C) total chlorophyll content in Tunnae, Ilmi, Yasmen, Mashkab, and Amber Barka in response to gradient lead (Pb) concentrations. Bars are mean values ± SE. White bars are controls (plant grown without Pb treatment), striped bars and black bars are plants treated with 0.6 and 1.2 mM Pb, respectively. The above figure shows the changes in total chlorophyll content in response to different lead (Pb) concentrations (0.6 and 1.2 mM) in five rice cultivars (Tunnae, Ilmi, Yasmen, Mashkab, and Amber Barka). Bars are mean values ± SE. *** p < 0.001, ** p < 0.01, * p < 0.05, ns: non-significant.
Figure 5. Changes in the chlorophyll content under lead treatment. (A) Protein content, (B) proline content, and (C) total chlorophyll content in Tunnae, Ilmi, Yasmen, Mashkab, and Amber Barka in response to gradient lead (Pb) concentrations. Bars are mean values ± SE. White bars are controls (plant grown without Pb treatment), striped bars and black bars are plants treated with 0.6 and 1.2 mM Pb, respectively. The above figure shows the changes in total chlorophyll content in response to different lead (Pb) concentrations (0.6 and 1.2 mM) in five rice cultivars (Tunnae, Ilmi, Yasmen, Mashkab, and Amber Barka). Bars are mean values ± SE. *** p < 0.001, ** p < 0.01, * p < 0.05, ns: non-significant.
Agronomy 11 00409 g005
Figure 6. Changes in the soluble sugar content under lead treatment. (A) Sucrose content in five rice cultivars (Tunnae, Ilmi, Yasmen, Mashkab, and Amber Barka), (B) Glucose content and (C) fructose content in response to 0.6 and 1.2 mM lead (Pb) treatment. Bars are mean values ± SE. *** p < 0.001, ** p < 0.01, * p < 0.05, ns: non-significant.
Figure 6. Changes in the soluble sugar content under lead treatment. (A) Sucrose content in five rice cultivars (Tunnae, Ilmi, Yasmen, Mashkab, and Amber Barka), (B) Glucose content and (C) fructose content in response to 0.6 and 1.2 mM lead (Pb) treatment. Bars are mean values ± SE. *** p < 0.001, ** p < 0.01, * p < 0.05, ns: non-significant.
Agronomy 11 00409 g006
Table 1. List of rice cultivars.
Table 1. List of rice cultivars.
CultivarsCountriesSpecies/SubspeciesReferences
TunnaeSouth KoreaO. sativa ssp. japonica
IlmiSouth KoreaO. sativa ssp. japonica[28]
YasmenIraqO. sativa ssp. indica[29]
MashkabIraqO. sativa ssp. japonica[29]
Amber BarkaIraqO. sativa ssp. indica[29]
Publisher’s Note: MDPI stays neutral with regard to jurisdictional claims in published maps and institutional affiliations.

Share and Cite

MDPI and ACS Style

Khan, M.; Rolly, N.K.; Al Azzawi, T.N.I.; Imran, M.; Mun, B.-G.; Lee, I.-J.; Yun, B.-W. Lead (Pb)-Induced Oxidative Stress Alters the Morphological and Physio-Biochemical Properties of Rice (Oryza sativa L.). Agronomy 2021, 11, 409. https://doi.org/10.3390/agronomy11030409

AMA Style

Khan M, Rolly NK, Al Azzawi TNI, Imran M, Mun B-G, Lee I-J, Yun B-W. Lead (Pb)-Induced Oxidative Stress Alters the Morphological and Physio-Biochemical Properties of Rice (Oryza sativa L.). Agronomy. 2021; 11(3):409. https://doi.org/10.3390/agronomy11030409

Chicago/Turabian Style

Khan, Murtaza, Nkulu Kabange Rolly, Tiba Nazar Ibrahim Al Azzawi, Muhammad Imran, Bong-Gyu Mun, In-Jung Lee, and Byung-Wook Yun. 2021. "Lead (Pb)-Induced Oxidative Stress Alters the Morphological and Physio-Biochemical Properties of Rice (Oryza sativa L.)" Agronomy 11, no. 3: 409. https://doi.org/10.3390/agronomy11030409

APA Style

Khan, M., Rolly, N. K., Al Azzawi, T. N. I., Imran, M., Mun, B.-G., Lee, I.-J., & Yun, B.-W. (2021). Lead (Pb)-Induced Oxidative Stress Alters the Morphological and Physio-Biochemical Properties of Rice (Oryza sativa L.). Agronomy, 11(3), 409. https://doi.org/10.3390/agronomy11030409

Note that from the first issue of 2016, this journal uses article numbers instead of page numbers. See further details here.

Article Metrics

Back to TopTop